Next Article in Journal
Observing Trip Chain Characteristics of Round-Trip Carsharing Users in China: A Case Study Based on GPS Data in Hangzhou City
Next Article in Special Issue
Evaluating Urban Forms for Comparison Studies in the Massing Design Stage
Previous Article in Journal
Antecedents of Corporate Reputation in the Hotel Industry: The Moderating Role of Transparency
Previous Article in Special Issue
How Building with Wood Can Be Linked to Sales of Building Plots: Results from an Exemplary Site Development in Munich, Germany
 
 
Font Type:
Arial Georgia Verdana
Font Size:
Aa Aa Aa
Line Spacing:
Column Width:
Background:
Article

Effect of the Changeable Organic Semi-Transparent Solar Cell Window on Building Energy Efficiency and User Comfort

1
Department of Civil and Environmental Engineering, Korea Advanced Institute of Science and Technology, Daejeon 34141, Korea
2
Department of Architecture, Inha University, Incheon 22212, Korea
3
Department of Urban Design and Planning, Hongik University, Seoul 04066, Korea
*
Authors to whom correspondence should be addressed.
Sustainability 2017, 9(6), 950; https://doi.org/10.3390/su9060950
Submission received: 11 April 2017 / Revised: 24 May 2017 / Accepted: 30 May 2017 / Published: 4 June 2017
(This article belongs to the Special Issue Sustainable Architecture and Design)

Abstract

:
Building-integrated photovoltaics (BIPV) are one of the most important sustainability technologies for building energy, and the semi-transparent solar cell is one of the most promising photovoltaic systems for building integration because it can generate electricity and is transparent with a range of beneficial optical properties. On the other hand, the utilization of semi-transparent solar cells for a building facade is limited, as the optimal transparency and power conversion efficiency (PCE %) of the solar cell vary according to the purpose of the space, facing orientation, and number of occupants. This study designed a changeable organic semi-transparent solar cell window (COSW), in which the transparency can be altered by adjusting its temperature and solvent vapor pressure. A simulation test with the proposed COSW was conducted to examine the effects of the proposed window on energy consumption, electricity production, and occupant comfort. The results show that the proposed window has a huge potential for energy conservation and occupant comfort. Compared to the double-glazed Low-E windows, the proposed window reduces the energy consumption by approximately 14.80 kW/m2 (53.29 MJ/m2), 11.51 kW/m2 (41.45 MJ/m2), and 15.02 kW/m2 (54.07 MJ/m2), for the south-facing, east-facing, and west-facing facades, respectively, and increases user satisfaction, particularly in spring and autumn.

1. Introduction

Energy efficiency is one of the most important subjects in sustainability. It is essential to address the energy consumption of buildings in order to solve the various problems caused by global warming because buildings comprise 23–47% of all the energy consumed [1,2,3,4,5]. In this context, the energy efficiency of buildings can be influenced by building façade-related factors, such as the U-value or g-value of the windows, daylight factor, and shading [6]. Two main approaches can be used to reduce the building facade-related energy consumption: (1) improving the energy efficiency of the building facade, and (2) integrating renewable energy devices into the building facade.
First, improving the energy efficiency of a building facade is less complicated but still a fundamental way to conserve energy. An appropriately designed building envelope offers the greatest potential for energy savings, particularly in the case of transparent façades. Solar gains and daylight through glass can reduce not only the lighting load but also the heating load. On the other hand, it increases the cooling load during summer. To improve energy efficiency and occupant comfort, new technologies such as sun protection systems, anti-glare systems, and daylight-use systems have been developed [7]. Sun protection systems affect building energy consumption regardless of the U-value, which is the rate of heat transfer through the building facade. Fixed protection systems such as louver and overhang have been used conventionally and are effective not only for reducing the cooling loads in summer but also preventing glare problems, particularly for south-facing façades [8]. Internal protection systems are used widely because they can be operated independently of the weather and are easy to install and maintain, but they are less effective than external systems [9]. Moveable, switchable sun protection systems such as blinds, screens, and sliding shutters can be adjusted to respond to changes in the external environment, allowing for individual control. For example, the utilization of exterior blinds can reduce the total annual energy demand by 12%, and the energy consumed for cooling by almost 50% [10]. In office buildings, visual comfort is also an important issue to be maintained properly. For this purpose, a variety of different systems can be applied to building facades. Anti-glare systems such as curtains, horizontal blinds, vertical blinds, screens, and electrochromic glazing can increase visual comfort significantly by diminishing extremely strong light [7].
The second approach to reducing the energy consumption of building facades is to integrate renewable energy devices into the façade. The electricity from photovoltaic cells can be used for applications ranging from power supplies for small consumer products to large power stations that feed electricity into the grid. Building-integrated photovoltaics (BIPV) may have the greatest potential among the various possible applications of photovoltaics, mainly because they can be installed on a wide range of exterior surfaces and integrated into glazed roofs and facades [11,12,13]. To apply photovoltaics to building windows, semi-transparent PV modules have the advantage of combining energy production with other functional features on a building façade [12,14,15]. The existing studies evaluated the feasibility of utilizing the semi-transparent PV modules as a building façade with fixed transparency and power conversion efficiency (PCE) of the PV module [14,16]. In these instances, its utilization as a building facade is limited because the optimal transparency and PCE vary according to the purpose of the space, facing orientation, and number of occupants.
To reduce energy consumption and fully utilize renewable resources, it is essential to develop innovative energy technologies using semi-transparent solar cells as a building façade. Among the various renewable resources, the organic solar cell is one of the most promising technologies for a building façade due to beneficial and attractive features such as its flexibility, semi-transparency, sensitivity to low light levels, light weight, and low-cost energy production [17,18]. To apply organic solar cells to the building façades, current research and development focus on achieving a higher power conversion efficiency (PCE%) of solar cells because the organic solar cell is still in its developing phase [17,19]. However, organic solar cells not only produce electricity, they also help reduce the demand for energy by adjusting the transparency of the organic solar cells used for building façades [20]. In this context, this study designed a changeable organic solar cell that can alter its transparency and PCE based on the temperature or solvent vapor pressure. With the proposed changeable organic solar cell, this study analyzed the effects of the semi-transparent solar cells on the building energy conservation and occupant comfort at various transparency and PCE levels. The results include a proposed control strategy for the changeable organic solar cell and an analysis of the effects of the control strategy on energy consumption, electricity production, and occupant comfort.

