Curvilinear Relationship between Corporate Innovation and Environmental Sustainability
Abstract
1. Introduction
2. Theory and Hypotheses
2.1. Resource Allocation Approach
2.2. Eco-Innovation Approach
2.3. An Integrative Approach: Diminishing Trade-Off Costs
3. Research Methods
3.1. Sample and Data
3.2. Measures
3.2.1. Dependent Variable
3.2.2. Independent Variable
3.2.3. Control Variable
4. Results
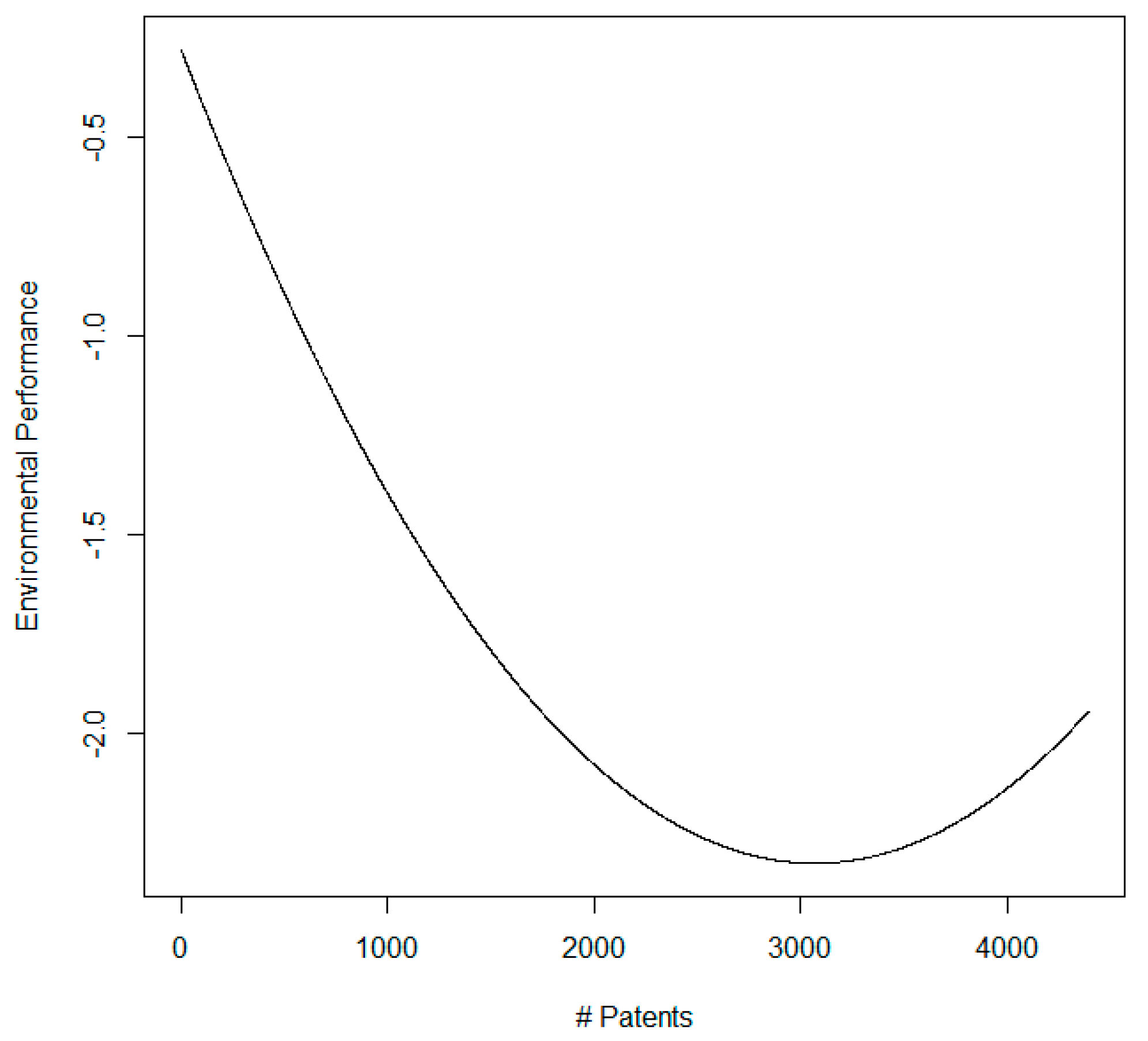
4.1. Hypothesis Tests
4.2. Specification of Environmental Performance
5. Discussion and Implications
Acknowledgment
Conflicts of Interest
References
- McWilliams, A.; Siegel, D.S. Corporate social responsibility and financial performance: Correlation or misspecification? Strateg. Manag. J. 2000, 21, 603–609. [Google Scholar] [CrossRef]
- Hull, C.E.; Rothenberg, S. Firm performance: The interactions of corporate social performance with innovation and industry differentiation. Strateg. Manag. J. 2008, 29, 781–789. [Google Scholar] [CrossRef]
- Padgett, R.C.; Galan, J.I. The effect of R&D intensity on corporate social responsibility. J. Bus. Ethics 2010, 93, 407–418. [Google Scholar] [CrossRef]
- Hart, S.A. Natural resource based-view of the firm. Acad. Manag. Rev. 1995, 20, 986–1014. [Google Scholar] [CrossRef]
- Russo, M.; Fouts, P.A. Resource-based perspective on corporate environmental performance and profitability. Acad. Manag. J. 1997, 40, 534–559. [Google Scholar] [CrossRef]
- McWilliams, A.; Siegel, D.S. Corporate social responsibility: A theory of the firm perspective. Acad. Manag. Rev. 2001, 26, 117–127. [Google Scholar] [CrossRef]
- Siegel, D.S. Green management matters only if it yields more green: An economic/strategic perspective. Acad. Manag. Perspect. 2009, 23, 5–16. [Google Scholar] [CrossRef]
- Dangelico, R.M.; Pujari, D. Mainstreaming green product innovation: Why and how companies integrate environmental sustainability. J. Bus. Ethics 2010, 95, 471–486. [Google Scholar] [CrossRef]
- Tiguero, A.; Moreno-Mondéjar, L.; Davia, M.A. Drivers of different types of eco-innovation in European SMEs. Ecol. Econ. 2013, 92, 25–33. [Google Scholar] [CrossRef]
- Lee, K.H.; Min, B. Green R&D for eco-innovation and its impact on carbon emissions and firm performance. J. Clean. Prod. 2015, 108, 534–542. [Google Scholar] [CrossRef]
- Gibson, C.B.; Birkinshaw, J. The antecedents, consequences, and mediating role of organizational ambidexterity. Acad. Manag. J. 2004, 47, 209–226. [Google Scholar] [CrossRef]
