Assessment of Soil Health in Urban Agriculture: Soil Enzymes and Microbial Properties
Abstract
:1. Introduction
2. Materials and Methods
2.1. Field Sites
2.2. Soil Sampling and Chemical Characterization
2.3. Soil Enzymes
2.4. Fatty Acid Methyl Ester Analysis and Identification of Microbial Fatty Acid Biomarkers
2.5. Statistics
3. Results and Discussion
3.1. Soil Chemical Properties
3.2. Soil Microbial Community Structure
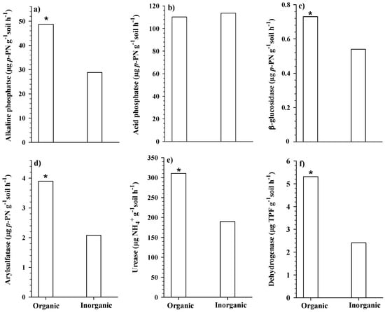
3.3. Soil Enzyme Activities
3.4. Relationships of Soil Quality Parameters
4. Conclusions
Acknowledgments
Author Contributions
Conflicts of Interest
References
- Wei, B.; Yang, L. A review of heavy metal contaminations in urban soils, urban road dusts and agricultural soils from China. Microchem. J. 2010, 94, 99–107. [Google Scholar] [CrossRef]
- World Health Organization. Urban Population Growth. World Health Organization. Available online: http://www.who.int/gho/urban_health/situation_trends/urban_population_growth_text/en/ (accessed on 20 March 2015).
- Attanayake, C.P.; Hettiarachchi, G.M.; Harms, A.; Presley, D.; Martin, S.; Pierzynski, G.M. Field evaluations on soil plant transfer of lead from an urban garden soil. J. Environ. Qual. 2014, 43, 475–487. [Google Scholar] [CrossRef] [PubMed]
- Beyer, L.; Blume, H.-P.; Elsner, D.-C.; Willnow, A. Soil organic matter composition and microbial activity in urban soils. Sci. Total Environ. 1995, 168, 267–278. [Google Scholar] [CrossRef]
- Kim, L.S.; Jeon, J.W.; Lee, Y.S.; Jeon, H.J.; Park, B.J.; Lee, H.S.; Choi, S.D.; Lee, S.E. Monitoring and risk assessment of polychlorinated biphenyls (PCBs) in agricultural soil collected in the vicinity of an industrialized area. Appl. Biol. Chem. 2016, 59, 655–659. [Google Scholar] [CrossRef]
- USDA. Urban Agriculture. Alternative Farming Systems Information Center. National Agricultural Library, U.S. Department of Agriculture. 2012. Available online: https://www.nal.usda.gov/afsic/urban-agriculture (accessed on 21 December 2016). [Google Scholar]
- USDA (United States Department of Agriculture). Soil Health. Available online: https://www.nrcs.usda.gov/wps/portal/nrcs/main/soils/health/ (accessed on 21 December 2016).
