Spatial Consistency Assessments for Global Land-Cover Datasets: A Comparison among GLC2000, CCI LC, MCD12, GLOBCOVER and GLCNMO
Abstract
1. Introduction
2. Materials and Methods
2.1. Data Resources and Preprocessing
2.2. Analysis Methods
2.2.1. Category Composition Similarity Analysis
2.2.2. Overall Consistency and Category Consistency Analysis
2.2.3. Spatial Multiple-Consistency Analysis
2.2.4. Weighted Complexity of the Land Cover
3. Results
3.1. Spatial Consistency at the Global and Continental Scales
3.1.1. Category Composition Similarity at the Global and Continental Scales
3.1.2. Overall Consistency Differences at the Global and Continental Scales
3.1.3. Category Consistency Difference at the Global and Continental Scales
3.1.4. Spatial Multiple-Consistency at the Global and Continental Scales
3.2. Spatial Consistency of Elevation and Climatic Zones
3.2.1. Overall Consistency Differences of Continental Elevations
3.2.2. Category Consistency Differences of Continental Elevations
3.2.3. Overall Consistency Differences of Climatic Zones
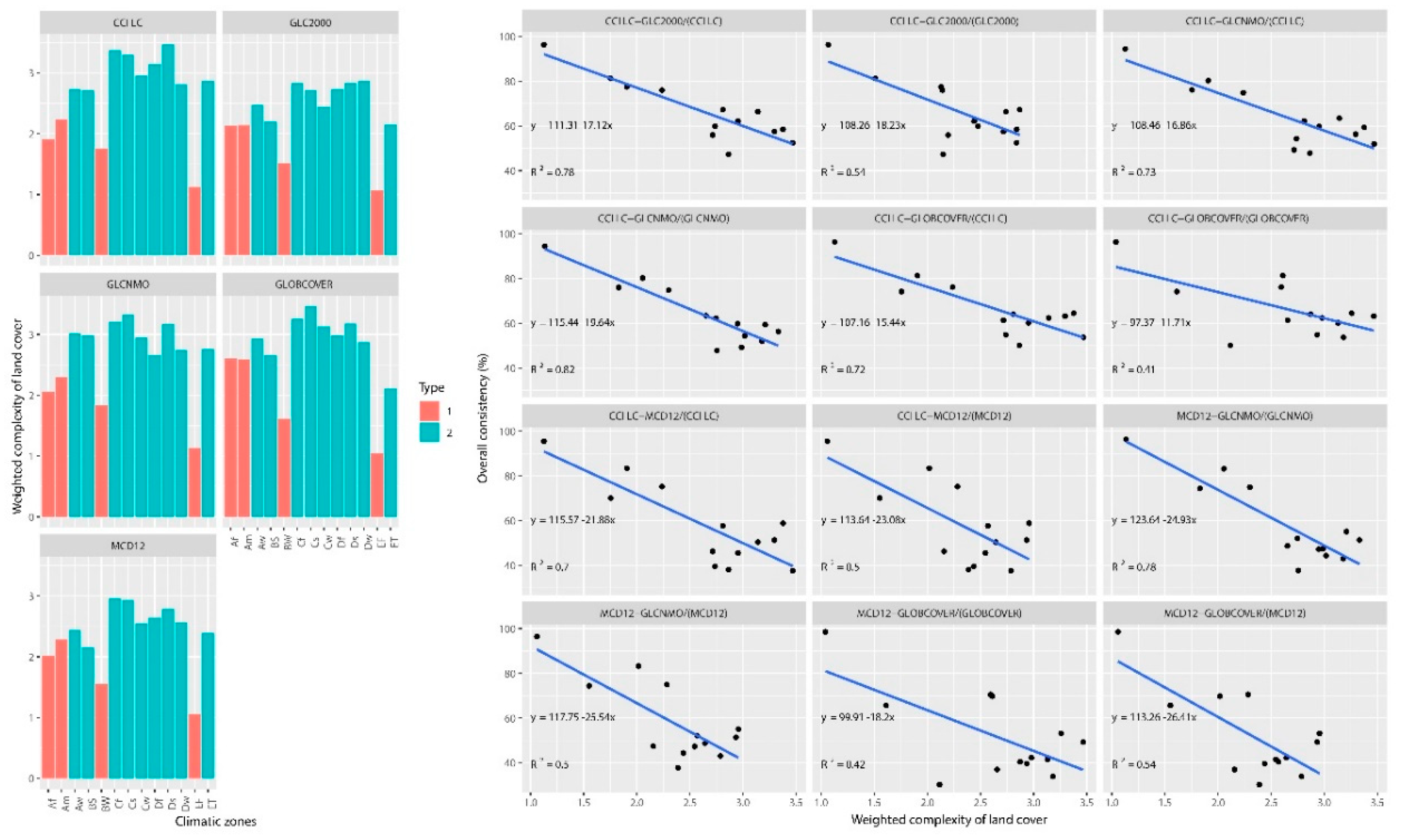
3.2.4. Category Consistency Differences of Climatic Zones
4. Discussion
4.1. Advantages of Temporal Consistency and Geographical Zoning on Spatial Assessment
4.2. Inconsistencies from Surface Conditions
4.3. Inconsistencies from Dataset Producers
4.4. Lessons of Global Land-Cover Mapping
5. Conclusions
Supplementary Materials
Author Contributions
Funding
Acknowledgments
Conflicts of Interest
References
- Foley, J.A.; Defries, R.; Asner, G.P.; Barford, C.; Bonan, G.; Carpenter, S.R.; Chapin, F.S.; Coe, M.T.; Daily, G.C.; Gibbs, H.K. Global consequences of land use. Science 2005, 309, 570–574. [Google Scholar] [CrossRef] [PubMed]
- Turner, B.L.; Lambin, E.F.; Reenberg, A. The emergence of land change science for global environmental change and sustainability. Proc. Natl. Acad. Sci. USA 2007, 104, 20666–20671. [Google Scholar] [CrossRef] [PubMed]
- Bonan, G.B. The land surface climatology of the NCAR land surface model coupled to the NCAR community climate model*. J. Clim. 2002, 15, 3123–3149. [Google Scholar] [CrossRef]
- Running, S.W.; Nemani, R.R.; Heinsch, F.A.; Zhao, M.; Reeves, M.; Hashimoto, H. A continuous satellite-derived measure of global terrestrial primary production. Bioscience 2004, 54, 547–560. [Google Scholar] [CrossRef]
