Next Article in Journal
Multi-Objective Optimization of a Hybrid ESS Based on Optimal Energy Management Strategy for LHDs
Previous Article in Journal
Impacts of Leadership on Project-Based Organizational Innovation Performance: The Mediator of Knowledge Sharing and Moderator of Social Capital
 
 
Font Type:
Arial Georgia Verdana
Font Size:
Aa Aa Aa
Line Spacing:
Column Width:
Background:
Article

Exploring Environmental Inequity in South Korea: An Analysis of the Distribution of Toxic Release Inventory (TRI) Facilities and Toxic Releases

1
Department of Urban Planning and Engineering, Yonsei University, 50 Yonsei-ro Seodaemun-gu, Seoul 03722, Korea
2
Department of Urban Engineering, Pusan National University, 2 Busandaehak-ro 63beongil, Busan 46241, Korea
3
School of Urban and Environmental Engineering, UNIST; 50 UNIST-gil, Ulsan 44919, Korea
*
Author to whom correspondence should be addressed.
Sustainability 2017, 9(10), 1886; https://doi.org/10.3390/su9101886
Submission received: 6 September 2017 / Revised: 16 October 2017 / Accepted: 16 October 2017 / Published: 21 October 2017
(This article belongs to the Section Sustainable Urban and Rural Development)

Abstract

:
Recently, location data regarding the Toxic Release Inventory (TRI) in South Korea was released to the public. This study investigated the spatial patterns of TRIs and releases of toxic substances in all 230 local governments in South Korea to determine whether spatial clusters relevant to the siting of noxious facilities occur. In addition, we employed spatial regression modeling to determine whether the number of TRI facilities and the volume of toxic releases in a given community were correlated with the community’s socioeconomic, racial, political, and land use characteristics. We found that the TRI facilities and their toxic releases were disproportionately distributed with clustered spatial patterning. Spatial regression modeling indicated that jurisdictions with smaller percentages of minorities, stronger political activity, less industrial land use, and more commercial land use had smaller numbers of toxic releases, as well as smaller numbers of TRI facilities. However, the economic status of the community did not affect the siting of hazardous facilities. These results indicate that the siting of TRI facilities in Korea is more affected by sociopolitical factors than by economic status. Racial issues are thus crucial for consideration in environmental justice as the population of Korea becomes more racially and ethnically diverse.

1. Introduction

Socially and economically marginalized people tend to bear a disproportionate burden of environmental hazards, including pollution and toxic waste, based on empirical studies focusing on the US [1,2,3]. In this regard, the environmental justice movement initiated in the US has considered racial inequalities in particular in the establishment of environmental equality. Environmental justice is defined as “the provision of adequate protection from environmental toxicants for all people, regardless of age, ethnicity, gender, health status, social class, or race” [4]. The US Environmental Protection Agency (EPA) defines environmental justice somewhat differently as “the fair treatment and meaningful involvement of all people regardless of race, color, national origin, or income with respect to the development, implementation, and enforcement of environmental laws, regulations, and policies” [5].
Regarding socioeconomic disparities, most studies on environmental inequity have focused on the proximity or presence of hazardous sites at local or regional levels. However, to address environmental justice issues adequately, an assessment of hazardous emissions and the release of hazardous substances is required [1] to identify the population that bears the burden of environmental hazards. Few studies have included both the number of Toxic Release Inventory (TRI) facilities and the volume of emissions in examining the relationship between socioeconomic disparities and the environmental burden of hazardous materials [6,7,8].
Despite some disagreement, environmental justice has been established as a political agenda based on the theoretical discussion and empirical analyses conducted in the US and some European countries. The US EPA developed a National Environmental Justice Advisory Council and the Environmental Justice 2020 Action Agenda to advance and implement environmental justice in the real world [5].
Since the introduction of the concepts of environmental justice and environmental equity in Korea in the mid-1990s, most studies have focused on theoretical debates of environmental justice. However, such work does not relate adequately to actual policies and institutionalization to truly realize environmental equity and justice [9]. One of the reasons for this research imbalance has been the lack of available empirical evidence demonstrating environmental inequity in Korea. Previously, little empirical research was performed to examine possible inequities in the siting of hazardous facilities because data on specific locations was lacking.
Korea joined the Organization for Economic Co-operation and Development (OECD) in 1996 and promised to collect TRI data, like other developed countries. Although the Korean government has collected TRI data since 1996, it has not provided specific TRI location data to the public [10]. However, beginning in 2015, the Ministry of Environment has allowed public access to data regarding the release of pollutants and the sites of hazardous facilities. This data is annually collected by the self-reporting of the actors causing the releases listed by the Ministry of Environment [11]. While the accuracy of the data receives some doubt, the database provides a meaningful resource for empirical analysis [10]. Location data regarding noxious facilities and their toxic releases, combined with geographic information system (GIS) applications, enable systematic spatial analyses on environmental inequity.
Consequently, the aim of this study is to investigate the spatial patterns of hazardous facilities to determine the occurrence of spatial clusters relevant to the siting of noxious facilities. In addition, we investigated common research questions related to environmental justice, such as the relationship between the racial and socioeconomic characteristics of an area’s residents and the locations of hazardous facilities. A specific situation prevails in Korea: based on the history of the country, Korea was understood as a single-race nation and race was not considered a factor in environmental justice issues. However, since 2003, the numbers of foreign male workers, mainly from Southeast Asian countries, and immigrant women from China and Southeast Asia marrying Korean men, have increased rapidly. Minorities, that is, the population of foreigners, have increased from 1.3% (0.68 million) of the overall population in 2003 to approximately 3.4% (1.74 million) in 2015 [12]. Most immigrant women tend to marry men living in rural areas, while most foreign workers are engaged in manufacturing and other work that Korean nationals tend to avoid. This could indicate a tendency for minority groups to work in and reside near hazardous facilities. Our study therefore focused mainly on the potential association between the distribution of hazardous facilities and minority populations, in addition to investigating the effects of other socioeconomic and land use variables. Furthermore, this study identifies the effects of political empowerment on the siting of noxious facilities in the country. Few empirical studies have yet investigated this issue in Korea, except for anecdotal evidence.
We employed both spatial and statistical techniques to achieve our research goals, as these may mitigate the methodological challenges of environmental justice research. Factors such as the average distance to nearest neighbors, kernel density, and hot spots were employed in the spatial analysis of the sites of hazardous facilities to address the issue of spatial clusters. Regarding the spatial autocorrelation of the sites, this study employed spatial regression models to identify whether the number of hazardous facilities and the volume of toxic releases in a given local community were associated with socioeconomic, racial, political, and land use variables.