- Igalavithana, A.D.; Shaheen, S.M.; Park, J.N.; Lee, S.S.; Ok, Y.S. Potentially Toxic Element Contamination and Its Impact on Soil Biological Quality in Urban Agriculture: A Critical Review. In Heavy Metal Contamination of Soils; Sherameti, I., Varma, A., Eds.; Springer: Cham, Switzerland, 2015; pp. 81–101. [Google Scholar]
- Zezza, A.; Tasciotti, T. Urban agriculture, poverty, and food security: Empirical evidence from a sample of developing countries. Food Policy 2010, 35, 265–273. [Google Scholar] [CrossRef]
- Smith, J.; Ratta, A.; Nasar, J. Urban Agriculture: Food, Jobs and Sustainable Cities; United Nations Development Programme Publication Series for Habitat II: New York, NY, USA, 1996; Volume 1, pp. 1–29. [Google Scholar]
- Jim, C.Y. Urban soil characteristics and limitations for landscape planting in Hong Kong. Landsc. Urban Plan. 1998, 40, 235–249. [Google Scholar] [CrossRef]
- Kaschuk, G.; Alberton, O.; Hungria, M. Quantifying effects of different agricultural land uses on soil microbial biomass and activity in Brazilian biomes: Inferences to improve soil quality. Plant Soil 2011, 338, 467–481. [Google Scholar] [CrossRef]
- Paz-Ferreiro, J.; Baez-Bernal, D.; Castro-Insúa, J.; García-Pomar, M.I. Temporal variability of soil biological properties in temperate grasslands and croplands amended with organic and inorganic fertilizers. Commun. Soil Sci. Plan. 2013, 44, 19–27. [Google Scholar] [CrossRef]
- Gil-Stores, F.; Trasar-Cepeda, C.; Leirós, M.C.; Seoane, S. Different approaches to evaluating soil quality using biochemical properties. Soil Biol. Biochem. 2005, 37, 877–887. [Google Scholar] [CrossRef]
- Schloter, M.; Dilly, O.; Munch, J.C. Indicators for evaluating soil quality. Agric. Ecosyst. Environ. 2003, 98, 255–262. [Google Scholar] [CrossRef]
- Wittmann, C.; Kähkönen, M.; Ilvesniemi, H.; Kurola, J.; Salkinoja-Salonen, M. Areal activities and stratification of hydrolytic enzymes involved in the biochemical cycles of carbon, nitrogen, sulphur and phosphorus in podsolized boreal forest soils. Soil Biol. Biochem. 2004, 36, 425–433. [Google Scholar] [CrossRef]
- Bastida, F.; Kandeler, E.; Hernández, T.; García, C. Long-term effect of municipal solid waste amendment on microbial abundance and humus-associated enzyme activities under semiarid conditions. Microb. Ecol. 2007, 55, 651–661. [Google Scholar] [CrossRef] [PubMed]
- Madejόn, E.; Burgos, P.; Lόpez, R.; Cabrera, F. Soil enzymatic response to addition of heavy metals with organic residues. Biol. Fertil. Soils 2001, 34, 144–150. [Google Scholar] [CrossRef]
- Ai, C.; Liang, G.; Sun, J.; Wang, X.; Zhou, W. Responses of extracellular enzyme activities and microbial community in both the rhizosphere and bulk soil to long-term fertilization practices in a fluvo-aquic soil. Geoderma 2012, 173–174, 330–338. [Google Scholar] [CrossRef]
- Enwall, K.; Philippot, L.; Hallin, S. Activity and composition of the denitrifying bacterial community respond differently to long-term fertilization. Appl. Environ. Microbiol. 2005, 71, 8335–8343. [Google Scholar] [CrossRef] [PubMed]
