Evaluation and Comparison of TRMM Multi-Satellite Precipitation Products With Reference to Rain Gauge Observations in Hunza River Basin, Karakoram Range, Northern Pakistan
Abstract
:1. Introduction
2. Study Area, Datasets, and Methodology
2.1. Study Area
2.2. Datasets
2.3. Methods for Accuracy Assessment
2.3.1. Continuous Evaluation Indices
2.3.2. Categorical Indices
3. Results and Discussions
3.1. Comparison of Spatial Patterns of TMPA and Gauge-Based Precipitation
3.2. Evaluation of TMPA Products at Different Spatial and Temporal Scales
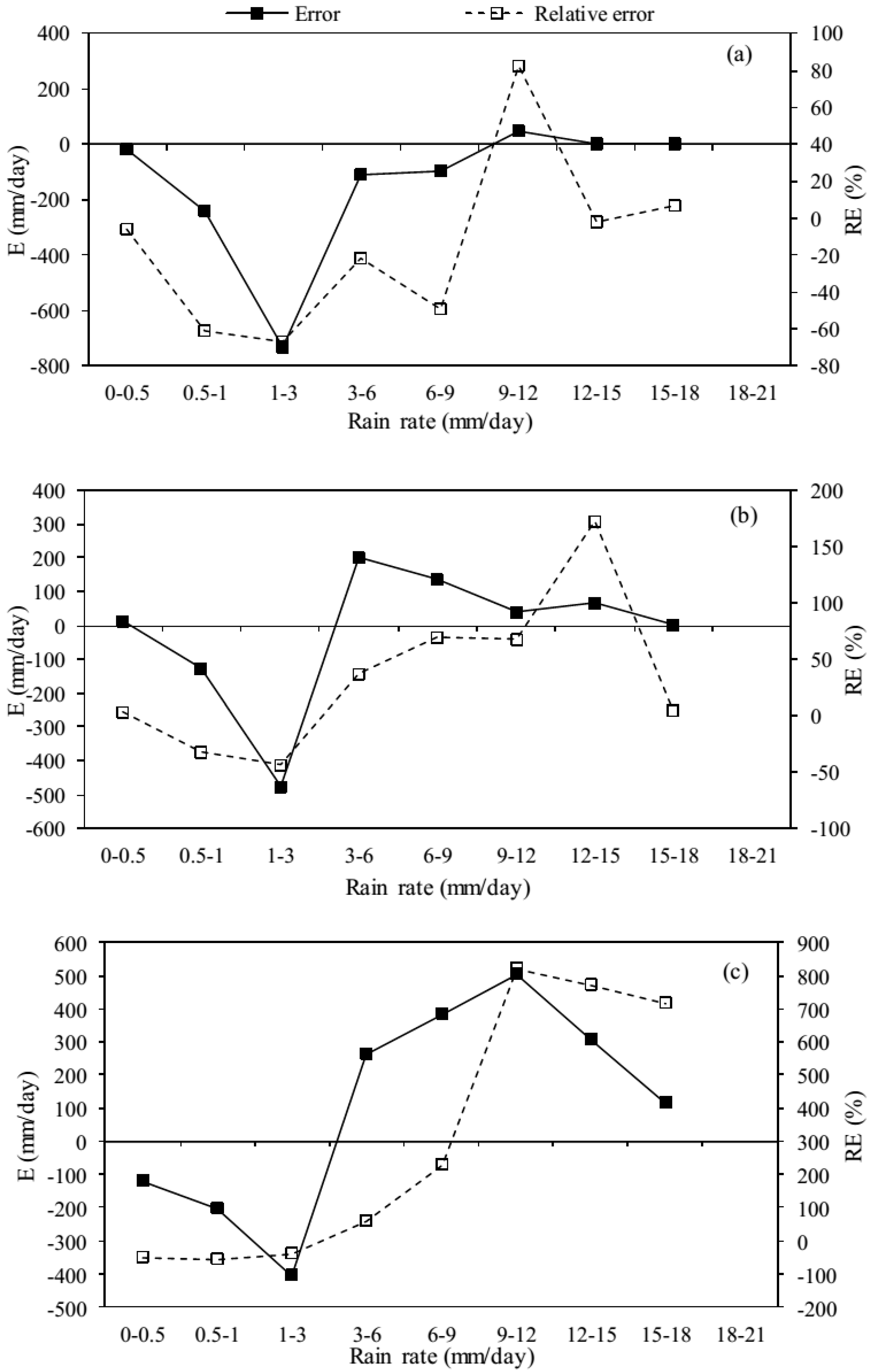
3.3. Accuracy of TMPA Products at Different Precipitation Intensities
4. Conclusions
- (1)
- The 3B42V6 and 3B42RT products failed to capture the spatial pattern of observed precipitation over the Hunza Basin, while 3B42V7 adequately followed the spatial pattern of observed precipitation over the Hunza Basin.