- Brunner, D.J.; Staats, B.R.; Tushman, M.; Upton, D.M. Wellsprings of creation: How perturbation sustains exploration in mature organizations. Harv. Bus. Sch. Organ. Behav. Unit Work. Pap. 2010. [Google Scholar] [CrossRef]
- March, J.G. Exploration and exploitation in organizational learning. Org. Sci. 1991, 2, 71–87. [Google Scholar] [CrossRef]
- Lavie, D.; Stettner, U.; Tushman, M.L. Exploration and exploitation within and across organizations. Acad. Manag. Ann. 2010, 4, 109–155. [Google Scholar] [CrossRef]
- Van Beurden, P.; Gössling, T. The worth of values—A literature review on the relation between corporate social and financial performance. J. Bus. Ethics 2008, 82, 407–424. [Google Scholar] [CrossRef]
- McWilliams, A.; Siegel, D.S.; Wright, P.M. Corporate social responsibility: Strategic implications. J. Manag. Stud. 2006, 43, 1–8. [Google Scholar] [CrossRef]
- Porter, M.E.; Kramer, M.R. Strategy and society: The link between corporate social responsibility and competitive advantage. Harv. Bus. Rev. 2006, 84, 78–92. [Google Scholar] [PubMed]
- Baron, R.A. Behavioral and cognitive factors in entrepreneurship: entrepreneurs as the active element in new venture creation. Strateg. Entrep. J. 2007, 1, 167–182. [Google Scholar] [CrossRef]
- Mackey, A.; Mackey, T.B.; Barney, J.B. Corporate social responsibility and firm performance: Investor preferences and corporate strategies. Acad. Manag. Rev. 2007, 32, 817–835. [Google Scholar] [CrossRef]
- Gardberg, N.A.; Fombrun, C.J. Corporate citizenship: Creating intangible assets across institutional environments. Acad. Manag. Rev. 2006, 31, 329–346. [Google Scholar] [CrossRef]
- Surroca, J.; Tribó, J.A.; Waddock, S. Corporate responsibility and financial performance: The role of intangible resources. Strateg. Manag. J. 2010, 31, 463–490. [Google Scholar] [CrossRef]
- Argyres, N.S.; Liebeskind, J.P. Privatizing the intellectual commons: Universities and the commercialization of biotechnology. J. Econ. Behav. Org. 1998, 35, 427–454. [Google Scholar] [CrossRef]
- Arrow, K. Economic welfare and the allocation of resources for invention. In The Rate and Direction of Inventive Activity: Economic and Social Factors; Princeton University Press: Princeton, NJ, USA, 1962; pp. 609–626. [Google Scholar]
- Heller, M.A.; Eisenberg, R.S. Can patents deter innovation? The anticommons in biomedical research. Science 1998, 280, 698–701. [Google Scholar] [CrossRef] [PubMed]
- Cohen, W.M.; Nelson, R.R.; Walsh, J.P. Protecting Their Intellectual Assets: Appropriability Conditions and Why U.S. Manufacturing Firms Patent (or Not). Natl. Bur. Econ Res. 2000, 7552. [Google Scholar] [CrossRef]