- Yin, C.; Fan, F.; Song, A.; Cui, P.; Li, T.; Liang, Y. Denitrification potential under different fertilization regimes is closely coupled with changes in the denitrifying community in a black soil. Appl. Microbiol. Biotechnol. 2015, 99, 5719–5729. [Google Scholar] [CrossRef] [PubMed]
- Elfstrand, S.; Hedlund, K.; Martensson, A. Soil enzyme activities, microbial community composition and function after 47 years of continuous green manuring. Appl. Soil Ecol. 2007, 35, 610–621. [Google Scholar] [CrossRef]
- Phillips, R.; Fahey, T. The influence of soil fertility on rhizosphere effects in northern hardwood forest soils. Soil Sci. Soc. Am. J. 2008, 72, 453–461. [Google Scholar] [CrossRef]
- Zhang, Q.N.; Wang, G.H.; Yao, H.Y. Phospholipid fatty acid patterns of microbial communities in paddy soil under different fertilizer treatments. J. Environ. Sci. 2007, 19, 55–59. [Google Scholar] [CrossRef]
- Antunes, P.M.; de Variennes, A.; Rajcan, I.; Goss, M.J. Accumulation of specific flavonoids in soybean (Glycine max (L.) Merr.) as a function of the early tripartite symbiosis with arbuscular mycorrhizal fungi and Bradyrhizobium japonicum (Kirchner) Jordan. Soil Biol. Biochem. 2006, 38, 1234–1242. [Google Scholar] [CrossRef]
- Javaid, A. Role of Arbuscular Mycorrhizal Fungi in Nitrogen Fixation in Legumes. In Microbes for Legume Improvement; Khan, M.S., Musarrat, J., Zaidi, A., Eds.; Springer: Vienna, Austria, 2010; pp. 409–426. [Google Scholar]
- Janssen, B.H. Nitrogen mineralization in relation to C:N ratio and decomposability of organic materials. Plant Soil 1996, 181, 39–45. [Google Scholar] [CrossRef]
- Böhme, L.; Langer, U.; Böhme, F. Microbial biomass, enzyme activities and microbial community structure in two European long-term field experiments. Agric. Ecosyst. Environ. 2005, 109, 141–152. [Google Scholar] [CrossRef]
- Goyal, S.; Chander, K.; Mundra, M.; Kapoor, K. Influence of inorganic fertilizers and organic amendments on soil organic matter and soil microbial properties under tropical conditions. Biol. Fertil. Soils 1999, 29, 196–200. [Google Scholar] [CrossRef]
- Buyer, J.S.; Teasdale, J.R.; Roberts, D.P.; Zasada, I.A.; Maul, J.E. Factors affecting soil microbial community structure in tomato cropping systems. Soil Biol. Biochem. 2010, 42, 831–841. [Google Scholar] [CrossRef]
- Bossio, D.A.; Scow, K.M.; Gunapala, N.; Graham, K.J. Determinants of soil microbial communities: Effects of agricultural management, season, and soil type on phospholipid fatty acid profiles. Microb. Ecol. 1998, 36, 1–12. [Google Scholar] [CrossRef] [PubMed]
- Kennedy, A.C.; Smith, K.L. Soil microbial diversity and the sustainability of agricultural soils. Plant Soil 1995, 170, 78–86. [Google Scholar] [CrossRef]
- Heffner, R.A.; Butler, I.V.M.J.; Reilly, C.K. Pseudoreplication revisited. Ecology 1996, 77, 255–2562. [Google Scholar] [CrossRef]
- Lee, J.; Gu, J.; Park, H.; Yun, H.; Kim, S.; Lee, W.; Han, J.; Cha, J.-S. Estimation of populations exposed to road traffic noise in districts of Seoul metropolitan area of korea. Int. J. Environ. Res. Publ. Health 2014, 11, 2729–2740. [Google Scholar] [CrossRef] [PubMed]
