Evaluating the Scale Effect of Soil Erosion Using Landscape Pattern Metrics and Information Entropy: A Case Study in the Danjiangkou Reservoir Area, China
Abstract
:1. Introduction
2. Materials and Methods
2.1. Study Area and Data
2.2. Data Processing
2.3. Calculation of Landscape Pattern Metrics
3. Results and Discussion
3.1. Scale Effect of Soil Erosion in the Danjiangkou Reservoir Area
3.1.1. Grading Evaluation of Soil Erosion
3.1.2. Scale Effects of Soil Erosion Patches
3.2. Optimal Scale Selection of Soil Erosion Based on Information Entropy
4. Conclusions
- (1)
- The main degrees of soil erosion in the Danjiangkou reservoir area are micro- and mild-erosion. Compared to the level in 2002, the overall degree of erosion has decreased during this period. The micro- and mild-erosion are concentrated in the arable land with a shallow slope and construction land, while the more severe erosion is clustered in the forestland with little vegetation coverage and a steep slope.
- (2)
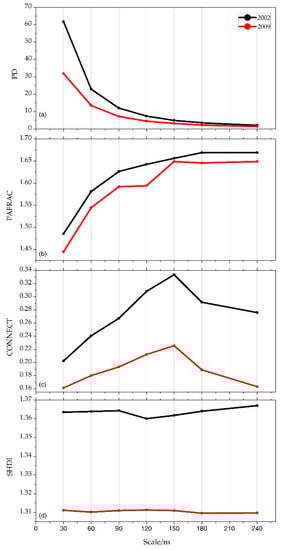
- At the holistic level of landscape patterns, the density of soil erosion patches (PD) presents a declining trend with the increase of scale, which demonstrates that the fragmentation of soil patches is weakened and that the less vulnerable soil succumbs to erosion; the area-perimeter fractal dimension (PAFRAC) and the connectivity (CONNECT) fluctuate considerably with scale, showing that the structure of patches tends to suffer higher complexity and that the stability of different landscape components is enhanced when the scale is below 150 m. The response of the diversity index (SHDI) to scale is relatively weak, indicating that nearly no disappearance of patch types occurs within the selected range of scale.
- (3)
- Information entropy theory is used to reveal the information richness of soil erosion patches. Using this correlation, we identify that the optimal scale threshold in this study is 60–120 m, the value of SH decreases progressively from the scale of 60 m, and there is an obvious decline in SH beyond the scale of 120 m, highlighting an information loss. Thus, the best scale for this reservoir area is supposed to be 60 m.
Acknowledgments
Author Contributions
Conflicts of Interest
References
- Toor, A.S.; Rana, D.S.; Sur, H.S. Conserve soil and water through grass erosion barriers. Prog. Farming 2003, 39, 16–17. [Google Scholar]
- Cantón, Y.; Solé-Benet, A.; de Vente, J.; Boix-Fayos, C.; Calvo-Cases, A.; Asensio, C.; Puigdefábregas, J. A review of runoff generation and soil erosion across scales in semiarid south-eastern Spain. J. Arid Environ. 2011, 75, 1254–1261. [Google Scholar] [CrossRef]
- Sharma, A.; Tiwari, K.N.; Bhadoria, P.B.S. Effect of land use land cover change on soil erosion potential in an agricultural watershed. Environ. Monit. Assess. 2011, 173, 789–801. [Google Scholar] [CrossRef] [PubMed]
- Wei, L.H.; Zhang, B.; Wang, M.Z. Effects of antecedent soil moisture on runoff and soil erosion in alley cropping systems. Agric. Water Manag. 2007, 94, 54–62. [Google Scholar] [CrossRef]