2. Racial and Socioeconomic Disparities in Environmental Justice

The environmental justice movement started in 1982 in Warren County, North Carolina, USA, in a small, low-income, predominately African American community. A landfill had been created for the disposal of soil contaminated by polychlorinated biphenyls (PCBs) from many sites. Numerous demonstrations were held, which led to the arrest of more than 300 people. However, the incident was a rallying point for the emerging environmental justice movement. In response, the US General Accounting Office performed a study of eight southern states to identify the relationship between the locality of hazardous waste landfills and the racial and economic status of the communities near them [13]. By the 1970s, exposure to environmental contaminants was recognized to be distributed inequitably within the US population. Subsequently, many studies were conducted to investigate the racial and socioeconomic disparities in the distribution of environmentally hazardous sites, including toxic release inventory (TRI) sites, and hazardous waste treatment, storage, and disposal facility (TSDF) sites, superfund sites, sites for the airborne release of extremely hazardous substances (EHS), and the locations of hazardous air pollutants. Regarding TRI sites, in most instances, racial and socioeconomic disparities are statistically associated with the locations of these environmentally hazardous sites [1,6,7,8,14,15,16,17,18,19,20,21,22,23,24,25,26]. Saha and Mohai [27] and Mohai and Saha [13] attempted to examine the origin of environmental inequity in the US and the factors influencing it. They found that environmental inequity was affected by public environmental concern and opposition to hazardous facilities siting, or political resistance.
Table 1 shows the socioeconomic and regional variables used in previous studies to examine the relationships between environmental hazards and socioeconomic characteristics.
Many studies found that TRI facilities were disproportionately located in lower-income and minority communities, including those of African Americans and Hispanics. However, some studies [16,28] failed to find a positive association between the presence of environmental hazards and high percentages of minorities or people of low socioeconomic status. According to Anderton et al. (1994) [28], race and income factors were unrelated to the presence of hazardous sites in metropolitan statistical areas (MSAs) in the US. Boone (2002) [16] found that Baltimore census tracts mainly populated by white working-class people were more likely to have TRI facilities than primarily black areas.
The underlying conviction of environmental justice is that minority and low-income individuals and communities should not be excessively exposed to environmental and public risks. Moreover, these individuals should have the right to participate in decision-making regarding issues that affect their environment. Accordingly, this study asks whether the conviction of environmental justice is valid in Korea.