- Heczko, J.; Zaujec, A. Influence of Farming Systems on Area Heterogeneity of Total Organic Carbon Contents; Humic Substances in Ecosystems 8; SSCRI: Bratislava, Slovakia, 2009; pp. 73–78. [Google Scholar]
- Rural Development Administration, Korea (RDA). Methods of Soil Chemical Analysis; National Institute of Agricultural Science and Technology, RDA: Suwon, Korea, 1988. (In Korean) [Google Scholar]
- Mehta, N.C.; Legg, J.O.; Goring, C.A.I.; Blanck, C.A. Determination of organic phosphorus in soils: I. Extraction method. Soil Sci. Soc. Am. Proc. 1954, 18, 443–449. [Google Scholar] [CrossRef]
- Das, S.K.; Varma, A. Role of Enzymes in Maintaining Soil Health. In Soil Enzymology; Shukla, G., Varma, A., Eds.; Springer: Berlin/Heidelberg, Germany, 2011; pp. 25–42. [Google Scholar]
- Casida, L.E.; Klein, D.A., Jr.; Santero, T. Soil dehydrogenase activity. Soil Sci. 1964, 98, 371–376. [Google Scholar] [CrossRef]
- Tabatabai, M.A. Soil Enzymes. In Methods of Soil Analysis. Part 2: Microbial and Biochemical Properties; Soil Science Society of America: Madison, WI, USA, 1994; pp. 775–833. [Google Scholar]
- Tabatabai, M.A.; Bremner, J.M. Assay of urease activity in soils. Soil Biol. Biochem. 1972, 4, 479–487. [Google Scholar] [CrossRef]
- Schutter, M.E.; Dick, R.P. Comparison of fatty acid methyl ester (FAME) methods for characterizing microbial communities. Soil Sci. Soc. Am. J. 2000, 64, 1659–1668. [Google Scholar] [CrossRef]
- Waldrop, M.P.; Balser, T.C.; Firestone, M.K. Linking microbial community composition to function in a tropical soil. Soil Biol. Biochem. 2000, 32, 1837–1846. [Google Scholar] [CrossRef]
- Puglisi, E.; Niceli, M.; Capri, E.; Trevisan, M.; Del Re, A.A.M. A soil alteration index based on phopholipid fatty acids. Chemosphere 2005, 61, 1548–1557. [Google Scholar] [CrossRef] [PubMed]
- R Development Core Team. R: A Language and Environment for Statistical Computing; R Foundation for Statistical Computing: Vienna, Austria, 2008. [Google Scholar]
- Stacklies, W.; Redesting, S.H.; Scholz, M.; Walther, D.; Selbig, J. pcaMethods—A bioconductor package providing PCA methods for incomplete data. Bioinformatics 2007, 23, 1164–1167. [Google Scholar] [CrossRef] [PubMed]
- The Fertilizer Institute. Soil pH and the Availability of Plant Nutrients; The Fertilizer Institute: Washington, DC, USA, 2015. [Google Scholar]
- Brady, N.C.; Weil, R.R. Elements of Nature and Properties of Soil, 3rd ed.; Pearson, Education Limited: New York, NY, USA, 2014. [Google Scholar]
- Steiner, C.; Teixeira, W.G.; lehmann, J.; Nehls, T.; de Macêdo, J.L.V.; Blum, W.E.H.; Zech, W. Long term effects of manure, charcoal and mineral fertilization on crop production and fertility on a highly weathered Central Amazonian upland soil. Plant Soil 2007, 291, 275–290. [Google Scholar] [CrossRef]
- Horneck, D.A.; Sullivan, D.M.; Owen, J.S.; Hart, J.M. Soil Test Interpretation Guide. 2011. Available online: http://extension.oregonstate.edu/sorec/sites/default/files/soil_test_interpretation_ec1478.pdf (accessed on 21 December 2016).
