Assessment of Methods for Passive Microwave Snow Cover Mapping Using FY-3C/MWRI Data in China
Abstract
:1. Introduction
2. Data and Methodology
2.1. FY-3C/MWRI Data
2.2. In Situ Measurements
2.3. IMS Data
2.4. PMW Snow Cover Mapping Algorithms
3. Results and Analysis
3.1. Effect of Land-Cover Types on Snow Cover Mapping Accuracy
3.2. Effect of SCF on Snow-Cover Mapping Accuracy
3.3. Effect of SD on Snow Cover Mapping Accuracy
4. Discussion
4.1. Criteria of PMW SCA Algorithms
4.2. Tb Indexes of PMW SCA Algorithms
4.3. Thresholds of PMW SCA Algorithms
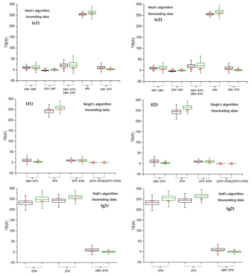
4.4. Effects of Tb Indexes and Thresholds on PMW SCA Algorithms
5. Conclusions
Acknowledgments
Author Contributions
Conflicts of Interest
Abbreviations
| PMW | Passive microwave |
| SCA | Snow cover area |
| SCF | Snow cover fraction |
| SD | Snow depth |
| SWE | Snow water equivalent |
| Tb | Brightness temperature |
| DTb | Brightness temperature of descending orbit |
| ATb | Brightness temperature of ascending orbit |
| 10 H, 18 H, 23 H, 37 H, 89 H | Brightness temperatures at the frequencies of 10.65 GHz, 18.7 GHz, 23.8 GHz, 36.5 GHz and 89.0 GHz for horizontal polarization |
| 10 V, 18 V, 23 V, 37 V, 89 V | Brightness temperatures at the frequencies of 10.65 GHz, 18.7 GHz, 23.8 GHz, 36.5 GHz and 89.0 GHz for vertical polarization |
| ASCT = ATb23.8V − ATb89V − (ATb18.7V − ATb37.5V) | |
| KLVN = 58.08 − 0.39 × Tb19V + 1.21 × Tb23V − 0.37 × Tb37H + 0.36 × Tb89V | |
| F-region | Forest-covered region or dense-vegetation-covered region |
| S-region | Sparse-vegetation-covered region |
| OA | Overall accuracy |
| OE | Omission error |
| CE | Commission error |
| PPV | Positive predictive value |
References
- Liang, S. Advances in Land Remote Sensing: System, Modeling, Inversion and Application; Springer Science & Business Media: Houten, The Netherlands, 2008. [Google Scholar]
- AghaKouchak, A.; Farahmand, A.; Melton, F.S.; Teixeira, J.; Anderson, M.C.; Wardlow, B.D.; Hain, C.R. Remote sensing of drought: Progress, challenges and opportunities. Geophys. Res. 2015, 53, 452–480. [Google Scholar] [CrossRef]
- Frei, A.; Tedesco, M.; Lee, S.; Foster, J.; Hall, D.K.; Kelly, R.; Robinson, D.A. A review of global satellite-derived snow products. Adv. Space Res. 2012, 50, 1007–1029. [Google Scholar] [CrossRef]
- Dietz, A.J.; Kuenzer, C.; Gessner, U.; Dech, S. Remote sensing of snow—A review of available methods. Int. J. Remote Sens. 2012, 33, 4094–4134. [Google Scholar] [CrossRef]
- Frei, A.; Robinson, D.A. Northern hemisphere snow extent: Regional variability 1972–1994. J. Clim. 1999, 19, 1535–1560. [Google Scholar] [CrossRef]
- Dozier, J. Spectral signature of alpine snow cover from the landsat thematic mapper. Remote Sens. Environ. 1989, 28, 9–22. [Google Scholar] [CrossRef]
- Hall, D.K.; Riggs, G.A.; Salomonson, V.V.; DiGirolamo, N.E.; Bayr, K.J. MODIS snow-cover products. Remote Sens. Environ. 2002, 83, 181–194. [Google Scholar] [CrossRef]
- Painter, T.H.; Rittger, K.; McKenzie, C.; Slaughter, P.; Davis, R.E.; Dozier, J. Retrieval of subpixel snow covered area, grain size, and albedo from MODIS. Remote Sens. Environ. 2009, 113, 868–879. [Google Scholar] [CrossRef]