3. Methods

Korea has seven metropolitan cities, nine provinces, and 230 local communities belonging to either the metropolitan cities or the provinces [12]. All 230 local communities were used as the unit of analysis for this study.
The analyses in this study comprise two parts. First, we examined whether hazardous facilities were spatially clustered. The addresses of all TRI facilities, obtained from the Pollutant Release and Transfer Resister (PRTR) Information System (http://ncis.nier.go.kr/tri), were geocoded in ArcGIS [31]. By employing these datasets, we created hazardous facility site maps for the period of 2001 to 2012. A total of 3268 TRI facilities and their toxic releases for 2012 were examined to determine changes in the spatial distribution over the past decade. Various factors were considered in the spatial analysis, and the average distance to nearest neighbors, kernel density estimation, and hot spots were calculated by using GIS (ArcGIS Desktop 10.2.2, Environmental Systems Research Institute, Redlands, USA) and GeoDa (GeoDa 1.10, Center for Spatial Data Science, Chicago, IL, USA) software [32].
Regarding the calculations of the average distance to nearest neighbors, the distance between each feature and its nearest neighboring location was measured and, subsequently, all these nearest-neighbor distances were averaged. Kernel density calculates the density of the point features (TRI facilities) in the neighborhoods near these facilities. This method indicates the density frequency of the noxious facilities. The volume of the toxic releases of each facility was used as a weight to determine the extent of pollution by each facility. As part of the spatial analysis, we investigated whether there were statistically significant hot spots and whether there were spatial autocorrelations in the hazardous facilities and their toxic releases. We used GeoDa software in our analysis, which has functions to measure the global Moran’s I and Anselin local Moran’s I [33]. The global Moran’s I statistic for spatial autocorrelation is given as:
I = n S o   i = 1 n j = 1 n w i , j z i z j i = 1 n z i 2
where z i is the deviation of an attribute for feature i from its mean, w i , j is the spatial weight between features i and j, n is equal to the total number of features, and S o is the aggregate of all the spatial weights:
S o =   i = 1 n j = 1 n w i , j
The local Moran’s I statistic of spatial association is given as:
I i =   x i X ¯ S i 2 j = 1 ,   j i n w i , j ( x i X ¯ )
where x i is an attribute for feature i, X is the mean of the corresponding attribute, w i , j is the spatial weight between features i and j, and:
S i 2 = j = 1 ,   j i n w i j n 1 X ¯ 2
with n equal to the total number of features.
The hot spot analysis shows the overall spatial patterns and hot spot zones, that is, areas where the density of TRI facilities is higher than in the surrounding areas. A local indicator of spatial association (LISA) map depicts those jurisdictions with a significant local Moran’s I statistic, classified by the type of spatial correlation. The high-high clusters indicate jurisdictions with larger numbers of TRI facilities surrounded by larger numbers of neighboring jurisdictions.
The second part of the analyses investigated the association between the presence/release of TRI facilities and the racial, socioeconomic, political, and land use characteristics. As this is a cross-sectional study, the analysis was conducted at the local government level. The temporal reference for our analysis was 2010, when all census data was available. Statistical regression modeling was used as a baseline methodology in the second analysis; however, owing to the spatial autocorrelation of the presence and emissions of hazardous facilities, we chose spatial regression modeling for our analysis.