- Beegle, D. Managing Phosphorus for Crop Production. 2016. Available online: http://extension.psu.edu/plants/nutrient-management/educational/soil-fertility/managing-phosphorus-for-crop-production (accessed on 21 December 2016).
- Falivene, S. Soil Solution Analysis Steven Falivene Citrus Extension Officer, Dareton. 2011. Available online: http://www.dpi.nsw.gov.au/__data/assets/pdf_file/0003/423156/Primefact-1143.pdf (accessed on 21 December 2016). [Google Scholar]
- Wang, X.; Zabowski, D. Nutrient Composition of Douglas-Fir Rhizosphere and Bulk Soil Solutions. In Root Demographics and Their Efficiencies in Sustainable Agriculture, Grasslands and Forest Ecosystems; Box, J.E., Jr., Ed.; Springer: Dordrecht, The Netherlands, 1998; pp. 13–20. [Google Scholar]
- Jiang, D.; Hengsdijk, H.; Dai, T.-B.; de Boer, W.; Qi, J.; Cao, W.-X. Long-Term Effects of Manure and Inorganic Fertilizers on Yield and Soil Fertility for a Winter Wheat-Maize System in Jiangsu, China. Pedosphere 2006, 16, 25–32. [Google Scholar] [CrossRef]
- Kallenbach, C.; Grandy, A.S. Controls over soil microbial biomass responses to carbon amendments in agricultural systems: A meta-analysis. Agric. Ecosyst. Environ. 2011, 144, 241–252. [Google Scholar] [CrossRef]
- Marriott, E.E.; Wander, M. Qualitative and quantitative differences in particulate organic matter fractions in organic and conventional farming systems. Soil Biol. Biochem. 2006, 38, 1527–1536. [Google Scholar] [CrossRef]
- Smukler, S.M.; Jackson, L.E.; Murphree, L.; Yokota, R.; Koike, S.T.; Smith, R.F. Transition to large-scale organic vegetable production in the Salinas Valley, California. Agric. Ecosyst. Environ. 2008, 126, 168–188. [Google Scholar] [CrossRef]
- Bowles, T.M.; Acosta-Martínez, V.; Calderón, F.; Jackson, L.E. Soil enzyme activities, microbial communities, and carbon and nitrogen availability in organic agroecosystems across an intensively-managed agricultural landscape. Soil Biol. Biochem. 2014, 68, 252–262. [Google Scholar] [CrossRef]
- Krämer, S.; Green, D.M. Acid and alkaline phosphatase dynamics and their relationship to soil microclimate in a semiarid woodland. Soil Biol. Biochem. 2000, 32, 179–188. [Google Scholar] [CrossRef]
- Sardans, J.; Peñuelas, J.; Ogaya, R. Experimental drought reduced acid and alkaline phosphatase activity and increased organic extractable P in soil in a Quercus ilex Mediterranean forest. Eur. J. Soil Biol. 2008, 44, 509–520. [Google Scholar] [CrossRef]
- Stott, D.E.; Andrews, S.S.; Liebig, M.A.; Wienhold, B.J.; Karlen, D.L. Evaluation of β-glucosidase activity as a soil quality indicator for the soil management assessment framework. Soil Sci. Soc. Am. J. 2010, 74, 107–119. [Google Scholar] [CrossRef]
- Green, V.S.; Stott, D.E.; Cruz, J.C.; Curi, N. Tillage impacts on soil biological activity and aggregation in a Brazilian Cerrado Oxisol. Soil Till. Res. 2007, 92, 114–121. [Google Scholar] [CrossRef]