- Klassen, R.D.; Whybark, D.C. The impact of environmental technologies on manufacturing performance. Acad. Manag. J. 1999, 42, 599–615. [Google Scholar] [CrossRef]
- Sharfman, M.P.; Fernando, C.S. Environmental risk management and the cost of capital. Strateg. Manag. J. 2008, 29, 569–592. [Google Scholar] [CrossRef]
- Arundel, A.; Kemp, R. Measuring Eco-Innovation; United Nations University: Maastricht, The Netherlands, 2009. [Google Scholar]
- Guadamillas-Gómez, F.; Donate-Manzanares, M.J. Ethics and corporate social responsibility integrated into knowledge management and innovation technology: A case study. J. Manag. Dev. 2011, 30, 569–581. [Google Scholar] [CrossRef]
- Rexhepi, G.; Kurtishi, S.; Bexheti, G. Corporate Social Responsibility (CSR) and Innovation–The Drivers of Business Growth? Procedia Soc. Behav. Sci. 2013, 75, 532–541. [Google Scholar] [CrossRef]
- Ferauge, P.A. Conceptual framework of corporate social responsibility and innovation. Glob. J. Bus. Res. 2012, 6, 85–96. [Google Scholar]
- Aquilani, B.; Silvestri, C.; Ruggieri, A. Sustainability, TQM and Value Co-Creation Processes: The Role of Critical Success Factors. Sustainability 2016, 8, 995. [Google Scholar] [CrossRef]
- Chen, R.J.C. An Integrated Sustainable Business and Development System: Thoughts and Opinions. Sustainability 2014, 6, 6862–6871. [Google Scholar] [CrossRef]
- Klassen, R.D.; McLaughlin, C.P. The impact of environmental management on firm performance. Manag. Sci. 1996, 42, 1199–1214. [Google Scholar] [CrossRef]
- Harrison, J.S.; Freeman, R.E. Stakeholders, social responsibility, and performance: Empirical evidence and theoretical perspectives. Acad. Manag. J. 1999, 42, 479–485. [Google Scholar] [CrossRef]
- Godfrey, P.C.; Merrill, C.B.; Hansen, J.M. The relationship between corporate social responsibility and shareholder value: An empirical test of the risk management hypothesis. Strateg. Manag. J. 2009, 30, 425–445. [Google Scholar] [CrossRef]
- Waddock, S.A.; Graves, S.B. The corporate social performance-financial performance link. Strateg. Manag. J. 1997, 18, 303–319. [Google Scholar] [CrossRef]
- Liu, X.F.; Xu, F.N. Corporate social responsibility and innovation: Evidence from emerging economies. In Proceedings of the 2014 IEEE International Conference on Management of Innovation and Technology, Singapore, 23–25 September 2014; IEEE: Piscataway, NJ, USA, 2014. [Google Scholar]
- Boulouta, I.; Pitelis, C.N. Who needs CSR? The impact of corporate social responsibility on national competitiveness. J. Bus. Ethics 2014, 119, 349–364. [Google Scholar] [CrossRef]