As shown in Table 2, we developed two models with different dependent variables. The first dependent variable is the number of TRI facilities of each jurisdiction; the other is the volume of toxic releases from TRI facilities at the local level. These dependent variables were normalized according to the population of each local jurisdiction and log-transformed.
Eight metrics were selected as independent variables to represent racial, political, economic, social, demographic, and land use characteristics in each local government, based on previous studies related to environmental justice [1,6,7,8,17,18,19,21,22,23,24,25,28,29,30].
Minority populations, as a racial factor, are an emerging issue in Korean society; therefore, the percentage of people who are not Korean in the areas surrounding facilities was included in the statistical model to represent the minority population vulnerable to toxic release. As other researchers [7,26] found that political empowerment could affect environmental justice, our study employed voter turnout in local parliamentary elections as a proxy metric for political collective action. Voter turnout as a political factor was measured as the percentage of eligible voters who casted a ballot in the fifth local parliamentary election of 2010. We hypothesized that political activity could be a determinant to prevent toxic releases from hazardous facilities. The wealth of the community, measured by property tax per capita, was included in the model to represent economic status. The variable relevant to the highest level of education, attained as a proxy for social characteristics, was measured to determine the percentage of people with tertiary education qualifications (college or university). This variable was included as it could be a predictor of the social resources available to the community to oppose the siting of noxious facilities in close proximity [26,34]. The demographic characteristics include single-person households and population density [1,21]. In addition, land use and zoning influence the siting pattern of hazardous facilities [35]. As toxic pollutants tend to be proportional to the percentage of people working in factories [21,36], we considered the proportions of industrial and commercial land use. We hypothesized that communities with larger proportions of industrial land use and smaller commercial land use would have higher numbers of toxic facilities and volumes of toxic chemical releases.
The multivariable regression model was employed to investigate the effects of the independent variables on a dependent variable. However, in regression modeling, the linear relationship between a dependent variable and independent variables and the assumptions of normality, independence, homoscedasticity of errors, no spatial autocorrelation, and multicollinearity must be obeyed. This study tested spatial autocorrelation by using the Moran’s I index and the LISA map from the analysis of the spatial patterns of TRI siting. The result indicated that there was spatial autocorrelation in the locations of the TRIs. The current study considered spatial variables in the regression model, which examined the effects of racial, political, socioeconomic, demographic, and land use variables on the TRI frequency and release at the local jurisdiction level.
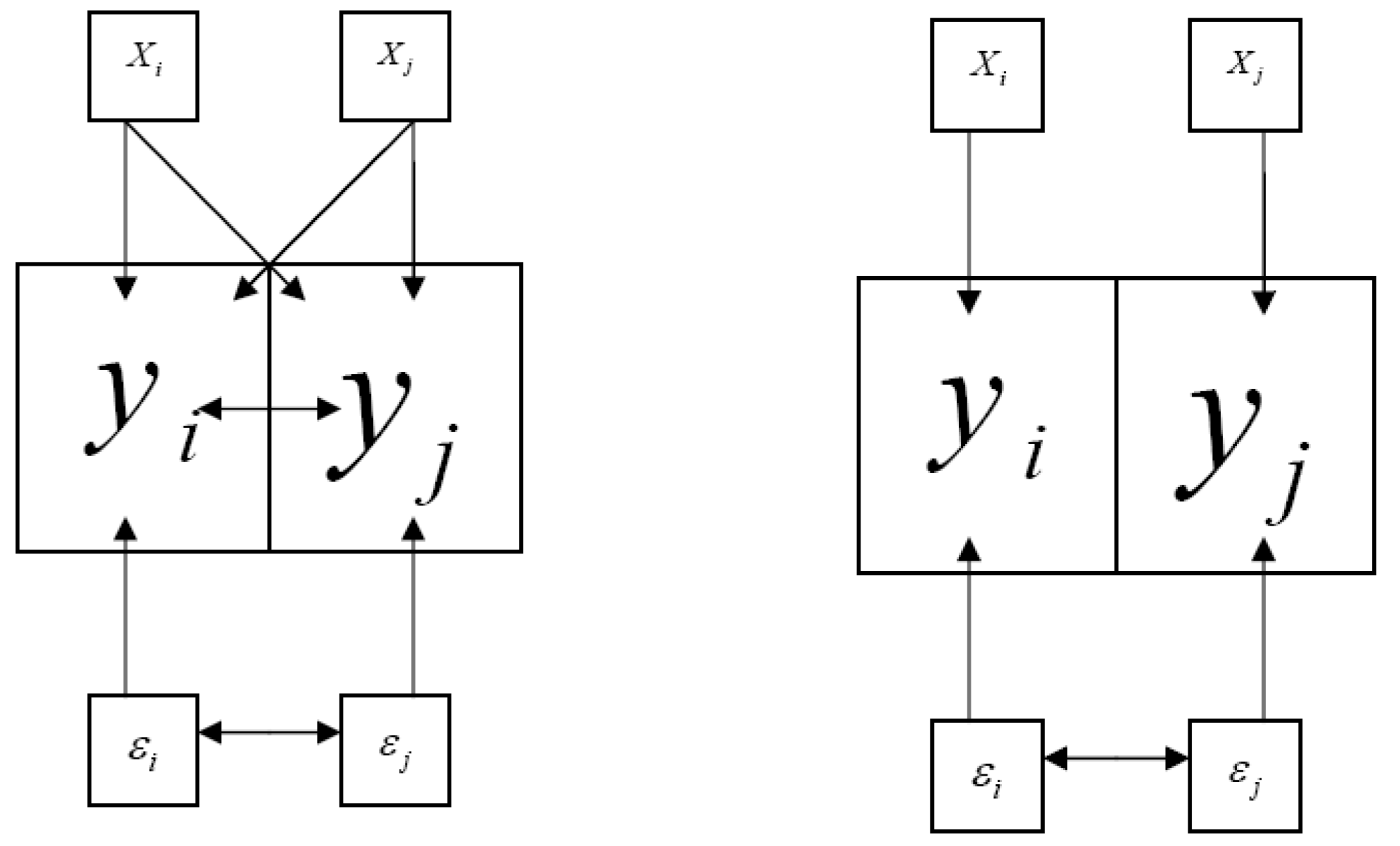
Two types of spatial autoregressive models exist, namely, (1) the spatial lag model and (2) the spatial error model. The spatial lag model can be used when the dependent variable y in place i is affected by the independent variables in both places i and j (left-hand diagram in Figure 1). The spatial error model is considered when the errors across different spatial units are correlated (right-hand diagram in Figure 1). We employed the Lagrange multipliers (LM) method as a criterion to determine which model best fitted our dataset.

