Deficit Irrigation and Partial Root-Zone Drying Techniques in Processing Tomato Cultivated under Mediterranean Climate Conditions
Abstract
:1. Introduction
2. Materials and Methods
2.1. Site Description
2.2. Irrigation Treatments and Crop Management
2.3. Physiological, Quantitative, and Qualitative Parameters
2.4. Statistical Analysis
3. Results and Discussion
3.1. Weather Conditions
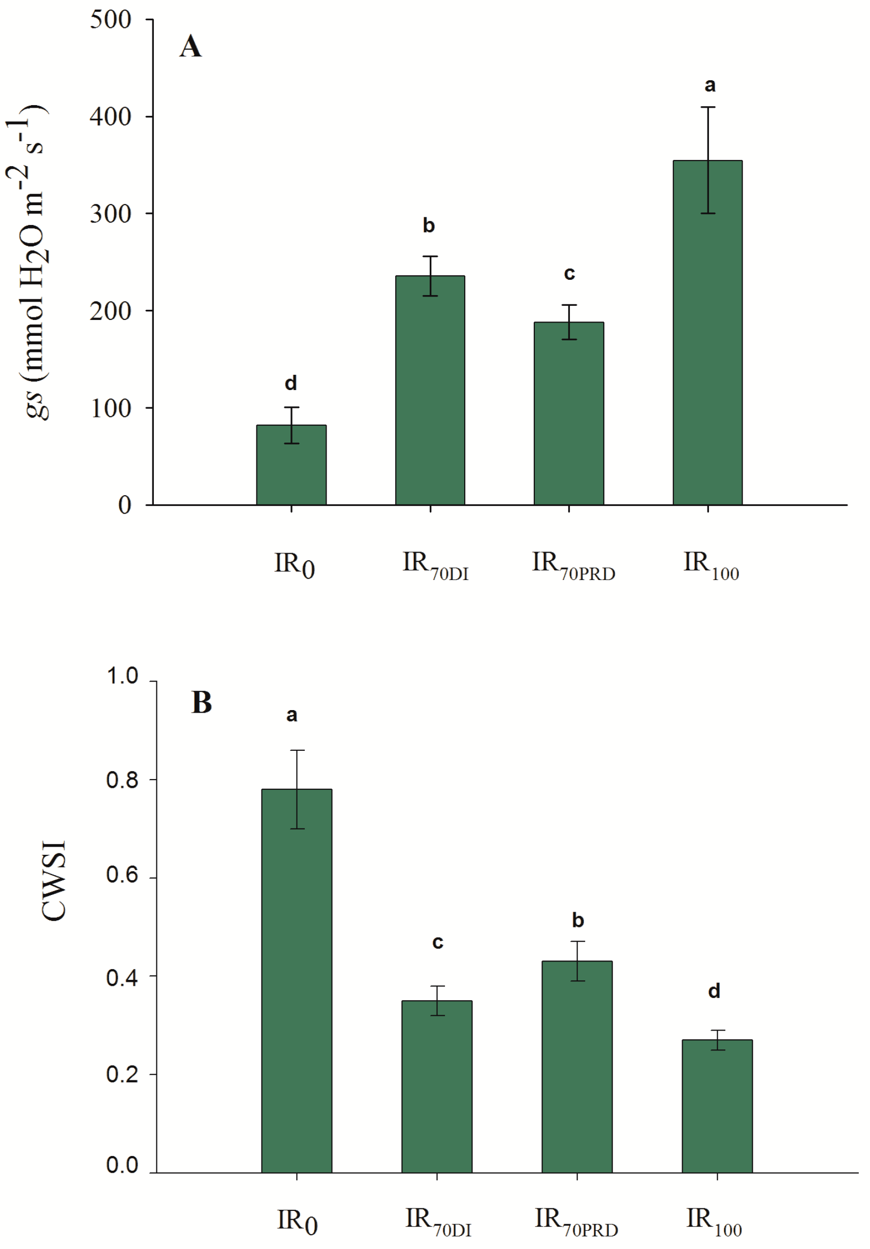
3.2. Physiological, Quantitative, and Qualitative Parameters
3.3. Principal Component Analysis on the Quali-Quantitative Composition of the Tomato Fruit
4. Conclusions
Acknowledgments
Author Contributions
Conflicts of Interest
References
- Tahi, H.; Wahbi, S.; Wakrim, R.; Aganchich, B.; Serraj, R.; Centritto, M. Water relations, photosynthesis, growth, and water use efficiency in tomato plants subjected to partial rootzone drying and regulated deficit irrigation. Plant Biosyst. 2007, 141, 265–274. [Google Scholar] [CrossRef]
- Lovelli, S.; Perniola, M.; Scalcione, E.; Troccoli, A.; Ziska, L.H. Future climate change in the Mediterranean area: Implications for water use and weed management. Ital. J. Agron. 2012, 7, 44–49. [Google Scholar] [CrossRef]
- Ventrella, D.; Giglio, L.; Charfeddine, M.; Lopez, R.; Castellini, M.; Sollitto, D.; Castrignanò, A.; Fornaro, F. Climate change impact on crop rotations of winter durum wheat and tomato in Southern Italy: Yield analysis and soil fertility. Ital. J. Agron. 2012, 7, 100–108. [Google Scholar] [CrossRef]
- Ferrarin, C.; Zaggia, L.; Paschini, E.; Scirocco, T.; Lorenzetti, G.; Bajo, M.; Penna, P.; Francavilla, M.; D’Adamo, R.; Guerzoni, S. Hydrological regime and renewal capacity of the micro-tidal Lesina Lagoon, Italy. Estuar. Coast. 2014, 37, 79–93. [Google Scholar] [CrossRef]
- Gatta, G.; Libutti, A.; Beneduce, L.; Gagliardi, A.; Disciglio, G.; Lonigro, A.; Tarantino, E. Reuse of treated municipal wastewater for globe artichoke irrigation: Assessment of effects on morpho-quantitative parameters and microbial safety of yield. Sci. Hortic. 2016, 213, 55–65. [Google Scholar] [CrossRef]
- Giuliani, M.M.; Gatta, G.; Nardella, E.; Tarantino, E. Water saving strategies assessment on processing tomato cultivated in Mediterranean region. Ital. J. Agron. 2016, 11, 69–76. [Google Scholar] [CrossRef]
- Costa, J.M.; Ortuño, M.F.; Chaves, M.M. Deficit irrigation as a strategy to save water: Physiology and potential application to horticulture. J. Integr. Plant Biol. 2007, 49, 1421–1434. [Google Scholar] [CrossRef]
- Kirda, C.; Cetin, M.; Dasgan, Y.; Topcu, S.; Kaman, H.; Ekici, B.; Derici, M.R.; Ozguven, A.I. Yield response of greenhouse grown tomato to partial root drying and conventional deficit irrigation. Agric. Water Manag. 2004, 69, 191–201. [Google Scholar] [CrossRef]