- Shi, J. An automatic algorithm on estimating sub-pixel snow cover from MODIS. Quat. Sci. 2012, 32, 6–15. [Google Scholar]
- Grody, N.C. Surface identification using satellite microwave radiometers. IEEE Trans. Geosci. Remote Sens. 1988, 26, 850–859. [Google Scholar] [CrossRef]
- Xu, X.; Liu, X.; Li, X.; Xin, Q.; Chen, Y.; Shi, Q.; Ai, B. Global snow cover estimation with microwave brightness temperature measurements and one-class in situ observations. Remote Sens. Environ. 2016, 182, 227–251. [Google Scholar] [CrossRef]
- Kongoli, C.; Romanov, P.; Ferraro, R. Snow cover monitoring from remote sensing satellites: Possibilities for drought assessment. In Remote Sensing of Drought: Innovative Monitoring Approaches; CRC Press: Boca Raton, FL, USA, 2012; pp. 359–386. [Google Scholar]
- Shi, J.C.; Xiong, C.; Jiang, L.M. Review of snow water equivalent microwave remote sensing. Sci. China Earth Sci. 2016, 59, 731–745. [Google Scholar] [CrossRef]
- Kelly, R. The AMSR-E snow depth algorithm: Description and initial results. J. Remote Sens. 2009, 29, 307–317. [Google Scholar]
- Li, X.; Liu, Y.; Zhu, X.; Zheng, Z.; Chen, A. Snow cover identification with SSM/I data in china. J. Appl. Meteorol. Sci. 2007, 18, 12–20. [Google Scholar]
- Grody, N.C.; Basist, A.N. Global identification of snowcover using SSM/I measurements. IEEE Trans. Geosci. Remote Sens. 1996, 34, 237–249. [Google Scholar] [CrossRef]
- Pan, J.; Jiang, L.; Zhang, L. In Wet snow detection in the south of china by passive microwave remote sensing. In Proceedings of the 2012 32nd IEEE International Geoscience and Remote Sensing Symposium, Munich, Germany, 22–27 July 2012; Institute of Electrical and Electronics Engineers Inc.: Munich, Germany, 2012; pp. 4863–4866. [Google Scholar]
- Singh, P.R.; Gan, T.Y. Retrieval of snow water equivalent using passive microwave brightness temperature data. Remote Sens. Environ. 2000, 74, 275–286. [Google Scholar] [CrossRef]
- Hall, D.K.; Kelly, R.E.; Riggs, G.A.; Chang, A.T.; Foster, J.L. Assessment of the relative accuracy of hemispheric-scale snow-cover maps. Ann. Glaciol. 2002, 34, 24–30. [Google Scholar] [CrossRef]
- Neale, C.M.U.; Mcfarland, M.J.; Chang, K. Land-surface-type classification using microwave brightness temperatures from the special sensor microwave/imager. IEEE Trans. Geosci. Remote Sens. 1990, 28, 829–838. [Google Scholar] [CrossRef]
- Liang, T.; Zhang, X.; Xie, H.; Wu, C.; Feng, Q.; Huang, X.; Chen, Q. Toward improved daily snow cover mapping with advanced combination of MODIS and AMSR-E measurements. Remote Sens. Environ. 2008, 112, 3750–3761. [Google Scholar] [CrossRef]
- Ramsay, B.H. The interactive multisensor snow and ice mapping system. Hydrol. Process. 1998, 12, 1537–1546. [Google Scholar] [CrossRef]
- Helfrich, S.R.; McNamara, D.; Ramsay, B.H.; Baldwin, T.; Kasheta, T. Enhancements to, and Forthcoming Developments in the Interactive Multisensor Snow and Ice Mapping System (IMS). Hydrol. Process. 2007, 21, 1576–1586. [Google Scholar] [CrossRef]
- Romanov, P. Global multisensor automated satellite-based snow and ice mapping system (GMASI) for cryosphere monitoring. Remote Sens. Environ. 2017, 196, 42–55. [Google Scholar] [CrossRef]