4. Results

4.1. Spatial Distribution of TRI Facilities and Releases in Korea

Figure 2 indicates the number of TRI facilities in Korea and their releases of hazardous substances for the period of 2001 to 2012. The number of TRI facilities increased from 1023 in 2001 to 3268 in 2012. In particular, many TRI facilities were built rapidly between 2003 and 2004 because of the increased demand for industrial complexes and facilities, simultaneous with the economic recovery after the IMF (International Monetary Fund) economic crisis [38]. The volume of hazardous substances released from the TRIs exceeded 47,000 tons in 2001 and steadily increased to reach more than 50,000 tons in 2012.
In terms of environmental justice, an increase in the number of TRI facilities implies that their spatial distribution becomes even more critical. Figure 3 is a snapshot of the longitudinal spatial distribution of the facilities, which are disproportionately distributed spatially in Korea. During the period of rapid increase (2003 and 2004), TRI facilities were concentrated in two areas, namely, the suburban areas of the Seoul metropolitan and the Busan metropolitan, with widespread distribution over larger areas. In addition, relatively many TRI facilities were located in the jurisdictions of Gyeonggi-do and Chuncheonbuk-do. After 2004, the spatial pattern of TRI sites remained nearly identical, showing the uneven spread of this burden in Korea.
Although Figure 3 provides a snapshot of the location of TRI facilities over time, we must extend our analysis to quantitative and statistical models to obtain empirical evidence regarding their spatial distribution. We first calculated the average distance to the nearest neighboring facility to assess whether the TRI sites were clustered. The observed mean distance between facilities was 980.66 m in 2012, whereas in 2001, it was 1429.09 m, indicating that the distance between the TRI facilities had decreased beyond what was expected by considering the increase in the number of sites (Table 3). The average nearest neighbor ratio is calculated as the observed average distance divided by the expected mean distance, which is based on a hypothetical random distribution with the same number of features over the same total area. Generally, when the index of the nearest neighbor ratio is less than 1, the spatial pattern of the facilities includes clustering. The spatial patterns of the facilities for the period 2001–2012, based on the nearest neighbor ratio and p-value, indicate that statistically significantly clustering occurred.
After finding clustering in the spatial pattern, the next step was identifying the locations of clustered zones. Therefore, we conducted kernel density and hot spot analyses using the data from 2010 to determine the locations of the clustered areas.
Figure 4 shows the kernel density of the number of TRI facilities and the volume of toxic releases from the TRI facilities in 2010. The density at each output raster cell was measured by summing the values of all the kernel surfaces where they overlapped the raster cell center. Consequently, a darker color indicates a higher density at a particular location. Interestingly, the highest number of clustered areas of TRI facilities is not equal to the highest volume of emissions from the clustered areas. Whereas the Seoul metropolitan area (Seoul and Gyeonggi-do) is the most clustered area in terms of the occurrence of TRI facilities, the Busan metropolitan area and the Ulsan area in the southeastern part of the Korean peninsula are the most clustered areas in terms of hazardous emissions released from TRI facilities. This result confirmed the need for an assessment of hazardous emissions or the release of hazardous substances, with analyses of the incidence/occurrence of hazardous facilities, to address the environmental justice issue properly.
After determining the kernel density, we conducted LISA analysis to identify the hot spots. The high-high values obtained indicate the hot spots, that is, jurisdictions with high numbers of TRIs as well as high volumes of TRI emissions in the neighborhood.
In Figure 5, the map on the left shows that the hot spot zones relevant to the number of TRI facilities are located in a belt diagonally across the country from the northwest to the southeast. A relatively large number of hazardous facilities are located in the outskirts of Seoul (Namdong-gu of Incheon, Siheung-si, Hwaseong-si, and Pyeongtaek-si of Gyeonggi-do). They are known as representative industrial jurisdictions. In the middle of the Korean peninsula, Asan-si, Cheonan-si in Chungheonnam-do, Cheonwon-gun, and Cheongju-si in Chungcheonnam-do are the hot spots of high-high clusters. The factories of large corporations and suppliers are located in these jurisdictions. Other hot spots include Gummi-si, Pohang-si, and Ulju-gun in Gyeongsangbuk-do, and Dalseo-gu in Daegu-si. National industrial complexes are located in Gummi-si, and Pohang-si is a center of the steel industry. The other hot spot cluster is located in the southeast and includes Nam-gu of Ulsan-si, Yansan-si, and Gimhae-si and Changwon-si in Gyeongsangnam-do. Various manufacturing enterprises, including automobile and electronics companies, are located in these areas.
Hot spot clusters relevant to toxic releases show slight inconsistencies with those relevant to the number of TRI facilities. However, Cheonwon-gun, Cheonju-si, Ulju-gu, Changwon-si, and Nam-gu of Ulsan-si are hot spots in terms of both the number of TRIs and the volume of toxic releases (Figure 5). Interestingly, the map on the right of Figure 5 shows that Geoje-si and Tongyeong-si in Gyeongsangnam-do are new hot spot clusters for toxic releases. These jurisdictions are known as major shipbuilding industry areas, located near beaches. The hot spot clusters in the Seoul metropolitan area disappear in the hot spot analysis of toxic releases.