2. Theoretical Background on a Changeable Semi-Transparent Photovoltaic

2.1. Energy Saving Mechanism of a Changeable Semi-Transparent Photovoltaic

The optical properties of a solar cell can be modulated by controlling the wavelength of light transmission by changing its band gap [20]. Poly (3-hexylthiophene) (P3HT) polymers can control the optical properties of an organic solar cell by manipulating the layer sequence of the organic solar cell devices: indium tin oxide (ITO)/poly (3,4-ethylendioxythiophene):(styrene sulfonate) (PEDOT:PSS)/active layer/metallic electrode [21], because it has a significant impact on the light absorption of organic solar cells. In this organic solar cell, if light reaches polymer-based organic solar cells, P3HT polymers absorb the photon and create electron–hole pairs (excitons). Excitons are divided into the hole and electron at the interface between two materials of different electron affinities: the electron donor and the electron acceptor. The electrons move into the cathode along the inside of the acceptor. Electrons collected on the cathode flow in the form of current through the external circuit. The band gap is associated with the wavelength of light transmission and absorption, and can be tuned easily by modifying the molecular structure of conjugated polymers, which enables them to absorb a different range of the color spectrum.
The optical properties and PCE of a solar cell can be changed by controlling the 3D molecule packing of the polymer with its temperature and solvent vapor pressure [20]. Poly (3-hexylthiophene) (P3HT) polymers usually show a red color, and the blue-shift of P3HT is induced by heating. Similarly, applying solvent vapor to the conjugated polymer films can modify their color by changing the 3D molecular structure of the conjugated polymers. In a poor solvent, the polymer chains form an aggregated state to decrease the surface energy of the polymer chain. This change is similar to that of the temperature effect. Therefore, the wavelength of the polymer will be red-shifted in a poor solvent. The absorption spectrum can be changed by controlling the temperature and solvent vapor pressure. When red shift occurs and the solvent is dense, the absorption wavelength ranges widely with a peak around 555 nm. Its maximum absorption is around 0.378, which is lower than that of the blue shift. However, the range of the absorption spectrum is wider than that of the blue shift and this results in the lowest transmittance through the solar cell. On the contrary, the density of the solvent decreases and a blue shift occurs due to this change in the density of the solvent. The peak is around 520 nm with absorption of 0.49 but the absorption range is more concentrated than that of the red shift. Therefore, even if a higher intensity of absorption is possible, the total absorption is smaller and transmits the most light. In sum, the transmittance is the lowest at red shift and highest at blue shift [20]. As a result of these phenomena, the ability to tune the color and transmittance of conjugated polymers can be applied to windows to improve the building energy performance and the comfort of occupants, and at the same time harvest the energy in their organic solar cells.
In mornings and evenings when a room requires more heat and light, the color of the window can be adjusted to blue because it allows a maximum amount of solar energy to be absorbed into the room. During the daytime, however, the color can be red-shifted to reduce the amount of light entering the room.