- Luojus, K.; Pulliainen, J.; Takala, M.; Kangwa, M.; Smolander, T.; Wiesmann, A.; Derksen, C.; Metsamaki, S.; Salminen, M.; Solberg, R.; et al. Globsnow-2 Product User Guide Version 1.0; European Space Agency Study Contract Report, ESRIN Contract 21703/08/I-EC; ESA/ESRIN: Frascati, Italy, 2013. [Google Scholar]
- Jiang, L.; Wang, P.; Zhang, L.; Yang, H.; Yang, J. Improvement of snow depth retrieval for fy3b-mwri in china. Sci. China Earth Sci. 2014, 57, 1278–1292. [Google Scholar] [CrossRef]
- Maeda, T.; Taniguchi, Y. Descriptions of GCOM-W1 AMSR-2 Level 1R and Level 2 Algorithms; Japan Aerospace Exploration Agency Earth Observation Research Center: Ibaraki, Japan, 2013. [Google Scholar]
- Chang, A.T.; Rango, A. Algorithm Theoretical Basis Document (ATBD) for the AMSR-E Snow Water Equivalent Algorithm; NASA/GSFC: Greenbelt, MD, USA, 2000. [Google Scholar]
- Hori, M.; Sugiura, K.; Kobayashi, K.; Aoki, T.; Tanikawa, T.; Kuchiki, K.; Niwano, M.; Enomoto, H. A 38-year (1978–2015) northern hemisphere daily snow cover extent product derived using consistent objective criteria from satellite-borne optical sensors. Remote Sens. Environ. 2017, 191, 402–418. [Google Scholar] [CrossRef]
- Romanov, P.; Gutman, G.; Csiszar, I. Automated monitoring of snow cover over North America with multispectral satellite data. J. Appl. Meteorol. 2000, 39, 1866–1880. [Google Scholar] [CrossRef]
- Chen, X.; Jiang, L.; Yang, J.; Pan, J. Validation of ice mapping system snow cover over southern china based on landsat enhanced thematic mapper plus imagery. J. Appl. Remote Sens. 2014, 8. [Google Scholar] [CrossRef]
- Rittger, K.; Painter, T.H.; Dozier, J. Assessment of methods for mapping snow cover from MODIS. Adv. Water Resour. 2013, 51, 367–380. [Google Scholar] [CrossRef]
- Lee, Y.K.; Kongoli, C.; Key, J. An in-depth evaluation of heritage algorithms for snow cover and snow depth using AMSR-E and AMSR2 measurements. J. Atmos. Ocean. Technol. 2015, 32, 2319–2336. [Google Scholar] [CrossRef]
- Siljamo, N.; Hyvärinen, O. New geostationary satellite-based snow-cover algorithm. J. Appl. Meteorol. Clim. 2011, 50, 1275–1290. [Google Scholar] [CrossRef]
- Grody, N.C. Classification of snow cover and precipitation using the special sensor microwave imager. J. Geophys. Res. Atmos. 1991, 96, 7423–7435. [Google Scholar] [CrossRef]
- Foster, J.L.; Hall, D.K.; Chang, A.T.C.; Rango, A. An overview of passive microwave snow research and results. Rev. Geophys. Space Phys. 1984, 22, 195–208. [Google Scholar] [CrossRef]
- Brubaker, K.L.; Pinker, R.T.; Deviatova, E. Evaluation and comparison of MODIS and IMS snow-cover estimates for the continental united states using station data. J. Hydrometeorol. 2005, 6, 1002–1017. [Google Scholar] [CrossRef]
- Wang, J.; Li, H.; Hao, X.; Huang, X.; Hou, J.; Che, T.; Dai, L.; Liang, T.; Huang, C.; Li, H.; et al. Remote sensing for snow hydrology in China: Challenges and perspectives. J. Appl. Remote Sens. 2014, 8. [Google Scholar] [CrossRef]
- Yang, J.; Jiang, L.; Menard, C.B.; Luojus, K.; Lemmetyinen, J.; Pulliainen, J. Evaluation of Snow Products over the Tibetan Plateau. Hydrol. Process. 2015, 29, 3247–3260. [Google Scholar] [CrossRef]