- (2)
- The performances of TMPA products were very poor in daily precipitation estimations on both spatial (pixel and basin) scales. The agreements between the daily gauge-based precipitation and TMPA-based estimates were low (r < 0.50, on both pixel and basin scales). They also failed to estimate the precipitation magnitudes. The 3B42V6 significantly underestimated the precipitation magnitudes on both spatial pixel (−31.25%) and basin (44.27%) scales, while 3B42V7 overestimated the precipitation on pixel scale (17.31%) but slightly underestimated on basin scale (6.24%). On the other hand, 3B42RT overestimated the precipitation on both pixel (47.9%) and basin (38.6%) scales. Although the performances improved with increasing spatial scale, all TMPA products were found unreliable on the daily scale because of high errors in Karakoram Region.
- (3)
- All TMPA products showed poor performances in westerlies and monsoon seasons. In westerlies, 3B42V6 and 3B42V7 significantly underestimated the precipitation on both basin and pixel scales (>45% and >20%, respectively). In both rainy seasons, the r of all TMPA products with the rain gauge observations was low (<0.50) and errors were high. Thus, westerlies and monsoon TMPA-based precipitation estimates are not suitable for direct applications in Karakoram Region.
- (4)
- On the monthly and annual scales, 3B42V6 and 3B42RT were unreliable on both pixel and basin scales, with low r values (with the highest value of r = 0.52 for 3B42V6 on monthly scale and 0.46 for 3B42RT on the annual scale) and significant BIAS (>30%). However, 3B42V7 showed good agreements with gauge observations on the basin scale as exhibited by high r vales (r > 0.60 and > 0.70 on monthly and annual scales, respectively) and low BIAS (−6.24%).
- (5)
- The TMPA products are unreliable to capture the intense precipitation events in the studied region. POD and CSI scores decreased with the increase in precipitation intensities, while FAR increased with the increase of thresholds. Therefore, TMPA products are not suitable for modeling, monitoring, and forecasting of floods in Karakoram Region.
- (6)
- The overall performance of new version (3B42V7) of TMPA products was better than 3B42V6 and 3B42RT (85.90% BIAS was improved as compared to 3B42V6 and 116.16% as compared to 3B42RT).
Acknowledgments
Author Contributions
Conflicts of Interest
Appendix A
References
- Munoz, E.A.; Di Paola, F.; Lanfri, M. Advances on Rain Rate Retrieval from Satellite Platforms using Artificial Neural Networks. IEEE Latin Am. Trans. 2015, 13, 3179–3186. [Google Scholar]
- Huffman, G.J.; Adler, R.F.; Curtis, S.; Bolvin, D.T.; Nelkin, E.J. Global rainfall analyses at monthly and 3-h time scales. Measuring Precipitation from Space: EURAINSAT and the Future. Adv. Glob. Chang. Res. 2007, 28, 291–305. [Google Scholar]
- Casella, D.; Dietrich, S.; Di Paola, F.; Formenton, M.; Mugnai, A.; Porcù, F.; Sanò, P. PM-GCD—A combined IR–MW satellite technique for frequent retrieval of heavy precipitation. Nat. Hazards Earth Syst. Sci. 2012, 12, 231–240. [Google Scholar]
- Huffman, G.J.; Bolvin, D.T.; Nelkin, E.J.; Adler, R.F. The TRMM multisatellite precipitation analysis (TMPA): Quasi-global, multiyear, combined-sensor precipitation estimates at fine scales. J. Hydrometeorol. 2007, 8, 38–55. [Google Scholar]