2.2. Simulation of Changeable Semi-Transparent Photovoltaic Windows

To simulate the effect of a changeable semi-transparent photovoltaic on the building energy performance and user comfort, this study proposed a changeable organic solar cell window (COSW) with the poly (3-hexylthiophene) (P3HT) polymers-based organic solar cell, as illustrated in Figure 1.
Figure 1 shows a schematic diagram of a COSW. For this study, a double-glazed window system is proposed. The polymer-based organic solar cell is utilized as the outer layer to maximize the electricity production and modulation range. The space between the solar cell and a 3 mm-thick common transparent glass is filled with argon gas to ensure adequate heat insulation, which is critical for energy efficiency. A thermal transmittance of 2.54 W/m2·K is suggested as the appropriate level for the changeable organic solar cell window for this study [22]. Although heat insulation is almost unaffected by the changes in the optical properties of the organic solar cell, an appropriate level of insulation should be set for the simulation because if the heat insulation levels are too low, the influence of the optical properties of a COSW on energy consumption and occupant comfort may be too small to detect.
The optical properties of a COSW were simulated by the WINDOW 6 and Optics 5 software developed by the LBNL (Lawrence Berkeley National Laboratory). These two programs are widely used for calculating the optical and thermal properties of complex glazing systems since they can analyze the products made by any combination of glazing layers and are highly accurate in calculating the optical properties of glazing systems. Optics 5, in particular, can calculate a variety of the optical properties, including the reflectance, emissivity, and transmittance based on the measured spectral data [23].
For the simulation, the following three assumptions were made. First, the U-factor was assumed to be constant regardless of the changes in optical properties of the polymer-based organic solar cell. Second, the changeable organic solar cell window was assumed to have a constant value for a 3.344 PCE % regardless of the changes in the optical properties of a COSW because the PCE is not changed significantly with different transparency. Third, all the energy absorbed by the solar cells is converted to electrical energy with no energy loss.

2.3. Optical and Thermal Properties of the COSW

The COSW has a transmittance between 0.536 and 0.603 for visible light and between 0.479 and 0.493 for solar heat gain coefficient, and maintains a one-sun open-circuit voltage Voc of 0.58 V and a short-circuit current Jsc of 9.696 mA/cm2 for a thickness of 100 nm. The transmittance of solar heat and visible light increases when a blue shift occurs. On the other hand, the transmittance of solar heat gain and visible light decreases when a red shift occurs. This is due mainly to the difference in the absorption wavelength region and peaks of the absorption and emission spectra. Unlike other dynamic devices such as electrochromic or photo-electrochromic devices, the visible transmittance variation for a changeable organic solar cell is greater than that of the solar heat gain coefficient (SHGC).
The modulation range of changeable organic solar cells can be reinforced by adding layers. This feasibility study on the COSW was conducted under the assumption that the lower bound of transmittance and SHGC can be changed from 0.536 and 0.479 to 0.268 and 0.423, respectively. In this study, the modulation range was extended only towards the lower transmittance, because the maximum transmittance of the organic solar cell cannot be increased further to enhance or maintain PCE.
Figure 2 shows the optical and thermal properties of the proposed COSW with the glass system configuration shown in Figure 1 as solvent annealing varies with an extended modulation range. In a poor solvent, the wavelength of the polymer is red shift, and thus the transmittance of the solar cell is low, as shown in State 1 in Figure 2. As the density of the solvent decreases, the wavelength of the polymers becomes blue-shift, so the transmittance of the solar cell is higher in State 5 than in State 1. Owing to these effects, the SHGC and visible transmittance are expected to increase as the state of the COSW changes from State 1 to State 5, and the color changes from red to yellow and finally to green as a blue shift occurs. On the other hand, the thermal property, which is the U-value in this case, is constant regardless of the changes in state. Based on these changes in optical properties, the effects of each state of the COSW on the building energy consumption were simulated, and the performance of each state was analyzed and compared with other types of windows, such as a single-glazed window (SG) and double-glazed Low-E window (DGL).