- Seeger, M.; Errea, M.P.; Begueria, S. Catchment soil moisture and rainfall characteristics as determinant factors for discharge/suspended sediment hysterestic loops in a small headwater catchment in the Spanish Pyrenees. J. Hydrol. 2004, 288, 299–311. [Google Scholar] [CrossRef]
- Zhang, S.H.; Li, Y.Q.; Fan, W.W.; Yi, Y.J. Impacts of rainfall, soil type, and land-use change on soil erosion in the Liusha river watershed. J. Hydrol. Eng. 2016, 22, 04016062. [Google Scholar] [CrossRef]
- McNeill, J.R.; Winiwarter, V. Breaking the sod: Humankind, history and soil. Science 2004, 304, 1627–1629. [Google Scholar] [CrossRef] [PubMed]
- Zhu, Q.J.; Shuai, Y.M.; Chen, X.; Gan, D.Y.; Yu, F. Soil Erosion Information Entropy: A comprehensive measure index and simulation tool for land surface erodibility. J. Soil Water Conserv. 2002, 16, 50–53. [Google Scholar]
- Kirkby, M.J.; Imeson, A.C.; Bergkamp, G.; Cammeraat, L.H. Scaling up processes and models from the field plot to the watershed and regional areas. J. Soil Water Conserv. 1996, 51, 391–396. [Google Scholar]
- Pasquale, B.; Luis, A.S.R.; Brigitta, S. The use of Landsat imagery to assess large-scale forest cover changes in space and time, minimizing false-positive changes. Appl. Geogr. 2013, 41, 147–157. [Google Scholar]
- Alan, H.S.; Curtis, E.W.; James, A.S. On the nature of models in remote sensing. Remote Sens. Environ. 1986, 20, 121–139. [Google Scholar]
- Zhang, C.C.; Qin, F.; Wang, Y.X.; Liu, Z.Z.; Chen, Y.S.; Liu, Z.D. Multi-scale quantification of topographic feature using three-dimensional fractal model and its scale effect in watershed: A case of the Two-Tiger Valley of Pisha sandstone area. Res. Soil Water Conserv. 2016, 23, 278–283. [Google Scholar]
- Panagos, P.; Borrelli, P.; Meusburger, K.; Alewell, C.; Lugato, E.; Montanarella, L. Estimating the soil erosion cover-management factor at the European scale. Land Use Policy 2015, 48, 38–50. [Google Scholar] [CrossRef]
- Zawadzki, J.; Cieszewski, C.J.; Zasada, M.; Lowe, R.C. Applying geostatistics for investigations of forest ecosystems using remote sensing imagery. Silva Fenn. 2005, 39, 599–617. [Google Scholar] [CrossRef]
- Zhang, Y.; Jiao, Z.T.; Yang, H.; Li, X.W.; Wang, J.D.; Su, L.H.; Yan, G.J.; Zhao, H.R. Study on scale effect of histogram. Sci. China Ser. D 2002, 32, 307–316. (In Chinese) [Google Scholar]
- Lausch, A.; Heurich, M.; Gordalla, D.; Dobner, H.J.; Gwillym-Margianto, S.; Salbach, C. Forecasting potential bark beetle outbreaks based on spruce forest vitality using hyperspectral remote-sensing techniques at different scales. For. Ecol. Manag. 2013, 308, 76–89. [Google Scholar] [CrossRef]
- Hasituya; Chen, Z.X.; Wang, L.M.; Liu, J. Selecting appropriate spatial scale for mapping plastic-mulched farmland with satellite remote sensing imagery. Remote Sens. 2017, 9, 265. [Google Scholar] [CrossRef]
- Stoy, P.C.; Williams, M.; Spadavecchia, L.; Bell, R.A.; Prieto-Blanco, A.; Evans, J.G.; Van Wijk, M.T. Using information theory to determine optimum pixel size and shape for ecological studies: Aggregating land surface characteristics in Arctic ecosystems. Ecosystems 2009, 12, 574–589. [Google Scholar] [CrossRef]
- Amy, E.F. A new data aggregation technique to improve landscape metric downscaling. Landsc. Ecol. 2014, 29, 1261–1276. [Google Scholar]