- Tan, M.L.; Duan, Z. Assessment of GPM and TRMM Precipitation Products over Singapore. Remote Sens. 2017, 9, 720. [Google Scholar] [CrossRef]
- Stisen, S.; Sandholt, I. Evaluation of remote-sensing-based rainfall products through predictive capability in hydrological runoff modelling. Hydrol. Process. 2010, 24, 879–891. [Google Scholar]
- Arias-Hidalgo, M.; Bhattacharya, B.; Mynett, A.E.; Van Griensven, A. Experiences in using the TMPA-3B42R satellite data to complement rain gauge measurements in the Ecuadorian coastal foothills. Hydrol. Earth Syst. Sci. 2013, 17, 2905–2915. [Google Scholar] [CrossRef]
- Chen, S.; Hong, Y.; Cao, Q.; Gourley, J.J.; Kirstetter, P.-E.; Yong, B.; Tian, Y.; Zhang, Z.; Shen, Y.; Hu, J.; et al. Similarity and difference of the two successive V6 and V7 TRMM multisatellite precipitation analysis performance over China. J. Geophys. Res. Atmos. 2013, 118, 13060–13074. [Google Scholar] [CrossRef]
- Mashingia, F.; Mtalo, F.; Bruen, M. Validation of remotely sensed rainfall over major climatic regions in Northeast Tanzania. Phys. Chem. Earth Parts A/B/C 2014, 67, 55–63. [Google Scholar] [CrossRef]
- Prakash, S.; Mitra, A.K.; Momin, I.M.; Pai, D.S.; Rajagopal, E.N.; Basu, S. Comparison of TMPA-3B42 versions 6 and 7 precipitation products with gauge-based data over India for the southwest monsoon period. J. Hydrometeorol. 2015, 16, 346–362. [Google Scholar] [CrossRef]
- Mishra, A.; Gairola, R.M.; Varma, A.K.; Agarwal, V.K. Remote sensing of precipitation over Indian land and oceanic regions by synergistic use of multisatellite sensors. J. Geophys. Res. Atmos. 2010, 115, 462–474. [Google Scholar] [CrossRef]
- Bitew, M.M.; Gebremichael, M.; Ghebremichael, L.T.; Bayissa, Y.A. Evaluation of high-resolution satellite rainfall products through streamflow simulation in a hydrological modeling of a small mountainous watershed in Ethiopia. J. Hydrometeorol. 2012, 13, 338–350. [Google Scholar] [CrossRef]
- Jamandre, C.; Narisma, G. Spatio-temporal validation of satellite-based rainfall estimates in the Philippines. Atmos. Res. 2013, 122, 599–608. [Google Scholar] [CrossRef]
- Milewski, A.; Elkadiri, R.; Durham, M. Assessment and comparison of TMPA satellite precipitation products in varying climatic and topographic regimes in Morocco. Remote Sens. 2015, 7, 5697–5717. [Google Scholar] [CrossRef]
- Anjum, M.N.; Ding, Y.; Shangguan, D.; Tahir, A.A.; Iqbal, M.; Adnan, M. Comparison of two successive versions 6 and 7 of TMPA satellite precipitation products with rain gauge data over Swat Watershed, Hindukush Mountains, Pakistan. Atmos. Sci. Lett. 2016, 17, 270–279. [Google Scholar] [CrossRef]
- Chen, S.; Hong, Y.; Gourley, J.J.; Huffman, G.J.; Tian, Y.; Cao, Q.; Yong, B.; Kirstetter, P.-E.; Hu, J.; Hardy, J.; et al. Evaluation of the successive V6 and V7 TRMM multisatellite precipitation analysis over the Continental United States. Water Resour. Res. 2013, 49, 8174–8186. [Google Scholar] [CrossRef]
- Khan, S.I.; Hong, Y.; Gourley, J.J.; KhanKhattak, M.U.; Yong, B.; Vergara, H.J. Evaluation of three high-resolution satellite precipitation estimates: Potential for monsoon monitoring over Pakistan. Adv. Space Res. 2014, 54, 670–684. [Google Scholar] [CrossRef]