- Li, X.; Sarah, P. Arylsulfatase activity of soil microbial biomass along a mediterranean-arid transect. Soil Biol. Biochem. 2003, 35, 925–934. [Google Scholar] [CrossRef]
- Baddam, R.; Reddy, G.B.; Raczkowski, C.; Cyrus, J.S. Activity of soil enzymes in constructed wetlands treated with swine wastewater. Ecol. Eng. 2016, 91, 24–30. [Google Scholar] [CrossRef]
- Kanchikerimath, M.; Singh, D. Soil organic matter and biological properties after 26 years of maize-wheat-cowpea cropping as affected by manure and fertilization in a Cambisol in semiarid region of India. Agric. Ecosyst. Environ. 2001, 86, 155–162. [Google Scholar] [CrossRef]
- Bandick, A.K.; Dick, R.P. Field management effects on soil enzyme activities. Soil Biol. Biochem. 1999, 31, 1471–1479. [Google Scholar] [CrossRef]
- Yoo, J.; Woo, S.H.; Park, K.D.; Chung, K.Y. Effect of no-tillage and conventional tillage practices on the nitrous oxide (N2O) emissions in an upland soil: Soil N2O emission as affected by the fertilizer applications. Appl. Biol. Chem. 2016, 59, 787–797. [Google Scholar] [CrossRef]
- Burger, M.; Jackson, L.E. Microbial immobilization of ammonium and nitrate in relation to ammonifcation and nitrifcation rates in organic and conventional cropping systems. Soil Biol. Biochem. 2003, 35, 29–36. [Google Scholar] [CrossRef]



| Organic Fertilizer Applied Soils | |||||||||
| Site No. | Texture | Land Preparation | Cultivations Period | Crop Cycles | Land Size (m2) | Crops | Amount of Fertilizer Applied (kg·m−2·year−1) | ||
| Compost (Plant Material Based) | |||||||||
| 1 | Sandy loam | Hand plough | April–October | 4–5 | 12.8 | Lettuce | 10.2 | ||
| 2 | Sandy loam | Hand plough | April–October | 6 | 12.9 | Lettuce | 10.5 | ||
| 3 | Sandy loam | Hand plough | April–October | 5 | 14.7 | Lettuce | 9.8 | ||
| 4 | Sandy loam | Hand plough | April–October | 6 | 13.9 | Lettuce | 9.4 | ||
| 5 | Sandy loam | Hand plough | April–October | 6 | 12.3 | Lettuce, Chinese cabbage | 10.0 | ||
| 6 | Sandy loam | Hand plough | April–October | 5 | 12.1 | Lettuce | 10.0 | ||
| 7 | Sandy loam | Hand plough | April–October | 5 | 13.0 | Chinese cabbage | 10.2 | ||
| 8 | Sandy loam | Hand plough | April–October | 5 | 13.6 | Chinese cabbage | 10.0 | ||
| Inorganic Fertilizer Applied Soils | |||||||||
| Site No. | Texture | Land Preparation | Cultivations Period | Crop Cycles | Land Size (m2) | Crops | Amount of Fertilizer Applied (kg·m−2·year−1) | ||
| N (Urea) | P (Superphosphate) | K (Potassium Sulfate) | |||||||
| 9 | Sandy loam | Hand plough | April–October | 5 | 14.2 | Chinese cabbage | 2.4 | 10.8 | 0.5 |
| 10 | Sandy loam | Hand plough | April–October | 5 | 12.9 | Lettuce, Chinese cabbage | 2.7 | 11.0 | 0.4 |
| 11 | Sandy loam | Hand plough | April–October | 5–6 | 13.1 | Lettuce | 2.5 | 12.6 | 0.0 |
| 12 | Sandy loam | Hand plough | April–October | 5 | 14.1 | Lettuce | 2.5 | 12.0 | 0.0 |
| 13 | Sandy loam | Hand plough | April–October | 5 | 12.8 | Chinese cabbage | 2.5 | 12.0 | 0.6 |
| 14 | Sandy loam | Hand plough | April–October | 6 | 14.6 | Lettuce | 2.4 | 11.0 | 0.0 |
| 15 | Sandy loam | Hand plough | April–October | 4–5 | 14.5 | Lettuce | 2.6 | 0 | 0.0 |