- Netzel, P.; Stepinski, T.F. Pattern-Based assessment of land cover change on continental scale with application to NLCD 2001–2006. IEEE Trans. Geosci. Remote 2015, 53, 1773–1781. [Google Scholar] [CrossRef]
- Shi, X.L.; Li, Y.; Deng, R.X. A method for spatial heterogeneity evaluation on landscape pattern of farmland shelterbelt networks: A case study in mid-west of Jilin Province, China. Chin. Geogr. Sci. 2011, 21, 48–56. [Google Scholar] [CrossRef]
- Li, X.W.; Cao, C.X.; Zhang, Y. A review on scale in remote sensing. J. Remote Sens. 2009, 13, 12–20. (In Chinese) [Google Scholar]
- Morris, K.J.; Bett, B.J.; Durden, J.M.; Benoist, N.M.; Huvenne, V.A.; Jones, D.O.; Robert, K.; Ichino, M.C.; Wolff, G.A.; Ruhl, H.A. Landscape-scale spatial heterogeneity in phytodetrital cover and megafauna biomass in the abyss links to modest topographic variation. Sci. Rep. 2016, 6, 1–11. [Google Scholar] [CrossRef] [PubMed]
- Zhang, Z.L.; Liu, S.L.; Dong, S.K. Ecological security assessment of Yuan River watershed based on landscape pattern and soil erosion. Proced. Environ. Sci. 2010, 2, 613–618. [Google Scholar] [CrossRef]
- Morelli, F.; Pruscini, F.; Santolini, R.; Perna, P.; Benedetti, Y.; Sisti, D. Landscape heterogeneity metrics as indicators of bird diversity: Determining the optimal spatial scales in different landscapes. Ecol. Indic. 2013, 34, 372–379. [Google Scholar] [CrossRef]
- Plexida, S.G.; Sfougaris, A.I.; Ispikoudis, I.P.; Papanastasis, V.P. Selecting landscape metrics as indicators of spatial heterogeneity—A comparison among Greek landscapes. Int. J. Appl. Earth Obs. 2014, 26, 26–35. [Google Scholar] [CrossRef]
- Lein, J.K. Toward a remote sensing solution for regional sustainability assessment and monitoring. Sustainability 2014, 6, 2067–2086. [Google Scholar] [CrossRef]
- Guariglia, E. Entropy and fractal antennas. Entropy 2016, 18, 84. [Google Scholar] [CrossRef]
- Sharma, A.; Tiwari, K.N.; Bhadoria, P.B. Determining the optimum cell size of digital elevation model for hydrologic application. J. Earth Syst. Sci. 2011, 120, 573–582. [Google Scholar] [CrossRef]
- Bekiros, S.D. Timescale analysis with an entropy-based shift-invariant discrete wavelet transform. Comput. Econ. 2014, 44, 231–251. [Google Scholar] [CrossRef]
- Zhou, Y.M. Study on Methods for Soil and Water Conservation Monitoring Small Watershed-Oriented. Ph.D. Thesis, Institute of Remote Sensing Applications; Chinese Academy of Sciences, Beijing, China, 2005. (In Chinese). [Google Scholar]
- Zhou, Z.X.; Li, J. The correlation analysis on the landscape pattern index and hydrological processes in the Yanhe watershed, China. J. Hydrol. 2015, 524, 417–426. [Google Scholar] [CrossRef]
- Liu, Y.; Lv, Y.H.; Fu, B.J. Implication and limitation of landscape metrics in delineating relationship between landscape pattern and soil erosion. Acta Ecol. Sin. 2011, 31, 267–275. (In Chinese) [Google Scholar]
- Guariglia, E. Fractional Derivative of the Riemann Zeta Function. 2015. Available online: https://www.degruyter.com/downloadpdf/books/9783110472097/9783110472097-022/9783110472097-022.pdf (accessed on 16 July 2017).