- Cantore, V.; Lechkar, O.; Karabulut, E.; Sellami, M.H.; Albrizio, R.; Boari, F.; Stellacci, A.M.; Todorovic, M. Combined effect of deficit irrigation and strobilurin application on yield, fruit quality and water use efficiency of “cherry” tomato (Solanum lycopersicum L.). Agric. Water Manag. 2016, 167, 53–61. [Google Scholar] [CrossRef]
- English, M.J.; Raja, S.N. Perspectives on deficit irrigation. Agric. Water Manag. 1996, 32, 1–14. [Google Scholar] [CrossRef]
- Zegbe, J.A.; Behbouidan, M.H.; Clothier, B.E. Responses of ‘Petopride’ processing tomato to partial rootzone drying at different phenological stages. Irrig. Sci. 2006, 24, 203–210. [Google Scholar] [CrossRef]
- Ahmadi, S.H.; Andersen, M.N.; Plauborg, F.; Poulsen, R.T.; Jensen, C.R.; Sepaskhah, A.R.; Hansen, S. Effects of irrigation strategies and soils on field grown potatoes: Gas exchange and xylem [ABA]. Agric. Water Manag. 2010, 97, 1486–1494. [Google Scholar] [CrossRef]
- Masseroni, D.; Uddin, J.; Tyrrell, R.; Mareels, I.; Gandolfi, C.; Facchi, A. Towards a smart automated surface irrigation management in rice-growing areas in Italy. J. Agric. Eng. 2017, 48, 42–48. [Google Scholar] [CrossRef]
- Idso, S.B.; Jackson, R.D.; Pinter, P.J.; Hatfield, J. Normalizing the stress-degree-day parameter for environmental variability. Agric. Meteorol. 1981, 24, 45–55. [Google Scholar] [CrossRef]
- Pou, A.; Diago, M.P.; Medrano, H.; Baluja, J.; Tardaguila, J. Validation of thermal indices for water status identification in grapevine. Agric. Water Manag. 2014, 134, 60–72. [Google Scholar] [CrossRef]
- Yu, M.H.; Ding, G.D.; Gao, G.L.; Zhao, Y.Y.; Sai, L.Y.K. Using plant temperature to evaluate the response of stomatal conductance to soil moisture deficit. Forests 2015, 6, 3748–3762. [Google Scholar] [CrossRef]
- Gowing, D.J.; Davies, W.J.; Jones, H.G. A positive root-sourced signal as an indicator of soil drying in apple, Malus x domestica Borkh. J. Exp. Bot. 1990, 41, 1535–1540. [Google Scholar] [CrossRef]
- Turner, D.W.; Menzel, C.M.; Simpson, D.R. Short term drying of half the root system reduces growth but not water status or photosynthesis in leaves of passionfruit (Passiflora sp.). Sci. Hortic. 1996, 65, 25–36. [Google Scholar] [CrossRef]
- Stoll, M.; Loveys, B.R.; Dry, P.R. Hormonal changes induced by partial rootzone of irrigated grapevine. J. Exp. Bot. 2000, 51, 1627–1634. [Google Scholar] [CrossRef] [PubMed]
- Dos Santos, T.P.; Lopes, C.M.; Rodrigues, M.L.; de Souza, C.R.; Maroco, J.P.; Pereira, J.S.; Silva, J.R.; Chaves, M.M. Partial rootzone drying: Effects on growth and fruit quality of field-grown grapevines (Vitis vinifera). Funct. Plant Biol. 2003, 30, 663–671. [Google Scholar] [CrossRef]