- Hart, S.L. Innovation, creative destruction and sustainability. Res. Technol. Manag. 2005, 48, 21–27. [Google Scholar] [CrossRef]
- Hart, S.L.; Dowell, G. Invited editorial: A natural-resource-based view of the firm fifteen years after. J. Manag. 2011, 37, 1464–1479. [Google Scholar] [CrossRef]
- Deephouse, D.L. To be different, or to be the same? It’s a question (and theory) of strategic balance. Strateg. Manag. J. 1999, 20, 147–166. [Google Scholar] [CrossRef]
- Hellman, T. When do employees become entrepreneurs? Manag. Sci. 2007, 53, 919–933. [Google Scholar] [CrossRef]
- Campbell, J.L. Why would corporations behave in socially responsible ways? An institutional theory of corporate social responsibility. Acad. Manag. Rev. 2007, 32, 946–967. [Google Scholar] [CrossRef]
- Galaskiewicz, J.; Burt, R.S. Interorganization contagion in corporate philanthropy. Admin. Sci. Q. 1991, 1, 88–105. [Google Scholar] [CrossRef]
- Marquis, C.; Glynn, M.A.; Davis, G.F. Community isomorphism and corporate social action. Acad. Manag. Rev. 2007, 32, 925–945. [Google Scholar] [CrossRef]
- Gulati, R.; Puranam, P. Renewal through reorganization: The value of inconsistencies between formal and informal organization. Org. Sci. 2009, 20, 422–440. [Google Scholar] [CrossRef]
- Rahdari, A.; Sepasi, S.; Moradi, M. Achieving sustainability through Schumpeterian social entrepreneurship: The role of social enterprises. J. Clean. Prod. 2016, 137, 347–360. [Google Scholar] [CrossRef]
- Ahuja, G.; Katila, R. Where do resources come from? The role of idiosyncratic situations. Strateg. Manag. J. 2004, 25, 887–907. [Google Scholar] [CrossRef]
- Zucker, L.G.; Darby, M.R.; Furner, J.; Liu, R.C.; Ma, H. Minerva unbound: Knowledge stocks, knowledge flows and new knowledge production. Res. Policy 2007, 36, 850–863. [Google Scholar] [CrossRef]
- Jayachandran, S.; Kalaignanam, K.; Eilert, M. Product and environmental social performance: Varying effect on firm performance. Strateg. Manag. J. 2013, 34, 1255–1264. [Google Scholar] [CrossRef]
- Eckstein, C. The measurement and recognition of intangible assets: then and now. Account. Forum 2004, 28, 139–158. [Google Scholar] [CrossRef]
- Funk, R.J. Making the most of where you are: Geography, networks, and innovation in organizations. Acad. Manag. J. 2014, 57, 193–222. [Google Scholar] [CrossRef]
- Darby, M.R.; Zucker, L.G. Grilichesian Breakthroughs: Inventions of Methods of Inventing and Firm Entry in Nanotechnology. Annales d'Économie et de Statistique 2005, 79, 143–164. [Google Scholar] [CrossRef]