- Uezu, A.; Metzger, J.P.; Vielliard, J.M.E. Effects of structural and functional connectivity and patch size on the abundance of seven Atlantic Forest bird species. Biol. Conserv. 2005, 123, 507–519. [Google Scholar] [CrossRef]
- Wang, J.P.; Yang, L.; Wei, W.; Chen, L.D.; Huang, Z.L. Effects of landscape patterns on soil and water loss in the hilly area of loess plateau in China: Landscape-level and comparison at multiscale. Acta Ecol. Sin. 2011, 31, 5531–5541. [Google Scholar]
- Michael, W.L.; Paul, A.W.; Maile, C.N. Temporal variability in potential connectivity of Vallisneria Americana in the Chesapeake Bay. Landsc. Ecol. 2016, 31, 2307–2321. [Google Scholar]
- Wei, W.; Chen, L.D.; Yang, L.; Fu, B.J.; Sun, R.H. Spatial Scale effects of water erosion dynamics: Complexities, variabilities, and uncertainties. Chin. Geogr. Sci. 2012, 22, 127–143. [Google Scholar] [CrossRef]
- Li, A.N.; Deng, W.; Kong, B.; Lu, X.N.; Feng, W.L.; Lei, G.B.; Bai, J.H. A study on wetland landscape pattern and its change process in Huang-Huai-Hai(3H) area, China. J. Environ. Inf. 2013, 21, 23–34. [Google Scholar] [CrossRef]
- Janneke, R.W.; Moritz von der, L.; Ingo, K. Seed traits, landscape and environmental parameters as predictors of species occurrence in fragmented urban railway habitats. Basic Appl. Ecol. 2011, 12, 29–37. [Google Scholar]
- Gao, J.B.; Li, S.C. Detecting spatially non-stationary and scale-dependent relationships between urban landscape fragmentation and related factors using Geographically Weighted Regression. Appl. Geogr. 2011, 31, 292–302. [Google Scholar] [CrossRef]
- Guariglia, E.; Silvestrov, S. A functional equation for the Riemann zeta fractional derivative. In Proceedings of the AIP Conference Proceedings of ICNPAA 2016 World Congress, American Institute of Physics, La Rochelle, France, 5–8 July 2016; Volume 1798, p. 020063. [Google Scholar] [CrossRef]
- Marycarol, H.; Bruce, D.; Noah, B. 2010 Joint Meeting of International Study Group for the Multiple Use of Land (ISOMUL) and the Council of Educators in Landscape Architecture (CELA) (review). Landsc. J. 2012, 30, 162–166. [Google Scholar]
- Marta, A.M.; Santiago, B. Do atmospheric teleconnection patterns influence rainfall erosivity? A study of NAO, MO and WeMO in NE Spain, 1955–2006. J. Hydrol. 2012, 450–451, 168–179. [Google Scholar]
- Lv, Z.Q.; Wu, Z.F.; Zhang, J.H. Landscape pattern analysis of Guangzhou based on optimization-scale. Geogr. Geo-Inf. Sci. 2007, 23, 89–92. (In Chinese) [Google Scholar]
- Scherer, U.; Zehe, E. Predicting land use and soil controls on erosion and sediment redistribution in agricultural loess areas: Model development and cross scale verification. Hydrol. Earth Syst. Sci. 2015, 12, 3527–3592. [Google Scholar] [CrossRef]
- Hu, L.; He, Z.; Liu, J.; Zheng, C. Method for measuring the information content of terrain from digital elevation models. Entropy 2015, 17, 7021–7051. [Google Scholar] [CrossRef]
- Aucelli, P.P.C.; Massimo, C.; Marta, D.S.; Maurizio, D.M.; Lorenzo, D.; Carmen, M.R.; Francesca, V. Multi-temporal digital photogrammetric analysis for quantitative assessment of soil erosion rates in the Landola catchment of the Upper Orcia Valley(Tuscany, Italy). Land Degrad. Dev. 2016, 27, 1075–1092. [Google Scholar] [CrossRef]
- Hu, C.Y.; Tang, H.S.; Deng, L.X.; Xue, S.T. The application of an immune clonal selection algorithm based on the information entropy in truss structure multi-objective optimizatio. Appl. Mech. Mater. 2013, 249, 1119–1125. [Google Scholar]