2.4. Control Method of the Proposed COSW

As the thermal and optical properties of the window have a significant impact on energy consumption and indoor environment comfort, its impact has been studied extensively [24,25,26]. Occupant comfort is as important as energy conservation, because an uncomfortable environment adversely affects productivity. This paper focuses on the development of control rules based on thermal comfort because comfort should be the top priority in a building environment.
The hourly satisfaction of occupants regarding thermal comfort is obtained through a one-year simulation with the monthly average daily solar radiation shown in Figure 3 to establish the control strategy of the COSW for the entire year and was averaged for South Korea’s four distinctive seasons of spring, summer, fall, and winter. The occupant comfort was evaluated by COMFEN, the simulation software developed by LBNL. A hypothetical office building was modeled to simulate the effects on occupant satisfaction. The model was set at the location with a latitude of 37°30′ north and a longitude of 127°12′ east, where the weather data for this study were collected. For this study, only a simple square module was modeled to estimate the effect of the fenestration design while minimizing the effects of other factors, such as the building shape. The unit space has a rectangular floor plan (6 m × 6 m) and a window only on one side of its walls to determine the changes in occupant comfort, depending on the facade orientation. The areas of the facade and window were set to 6 m × 4 m and 4 m × 3 m, respectively. This represents 50% Window to Wall Ratio (WWR), which is the commonly used condition for simulating energy consumption [15]. The lighting load, equipment load, and density were 12 W/m2, 10.8 12 W/m2, and 5 m2/person [27].
In a period or building facade orientation that demands a high cooling load, windows with the lowest SHGC tend to give the best comfort outcomes [28,29,30]. As shown in Figure 4, Figure 5, Figure 6 and Figure 7, the maximum satisfaction is achieved at different times and different states of the COSW, depending on the season. The maximum satisfaction rate is 91.59% for State 2 at 11:00 a.m. in spring, 87.51% for State 1 at 09:00 a.m. in summer, 89.03% for State 2 at 10:00 in autumn, and 87.58% for State 1 at 01:00 p.m. in winter. Before the maximum satisfaction, between 08:00 a.m. and 11:00 a.m., State 5 of the COSW shows the best performance regarding occupant comfort. During this time, it would be better to pass as much energy as possible through the internal space because solar radiation and outdoor temperature are relatively low. Therefore, for a south orientation, the maximum benefit for occupant comfort is expected when the COSW is switched to its highest transmission state.
After the period of maximum satisfaction, the building user satisfaction falls dramatically due to the high solar radiation density, and the high outdoor temperature causes thermal discomfort. Therefore, the blockage of direct solar radiation is beneficial for occupant thermal comfort. On the other hand, the modulation ability of the COSW is maximized when receiving solar radiation. As shown in Figure 4, between 02:00 p.m. and 05:00 p.m., when the solar radiation intensity and outdoor temperatures are high, the changes in the state of the COSW significantly affect the thermal comfort, with an approximately 6% mean difference between States 1 and 5.
As shown in Figure 4, Figure 5, Figure 6 and Figure 7, the time of maximum satisfaction and the changes in occupant comfort under the different states of the COSW vary according to the season. The variation of occupant comfort is greater in spring and autumn due to the large daily temperature difference. During these seasons, the COSW may help reduce the unwanted solar radiation to increase the overall building user satisfaction. In summer, however, the variation of comfort is lower than other seasons. The solar thermal gain is small and not useful because the additional conduction heat gain by the temperature difference between inside and outside is unnecessary. Although the changes in occupant comfort according to the state of the COSW are quite low during the summer season, the COSW may improve the occupant comfort further with the enhanced U-values of the wall and window. If the U-values of the window and wall increase, the solar thermal gain and transmitted light through the window can be utilized as a major energy source. Then, the effect of changes in SHGC and in the transparency of the COSW on the occupant comfort will more increase and this means that the proposed COSW can further improve the occupant comfort with optimal control. Based on the observation above, the control strategy was established to maximize the user satisfaction, as shown in Figure 8.

3. Evaluation of the COSW on Building Energy Consumption and Occupant Comfort

3.1. Evaluation Method

The energy consumption and occupant comfort were evaluated by COMFEN in the same condition that the COSW is depicted in Section 2.4. COMFEN is capable of simulating the effects of the key variables in fenestration design on energy consumption, thermal, and visual comfort [28,29].
The Ecotect simulation software calculated the electricity output from the solar cell. An Ecotect is capable of calculating electricity production from the BIPV. The software is useful for evaluating the feasibility of BIPV at the early research stage because it can easily change the PCE and the angular behavior of the solar cell.