- Griliches, Z. Patent statistics as economic indicators: A survey. In R&D and Productivity: The Econometric Evidence; Griliches, Z., Ed.; University of Chicago Press: Chicago, IL, USA, 1998; pp. 287–343. [Google Scholar]
- Robins, J.; Wiersema, M.F. A resource-based approach to the multibusiness firm: Empirical analysis of portfolio interrelationships and corporate financial performance. Strateg. Manag. J. 1995, 16, 277–299. [Google Scholar] [CrossRef]
- Hausman, J.A. Specification tests in econometrics. Econometrica 1978, 46, 1251–1271. [Google Scholar] [CrossRef]
- Milgrom, P.; Roberts, J. The economics of modern manufacturing: Technology, strategy, and organization. Am. Econ. Rev. 1990, 1, 511–528. [Google Scholar]



| Variables | Mean | SD | Min | Max |
|---|---|---|---|---|
| Environmental Performance, Overall | −0.11 | 0.93 | −5 | 5 |
| Environmental Performance, Strengths | 0.28 | 0.67 | 0 | 5 |
| Environmental Performance, Concerns | 0.39 | 0.87 | 0.00 | 6 |
| Prior Environmental Performance, Overall | −0.01 | 0.64 | −4.28 | 3.96 |
| Prior Environmental Performance, Strengths | 0.03 | 0.46 | −2.25 | 3.94 |
| Prior Environmental Performance, Concerns | 0.03 | 0.59 | −2.86 | 4.25 |
| No. of Patents | 0.03 | 0.05 | 0 | 0.87 |
| Cumulative No. of Patents | 27.94 | 155.70 | 0 | 4392 |
| Prior Industry ROA | 0.37 | 2.00 | −41.46 | 16.53 |
| Industry Asset Intensity | 0.37 | 2.00 | −41.46 | 16.53 |
| No. of Executives | 1.70 | 2.81 | 0.04 | 30.34 |
| Total Assets | 5.74 | 1.60 | 0 | 15 |
| No. of Employees | 43.33 | 153.59 | 0.02 | 3973.04 |
| Marketing Expenditures | 26.15 | 74.95 | 0.01 | 2100 |
| R&D Expenditures | 0.23 | 0.21 | −0.04 | 2.96 |
| Variables 1 | 1 | 2 | 3 | 4 | 5 | 6 | 7 | 8 | 9 | 10 | 11 | 12 | 13 | 14 |
|---|---|---|---|---|---|---|---|---|---|---|---|---|---|---|
| 1. EPO | ||||||||||||||
| 2. EPS | 0.44 | |||||||||||||
| 3. EPC | −0.72 | 0.30 | ||||||||||||
| 4. PEPO | 0.60 | 0.24 | −0.45 | |||||||||||
| 5. PEPS | 0.32 | 0.68 | 0.19 | 0.45 | ||||||||||
| 6. PEPC | −0.40 | 0.27 | 0.63 | −0.73 | 0.29 | |||||||||
| 7. NP | 0.11 | −0.01 | −0.13 | 0.02 | 0.01 | −0.02 | ||||||||
| 8. CNP | −0.02 | 0.12 | 0.12 | 0.00 | 0.15 | 0.12 | 0.12 | |||||||
| 9. IROA | −0.00 | 0.00 | 0.00 | −0.00 | −0.01 | −0.00 | −0.02 | −0.02 | ||||||
| 10. IAI | 0.00 | 0.00 | 0.00 | 0.00 | −0.01 | 0.00 | −0.08 | −0.02 | 0.01 | |||||
| 11. EXC | −0.21 | 0.12 | 0.32 | −0.04 | 0.01 | 0.05 | −0.16 | −0.03 | −0.01 | 0.01 | ||||
| 12. TA | −0.07 | 0.06 | 0.12 | −0.03 | 0.02 | 0.05 | −0.03 | 0.07 | −0.03 | −0.01 | 0.03 | |||