- Klein, A.G.; Barnett, A.C. Validation of daily MODIS snow cover maps of the Upper Rio Grande River Basin for the 2000–2001 snow year. Remote Sens. Environ. 2003, 86, 162–176. [Google Scholar] [CrossRef]
- Rittger, K.; Bair, E.H.; Kahl, A.; Dozier, J. Spatial estimates of snow water equivalent from reconstruction. Adv. Water Resour. 2016, 94, 345–363. [Google Scholar] [CrossRef]
- Romanov, P.; Dan, T.; Gutman, G.; Carroll, T. Mapping and monitoring of the snow cover fraction over North America. J. Geophys. Res. 2003, 108, 137–141. [Google Scholar] [CrossRef]
- Bitner, D.; Carroll, T.; Cline, D.; Romanov, P. An assessment of the differences between three satellite snow cover mapping techniques. Hydrol. Process. 2002, 16, 3723–3733. [Google Scholar] [CrossRef]
- Sharma, R.; Ghosh, A.; Joshi, P.K. Decision tree approach for classification of remotely sensed satellite data using open source support. J. Erath Syst. Sci. 2013, 122, 1237–1247. [Google Scholar] [CrossRef]
- Pan, J. Study of the Snow Detection Decision Tree Algorithm Using Passive Microwave Remote Sensing Technology in the South of China. Master’s Thesis, Beijing Normal University, Beijing, China, 2012. [Google Scholar]
- Walker, A.E.; Goodison, B.E. Discrimination of a wet snowcover using passive microwave satellite data. Ann. Glaclol. 1993, 17. [Google Scholar] [CrossRef]
- Wu, S.; Chen, J. Instrument performance and cross calibration of FY-3C MWRI. In Proceedings of the 36th IEEE International Geoscience and Remote Sensing Symposium, IGARSS 2016, Beijing, China, 10–15 July 2016; pp. 388–391. [Google Scholar]
- Yang, J.; Luojus, K.; Lemmetyinen, J.; Jiang, L.; Pulliainen, J. Comparison of SSMIS, AMSR-E and MWRI brightness temperature data. In Proceedings of the Joint 2014 IEEE International Geoscience and Remote Sensing Symposium, IGARSS 2014 and the 35th Canadian Symposium on Remote Sensing, CSRS 2014, Quebec City, QC, Canada, 13–18 July 2014; pp. 2574–2577. [Google Scholar]













| Methods | Classification Criteria | Remark | ||||
|---|---|---|---|---|---|---|
| Grody‘s algorithm | Scattering materials: Tb23V − Tb89V > 0 or Tb19V − Tb37V > 0 | |||||
| Snow: | Non-snow | |||||
| Do not meet the criteria of non-snow | Precipitation | (Tb23V ≥ 258) or (Tb23V ≥ 165 + 0.49 * Tb89V) or (254 ≤ Tb23V ≤ 258.0 & (Tb23V − Tb89V ≤ 2 or Tb19V − Tb37V ≤ 2)) | ||||
| Cold Desert: | (Tb19V − Tb19H ≥ 18) & (Tb19V − Tb37V ≤ 10) & (Tb37V − Tb89V ≤ 10) | |||||
| Frozen ground | (Tb19V − Tb19H ≥ 8) & (Tb23V − Tb89V) ≤ 6 & (Tb19V − Tb37V) ≤ 2 | |||||
| Glacier | (Tb23V ≤ 229 & Tb19V − Tb19H ≥ 23) or (Tb23V < 210) | |||||
| South China algorithm | Scattering materials: DTb23V − DTb89V > 5 or DTb19V − DTb37V > 5 | DTb: descending orbit ATb: ascending orbit ASCT = ATb23.8V − ATb89V − (ATb18.7V − ATb37.5V) F-: Forest-covered region or dense vegetation coverd region S-: Sparse-vegetation region | ||||
| Snow | Non-snow | |||||
| S-region snow: | (DTb23V − DTb89V≥22) or (DTb23V − DTb89V < 22 & DTb37.5V < 260 & DTb37V − DTb37H ≥ 6) & (DTb23V − DTb89V ≥ 12 or (DTb23V − DTb89V < 12 & ATb37V < 265 & ASCT ≥ 0)) | Precipitation: | (DTb23V ≥ 265) or (DTb23V ≥ 169 + 0.5 * DTb89V) or ((DTb23V − DTb89V ≤ 6 or DTb18V − DTb37V ≤ 6) or (261 ≤ DTb23V ≤ 265)) | |||
| Cold Desert: | (DTb18V − DTb18H ≥ 18) & (DTb18V − DTb37V ≥ 14) & (DTb23V − DTb89V ≤ 10) | |||||