- Kondepudi, D.; Prigogine, I. Entropy production, fluctuations and small systems. In Modern Thermodynamics: From Heat Engines to Dissipative Structures, 2nd ed.; John Wiley& Sons Ltd.: Chichester, UK, 2014; pp. 323–340. [Google Scholar]





| First Level Classes | Second Level Classes | Descriptions |
|---|---|---|
| Arable land | - | Cultivated lands for crops, including mature cultivated land, newly-cultivated land, reclamation land, shifting cultivated land; crop land in which a crop is a dominant species and land that is used for intercropping such as crop-fruiter; other lands that have been shifted to cultivation temporarily. |
| Paddy field | Arable land that has enough water supply and irrigation facilities for the cultivation of paddy rice and other aquatic crops. | |
| Dry land | Arable land with no water supply and irrigation facilities; arable land that is used for planting dry farming crops with natural precipitation. | |
| Forest land | - | Lands growing trees, including arbor, shrub, bamboo, and for forestry use. |
| Forest | Natural or planted forests with tree canopy cover >30%. | |
| Shrub | Lands covered by trees under 2 m high with canopy cover ≥40%. | |
| Others | Lands, including sparse woodland and nurseries; lands with the growth of herbs-based land. | |
| Construction land | - | Lands used for settlements, business use, factories, transportation infrastructures, and so on. |
| Residential land | Lands used for urban and rural settlements and their ancillary facilities. | |
| Business land | Lands used for business use, including wholesale and retail land, accommodation land, financial land, and so on. | |
| Others | Lands used for industrial and mining use, public administration, and public service and lands used for transportation facilities such as airports. | |
| Water | - | Lands covered by natural water bodies or lands with facilities for water reservation. |
| Reservoir | Man-made facilities with a total storage capacity more than 10 million cubic meters. | |
| Lakes and rivers | Lands covered by lakes or rivers, including canals. | |
| Unused land | - | Lands are not utilized or hard to make use of. |
| Sandy land | Lands with a surface of sand cover, with no more than 5% vegetation cover. | |
| Bare land | Bare land with exposed soil or rocks, basically with no vegetation cover. | |
| Saline land | Lands with saline accumulation and sparse vegetation. | |
| Undeveloped land | New lands in towns or villages that have not been put into use yet. |
| Vegetation Coverage | Slope (°) | |||||||
|---|---|---|---|---|---|---|---|---|
| 0~3 | 3~5 | 5~8 | 8~15 | 15~25 | 25~35 | >35 | ||
| Forestland | >75% | micro | micro | micro | micro | micro | micro | micro |
| 60%~75% | micro | micro | mild | mild | mild | moderate | moderate | |
| 45%~60% | micro | micro | mild | mild | moderate | moderate | deep | |
| 30%~45% | micro | micro | mild | moderate | moderate | deep | intensive | |
| <30% | micro | micro | moderate | moderate | deep | intensive | severe | |
| Arable land and other types | Arable land | micro | mild | mild | moderate | deep | intensive | severe |
| Construction land | micro | micro | micro | micro | micro | micro | micro | |
| Unused land | micro | micro | micro | micro | micro | micro | micro | |