- Liu, Z. Comparison of precipitation estimates between Version 7 3-hourly TRMM Multi-Satellite Precipitation Analysis (TMPA) near-real-time and research products. Atmos. Res. 2015, 153, 119–133. [Google Scholar] [CrossRef]
- Anjum, M.N.; Ding, Y.; Shangguan, D.; Ijaz, M.W.; Zhang, S. Evaluation of High-Resolution Satellite-Based Real-Time and Post-Real-Time Precipitation Estimates during 2010 Extreme Flood Event in Swat River Basin, Hindukush Region. Adv. Meteorol. 2016. [Google Scholar] [CrossRef]
- Derin, Y.; Anagnostou, E.; Berne, A.; Borga, M.; Boudevillain, B.; Buytaert, W.; Chang, C.-H.; Delrieu, G.; Hong, Y.; Hsu, Y.C.; et al. Multiregional Satellite Precipitation Products Evaluation over Complex Terrain. J. Hydrometeorol. 2016, 17, 1817–1836. [Google Scholar] [CrossRef]
- Cimini, D.; Romano, F.; Ricciardelli, E.; Di Paola, F.; Viggiano, M.; Marzano, F.S.; Colaiuda, V.; Picciotti, E.; Vulpiani, G.; Cuomo, V. Validation of satellite OPEMW precipitation product with ground-based weather radar and rain gauge networks. Atmos. Meas. Tech. 2013, 6, 3181–3196. [Google Scholar] [CrossRef]
- Zhang, Q.; Liu, Y.; Yang, G.; Zhang, Z. Precipitation and hydrological variations and related associations with large-scale circulation in the Poyang Lake basin, China. Hydrol. Process. 2011, 25, 740–751. [Google Scholar] [CrossRef]
- Liu, Y.; Wu, G.; Zhao, X. Recent declines in China’s largest freshwater lake: Trend or regime shift? Environ. Res. Lett. 2013, 8, 14010–14019. [Google Scholar] [CrossRef]
- Guo, R.; Liu, Y. Evaluation of Satellite Precipitation Products with Rain Gauge Data at Different Scales: Implications for Hydrological Applications. Water 2016, 8, 281. [Google Scholar] [CrossRef]
- Chevallier, P.; Arnaud, Y.; Ahmad, B. Snow cover dynamics and hydrological regime of the Hunza River basin, Karakoram Range, northern Pakistan. Hydrol. Earth Syst. Sci. 2011, 15, 2259–2274. [Google Scholar]
- World Meteorological Organization. Guide to Hydrological Practices: Data Acquisition, and Processing, Analysis, Forecasting and Other Applications; World Meteorological Organization: Geneva, Switzerland, 1994. [Google Scholar]
- Huffman, G.J.; Adler, R.F.; Bolvin, D.T.; Nelkin, E.J. The TRMM Multi-Satellite Precipitation Analysis (TMPA), in Satellite Rainfall Applications for Surface Hydrology; Springer: Dordrecht, The Netherlands, 2010; pp. 3–22. [Google Scholar]
- Zhao, Y.; Xie, Q.; Lu, Y.; Hu, B. Hydrologic Evaluation of TRMM Multisatellite Precipitation Analysis for Nanliu River Basin in Humid Southwestern China. Nat. Sci. Rep. 2017, 7, 2470. [Google Scholar] [CrossRef] [PubMed]
- Denis, M. Cokriging With Matlab. Comput. Geosci. 1991, 17, 1265–1280. [Google Scholar]
- Adhikary, S.K.; Muttil, N.; Yilmaz, A.G. Cokriging for enhanced spatial interpolation of rainfall in two Australian catchments. Hydrol. Process. 2017, 31, 2143–2161. [Google Scholar] [CrossRef]
- Romilly, T.G.; Gebremichael, M. Evaluation of satellite rainfall estimates over ethiopian river basins. Hydrol. Earth Syst. Sci. 2011, 15, 1505–1514. [Google Scholar] [CrossRef]
- Prakash, S.; Sathiyamoorthy, V.; Mahesh, C.; Gairola, R.M. An evaluation of high-resolution multisatellite rainfall products over the Indian monsoon region. Int. J. Remote Sens. 2014, 35, 3018–3035. [Google Scholar] [CrossRef]