3.2. Comparison of Results of the COSW with Other Conventional Window Types

The total energy consumption of the COSW with the control strategy shown in Figure 8 was compared with that of the single-glazed (GL) window and that of the double-glazed Low-E (DGL) window. The DGL window has U-value properties of 1.368 W/m2·K, a SHGC of 0.357, and visible transmittance of 0.685. The DGL window consists of two layers of glass, with the space between the layers filled with argon gas to a thickness of 12.7 mm. The thermal load reduction is similar to that of the reflective Low-E glazing, as the electrochromic glazing optimally adapts its optical properties to the surrounding environment (31%) [31]. Therefore, the double-glazed Low-E window is equivalent to utilizing electrochromic glazing. As shown in Figure 9, the COSW achieved the lowest energy consumption when the window was open to south, east, or west, mainly because of the reduced cooling and fan load. Compared to the COSW with a single-glazed window, the lower SHGC of the COSW reduces the cooling load, even though its lighting load is slightly higher. Compared to the COSW with the DGL window, the energy consumption for cooling was reduced by converting solar radiation not to heat energy, but to electricity generated from the window surface. This feature of the COSW can solve the overheating problem caused by the conduction heat flow resulting from the absorbed solar radiation on the window surface. Therefore, the advantage of the COSW is that the solar energy, which otherwise is blocked and lost, is converted to usable electricity. For a north-facing window, the COSW consumed more energy than the DGL window. In the north-facing facade, which has low solar radiation, the more energy consumption of the COSW than that of the DGL window is expected not due to the optical properties of the COSW but due to other values such as the U-value.
Compared to other types of energy consumption such as fanning, cooling, and heating, the COSW achieved the largest lighting energy consumption among the three window types, as depicted in Figure 9. Figure 8 shows the control strategy of the COSW, State 1, which shows the lowest visual transmittance and is adopted most frequently because this state helps solve the glare and thermal discomfort problems. Owing to this control strategy, the user satisfaction can be improved significantly, but the energy consumption for lighting is increased, as shown in Figure 9, due to the low visible transmittance of the window.
The outcome of the COSW was examined by the total energy conservation, which is the summation of electricity generation from the photovoltaic and energy savings compared to the DGL window. Figure 10 presents a stacked bar chart, indicating the monthly energy gain for each orientation. The increase in energy consumption caused by applying a COSW instead of a DGL window is denoted as negative values. The energy savings caused by applying a COSW and electricity production are denoted as positive values. The energy savings influence the energy conservation more significantly than electricity production. The energy savings were 9.24 kW/m2 (33.26 MJ/m2), 7.56 kW/m2 (27.21 MJ/m2), and 11.39 kW/m2 (41 MJ/m2) for a south-facing, east-facing, and west-facing façades, respectively. The electricity production from the COSW was 5.56 kW/m2 (20.03 MJ/m2), 3.96 kW/m2 (14.24 MJ/m2), 3.63 kW/m2 (13.07 MJ/m2), and 2.31 kW/m2 (8.31 MJ/m2) for the south-facing, east-facing, west-facing, and north-facing façades, respectively. The south-facing COSW achieved the largest total energy conservation because of its relatively large electricity production. The total energy conservation for the east- and west-facing COSW was lower than that of the south-facing COSW because of the relatively low electricity generation, even though it can reduce energy consumption. Therefore, for east- and west-facing windows, the modulation range is a more important factor than PCE. For the north-facing façade, however, the COSW was less useful because it not only consumed more energy than the double-glazed Low-E window, but also produced only a small amount of electricity.
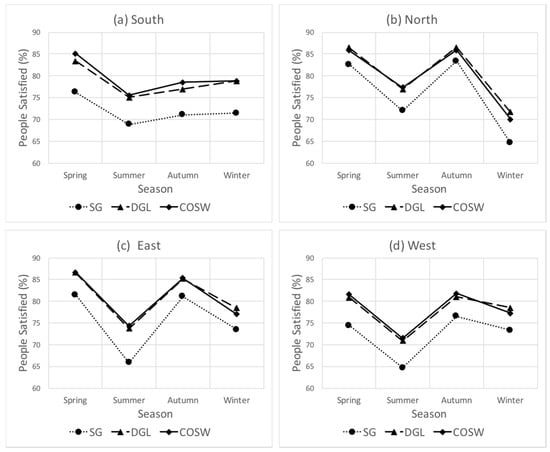
The COSW achieved good performance regarding user satisfaction in the case of south-facing windows because it will improve the occupant satisfaction by optimally controlling the SHGC and transparency when the solar radiation is large as shown in Figure 11. On the other hand, the COSW showed similar thermal comfort to the DGL windows for east-, west-, and north-facing windows as shown in Figure 12. Therefore, the orientation needs to be considered carefully when a COSW is applied to a façade.