4.2. Factors Affecting the Number of TRI Facilities and Toxic Releases

The spatial distribution analysis produced an overall snapshot of the locations of TRI facilities and volume of toxic releases. Accordingly, in this section, we identify the associations relating the racial, political, economic, social, demographic, and land use factors to the number of TRI facilities and volume of toxic releases at the local jurisdiction level.
Before conducting analyses with the assembled statistical models, we determined the level of spatial autocorrelation by measuring the Moran’s I spatial autocorrelation statistic, using rook contiguity spatial weights. The Moran’s I statistic for the number of TRI facilities was 0.2428 and that for the toxic releases was 0.1461, both indicating strong positive spatial autocorrelations. This result shows that spatial autocorrelation could affect the analysis and therefore must be considered in the analyses with the statistical models. In addition, we note that spatial interactions and diffusion effects influenced the siting of hazardous facilities in Korea.
As shown in Table 4, the dependent variable of the first model is the log-transformed number of TRI facilities of each local jurisdiction. In the starting step, we conducted a classic Ordinary Least Squares (OLS) regression. The OLS regression model explained 44% of the variance in the number of TRI facilities. However, the assumptions for linear regression were not satisfied in terms of the independence of the value, the error terms, and independent variables. As the number of TRI facilities had spatial autocorrelation and the model violated the OLS assumptions, we employed spatial regression models instead. We estimated the LM to identify the appropriate spatial regression model. Because the LM error statistic (13.58) and the robust LM error statistic (11.31) were statistically significant, the spatial error model was considered a superior model fit for the data to examine the association between the number of TRI facilities and other influencing factors.
As shown in Table 4, by integrating a significant spatial effect (λ = 0.31, p < 0.01), the explanation ability relevant to the variance in the number of TRI facilities increased from 44% in the OLS regression model to 49% in the spatial error model. The results of the spatial error model indicated that the racial factor significantly influenced the location of TRI facilities, namely, jurisdictions with larger percentages of minorities had larger numbers of TRI facilities. This result supports the notion that race is becoming increasingly relevant in environmental equity in Korea. In addition, political empowerment was revealed as a critical factor in the siting of hazardous facilities in the country. Jurisdictions with larger voting turnouts, indicating stronger political activity, tended to have smaller numbers of hazardous facilities. Consistent with our expectation, communities with larger percentages of highly educated people had smaller numbers of TRI facilities. The effects of the land use factor were associated statistically significantly with the siting of noxious facilities. While the proportion of industrial land use showed a statistically significant positive effect on the number of TRI facilities at the 0.01 level, the percentage of commercial land use had a negative effect on the number of TRI facilities at the 0.1 level. Population density was also a significant factor, indicating that communities with high population densities were less likely to have noxious facilities. Contrary to our expectations, the economic and demographic factors, such as per capita property tax and the proportion of single households, did not affect the siting of hazardous facilities significantly.
As confirmed in Table 5, the second model investigated the relationship between the volume of toxic releases from the TRI facilities of each jurisdiction and the independent variables. As the second model also indicated strong spatial autocorrelation in the distribution of toxic releases and did not conform to the assumptions of the OLS regression model, we preferred using the spatial regression model. The result of the diagnostic tests favored the spatial lag model, based on the significant robust LM lag (6.82, p < 0.01).
The spatial lag model increased the explanation ability from 36% in the OLS regression model to 40%. The increased explanation power arose from the integration of a statistically significant spatial effect (ρ = 0.22, p < 0.05).
The factors that influence toxic release from hazardous facilities in local jurisdictions were quite consistent with those influencing the number of TRI facilities. The result of the spatial lag model indicated that racial, political, and land use factors were associated with the toxic release volume of each jurisdiction in Korea. Jurisdictions with smaller percentages of minorities, stronger political activity, less industrial land use, and more commercial land use had lower volumes of toxic release from the TRI facilities. Again, we must consider the racial and political issues that influence the volume of toxic releases, as well as the siting of hazardous facilities.