- De Souza, C.R.; Maroco, J.P.; dos Santos, T.P.; Rodrigues, M.L.; Lopes, C.; Pereira, J.S.; Chaves, M.M. Control of stomatal aperture and carbon uptake by deficit irrigation in two grapevine cultivars. Agric. Ecosyst. Environ. 2005, 106, 261–274. [Google Scholar] [CrossRef]
- Fort, C.; Fauveau, M.L.; Muller, F.; Label, P.; Granier, A.; Dreyer, E. Stomatal conductance, growth and root signalling in young oak seedlings subjected to partial soil drying. Tree Physiol. 1997, 17, 281–289. [Google Scholar] [CrossRef] [PubMed]
- Fort, C.; Muller, F.; Label, P.; Granier, A.; Dreyer, E. Stomatal conductance, growth and root signalling in Betula pendula seedlings subjected to partial soil drying. Tree Physiol. 1998, 18, 769–776. [Google Scholar] [CrossRef] [PubMed]
- Wahbi, S.; Wakrim, R.; Aganchich, B.; Tahi, H.; Serraj, R. Effects of partial rootzone drying (PRD) on adult olive tree (Olea europaea) in field conditions under arid climate. I. Physiological and agronomic responses. Agric. Ecosyst. Environ. 2005, 106, 289–301. [Google Scholar] [CrossRef]
- Centritto, M.; Wahbi, S.; Serraj, R.; Chaves, M.M. Effects of partial rootzone drying (PRD) on adult olive tree (Olea europaea) in field conditions under arid climate. II. Photosynthetic responses. Agric. Ecosyst. Environ. 2005, 106, 303–311. [Google Scholar] [CrossRef]
- Sepaskhah, A.R.; Ahmadi, S.H. A review on partial root-zone drying irrigation. Int. J. Plant Prod. 2010, 4, 241–258. [Google Scholar] [CrossRef]
- Davies, W.J.; Bacon, M.A.; Stuart Thompson, D.; Sobeih, W.; González Rodríguez, L. Regulation of leaf and fruit growth in plants growing in drying soil: Exploitating of the plants’ chimica signalling system and hydraulic architecture to increase the efficiency of water use in agricolture. J. Exp. Bot. 2000, 51, 1617–1626. [Google Scholar] [CrossRef] [PubMed]
- Mingo, D.M.; Bacon, M.A.; Davies, W.J. Non-hydraulic regulation of fruit growth in tomato plants (Lycopersicon esculentum cv. Solairo) growing in drying soil. J. Exp. Bot. 2003, 54, 1205–1212. [Google Scholar] [CrossRef] [PubMed]
- Sobeih, W.Y.; Dodd, I.C.; Bacon, M.A.; Grierson, D.; Davies, W.J. Long-distance signals regulating stomatal conductance and leaf growth in tomato (Lycopersicon esculentum) plants subjected to partial root-zone drying. J. Exp. Bot. 2004, 55, 2353–2363. [Google Scholar] [CrossRef] [PubMed]
- Topcu, S.; Kirda, C.; Dasgan, Y.; Kaman, H.; Cetin, M.; Yazici, A.; Bacon, M.A. Yield response and N fertiliser recovery of tomato grown under deficit irrigation. Eur. J. Agron. 2007, 26, 64–70. [Google Scholar] [CrossRef]