- Zhang, K.; Kimball, J.S.; Mu, Q.; Jones, L.A.; Goetz, S.J.; Running, S.W. Satellite based analysis of northern et trends and associated changes in the regional water balance from 1983 to 2005. J. Hydrol. 2009, 379, 92–110. [Google Scholar] [CrossRef]
- Stehman, S. Basic probability sampling designs for thematic map accuracy assessment. Int. J. Remote Sens. 1999, 20, 2423–2441. [Google Scholar] [CrossRef]
- Mcroberts, R.E. Probability- and model-based approaches to inference for proportion forest using satellite imagery as ancillary data. Remote Sens. Environ. 2010, 114, 1017–1025. [Google Scholar] [CrossRef]
- Sutherland, W.J.; Adams, W.M.; Aronson, R.B.; Aveling, R.; Blackburn, T.M.; Broad, S.; Ceballos, G.; Côté, I.M.; Cowling, R.M.; Fonseca, G.A.B.D. One hundred questions of importance to the conservation of global biological diversity. Conserv. Boil. 2009, 23, 557–567. [Google Scholar] [CrossRef] [PubMed]
- Chen, B.; Chen, J.M.; Ju, W. Remote sensing-based ecosystem–atmosphere simulation scheme (EASS)—model formulation and test with multiple-year data. Ecol. Model. 2007, 209, 277–300. [Google Scholar] [CrossRef]
- Sellers, P.J.; Randall, D.A.; Collatz, G.J.; Berry, J.A.; Field, C.B.; Dazlich, D.A.; Zhang, C.; Collelo, G.D.; Bounoua, L. A Revised Land Surface Parameterization (SiB2) for Atmospheric GCMs. Part I: Model Formulation. J. Clim. 1996, 9, 676–705. [Google Scholar] [CrossRef]
- Dai, Y.; Zeng, X.; Dickinson, R.E.; Baker, I.; Bonan, G.B.; Bosilovich, M.G.; Denning, A.S.; Dirmeyer, P.A.; Houser, P.R.; Niu, G. The common land model. Bull. Am. Meteor. Soc. 2015, 1, 1013–1023. [Google Scholar] [CrossRef]
- Yu, L.; Su, J.; Li, C.; Wang, L.; Luo, Z.; Yan, B. Improvement of moderate resolution land use and land cover classification by introducing adjacent region features. Remote Sens. 2018, 10, 414. [Google Scholar] [CrossRef]
- Matthews, E. Global vegetation and land use: New high-resolution data bases for climate studies. J. Clim. Appl. Meteorol 1983, 22, 474–487. [Google Scholar] [CrossRef]
- Olson, J.S.; Watts, J.S. Major World Ecosystem Complexes; Oak Ridge National Laboratory: Oak Ridge, TN, USA, 1982.