| 13. EMP | −0.18 | 0.25 | 0.38 | −0.13 | 0.23 | 0.32 | −0.05 | 0.32 | 0.03 | −0.03 | 0.26 | 0.08 | ||
| 14. MKT | −0.04 | 0.15 | 0.16 | −0.06 | 0.15 | 0.18 | −0.09 | 0.19 | 0.12 | 0.03 | 0.14 | 0.08 | 0.45 | |
| 15. R&D | 0.18 | −0.11 | −0.28 | 0.03 | −0.04 | −0.06 | 0.23 | −0.02 | −0.08 | 0.12 | −0.19 | −0.03 | −0.14 | 0.02 |
| Model 1 | Model 2 | Model 3 | Model 4 | Model 5 | |
|---|---|---|---|---|---|
| Intercept | −0.348 ** (0.102) | −0.298 ** (0.103) | −0.279 ** (0.103) | −0.317 ** (0.102) | −0.300 ** (0.103) |
| PEPO | 0.079 *** (0.015) | 0.078 *** (0.015) | 0.079 *** (0.017) | 0.078*** (0.015) | 0.079 *** (0.015) |
| IROA | −0.001 (0.002) | −3.001 (0.002) | −0.001 (0.002) | −0.001 (0.002) | −0.001 (0.002) |
| IAI | 0.008 (0.011) | 0.007 (0.011) | 0.006 (0.010) | 0.006 (0.011) | 0.006 (0.011) |
| EXC | −0.003 (0.005) | −0.003 (0.005) | −0.003 (0.005) | −0.003 (0.005) | −0.003 (0.005) |
| TA | 0.001 ** (0.000) | 0.001 ** (0.000) | 0.001 ** (0.000) | 0.001 ** (0.000) | 0.001 ** (0.000) |
| EMP | −0.002 *** (0.000) | −0.002 *** (0.000) | −0.002 *** (0.000) | −0.002 *** (0.000) | −0.002 *** (0.000) |
| MKT | −0.033 (0.109) | −0.036 (0.108) | −0.040 (0.108) | −0.031 (0.108) | −0.031 (0.108) |
| R&D | −0.081 (0.258) | −0.084 (0.257) | −0.090 (0.257) | −0.083 (0.257) | −0.084 (0.257) |
| NP | −0.001 *** (0.000) | −0.001 *** (0.000) | |||
| NP 2 | 0.000 *** (0.000) | ||||
| CNP | −0.120 ** (0.041) | −0.232 ** (0.078) | |||
| CNP 2 | 0.008 † (0.005) | ||||
| Inverse Mill’s Ratio | −0.180 *** (0.034) | −0.175 *** (0.034) | −0.169 *** (0.034) | −0.177 *** (0.034) | −0.175 *** (0.034) |
| Firm Dummies | Included | Included | Included | Included | Included |
| Year Dummies | Included | Included | Included | Included | Included |
| AR(1)-DW | 0.554 | 0.549 | 0.548 | 0.554 | 0.554 |
| Log Likelihood | −8043.14 | −8017.02 | −8008.90 | −8037.78 | −8036.19 |
| AIC | 16,142.27 | 16,092.03 | 16,077.79 | 16,133.56 | 16,132.38 |
| χ2 | − | 52.24 *** | 68.48 *** | 10.72 ** | 13.9 *** |
| Positive Env. Performance | Negative Env. Performance | |||||
|---|---|---|---|---|---|---|
| Model 1 | Model 2 | Model 3 | Model 4 | Model 5 | Model 6 | |
| Intercept | −1.001 *** (0.185) | −1.003 *** (0.186) | −0.999 *** (0.187) | −0.231 † (0.137) | −0.269 * (0.135) | −1.001 *** (0.185) |
| Prior Environmental Performance | 0.503 *** (0.029) | 0.505 *** (0.029) | 0.509 *** (0.028) | 0.601 *** (0.033) | 0.610 *** (0.030) | 0.610 *** (0.030) |
| Prior Industry ROA | −0.030 (0.023) | −0.030 (0.023) | −0.030 (0.023) | 0.100 ** (0.032) | 0.101 ** (0.031) | 0.101 ** (0.031) |