- Kirda, C.; Topcu, S.; Cetin, M.; Dasgan, H.Y.; Kaman, H.; Topaloglu, F.; Derici, M.R.; Ekici, B. Prospects of partial root zone irrigation for increasing irrigation water use efficiency of major crops in the Mediterranean region. Ann. Appl. Biol. 2007, 150, 281–291. [Google Scholar] [CrossRef]
- Haghighi, M.; France, J.; Behboudian, M.H.; Mills, T.M. Fruit quality responses of ‘Petopride’ processing tomato (Lycopersicon esculentum Mill.) to partial rootzone drying. J. Hortic. Sci. Biotechnol. 2013, 88, 154–158. [Google Scholar] [CrossRef]
- Birhanu, K.; Tilahun, K. Fruit yield and quality of drip-irrigated tomato under deficit irrigation. Afr. J. Food. Agric. Nutr. Dev. 2010, 10, 2139–2151. [Google Scholar] [CrossRef]
- Valerio, M.; Lovelli, S.; Sofo, A.; Perniola, M.; Scopa, A.; Amato, M. Root and leaf abscisic acid concentration impact on gas exchange in tomato (Lycopersicon esculentum Mill.) plants subjected to partial root-zone drying. Ital. J. Agron. 2017, 12, 25–32. [Google Scholar] [CrossRef]
- Nardella, E.; Giuliani, M.M.; Gatta, G.; De Caro, A. Yield response to deficit irrigation and partial root-zone drying in processing tomato (Lycopersicon esculentum Mill.). J. Agric. Sci. Technol. A 2012, 2, 209–219. [Google Scholar] [CrossRef]
- Caliandro, A.; Lamaddalena, N.; Stelluti, M.; Steduto, P. Caratterizzazione Agro-Ecologica Della Regione Puglia in Funzione Della Potenzialità Produttiva; Ideaprint: Bari, Italy, 2005; ISBN 2-85352-339-X. [Google Scholar]
- Allen, R.G.; Pereira, L.S.; Raes, D.; Smith, M. Crop Evapotranspiration: Guidelines for Computing Crop Water Requirements; Irrigation and Drainage, No. 56; FAO: Rome, Italy, 1998. [Google Scholar]
- Tarantino, E.; Onofri, M. Determinazione dei coefficienti colturali mediante lisimetri. Bonifica 1991, 7, 119–136. [Google Scholar]
- Patanè, C.; Tringali, S.; Sortino, O. Effects of deficit irrigation on biomass, yield, water productivity and fruit quality of processing tomato under semi-arid Mediterranean climate conditions. Sci. Hortic. 2011, 129, 590–596. [Google Scholar] [CrossRef]
- Istanbulluoglu, A.; Gocmen, E.; Gezer, E.; Pasa, C.; Konukcu, F. Effects of water stress at different development stages on yield and water productivity of winter and summer safflower (Carthamus tinctorius L.). Agric. Water Manag. 2009, 96, 1429–1434. [Google Scholar] [CrossRef]
- Rinaldi, M.; Rana, G. I fabbisogni idrici del pomodoro da industria in Capitanata. Riv. Ital. Agrometeorol. 2004, 1, 31–35. [Google Scholar]
- AOAC. Official Methods of Analysis; Association of Official Analytical Chemists: Washington, DC, USA, 1995. [Google Scholar]
- AOAC. Official Methods of Analysis; Association of Official Analytical Chemists: Washington, DC, USA, 1990. [Google Scholar]