| 16 | Sandy loam | Hand plough | April–October | 5 | 14.2 | Lettuce | 2.7 | 12.4 | 0.0 |
| Soil Property | Organic Fertilizer | Inorganic Fertilizer |
|---|---|---|
| pH (1:5 soil:deionized water) | 6.7 ± 0.2 | 5.2 ± 0.1 |
| EC (dS·m−1) | 0.7 ± 0.2 * | 0.3 ± 0.1 |
| Organic matter (g·kg−1) | 54 ± 14 * | 17 ± 6 |
| Ca2+ (cmol·kg−1) | 10.9 ± 1.4 * | 8.6 ± 1.2 |
| K+ (cmol·kg−1) | 1.6 ± 0.2 * | 0.6 ± 0.0 |
| Mg2+ (cmol·kg−1) | 2.6 ± 0.3 | 2.6 ± 0.0 |
| Na+ (cmol·kg−1) | 0.7 ± 0.0 * | 0.4 ± 0.0 |
| P2O5 (mg·kg−1) | 1831 ± 16 * | 372 ± 8 |
| NO3-N (mg·kg−1) | 96 ± 27 * | 15 ± 12 |
| Specific Microbial Groups and Corresponding Fatty Acid Biomarkers | Organic Fertilizer | Inorganic Fertilizer |
|---|---|---|
| nmol% | ||
| Gram-positive bacteria | ||
| a15:0 | 3.5 ± 0.9 | 3.5 ± 0.1 |
| i15:0 | 4.6 ± 0.4 | 4.0 ± 0.8 |
| i16:0 | 2.5 ± 0.1 * | 2.1 ± 0.2 |
| a17:0 | 1.8 ± 0.3 | 2.0 ± 0.3 |
| i17:0 | 2.0 ± 0.5 | 1.7 ± 0.4 |
| cy17:0 | 1.4 ± 0.1 * | 1.2 ± 0.1 |
| Gram-negative bacteria | ||
| cy19:0ω8c | 2.7 ± 0.2 * | 2.0 ± 0.3 |
| sum in feature 3 (16:1ω7c/16:1ω6c) | 4.0 ± 0.4 | 5.3 ± 0.4 * |
| sum in feature 5 (a18:0/18:2ω6, 9c) | 10.6 ± 1.0 * | 8.7 ± 0.9 |
| sum in feature 8 (18:1ω7c) | 5.0 ± 0.2 | 5.1 ± 0.3 |
| Actinomycetes | ||
| 10Me18:0 | 2.7 ± 0.8 * | 1.6 ± 0.6 |
| Fungi | ||
| 18:1ω9c | 11.8 ± 1.1 | 11.2 ± 0.8 |
| AMF † | ||
| 16:1ω5c | 1.7 ± 0.1 | 2.2 ± 1.0 |
| Acid P † | Alkaline P ‡ | β-Glucosidase | Arylsulfatase | Urease | Dehydrogenase | |
|---|---|---|---|---|---|---|
| Organic fertilizer | ||||||
| Gram-positive bacteria | ||||||
| a15:0 | 0.25 | −0.12 | 0.54 | −0.06 | 0.16 | 0.23 |
| i15:0 | −0.23 | 0.78 ** | 0.29 | 0.71 * | 0.37 | 0.09 |
| i16:0 | −0.44 | 0.40 | 0.84 ** | 0.29 | 0.28 | 0.17 |
| a17:0 | 0.02 | −0.24 | −0.29 | −0.30 | −0.31 | −0.02 |
| i17:0 | −0.36 | 0.45 | 0.02 | 0.39 | 0.09 | 0.17 |
| cy17:0 | −0.61 ** | 0.65 * | 0.53 | 0.39 | 0.08 | −0.16 |
| Gram-negative bacteria | ||||||
| cy19:0ω8c | −0.43 | 0.59 * | 0.73 * | 0.37 | 0.34 | 0.06 |
| sum in feature 3 (16:1ω7c/16:1ω6c) | 0.17 | −0.83 ** | −0.62 * | −0.94 *** | −0.80 ** | −0.68 * |
| sum in feature 5 (a18:0/18:2ω6, 9c) | 0.09 | 0.69 * | 0.51 | 0.83 ** | 0.82 ** | 0.79 ** |
| sum in feature 8 (18:1ω7c) | 0.44 | −0.11 | 0.01 | −0.18 | 0.07 | 0.06 |
| Actinomycetes | ||||||
| 10Me18:0 | 0.12 | 0.41 | 0.52 | 0.49 | 0.75 * | 0.55 |
| Fungi | ||||||
| 18:1ω9c | 0.34 | 0.41 | 0.39 | 0.62 * | 0.68 * | 0.86 ** |
| AMF § | ||||||
| 16:1ω5c | 0.19 | 0.10 | −0.45 | 0.15 | −0.05 | 0.01 |
| Inorganic fertilizer | ||||||
| Gram-positive bacteria | ||||||
| a15:0 | 0.36 | −0.04 | 0.93 | 0.46 | 0.38 | 0.43 |
| i15:0 | −0.55 | 0.33 | 0.21 | −0.77 | −0.65 | −0.87 * |
| i16:0 | 0.10 | 0.28 | 0.95 ** | 0.04 | 0.11 | 0.01 |
| a17:0 | −0.49 | 0.37 | −0.18 | 0.48 | −0.26 | 0.32 |
| i17:0 | −0.69 | 0.42 | −0.36 | 0.31 | −0.46 | 0.07 |
| cy17:0 | −0.79 | 0.59 | 0.22 | −0.47 | −0.76 | −0.64 |
| Gram-negative bacteria | ||||||
| cy19:0ω8c | −0.45 | 0.53 | 0.25 | −0.81 * | −0.53 | −0.74 |