4. Conclusions

This paper proposed a new energy efficient window system called COSW and assessed the effect of the COSW on energy consumption, electricity production and thermal comfort for building users. The simulation showed that the COSW has huge potential for energy conservation and thermal comfort, even though the proposed COSW has a low modulation range and PCE. Compared to the double-glazed Low-E windows, the COSW reduced the energy consumption by approximately 14.80 kW/m2 (53.29 MJ/m2) for the south-facing façade, 11.51 kW/m2 (41.45 MJ/m2) for the east-facing façade, and 15.02 kW/m2 (54.07 MJ/m2) for the west-facing façade when the electricity production from the solar cell was deducted from the total energy consumption. In addition, the COSW may increase satisfaction more effectively in spring and autumn than in summer and winter, particularly for the south-facing façade. On the other hand, the COSW consumed more energy for the north-facing windows than the conventional window system.
For a south-facing facade, building energy conservation is equivalently affected by both electricity production from the solar cell and the reduction of energy consumption. Therefore, the PCE and modulation range need to be investigated. For the east- and west-facing facade, more importance needs to be given to the modulation range because building energy conservation is affected significantly by the energy savings caused by the COSW. For north-facing windows, however, the impact of the COSW on energy conservation is almost negligible or negative. Consequently, before applying a COSW to the building facade, the orientation and season should be considered carefully.
Although the proposed COSW can contribute to the reduction of building energy consumption, it cannot fully prevent thermal discomfort due to the relatively high SHGC and visible transmittance compared to other external sun protection systems, such as external awnings, external roller blinds, and external Venetian blinds. Therefore, a COSW can be enhanced further by widening the modulation range of both the SHGC and visible transmittance. For example, if the minimum SHGC and visible transmittance of the COSW can be decreased from 0.423 and 0.268 to 0.2 and 0.1, respectively, the average building user satisfaction can be increased by 3% in spring and summer, 5% in autumn, and 1% in winter. Moreover, the satisfaction can also be improved by up to 11% during the most vibrant business hours from 03:00 p.m. to 05:00 p.m. A future study will develop the COSW with a wide modulation range and evaluate its feasibility for wide utilization to optimize energy conservation.
This proposal for the COSW can be further improved by considering production costs, and architectural and technology constraints. This exploratory study mainly focused on a comparative analysis of energy consumption. For the practical use of the proposed COSW, however, various topics such as costs for production and architectural constraints for installation should be further considered [32]. For future research, we will continue to work on technical issues such as inverter losses and temperature variations in the electricity production. In addition, a comparison of the COSW with other types of windows such as a double-glazed Low-E coated window and a triple-glazed window should also be conducted to test possible energy savings upon switching from generally used Low-E coated glass windows.

Acknowledgments

This work was partially supported by the National Research Foundation of Korea grant funded by the Korea government (MSIP) (NRF-2010-0028693).

Author Contributions

Sehyun Tak made substantial contributions to the design of the study, especially in the simulation and development of the proposed COSW system. Soomin Woo analyzed the results of study and produced graph. Jiyoung Park and Sungjin Park are participated in the interpretation of data and drafted manuscript. All authors read and approved the final manuscript.

Conflicts of Interest

The authors declare no conflict of interest.