- Henderson-Sellers, A.; Wilson, M.F.; Thomas, G.; Dickinson, R.E. Current Global Land-Surface Data Sets for Use in Climate Related Studies; NCAR: Boulder, CO, USA, 1985. [Google Scholar]
- Defries, R.; Hansen, M.; Townshend, J. Global discrimination of land cover types from metrices derived from AVHRR pathfinder data. Remote Sens. Environ. 1995, 54, 209–222. [Google Scholar] [CrossRef]
- Loveland, T.R.; Belward, A.S. The IGBP-DIS global 1 km land cover data set, discover: First results. Int. J. Remote Sens. 1997, 18, 3289–3295. [Google Scholar] [CrossRef]
- Loveland, T.R.; Reed, B.C.; Brown, J.F.; Ohlen, D.O.; Zhu, Z.; Yang, L.; Merchant, J.W.; Defries, R.S.; Belward, A.S. Development of a global land cover characteristics database and IGBP discover from 1 km AVHRR data. Int. J. Remote Sens. 2000, 21, 1303–1330. [Google Scholar] [CrossRef]
- Arino, O.; Bicheron, P.; Achard, F.; Latham, J.; Witt, R.; Weber, J.L. Globcover: The most detailed portrait of earth. ESA Bull. Bull. ASE. Eur. Space Agency 2008, 2008, 24–31. [Google Scholar]
- Bicheron, P.; Defourny, P.; Brockmann, C.; Schouten, L.; Vancutsem, C.; Huc, M.; Bontemps, S.; Leroy, M.; Achard, F.; Herold, M. Globcover: Products description and validation report. Foro Mund. De La Salud 2011, 17, 285–287. [Google Scholar]
- Defourny, P.; Kirches, G.; Brockmann, C.; Boettcher, M.; Peters, M.; Bontemps, S.; Lamarche, C.; Schlerf, M.; Santoro, M. Land Cover CCI: Product User Guide Version 2. Available online: http://maps.elie.ucl.ac.be/CCI/viewer/download/ESACCI-LC-PUG-V2.4.pdf (accessed on 11 June 2015).
- Brown, J.F.; Loveland, T.R.; Ohlen, D.O. The global land-cover characteristics database: The users’ perspective. Photogramm. Eng. Remote Sens. 1999, 65, 1069–1074. [Google Scholar]
- Foody, G.M. Status of land cover classification accuracy assessment. Remote Sens. Environ. 2002, 80, 185–201. [Google Scholar] [CrossRef]
- Foody, G.M. Assessing the accuracy of land cover change with imperfect ground reference data. Remote Sens. Environ. 2010, 114, 2271–2285. [Google Scholar] [CrossRef]
- Herold, M.; Mayaux, P.; Woodcock, C.E.; Baccini, A.; Schmullius, C. Some challenges in global land cover mapping: An assessment of agreement and accuracy in existing 1km datasets. Remote Sens. Environ. 2008, 112, 2538–2556. [Google Scholar] [CrossRef]
- Fritz, S.; See, L.; Rembold, F. Comparison of global and regional land cover maps with statistical information for the agricultural domain in Africa. Int. J. Remote Sens. 2010, 31, 2237–2256. [Google Scholar] [CrossRef]
- Giri, C.; Zhu, Z.; Reed, B. A comparative analysis of the global land cover 2000 and MODIS land cover data sets. Remote Sens. Environ. 2005, 94, 123–132. [Google Scholar] [CrossRef]
- Mccallum, I.; Obersteiner, M.; Nilsson, S.; Shvidenko, A. A spatial comparison of four satellite derived 1 km global land cover datasets. Int. J. Appl. Earth Obs. Geoinf. 2006, 8, 246–255. [Google Scholar] [CrossRef]