| sum in feature 3 (16:1ω7c/16:1ω6c) | −0.73 | 0.38 | 0.06 | −0.79 | −0.81 | −0.91 * |
| sum in feature 5 (a18:0/18:2ω6, 9c) | 0.71 | −0.32 | 0.11 | 0.83 | 0.80 | 0.96 ** |
| sum in feature 8 (18:1ω7c) | 0.25 | 0.35 | 0.91 * | 0.40 | 0.36 | 0.35 |
| Actinomycetes | ||||||
| 10Me18:0 | 0.80 | −0.19 | −0.03 | 0.31 | 0.80 | 0.66 |
| Fungi | ||||||
| 18:1ω9c | 0.68 | −0.11 | 0.59 | 0.87 * | 0.80 | 0.92 * |
| AMF § | ||||||
| 16:1ω5c | −0.44 | 0.49 | 0.42 | −0.63 | −0.49 | −0.69 |
| Enzyme Activities | pH | EC † | OM ‡ | Ca2+ | K+ | Mg2+ | Na+ | P2O5 | NO3 |
|---|---|---|---|---|---|---|---|---|---|
| Organic fertilizer | |||||||||
| acid P § | 0.14 | −0.08 | 0.17 | 0.06 | −0.45 | −0.83 * | 0.01 | 0.67 | −0.19 |
| alkaline P ¶ | −0.84 * | −0.97 ** | 0.99 ** | 0.96 ** | −0.91 ** | −0.41 | 0.95 ** | 0.42 | −0.99 ** |
| β-Glucosidase | 0.38 | 0.6 | −0.53 | −0.54 | 0.2 | 0.07 | −0.53 | −0.42 | 0.56 |
| arylsulfatase | −0.92 ** | −0.98 ** | 1.00 *** | 0.99 ** | −0.93 ** | −0.33 | 0.92 ** | 0.3 | −0.99 *** |
| dehydrogenase | −0.79 | −0.93 * | 0.93 * | 0.93 * | −0.76 | −0.37 | 0.98 * | 0.42 | −0.94 * |
| urease | −0.42 | −0.56 | 0.63 | 0.56 | −0.83 * | −0.73 | 0.41 | 0.57 | −0.64 |
| Inorganic fertilizer | |||||||||
| acid P § | 0.68 | 0.74 | 0.96 * | −0.68 | 0.85 * | 0.66 | 0.45 | 0.70 | −0.71 |
| alkaline P ¶ | −0.13 | −0.21 | −0.82 * | 0.24 | −0.29 | 0.00 | −0.57 | −0.59 | 0.22 |
| β-Glucosidase | 0.48 | 0.38 | 0.17 | −0.35 | 0.31 | 0.76 | 0.37 | −0.14 | −0.34 |
| arylsulfatase | 0.90 | 0.88 * | −0.78 * | −0.89 * | 0.78 * | 0.73 * | 0.78 * | −0.17 | −0.88 * |
| dehydrogenase | 0.97 ** | 0.98 ** | −0.85 * | −0.98 ** | 0.95 ** | 0.82 * | 0.56 | 0.05 | −0.98 ** |
| urease | 0.83 * | 0.87 * | −0.92 * | −0.81 ** | 0.93 * | 0.77 * | 0.49 | 0.49 | −0.84 * |
© 2017 by the authors. Licensee MDPI, Basel, Switzerland. This article is an open access article distributed under the terms and conditions of the Creative Commons Attribution (CC BY) license ( http://creativecommons.org/licenses/by/4.0/).
Share and Cite
Igalavithana, A.D.; Lee, S.S.; Niazi, N.K.; Lee, Y.-H.; Kim, K.H.; Park, J.-H.; Moon, D.H.; Ok, Y.S. Assessment of Soil Health in Urban Agriculture: Soil Enzymes and Microbial Properties. Sustainability 2017, 9, 310. https://doi.org/10.3390/su9020310
Igalavithana AD, Lee SS, Niazi NK, Lee Y-H, Kim KH, Park J-H, Moon DH, Ok YS. Assessment of Soil Health in Urban Agriculture: Soil Enzymes and Microbial Properties. Sustainability. 2017; 9(2):310. https://doi.org/10.3390/su9020310
Chicago/Turabian StyleIgalavithana, Avanthi Deshani, Sang Soo Lee, Nabeel Khan Niazi, Young-Han Lee, Kye Hoon Kim, Jeong-Hun Park, Deok Hyun Moon, and Yong Sik Ok. 2017. "Assessment of Soil Health in Urban Agriculture: Soil Enzymes and Microbial Properties" Sustainability 9, no. 2: 310. https://doi.org/10.3390/su9020310
APA StyleIgalavithana, A. D., Lee, S. S., Niazi, N. K., Lee, Y.-H., Kim, K. H., Park, J.-H., Moon, D. H., & Ok, Y. S. (2017). Assessment of Soil Health in Urban Agriculture: Soil Enzymes and Microbial Properties. Sustainability, 9(2), 310. https://doi.org/10.3390/su9020310