References

  1. Zimmermann, M.; Althaus, H.; Haas, A. Benchmarks for sustainable construction: A contribution to develop a standard. Energy Build. 2005, 37, 1147–1157. [Google Scholar] [CrossRef]
  2. Delbin, S.; Silva, V. Da Energy efficiency simulation of buildings in Brazil: Proposal of methodology for insertion in design practice. In Proceedings of the 2005 World Sustainable building Conference, Tokyo, Japan, 27–29 September 2005. [Google Scholar]
  3. Masoso, O.; Grobler, L. The dark side of occupants’ behaviour on building energy use. Energy Build. 2010, 42, 173–177. [Google Scholar] [CrossRef]
  4. Lam, J.; Tsang, C.; Yang, L. Impacts of lighting density on heating and cooling loads in different climates in China. Energy Convers. Manag. 2006, 47, 1942–1953. [Google Scholar] [CrossRef]
  5. Pérez-Lombard, L.; Ortiz, J.; Pout, C. A review on buildings energy consumption information. Energy Build. 2008, 40, 394–398. [Google Scholar] [CrossRef]
  6. Heiselberg, P.; Brohus, H.; Hesselholt, A.; Rasmussen, H. Application of sensitivity analysis in design of sustainable buildings. Renew. Energy 2009, 34, 2030–2036. [Google Scholar] [CrossRef]
  7. Schittich, C.; Lang, W.; Krippner, R. In Details: Building Skins; Birkhäuser Architecture: Basel, Switzerland, 2006. [Google Scholar]
  8. Datta, G. Effect of fixed horizontal louver shading devices on thermal perfomance of building by TRNSYS simulation. Renew. Energy 2001, 23, 497–507. [Google Scholar] [CrossRef]
  9. Hausladen, G.; De Saldanha, M.; Liedl, P. Climateskin: Building-Skin Concepts That Can Do More with Less Energy; Birkhäuser Architecture: Basel, Switzerland, 2008. [Google Scholar]
  10. Tzempelikos, A.; Athienitis, A. The impact of shading design and control on building cooling and lighting demand. Sol. Energy 2007, 81, 369–382. [Google Scholar] [CrossRef]
  11. Peng, C.; Huang, Y.; Wu, Z. Building-integrated photovoltaics (BIPV) in architectural design in China. Energy Build. 2011, 43, 3592–3598. [Google Scholar] [CrossRef]
  12. Chae, Y.; Kim, J.; Park, H.; Shin, B. Building energy performance evaluation of building integrated photovoltaic (BIPV) window with semi-transparent solar cells. Appl. Energy 2014, 129, 217–227. [Google Scholar] [CrossRef]
  13. Chemisana, D. Building integrated concentrating photovoltaics: A review. Renew. Sustain. Energy Rev. 2011, 15, 603–611. [Google Scholar] [CrossRef]
  14. Yoon, S.; Tak, S.; Kim, J.; Jun, Y.; Kang, K.; Park, J. Application of transparent dye-sensitized solar cells to building integrated photovoltaic systems. Build. Environ. 2011, 46, 1899–1904. [Google Scholar] [CrossRef]
  15. Miyazaki, T.; Akisawa, A.; Kashiwagi, T. Energy savings of office buildings by the use of semi-transparent solar cells for windows. Renew. Energy 2005, 30, 281–304. [Google Scholar] [CrossRef]
  16. Lee, J.; Park, J.; Jung, H. A feasibility study on a building’s window system based on dye-sensitized solar cells. Energy Build. 2014, 81, 38–47. [Google Scholar] [CrossRef]
  17. Ameri, T.; Khoram, P.; Min, J.; Brabec, C.J. Organic Ternary Solar Cells: A Review. Adv. Mater. 2013, 25, 4245–4266. [Google Scholar] [CrossRef] [PubMed]
  18. Tyagi, V.; Rahim, N.; Rahim, N.; Jeyraj, A. Progress in solar PV technology: Research and achievement. Renew. Sustain. Energy Rev. 2013, 20, 443–461. [Google Scholar] [CrossRef]
  19. Betancur, R.; Romero-Gomez, P.; Martinez-Otero, A. Transparent polymer solar cells employing a layered light-trapping architecture. Nature 2013, 7, 995–1000. [Google Scholar] [CrossRef]
  20. Wang, C.; Gao, Y.; Shreve, A.; Zhong, C. Thermochromism of a poly (phenylene vinylene): Untangling the roles of polymer aggregate and chain conformation. J. Phys. Chem. B 2009, 113, 16110–16117. [Google Scholar] [CrossRef] [PubMed]
  21. Ameri, T.; Dennler, G.; Waldauf, C.; Azimi, H. Fabrication, optical modeling, and color characterization of semitransparent bulk-heterojunction organic solar cells in an inverted structure. Adv. Funct. Mater. 2010, 20, 1592–1598. [Google Scholar] [CrossRef]
  22. Song, J.; An, Y.; Kim, S.; Lee, S.; Yoon, J. Power output analysis of transparent thin-film module in building integrated photovoltaic system (BIPV). Energy Build. 2008, 40, 2067–2075. [Google Scholar] [CrossRef]
  23. Mitchell, R.; Kohler, C.; Zhu, L.; Arasteh, D.; Carmody, J.; Huizenga, C.; Curcija, D. THERM 6.3/WINDOW 6.3 NFRC Simulation Manual; Lawrence Berkeley National Laboratory: Berkeley, CA, USA, 2011.
  24. Shameri, M.; Alghoul, M.; Sopian, K.; Zain, M. Perspectives of double skin façade systems in buildings and energy saving. Renew. Sustain. Energy Rev. 2011, 15, 1468–1475. [Google Scholar] [CrossRef]
  25. Gratia, E.; Herde, A. De The most efficient position of shading devices in a double-skin facade. Energy Build. 2007, 39, 364–373. [Google Scholar] [CrossRef]
  26. Gratia, E.; Herde, A. De Optimal operation of a south double-skin facade. Energy Build. 2004, 36, 41–60. [Google Scholar] [CrossRef]
  27. ASHRAE (American Society of Heating, Refrigerating and Air-Conditioning Engineers). ASHRAE Handbook—Fundamentals; ASHRAE: Atlanta, GA, USA, 2009. [Google Scholar]
  28. Hitchcock, R.; Mitchell, R.; Yazdanian, M.; Lee, E. COMFEN: A commercial fenestration/façade design tool. IBPSA USA J. 2008, 3, 246–252. [Google Scholar]
  29. Donn, M. Simulation in the Service of Design-Asking the Right Questions (No. LBNL-2513E); Ernest Orlando Lawrence Berkeley National Laboratory: Berkeley, CA, USA, 2009.
  30. Hwang, R.; Shu, S. Building envelope regulations on thermal comfort in glass facade buildings and energy-saving potential for PMV-based comfort control. Build. Environ. 2011, 46, 824–834. [Google Scholar] [CrossRef]
  31. Piccolo, A. Thermal performance of an electrochromic smart window tested in an environmental test cell. Energy Build. 2010, 42, 1409–1417. [Google Scholar] [CrossRef]
  32. TAK, S. Development of multi-level connected safety system with traffic predictive cruise control. Ph.D. Dissertation, Korea Advanced Institute of Science and Technology, Daejeon, Korea, 2015. [Google Scholar]
Figure 1. Schematic of the changeable organic solar cell window.
Figure 1. Schematic of the changeable organic solar cell window.
Sustainability 09 00950 g001
Figure 2. Optical and thermal properties of the changeable organic semi-transparent solar cell window (COSW). Note: SHGC is Solar Heat Gain Coefficient, Tvis is transparency of the proposed COSW.
Figure 2. Optical and thermal properties of the changeable organic semi-transparent solar cell window (COSW). Note: SHGC is Solar Heat Gain Coefficient, Tvis is transparency of the proposed COSW.
Sustainability 09 00950 g002
Figure 3. Monthly average daily solar radiation.
Figure 3. Monthly average daily solar radiation.
Sustainability 09 00950 g003
Figure 4. Average hourly occupant comfort during spring in a south-facing window.
Figure 4. Average hourly occupant comfort during spring in a south-facing window.
Sustainability 09 00950 g004
Figure 5. Average hourly occupant comfort during summer in a south-facing window.
Figure 5. Average hourly occupant comfort during summer in a south-facing window.
Sustainability 09 00950 g005
Figure 6. Average hourly occupant comfort during autumn in a south-facing window.
Figure 6. Average hourly occupant comfort during autumn in a south-facing window.
Sustainability 09 00950 g006
Figure 7. Average hourly occupant comfort during winter in a south-facing window.
Figure 7. Average hourly occupant comfort during winter in a south-facing window.
Sustainability 09 00950 g007
Figure 8. Control strategy of the COSW.
Figure 8. Control strategy of the COSW.
Sustainability 09 00950 g008
Figure 9. Comparison of the total annual electricity consumption for each orientation.
Figure 9. Comparison of the total annual electricity consumption for each orientation.
Sustainability 09 00950 g009
Figure 10. Advantage of the COSW regarding energy conservation.
Figure 10. Advantage of the COSW regarding energy conservation.
Sustainability 09 00950 g010
Figure 11. Ratio of satisfied users in south-facing windows.
Figure 11. Ratio of satisfied users in south-facing windows.
Sustainability 09 00950 g011
Figure 12. Comparison of satisfaction rates for each orientation.
Figure 12. Comparison of satisfaction rates for each orientation.
Sustainability 09 00950 g012