- Francis, F.J.; Clydesdale, F.M. Food Colorimetry: Theory and Applications; AVI Publ. Co.: Westport, CT, USA, 1975. [Google Scholar]
- Favati, F.; Lovelli, S.; Galgano, F.; Miccolis, V.; Di Tommaso, T.; Candido, V. Processing tomato quality as affected by irrigation scheduling. Sci. Hortic. 2009, 122, 562–571. [Google Scholar] [CrossRef]
- Box, G.E.P.; Cox, D.R. An analysis of transformations. J. R. Stat. Soc. Ser. B Methodol. 1964, 26, 211–252. [Google Scholar]
- Bair, E.; Hastie, T.; Debashis, P.; Tibshirani, R. Prediction by supervised principal components. J. Am. Stat. Assoc. 2006, 101, 119–137. [Google Scholar] [CrossRef]
- Affi, N.; El Fadi, A.; El Otmani, M.; Benismail, M.C.; Idrissib, L.M.; Salghi, R.; El Mastor, A. Comparative effects of partial rootzone drying and deficit irrigation on physiological parameters of tomato crop. Der Pharma Chem. 2012, 4, 2402–2407. [Google Scholar]
- Zegbe-Domínguez, J.A.; Behboudian, M.H.; Lang, A.; Clothier, B.E. Deficit irrigation and partial rootzone drying maintain fruit dry mass and enhance fruit quality in ‘Petopride’ processing tomato (Lycopersicon esculentum, Mill.). Sci. Hortic. 2003, 98, 505–510. [Google Scholar] [CrossRef]
- Zegbe, J.A.; Behbouidan, M.H.; Clothier, B.E. Partial rootzone drying is a feasible option for irrigating processing tomatoes. Agric. Water Manag. 2004, 68, 195–206. [Google Scholar] [CrossRef]
- Campos, H.; Trejo, C.; Pena Valdivia, B.C.; Ramirez-Ayala, C.; Sanchez-Garcia, P. Effect of partial rootzone drying on growth, gas exchange, and yield of tomato (Solanum lycopersicum L.). Sci. Hortic. 2009, 120, 493–499. [Google Scholar] [CrossRef]
- Expósito, A.; Berbel, J. Microeconomics of deficit irrigation and subjective water response function for olive groves. Water 2016, 8, 254. [Google Scholar] [CrossRef]
- Kramer, P.J. Water Relations of Plants; Academic Press: New York, NY, USA, 1983; p. 489. ISBN 0-12-425040-8. [Google Scholar]
- Mills, T.M.; Behboudian, M.H.; Clothier, B.E. The diurnal and seasonal water relations, and composition, of “Braeburn” apple fruit under reduced plant water status. Plant Sci. 1997, 126, 145–154. [Google Scholar] [CrossRef]
- Kumar, S.; Rumanjini Gowda, P.H.; Mallikarjuna, N.M. Evaluation of selected F6 tomato lines for extended shelf life. SABRAO J. Breed. Genet. 2015, 47, 326–334. [Google Scholar]
- Bogale, A.; Nagle, M.; Latif, S.; Aguila, M.; Müller, J. Regulated deficit irrigation and partial root-zone drying irrigation impact bioactive compounds and antioxidant activity in two select tomato cultivars. Sci. Hortic. 2016, 213, 115–124. [Google Scholar] [CrossRef]