| Industry Asset Intensity | 0.001 (0.006) | 0.000 (0.006) | 0.000 (0.006) | 0.024 ** (0.007) | 0.026 *** (0.007) | 0.027 *** (0.007) |
| No. of Executives | 0.009 (0.014) | 0.009 (0.014) | 0.007 (0.014) | 0.025 † (0.014) | 0.029 * (0.013) | 0.028 * (0.013) |
| Total Assets | 0.000 † (0.000) | 0.000 (0.000) | 0.000 (0.000) | −0.000 (0.000) | −0.000 (0.000) | −0.000 (0.000) |
| No. of Employees | 0.000 (0.000) | 0.000 (0.000) | 0.000 * (0.000) | −0.000 (0.001) | −0.000 (0.001) | −0.000 (0.001) |
| Marketing Expenditures | 0.078 (0.169) | 0.077 (0.170) | 0.077 (0.183) | −2.929 *** (0.406) | −2.925 *** (0.410) | −2.918 *** (0.409) |
| R&D Expenditures | −1.647 ** (0.593) | −1.630 ** (0.598) | −1.733 ** (0.644) | −0.088 (1.549) | −0.979 (1.689) | −1.165 (1.711) |
| No. of Patents | 0.000 (0.000) | 0.001 ** (0.000) | ||||
| No. of Patents 2 | −0.000 (0.000) | −0.000 ** (0.000) | ||||
| Cum. No. of Patents | 0.037 (0.039) | 0.179 ** (0.069) | ||||
| Cum. No. of Patents 2 | −0.004 (0.003) | −0.010 * (0.004) | ||||
| Inverse Mill’s Ratio | 0.270 *** (0.055) | 0.271 *** (0.055) | 0.259 *** (0.056) | 0.459 *** (0.081) | 0.410 *** (0.083) | 0.408 *** (0.083) |
| Log Likelihood | −5766.51 | −5766.11 | −5763.69 | −7115.40 | −7102.63 | −7104.53 |
| AIC | 11,643.03 | 11,646.22 | 11,641.38 | 14,340.81 | 14,319.25 | 14,323.06 |
| χ2 | − | 0.8 | 5.64 † | − | 25.54 *** | 21.74 *** |
| # Observations | 13,278 | 13,278 | 13,278 | 13,278 | 13,278 | 13,278 |
| # Zero Observations | 10,707 | 10,707 | 10,707 | 10,320 | 10,320 | 10,320 |
© 2017 by the authors. Licensee MDPI, Basel, Switzerland. This article is an open access article distributed under the terms and conditions of the Creative Commons Attribution (CC BY) license (http://creativecommons.org/licenses/by/4.0/).
Share and Cite
Lee, J.; Kim, S.-J. Curvilinear Relationship between Corporate Innovation and Environmental Sustainability. Sustainability 2017, 9, 1267. https://doi.org/10.3390/su9071267
Lee J, Kim S-J. Curvilinear Relationship between Corporate Innovation and Environmental Sustainability. Sustainability. 2017; 9(7):1267. https://doi.org/10.3390/su9071267
Chicago/Turabian StyleLee, Jegoo, and Sang-Joon Kim. 2017. "Curvilinear Relationship between Corporate Innovation and Environmental Sustainability" Sustainability 9, no. 7: 1267. https://doi.org/10.3390/su9071267
APA StyleLee, J., & Kim, S.-J. (2017). Curvilinear Relationship between Corporate Innovation and Environmental Sustainability. Sustainability, 9(7), 1267. https://doi.org/10.3390/su9071267