| F-region snow | (DTb23V − DTb89V < 22 & DTb37V < 260 and DTb37V − DTb37H < 6) & (ATb23V − ATb89V ≥ 3 or (ATb23V − ATb89V < 10 & ATb89V < 264 & ATb23V − ATb89V < 3)) | Frozen/Thaw soil | ||||
| F/S-Region: | DTb23V − DTb89V < 22 & DTb37V ≥ 260 | |||||
| S-Region: | (DTb23V − DTb89V < 22) & (DTb37V < 260) and (DTb37V − DTb37H ≥ 6) & (ATb37V ≥ 265 or (ATb37V < 265 & ASCT < 0)) | |||||
| F-Region: | (DTb23V − DTb89V < 22) & (DTb37V < 260) & (DTb37V − DTb37H < 6) & (ATb23V − ATb89V < 3) & ((ATb89V − DTb89V ≥ 10) or (ATb89V − DTb89V < 10 & ATb89V ≥ 264)) | |||||
| Kelly‘s algorithm | Scattering materials: Tb18V−Tb37V > 0 | KLVN = 58.08 − 0.39 × Tb19V + 1.21 × Tb23V-0.37 × Tb37H + 0.36 × Tb89V | ||||
| Snow: Tb37H < 245 & Tb37V < 255 | ||||||
| Moderate to deep snow | Tb10V − Tb37V > 0 K or Tb10H − Tb37H > 0 | |||||
| Shallow snow | (Tb89V < 255) & (Tb89H < 255) & (Tb23V − Tb89V > 0) & (Tb23H − Tb89H > 0) & (KLVN < 267) | |||||
| FY3 SCA algorithm | Scattering materials: Tb23V − Tb89V ≥ 5 or Tb19V − Tb37V ≥ 5 | |||||
| Snow | ||||||
| Thick Dry snow | Tb23V ≤ 260 & (Tb19V − Tb37V) ≥ 20 & ((Tb23V − Tb89V) − (Tb19V − Tb37V)) ≥ 8 | |||||
| Thick wet snow | Tb23V ≤ 260 & (Tb19V − Tb37V) ≥ 20 & ((Tb23V − Tb89V) − (Tb19V − Tb37V)) < 8 | |||||
| Thin dry snow | Tb23V ≤ 260 & (Tb19V − Tb37V) < 20 & ((Tb23V − Tb89V) − (Tb19V − Tb37V)) ≥ 8 | |||||
| Thin wet snow/forest-coverd thin snow | Tb23V ≤ 260 & (Tb19V − Tb37V) < 20 & −5 < ((Tb23V − Tb89V) − (Tb19V − Tb37V)) < 8 & ((Tb19V − Tb19H) ≤ 6 or (Tb19V − Tb37V) ≥ 10) | |||||
| Thick wet snow | Tb23V ≤ 260 & (Tb19V − Tb37V) < 20 & ((Tb23V − Tb89V) − (Tb19V − Tb37V)) ≤ −5 | |||||
| Hall‘s algorithm | Snow: (Tb19V − Tb37H) × 1.59 > 8 & Tb37V < 250 & Tb37H < 240 | |||||
| Neal‘s algorithm | Snow: Tb23V − Tb19V ≤ 4 & (Tb19V + Tb37V) − (Tb19H + Tb37H) > 8 & Tb19V − Tb37V > 6.5 & Tb19V − Tb19H ≥ 5 & Tb19V ≤ 257 | |||||
| Singh‘s algorithm | Snow: Tb37V < 250 & Tb19V − Tb37V ≥ 9 & Tb37V − Tb37H ≥ 10 & 0.026 < (Tb37V − Tb37H)/(Tb37V + Tb37H) < 0.041 | |||||
| Reference SCA: Snow | Reference SCA: Snow Free | |
|---|---|---|
| PMW SCA: snow | true positive (TP) | false negative (FN) |
| PMW SCA: snow free | false positive (FP) | true negative (TN) |
| Overall accuracy (OA): (TP + TN)/(TP + TN + FN + FP) | ||
| Omission error (OE): FP/(FP + TP) | ||
| Commission error (CE): FN/(FN + TP) | ||
| Positive predictive value (PPV): TP/(TP + FP) | ||
| Reference SCA: Ice mapping system (IMS) SCA data and in situ measurements | ||
| SCA Reference | |||||||||
|---|---|---|---|---|---|---|---|---|---|
| In Situ Measurements | IMS SCA (SCF > 50%) | ||||||||
| Algorithm | OA | OE | CE | PPV | OA | OE | CE | PPV | Node |
| FY3 SCA Algorithm | 0.950 | 0.384 | 0.210 | 0.616 | 0.902 | 0.289 | 0.102 | 0.711 | A 1 |
| 0.950 | 0.399 | 0.201 | 0.601 | 0.894 | 0.319 | 0.105 | 0.681 | D 1 | |
| Grody’s Algorithm | 0.921 | 0.268 | 0.453 | 0.732 | 0.853 | 0.155 | 0.319 | 0.845 | A 1 |
| 0.945 | 0.329 | 0.291 | 0.671 | 0.899 | 0.207 | 0.179 | 0.793 | D 1 | |
| South China Algorithm | 0.919 | 0.173 | 0.498 | 0.827 | 0.958 | 0.164 | 0.420 | 0.836 | A 1 and D 1 |
| Neal’s Algorithm | 0.926 | 0.606 | 0.348 | 0.394 | 0.782 | 0.487 | 0.395 | 0.513 | A 1 |