- Pulupol, L.U.; Behboudian, M.H.; Fisher, K.J. Growth, yield and postharvest attributes of glasshouse tomatoes produced under water deficit. Sci. Hortic. 1996, 31, 926–929. [Google Scholar]
- Tohge, T.; Alseekh, S.; Fernie, A.R. On the regulation and function of secondary metabolism during fruit development and ripening. J. Exp. Bot. 2014, 65, 4599–4611. [Google Scholar] [CrossRef] [PubMed]





| GS 1 | Irrigation Regime 2 | Irrigation Water (m3 ha−1) | Water Received (Irrigation + Rainfall) (m3 ha−1) |
|---|---|---|---|
| GS1 | IR100 | 4918.4 | 5553.4 |
| GS1 | IR70DI | 3548.8 | 4183.8 |
| GS1 | IR70PRD | 3548.8 | 4183.8 |
| GS1 | IR0 | 472.0 | 1107.0 |
| GS2 | IR100 | 4650.0 | 5602.3 |
| GS2 | IR70DI | 3375.0 | 4327.2 |
| GS2 | IR70PRD | 3375.0 | 4327.2 |
| GS2 | IR0 | 400.0 | 1352.0 |
| Phenological Stages | Days (n.) | Tmax (°C) | Tmin (°C) | Rainfall (mm) | ||||
|---|---|---|---|---|---|---|---|---|
| GS1 | GS2 | GS1 | GS2 | GS1 | GS2 | GS1 | GS2 | |
| From transplanting to flowering of the first truss | 49.0 | 37.0 | 27.9 | 31.0 | 12.4 | 14.9 | 62.7 | 21.5 |
| From flowering of the first truss to fruit breaking colours of the first truss | 25.0 | 37.0 | 35.7 | 31.3 | 18.5 | 16.7 | 0.0 | 73.7 |
| From fruit breaking colours of the first truss to harvest | 30.0 | 28.0 | 34.8 | 33.0 | 18.7 | 18.2 | 0.8 | 0.0 |
| Parameters | Experimental Factors | |||||||
|---|---|---|---|---|---|---|---|---|
| Growing Season 1 | Genotype | Irrigation Regime 2 | ||||||
| GS1 | GS2 | Genius | Ercole | IR0 | IR70DI | IR70PRD | IR100 | |
| Quantitative parameters | ||||||||
| Marketable yield (t ha−1) | 53.31 ± 1.61 b | 55.11 ± 1.5 a | 52.3 ± 3.30 b | 56.2 ± 3.30 a | 24.7 ± 1.48 d | 59.3 ± 1.15 c | 64.1 ± 0.80 b | 68.9 ± 1.06 a |
| Total yield (t ha−1) | 59.1 ± 2.11 a | 60.0 ± 2.30 a | 56.9 ± 3.35 b | 62.1 ± 4.05 a | 30.1 ± 1.62 d | 63.1 ± 1.52 c | 67.1 ± 1.33 b | 77.9 ± 1.32 a |
| Morphometric parameters | ||||||||
| Fruit longitudinal diameter (mm) | 70.50 ± 2.70 b | 77.24 ± 3.21 a | 73.63 ± 1.01 a | 74.16 ± 1.20 a | 69.6 ± 1.32 c | 72.71 ± 1.18 b | 75.80 ± 1.32 a | 77.47 ± 1.48 a |
| Fruit equatorial diameter (mm) | 34.93 ± 0.50 a | 34.85 ± 0.61 a | 34.39 ± 0.60 a | 35.39 ± 0.32 a | 31.43 ± 0.38 c | 35.40 ± 0.51 b | 37.10 ± 0.32 a | 35.63 ± 0.35 a,b |
| Qualit ative parameters | ||||||||
| Dry matter of fruits (g 100 g−1 fresh weight) | 5.43 ± 0.13 a | 5.60 ± 0.16 a | 5.39 ± 0.10 a | 5.63 ± 0.13 a | 5.80 ± 0.15 a | 5.83 ± 0.28 a | 5.25 ± 0.18 a | 5.16 ± 0.07 a |
| pH | 4.30 ± 0.04 a | 4.45 ± 0.05 a | 4.40 ± 0.04 a | 4.37 ± 0.05 a | 4.46 ± 0.04 a | 4.29 ± 0.07 a | 4.39 ± 0.05 a | 4.38 ± 0.06 a |
| Tritable acidity (g citric acid 100 mL−1 fresh juice) | 0.34 ± 0.02 a | 0.34 ± 0.01 a | 0.35 ± 0.05 a | 0.34 ± 0.05 a | 0.31 ± 0.01 b | 0.38 ± 0.01 a | 0.33 ± 0.16 b | 0.35 ± 0.11 a,b |