5. Discussion and Conclusions

This study examined the spatial distribution of hazardous facilities and their toxic releases, and statistically investigated the relationship between these and socioeconomic profiles in Korea. The occurrence of TRI facilities has increased continuously, but their distribution is spatially disproportionate in Korea. While some jurisdictions of Gyeonggi-do on the outskirts of Seoul appeared as hot spots relevant to the number of TRI facilities, southern jurisdictions in Ulsan-si and Gyeongsangnam-do were hot spot clusters for toxic releases.
We employed spatial regression models to identify the variables that influence environmental justice, focusing on the siting of hazardous facilities due to spatial dependency. The analyses indicated that strong and statistically significant influence was exerted by the minority population percentage, political participation, land use, and population density factors relevant to both the number of TRI facilities and their toxic releases. That is, the jurisdictions with smaller percentages of minorities, stronger political activity, less industrial land use, and more commercial land use had smaller numbers of toxic releases, as well as smaller numbers of TRI facilities.
However, this research did not indicate a significant relationship between the economic statuses of communities with the siting of hazardous waste facilities in Korea. Our results show that the siting of TRI facilities is related to sociopolitical factors but not to a community’s economic status. However, communities with less sociopolitical power (lower political participation rates) have fewer resources and limited access to decision makers compared to communities with larger proportions of highly educated people and higher political participation rates. This is important, as these factors enable effective lobbying to block the placement of TRI facilities near the community [26,34].
The results of this research can be used as evidence to support the call for environmental policy reform in Korea. Racial issues, which have been largely neglected in environmental justice, are becoming critical as the population of Korea increases in racial and ethnic diversity. Consequently, the issue of race in Korea requires attention from both researchers and policy makers. In addition, this study presents empirical evidence that political interest and participation critically affect the siting of hazardous facilities. Further exploration with qualitative research on the occurrence of environmental inequity is necessary for the implementation of environmentally just public policies.
While this study is meaningful in adding empirical evidence to studies focused on environmental justice, it has some limitations. This study considers only the number of TRI and volume of emissions by each jurisdiction; we do not consider the effects of toxicity in emissions or differences among soil, water, and air pollutants. Thus, more detailed analysis must be addressed in future studies.

Acknowledgments

This research was supported by Basic Science Research Program through the National Research Foundation of Korea (NRF) funded by the Ministry of Education (2015R1D1A1A01059239).

Author Contributions

D. K. Yoon designed the research and drafted the manuscript. Jung Eun Kang analyzed data and provided extensive revisions on the manuscript. Juhyeon Park analyzed data and drafted the manuscript.

Conflicts of Interest

The authors declare no conflict of interest.