| 0.934 | 0.645 | 0.187 | 0.355 | 0.820 | 0.531 | 0.239 | 0.469 | D 1 | |
| Singh’s Algorithm | 0.920 | 0.855 | 0.178 | 0.145 | 0.745 | 0.831 | 0.431 | 0.169 | A 1 |
| 0.921 | 0.860 | 0.040 | 0.140 | 0.764 | 0.860 | 0.160 | 0.140 | D 1 | |
| Hall’s Algorithm | 0.931 | 0.492 | 0.347 | 0.508 | 0.848 | 0.305 | 0.276 | 0.695 | A 1 |
| 0.941 | 0.534 | 0.197 | 0.466 | 0.874 | 0.382 | 0.128 | 0.618 | D 1 | |
| Kelly’s Algorithm | 0.895 | 0.280 | 0.549 | 0.720 | 0.713 | 0.299 | 0.526 | 0.701 | A 1 |
| 0.931 | 0.344 | 0.387 | 0.656 | 0.754 | 0.347 | 0.469 | 0.653 | D 1 | |
| Methods | Information of the Training Datasets | |||
|---|---|---|---|---|
| Spatial Coverage | Temporal Coverage | Satellite Data | Ground Truth Data and Auxiliary Data | |
| Grody‘s algorithm | Various regions in the world including the USA, Canada, Africa, Australia, etc. | Various days in 1987 and 1993 | SSM/I | Surface survey reports including precipitation, snow cover, etc. |
| South China algorithm | North China Plain, the South China and the southern part of Inner Mongolia | 1 Jaunary 2008–20 February 2008 | AMSR-E | Chinese Meteorological observations, one-kilometer Chinese land-use map |
| Kelly‘s algorithm | Northern hemisphere | 2007–2008 winter seasons | AMSR-E | Snow climatology dataset Land, ocean, coasts and ice product, MODIS land cover product Forest characterization map |
| FY3 algorithm | North-east Inner Mongolia Autonomous Region and Taklamakan Desert | October 1998–March 2003 winter seasons | SSM/I | Chinese Meteorological observations, NOAA/AVHRR snow cover map |
| Neal‘s algorithm | USA | Several days during 1987–1988 | SSM/I | Major Land Resource Region classification of the Soil Conservation Service; NOAA cooperative network of stations |
| Singh‘s algorithm | Red River basin in USA | 1988,1989 and 1997 winter seasons | SSM/I | Airborne gamma radiation survey dataset of NWS-USA |
| Hall‘s algorithm | A modified version of Chang snow depth algorithm (SD = 1.59 × (Tb19H − Tb37H)) for dry snow identification | |||
© 2018 by the authors. Licensee MDPI, Basel, Switzerland. This article is an open access article distributed under the terms and conditions of the Creative Commons Attribution (CC BY) license (http://creativecommons.org/licenses/by/4.0/).
Share and Cite
Liu, X.; Jiang, L.; Wu, S.; Hao, S.; Wang, G.; Yang, J. Assessment of Methods for Passive Microwave Snow Cover Mapping Using FY-3C/MWRI Data in China. Remote Sens. 2018, 10, 524. https://doi.org/10.3390/rs10040524
Liu X, Jiang L, Wu S, Hao S, Wang G, Yang J. Assessment of Methods for Passive Microwave Snow Cover Mapping Using FY-3C/MWRI Data in China. Remote Sensing. 2018; 10(4):524. https://doi.org/10.3390/rs10040524
Chicago/Turabian StyleLiu, Xiaojing, Lingmei Jiang, Shengli Wu, Shirui Hao, Gongxue Wang, and Jianwei Yang. 2018. "Assessment of Methods for Passive Microwave Snow Cover Mapping Using FY-3C/MWRI Data in China" Remote Sensing 10, no. 4: 524. https://doi.org/10.3390/rs10040524
APA StyleLiu, X., Jiang, L., Wu, S., Hao, S., Wang, G., & Yang, J. (2018). Assessment of Methods for Passive Microwave Snow Cover Mapping Using FY-3C/MWRI Data in China. Remote Sensing, 10(4), 524. https://doi.org/10.3390/rs10040524