Share and Cite

MDPI and ACS Style

Tak, S.; Woo, S.; Park, J.; Park, S. Effect of the Changeable Organic Semi-Transparent Solar Cell Window on Building Energy Efficiency and User Comfort. Sustainability 2017, 9, 950. https://doi.org/10.3390/su9060950

AMA Style

Tak S, Woo S, Park J, Park S. Effect of the Changeable Organic Semi-Transparent Solar Cell Window on Building Energy Efficiency and User Comfort. Sustainability. 2017; 9(6):950. https://doi.org/10.3390/su9060950

Chicago/Turabian Style

Tak, Sehyun, Soomin Woo, Jiyoung Park, and Sungjin Park. 2017. "Effect of the Changeable Organic Semi-Transparent Solar Cell Window on Building Energy Efficiency and User Comfort" Sustainability 9, no. 6: 950. https://doi.org/10.3390/su9060950

APA Style

Tak, S., Woo, S., Park, J., & Park, S. (2017). Effect of the Changeable Organic Semi-Transparent Solar Cell Window on Building Energy Efficiency and User Comfort. Sustainability, 9(6), 950. https://doi.org/10.3390/su9060950

Note that from the first issue of 2016, this journal uses article numbers instead of page numbers. See further details here.

Article Metrics

Back to TopTop