| Soluble solids content (°Brix) | 6.17 ± 0.11 a | 6.28 ± 0.15 a | 6.19 ± 0.12 a | 6.28 ± 0.14 a | 6.78 ± 0.12 a | 6.15 ± 0.17 c | 6.37 ± 0.15 a,b | 5.57 ± 0.10 c |
| Colour index | 1.05 ± 0.09 b | 1.12 ± 0.1 b | 1.11 ± 0.06 a | 1.06 ± 0.05 a | 1.10 ± 0.01 a | 1.12 ± 0.02 a | 1.07 ± 0.02 b | 1.06 ± 0.01 b |
| Original Variables | Standardized Coefficients (Scores) | Pearson’s Correlation Coefficients | ||
|---|---|---|---|---|
| PC1 | PC2 | PC1 | PC2 | |
| Marketable yield | 0.92 | −0.27 | 0.90 *** | −0.25 ns |
| Total yield | 0.93 | −0.28 | 0.91 *** | −0.27 ns |
| Water use efficiency | −0.79 | 0.08 | −0.75 *** | 0.04 ns |
| Fruit longitudinal diameter | 0.63 | 0.07 | 0.60 ** | 0.06 ns |
| Fruit equatorial diameter | 0.76 | −0.15 | 0.74 *** | −0.15 ns |
| pH of the flesh | −0.01 | 0.90 | −0.02 ns | 0.92 *** |
| Dry matter of fruit | −0.27 | 0.34 | −0.26 ns | 0.33 * |
| Titratable acidity | 0.10 | −0.83 | 0.09 ns | −0.81 *** |
| Soluble solids content | −0.63 | 0.24 | −0.65 ** | 0.24 ns |
| Colour index | −0.16 | 0.30 | −0.16 ns | 0.31 * |
| Crop water stress index | −0.91 | 0.30 | −0.90 *** | 0.27 ns,* |
| Stomatal conductance | 0.84 | −0.26 | 0.85 *** | −0.24 ns |
| Percentage explained variation | 52.9 | 22.7 | ||
| Percentage cumulative variation | 75.6 | |||
© 2017 by the authors. Licensee MDPI, Basel, Switzerland. This article is an open access article distributed under the terms and conditions of the Creative Commons Attribution (CC BY) license (http://creativecommons.org/licenses/by/4.0/).
Share and Cite
Giuliani, M.M.; Nardella, E.; Gagliardi, A.; Gatta, G. Deficit Irrigation and Partial Root-Zone Drying Techniques in Processing Tomato Cultivated under Mediterranean Climate Conditions. Sustainability 2017, 9, 2197. https://doi.org/10.3390/su9122197
Giuliani MM, Nardella E, Gagliardi A, Gatta G. Deficit Irrigation and Partial Root-Zone Drying Techniques in Processing Tomato Cultivated under Mediterranean Climate Conditions. Sustainability. 2017; 9(12):2197. https://doi.org/10.3390/su9122197
Chicago/Turabian StyleGiuliani, Marcella Michela, Eugenio Nardella, Anna Gagliardi, and Giuseppe Gatta. 2017. "Deficit Irrigation and Partial Root-Zone Drying Techniques in Processing Tomato Cultivated under Mediterranean Climate Conditions" Sustainability 9, no. 12: 2197. https://doi.org/10.3390/su9122197
APA StyleGiuliani, M. M., Nardella, E., Gagliardi, A., & Gatta, G. (2017). Deficit Irrigation and Partial Root-Zone Drying Techniques in Processing Tomato Cultivated under Mediterranean Climate Conditions. Sustainability, 9(12), 2197. https://doi.org/10.3390/su9122197