- Tchuenté, A.T.K.; Roujean, J.L.; Jong, S.M.D. Comparison and relative quality assessment of the GLC2000, GLOBCOVER, MODIS and ECOCLIMAP land cover data sets at the African continental scale. Int. J. Appl. Earth Obs. Geoinf. 2011, 13, 207–219. [Google Scholar] [CrossRef]
- Latifovic, R.; Olthof, I. Accuracy assessment using sub-pixel fractional error matrices of global land cover products derived from satellite data. Remote Sens. Environ. 2004, 90, 153–165. [Google Scholar] [CrossRef]
- Ran, Y.; Li, X.; Lu, L. Evaluation of four remote sensing based land cover products over China. Int. J. Remote Sens. 2010, 31, 391–401. [Google Scholar] [CrossRef]
- Wu, W.; Shibasaki, R.; Ongaro, L.; Ongaro, L.; Zhou, Q.; Tang, H. Validation and comparison of 1 km global land cover products in China. Int. J. Remote Sens. 2008, 29, 3769–3785. [Google Scholar] [CrossRef]
- Song, X.P.; Hansen, M.C.; Stehman, S.V.; Potapov, P.V.; Tyukavina, A.; Vermote, E.F.; Townshend, J.R. Global land change from 1982 to 2016. Nature 2018, 560, 639–643. [Google Scholar] [CrossRef] [PubMed]
- Seto, K.C.; Michail, F.; Burak, G.; Reilly, M.K. A meta-analysis of global urban land expansion. PLoS ONE 2011, 6, e23777. [Google Scholar] [CrossRef] [PubMed]
- Dewan, A.M.; Yamaguchi, Y. Land use and land cover change in Greater Dhaka, Bangladesh: Using remote sensing to promote sustainable urbanization. Appl. Geogr. 2009, 29, 390–401. [Google Scholar] [CrossRef]
- Bartholome, E.; Belward, A.S. Glc2000: A new approach to global land cover mapping from earth observation data. Int. J. Remote Sens. 2005, 26, 1959–1977. [Google Scholar] [CrossRef]
- Friedl, M.A.; Sulla-Menashe, D.; Tan, B.; Schneider, A.; Ramankutty, N.; Sibley, A.; Huang, X. Modis collection 5 global land cover: Algorithm refinements and characterization of new datasets. Remote Sens. Environ. 2010, 114, 168–182. [Google Scholar] [CrossRef]
- Kasimu, A. Production of global land cover data—GLCNMO. J. Geogr. Geol. 2011, 4, 22–49. [Google Scholar]
- European Space Agency Climate Change Initiative. Available online: http://maps.elie.ucl.ac.be/CCI/viewer/index.php (accessed on 21 November 2018).
- The Global Land Cover by National Mapping Organizations. Available online: https://globalmaps.github.io/glcnmo.html (accessed on 21 November 2018).
- European Space Agency GlobCover Portal. Available online: http://due.esrin.esa.int/page_globcover.php (accessed on 21 November 2018).
- USGS Earth Resources Observation and Science (EROS) Center. Available online: https://e4ftl01.cr.usgs.gov/MOTA/ (accessed on 21 November 2018).
- Joint Research Centre, the European Commission’s Science and Knowledge Service. Available online: http://forobs.jrc.ec.europa.eu/products/glc2000/products.php (accessed on 21 November 2018).
- World Maps of KOPPEN-GEIGER Climate Classification. Available online: http://koeppen-geiger.vu-ien.ac.at/ (accessed on 21 November 2018).