| Grade Number | Soil Erosion Intensity | Number of Cells (30 m × 30 m) | Percentage |
|---|---|---|---|
| 1 | micro | 194,528 | 53.88% |
| 2 | mild | 119,618 | 33.13% |
| 3 | moderate | 34,324 | 9.50% |
| 4 | deep | 11,555 | 3.20% |
| 5 | intensive | 961 | 0.27% |
| 6 | severe | 61 | 0.02% |
| Total number | 361,046 | 100% |
| Grade Number | Soil Erosion Intensity | Number of Cells (30 m × 30 m) | Percentage |
|---|---|---|---|
| 1 | micro | 205,153 | 60.07% |
| 2 | mild | 102,243 | 29.94% |
| 3 | moderate | 26,874 | 7.87% |
| 4 | deep | 6610 | 1.93% |
| 5 | intensive | 571 | 0.17% |
| 6 | severe | 60 | 0.02% |
| Total number | 341,512 | 100% |
| Scale(m) | PD | PAFRAC | SHDI | CONNECT |
|---|---|---|---|---|
| 30 | 61.6811 | 1.4858 | 1.3635 | 0.1614 |
| 60 | 22.9381 | 1.5813 | 1.3639 | 0.1802 |
| 90 | 12.0404 | 1.6262 | 1.3643 | 0.1933 |
| 120 | 7.3581 | 1.6425 | 1.3601 | 0.2122 |
| 150 | 4.9918 | 1.6561 | 1.3618 | 0.2256 |
| 180 | 3.5651 | 1.6690 | 1.3640 | 0.1890 |
| 240 | 2.1285 | 1.6690 | 1.3670 | 0.1633 |
| Scale(m) | PD | PAFRAC | SHDI | CONNECT |
|---|---|---|---|---|
| 30 | 31.8651 | 1.4450 | 1.3111 | 0.2023 |
| 60 | 13.5211 | 1.5446 | 1.3102 | 0.2407 |
| 90 | 7.2651 | 1.5918 | 1.3110 | 0.2671 |
| 120 | 4.5300 | 1.5943 | 1.3113 | 0.3082 |
| 150 | 3.2065 | 1.6487 | 1.3110 | 0.3334 |
| 180 | 2.3204 | 1.6458 | 1.3096 | 0.2916 |
| 240 | 1.4283 | 1.6488 | 1.3097 | 0.2760 |
| Scale (m) | P1 | P2 | P3 | P4 | P5 | P6 | SH |
|---|---|---|---|---|---|---|---|
| 30 | 0.6007 | 0.2994 | 0.0787 | 0.0193 | 0.0017 | 0.0002 | 0.9560 |
| 60 | 0.5686 | 0.3407 | 0.0725 | 0.0166 | 0.0015 | 0.0001 | 0.9568 |
| 90 | 0.5518 | 0.3615 | 0.0701 | 0.0152 | 0.0013 | 0.0001 | 0.9554 |
| 120 | 0.5391 | 0.3766 | 0.0683 | 0.0146 | 0.0013 | 0.0001 | 0.9554 |
| 150 | 0.5357 | 0.3823 | 0.0666 | 0.0139 | 0.0014 | 0.0001 | 0.9519 |
| 180 | 0.5313 | 0.3883 | 0.0656 | 0.0136 | 0.0011 | 0.0001 | 0.9489 |
| 240 | 0.5324 | 0.3894 | 0.0641 | 0.0129 | 0.0011 | 0.0001 | 0.9435 |
© 2017 by the authors. Licensee MDPI, Basel, Switzerland. This article is an open access article distributed under the terms and conditions of the Creative Commons Attribution (CC BY) license (http://creativecommons.org/licenses/by/4.0/).
Share and Cite
Huang, Q.; Huang, J.; Yang, X.; Ren, L.; Tang, C.; Zhao, L. Evaluating the Scale Effect of Soil Erosion Using Landscape Pattern Metrics and Information Entropy: A Case Study in the Danjiangkou Reservoir Area, China. Sustainability 2017, 9, 1243. https://doi.org/10.3390/su9071243
Huang Q, Huang J, Yang X, Ren L, Tang C, Zhao L. Evaluating the Scale Effect of Soil Erosion Using Landscape Pattern Metrics and Information Entropy: A Case Study in the Danjiangkou Reservoir Area, China. Sustainability. 2017; 9(7):1243. https://doi.org/10.3390/su9071243
Chicago/Turabian StyleHuang, Qiuping, Jiejun Huang, Xining Yang, Lemeng Ren, Cong Tang, and Lixue Zhao. 2017. "Evaluating the Scale Effect of Soil Erosion Using Landscape Pattern Metrics and Information Entropy: A Case Study in the Danjiangkou Reservoir Area, China" Sustainability 9, no. 7: 1243. https://doi.org/10.3390/su9071243
APA StyleHuang, Q., Huang, J., Yang, X., Ren, L., Tang, C., & Zhao, L. (2017). Evaluating the Scale Effect of Soil Erosion Using Landscape Pattern Metrics and Information Entropy: A Case Study in the Danjiangkou Reservoir Area, China. Sustainability, 9(7), 1243. https://doi.org/10.3390/su9071243