- Xue, X.; Hong, Y.; Limaye, A.S.; Gourley, J.J.; Huffman, G.J.; Khan, S.I.; Dorji, C.; Chen, S. Statistical and hydrological evaluation of TRMM-based Multi-satellite Precipitation Analysis over the Wangchu Basin of Bhutan: Are the latest satellite precipitation products 3B42V7 ready for use in ungauged basins? J. Hydrol. 2013, 499, 91–99. [Google Scholar] [CrossRef]
- Tan, M.T.; Ibrahim, A.; Duan, Z.; Cracknell, A.; Chaplot, V. Evaluation of Six High-Resolution Satellite and Ground-Based Precipitation Products over Malaysia. Remote Sens. 2015, 7, 1504–1528. [Google Scholar] [CrossRef]








| No. | Station | Elevation (m) | Latitude | Longitude | Average Annual Precipitation (mm) |
|---|---|---|---|---|---|
| 1 | Bunji | 1372 | 35°40′04″ N | 74°38′01″ E | 147 |
| 2 | Gilgit | 1479 | 35°55′34″ N | 74°22′16″ E | 137 |
| 3 | Khunjrab | 4440 | 35°50′28″ N | 75°25′09″ E | 176 |
| 4 | Naltar | 2898 | 36°10′00″ N | 74°11′00″ E | 684 |
| 5 | Shigar | 2367 | 35°38′00″ N | 75°32′00″ E | 400 |
| 6 | Ziarat | 3020 | 36°13′00″ N | 74°26′00″ E | 235 |
| Product | 3B42V6 | 3B42V7 | 3B42RT | |||
|---|---|---|---|---|---|---|
| Pixel | Basin | Pixel | Basin | Pixel | Basin | |
| r | 0.20 | 0.32 | 0.46 | 0.72 | 0.24 | 0.46 |
| ME | −65.14 | −114.44 | 34.18 | −14.20 | 158.71 | 87.31 |
| MAE | 66.12 | 114.44 | 66.91 | 65.35 | 163.32 | 97.72 |
| NMAE | 32.17 | 44.16 | 34.45 | 25.45 | 80.11 | 37.68 |
| RMSE | 84.78 | 123.10 | 88.07 | 78.74 | 199.36 | 117.07 |
| NRMSE | 41.68 | 47.71 | 42.44 | 30.50 | 97.79 | 45.14 |
| BIAS | −31.25 | −44.27 | 17.31 | −6.24 | 47.91 | 38.62 |
© 2017 by the authors. Licensee MDPI, Basel, Switzerland. This article is an open access article distributed under the terms and conditions of the Creative Commons Attribution (CC BY) license (http://creativecommons.org/licenses/by/4.0/).
Share and Cite
Ali, A.F.; Xiao, C.; Anjum, M.N.; Adnan, M.; Nawaz, Z.; Ijaz, M.W.; Sajid, M.; Farid, H.U. Evaluation and Comparison of TRMM Multi-Satellite Precipitation Products With Reference to Rain Gauge Observations in Hunza River Basin, Karakoram Range, Northern Pakistan. Sustainability 2017, 9, 1954. https://doi.org/10.3390/su9111954
Ali AF, Xiao C, Anjum MN, Adnan M, Nawaz Z, Ijaz MW, Sajid M, Farid HU. Evaluation and Comparison of TRMM Multi-Satellite Precipitation Products With Reference to Rain Gauge Observations in Hunza River Basin, Karakoram Range, Northern Pakistan. Sustainability. 2017; 9(11):1954. https://doi.org/10.3390/su9111954
Chicago/Turabian StyleAli, Ayaz Fateh, Cunde Xiao, Muhammad Naveed Anjum, Muhammad Adnan, Zain Nawaz, Muhammad Wajid Ijaz, Muhammad Sajid, and Hafiz Umar Farid. 2017. "Evaluation and Comparison of TRMM Multi-Satellite Precipitation Products With Reference to Rain Gauge Observations in Hunza River Basin, Karakoram Range, Northern Pakistan" Sustainability 9, no. 11: 1954. https://doi.org/10.3390/su9111954
APA StyleAli, A. F., Xiao, C., Anjum, M. N., Adnan, M., Nawaz, Z., Ijaz, M. W., Sajid, M., & Farid, H. U. (2017). Evaluation and Comparison of TRMM Multi-Satellite Precipitation Products With Reference to Rain Gauge Observations in Hunza River Basin, Karakoram Range, Northern Pakistan. Sustainability, 9(11), 1954. https://doi.org/10.3390/su9111954