- Hu, Y.; Zhang, Q.; Dai, Z.; Huang, M.; Yan, H. Agreement analysis of multi-sensor satellite remote sensing derived land cover products in the Europe Continent. Geogr. Res. 2015, 34, 1839–1852. (In Chinese) [Google Scholar]
- Canters, F. Evaluating the uncertainty of area estimates derived from fuzzy land-cover classification. Photogramm. Eng. Remote Sens. 1997, 63, 403–414. [Google Scholar]
- Liu, F.; Chinitz, L.M.; Abe, K.; Breedon, R.E.; Fujii, Y.; Kurihara, Y.; Maki, A.; Nozaki, T.; Omori, T.; Sagawa, H. A scalable approach to mapping annual land cover at 250 m using MODIS time series data: A case study in the Dry Chaco ecoregion of South America. Remote Sens. Environ. 2010, 114, 2816–2832. [Google Scholar]
- Fung, T.; Ledrew, E.F. The determination of optimal threshold levels for change detection using various accuracy indices. Photogramm. Eng. Remote Sens. 1988, 54, 1449–1454. [Google Scholar]
- Janssen, L.L.F.; Wel, F.J.M.V.D. Accuracy assessment of satellite derived land cover data: A review. Photogramm. Eng. Remote Sens. 1994, 60, 419–426. [Google Scholar]
- Defries, R.; Townshend, J. Ndvi-derived land cover classification at global scales. Int. J. Remote Sens. 1994, 15, 3567–3586. [Google Scholar] [CrossRef]
- Hansen, M.C.; Reed, B.; Defries, R.S.; Belward, A.S. A comparison of the igbp discover and university of maryland 1 km global land cover products. Int. J. Remote Sens. 2000, 21, 1365–1373. [Google Scholar] [CrossRef]
- Latifovic, R.; Zhu, Z.L.; Cihlar, J.; Giri, C.; Olthof, I. Land cover mapping of north and central America—global land cover 2000. Remote Sens. Environ. 2004, 89, 116–127. [Google Scholar] [CrossRef]
- Bai, Y.; Feng, M.; Jiang, H.; Wang, J.; Zhu, Y.; Liu, Y. Assessing consistency of five global land cover data sets in China. Remote Sens. 2014, 6, 8739–8759. [Google Scholar] [CrossRef]
- Jung, M.; Henkel, K.; Herold, M.; Churkina, G. Exploiting synergies of global land cover products for carbon cycle modeling. Remote Sens. Environ. 2006, 101, 534–553. [Google Scholar] [CrossRef]
- Pérezhoyos, A.; Rembold, F.; Kerdiles, H.; Gallego, J. Comparison of global land cover datasets for cropland monitoring. Remote Sens. 2017, 9. [Google Scholar] [CrossRef]
- Allen, G.H.; Pavelsky, T.M. Global extent of rivers and streams. Science 2018, 361, 585–588. [Google Scholar] [CrossRef] [PubMed]
- Gong, P.; Wang, J.; Yu, L.; Zhao, Y.; Zhao, Y.; Liang, L.; Niu, Z.; Huang, X.; Fu, H.; Liu, S. Finer resolution observation and monitoring of global land cover: First mapping results with Landsat tm and ETM+ data. Int. J. Remote Sens. 2013, 34, 2607–2654. [Google Scholar] [CrossRef]
- Congalton, R.G.; Gu, J.; Yadav, K.; Thenkabail, P.; Ozdogan, M. Global land cover mapping: A review and uncertainty analysis. Remote Sens. 2014, 6, 12070–12093. [Google Scholar] [CrossRef]
- Yang, Y.; Xiao, P.; Feng, X.; Li, H. Accuracy assessment of seven global land cover datasets over China. ISPRS J. Photogramm. Remote Sens. 2017, 125, 156–173. [Google Scholar] [CrossRef]
- Eric, S.K. Moritoring south Florida wetlands using ERS-1 SAR imagery. Photogramm. Eng. Remote Sens. 1997, 63, 281–291. [Google Scholar]
- Martinez, J.M.; Toan, T.L. Mapping of flood dynamics and spatial distribution of vegetation in the amazon floodplain using multitemporal SAR data. Remote Sens. Environ. 2007, 108, 209–223. [Google Scholar] [CrossRef]
- Baghdadi, N.; Bernier, M.; Gauthier, R.; Neeson, I. Evaluation of c-band SAR data for wetlands mapping. Int. J. Remote Sens. 2001, 22, 71–88. [Google Scholar] [CrossRef]
- Ju, J.; Roy, D.P. The availability of cloud-free Landsat ETM+ data over the conterminous United States and globally. Remote Sens. Environ. 2008, 112, 1196–1211. [Google Scholar] [CrossRef]
- Defries, R. Terrestrial vegetation in the coupled human-earth system: Contributions of remote sensing. Soc. Sci. Electron. Publ. 2008, 33, 369–390. [Google Scholar] [CrossRef]
- Freitas, C.D.C.; Soler, L.D.S.; Sant’Anna, S.J.S.; Dutra, L.V.; Santos, J.R.D.; Mura, J.C.; Correia, A.H. Land use and land cover mapping in the brazilian amazon using polarimetric airborne p-band SAR data. IEEE Trans. Geosci. Remote Sens. 2008, 46, 2956–2970. [Google Scholar] [CrossRef]
- Schneider, A. A new map of global urban extent from MODIS satellite data. Environ. Res. Lett. 2009, 4, 44003–44011. [Google Scholar] [CrossRef]
- Liu, Z.; He, C.; Zhang, Q.; Huang, Q.; Yang, Y. Extracting the dynamics of urban expansion in China using DMSP-OLS nighttime light data from 1992 to 2008. Landsc. Urban Plan. 2012, 106, 62–72. [Google Scholar] [CrossRef]
- Xiao, P.; Wang, X.; Feng, X.; Zhang, X.; Yang, Y. Detecting china’s urban expansion over the past three decades using nighttime light data. IEEE J. Sel. Top. Appl. Earth Obs. Remote Sens. 2014, 7, 4095–4106. [Google Scholar] [CrossRef]






| Dataset | Resolution (m) | Classification System | Publication Organization | Classification Method | Time |
|---|---|---|---|---|---|
| CCI LC [39] | 300 | UN LCCS (22 classes) | European Space Agency | Unsupervised classification | 1992–2015 |
| GLCNMO [40] | 1000/500 | FAO LCCS (20 classes) | The International Steering Committee for Global Mapping | Supervised classification/ decision tree classification | 2003/ 2008/ 2013 |
| GLOBCOVER [41] | 300 | FAOLCCS (22 classes) | European Space Agency | Unsupervised classification/ supervised classification | 2005/ 2009 |
| MCD12 [42] | 500 | IGBP (17 classes) | United States Geological Survey | Supervised classification/ decision tree/ neural network | 2001–2013 |
| GLC2000 [43] | 1000 | FAO LCCS (23 classes) | Joint Research Centre | Unsupervised classification | 2000 |
| CCI LC | MCD12 | GLC2000 | GLOBCOVER | GLCNMO | |
|---|---|---|---|---|---|
| 1 Forest | 50/60/61/62/70 /71/72/80/81/82 /90/100/160/170 | 1/2/3/4/5 | 1/2/3/4/5/6/9 | 40/50/60/70/90/ 100 | 1/2/3/4/5/6 |
| 2 Grassland | 110/130/140 | 8/9/10 | 13 | 110/120/140 | 8/9 |
| 3 Shrub | 120/121/122 | 6/7 | 11/12 | 130 | 7/14 |
| 4 Cropland | 10/11/12/20/30/40 | 12/14 | 16/17/18 | 11/14/20/30 | 11/12/13 |
| 5 Wetland | 180 | 11 | 7/8/15 | 160/170/180 | 15 |
| 6 Water | 210 | 0 | 20 | 210 | 20 |
| 7 Construction | 190 | 13 | 22 | 190 | 18 |
| 8 Bare land | 150/152/153/200 /201/202 | 16 | 14/19 | 150/200 | 10/16/17 |
| 9 Permanentice and snow | 220 | 15 | 21 | 220 | 19 |
© 2018 by the authors. Licensee MDPI, Basel, Switzerland. This article is an open access article distributed under the terms and conditions of the Creative Commons Attribution (CC BY) license (http://creativecommons.org/licenses/by/4.0/).
Share and Cite
Hua, T.; Zhao, W.; Liu, Y.; Wang, S.; Yang, S. Spatial Consistency Assessments for Global Land-Cover Datasets: A Comparison among GLC2000, CCI LC, MCD12, GLOBCOVER and GLCNMO. Remote Sens. 2018, 10, 1846. https://doi.org/10.3390/rs10111846
Hua T, Zhao W, Liu Y, Wang S, Yang S. Spatial Consistency Assessments for Global Land-Cover Datasets: A Comparison among GLC2000, CCI LC, MCD12, GLOBCOVER and GLCNMO. Remote Sensing. 2018; 10(11):1846. https://doi.org/10.3390/rs10111846
Chicago/Turabian StyleHua, Ting, Wenwu Zhao, Yanxu Liu, Shuai Wang, and Siqi Yang. 2018. "Spatial Consistency Assessments for Global Land-Cover Datasets: A Comparison among GLC2000, CCI LC, MCD12, GLOBCOVER and GLCNMO" Remote Sensing 10, no. 11: 1846. https://doi.org/10.3390/rs10111846
APA StyleHua, T., Zhao, W., Liu, Y., Wang, S., & Yang, S. (2018). Spatial Consistency Assessments for Global Land-Cover Datasets: A Comparison among GLC2000, CCI LC, MCD12, GLOBCOVER and GLCNMO. Remote Sensing, 10(11), 1846. https://doi.org/10.3390/rs10111846