References

  1. Cutter, S.L.; Holm, D.; Clark, L. The role of geographic scale in monitoring environmental justice. Risk Anal. 1996, 16, 517–526. [Google Scholar] [CrossRef]
  2. Hoffman, K. From science-based legal advocacy to community organizing: Opportunities and obstacles to transforming patterns of expertise and access. In Technoscience and Environmental Justice: Expert Cultures in a Grassroots Movement; Ottinger, G., Cohen, B.R., Eds.; MIT Press: Cambridge, MA, USA, 2011. [Google Scholar]
  3. Eizenberg, E.; Jabareen, Y. Social sustainability: A new conceptual framework. Sustainability 2017, 9, 68. [Google Scholar] [CrossRef]
  4. Nordenstam, B.J. Transformation of Grassroots Environmental Justice into Federal Agency Environmental Policy; Association for the Advancement of Science/United States Environmental Protection Agency: Washington, DC, USA, 1995; pp. 51–65.
  5. US EPA (U.S. Environmental Protection Agency). Environmental Justice. 2016. Available online: https://www3.epa.gov/environmentaljustice/ (accessed on 1 July 2017).
  6. Ash, M.; Fetter, T.R. Who lives on the wrong side of the environmental tracks? Evidence from the EPA’s risk-screening environmental indicators model. Soc. Sci. Q. 2004, 85, 441–462. [Google Scholar] [CrossRef]
  7. Brooks, N.; Sethi, R. The distribution of pollution: Community characteristics and exposure to air toxics. J. Environ. Econ. Manag. 1997, 32, 233–250. [Google Scholar] [CrossRef]
  8. Chakraborty, J.; Armstrong, M.P. Exploring the use of buffer analysis for the identification of impacted areas in environmental equity assessment. Cartogr. Geogr. Inf. Syst. 1997, 24, 145–157. [Google Scholar] [CrossRef]
  9. Ha, R. A Study on the Institutionalization Possibility and Developmental Strategies of Environmental Justice in Korea. Master’s Thesis, Korea University, Seoul, Korea, 2013. [Google Scholar]
  10. Korea National Statistics Office. Korea Statistics Quality Management Project: Toxic Release Inventory; Korea National Statistics Office: Seoul, Korea, 2007. Available online: http://prism.go.kr/homepage/entire/retrieveEntireDetail.do;jsessionid=85B952ACF27D4B57AFE2F109960391B5.node02?cond_research_name=&cond_research_start_date=&cond_research_end_date=&research_id=1240000-200700028&pageIndex=2582&leftMenuLevel=160 (accessed on 1 July 2017).
  11. Korea Ministry of Environment. 2017. Available online: http://ncis.nier.go.kr/tri/ (accessed on 1 July 2017).
  12. Korean Statistical Information Service. 2016. Available online: http://kosis.kr/statisticsList/statisticsList_01List.jsp?vwcd=MT_ZTITLE&parmTabId=M_01_01 (accessed on 1 July 2017).
  13. Mohai, P.; Saha, R. Racial inequality in the distribution of hazardous waste: A national-level reassessment. Soc. Probl. 2007, 54, 343–370. [Google Scholar] [CrossRef]
  14. Boer, J.T.; Pastor, M.; Sadd, J.L.; Snyder, L.D. Is there environmental racism? The demographics of hazardous waste in Los Angeles County. Soc. Sci. Q. 1997, 78, 793–810. [Google Scholar]
  15. Bolin, B.; Nelson, A.; Hackett, E.J.; Pijawka, K.D.; Smith, C.S.; Sicotte, D.; O’Donnell, M. The ecology of technological risk in a Sunbelt city. Environ. Plan. A 2002, 34, 317–340. [Google Scholar] [CrossRef]
  16. Boone, C.G. An assessment and explanation of environmental inequity in Baltimore. Urban Geogr. 2002, 23, 581–595. [Google Scholar] [CrossRef]
  17. Daniels, G.; Friedman, S. Spatial inequality and the distribution of industrial toxic releases: Evidence from the 1990 TRI. Soc. Sci. Q. 1999, 80, 244–262. [Google Scholar]
  18. Dolinoy, D.C.; Miranda, M.L. GIS modeling of air toxics releases from TRI-reporting and non-TRI-reporting facilities: Impacts for environmental justice. Environ. Health Perspect. 2004, 112, 1717–1724. [Google Scholar] [CrossRef] [PubMed]
  19. Downey, L. Environmental racial inequality in Detroit. Soc. Forces 2006, 85, 771–796. [Google Scholar] [CrossRef] [PubMed]
  20. Fricker, R.D.; Hengartner, N.W. Environmental equity and the distribution of toxic release inventory and other environmentally undesirable sites in metropolitan New York City. Environ. Ecol. Stat. 2001, 8, 33–52. [Google Scholar] [CrossRef]
  21. Mennis, J.L.; Jordan, L. The distribution of environmental equity: Exploring spatial nonstationarity in multivariate models of air toxic releases. Ann. Assoc. Am. Geogr. 2005, 95, 249–268. [Google Scholar] [CrossRef]
  22. Mohai, P.; Lantz, P.M.; Morenoff, J.; House, J.S.; Mero, R.P. Racial and socio-economic disparities in residential proximity to polluting industrial facilities: Evidence from the Americans’ changing lives study. Am. J. Public Health 2009, 99, S649–S656. [Google Scholar] [CrossRef] [PubMed]
  23. Neumann, C.M.; Forman, D.L.; Rothlein, J.E. Hazard screening of chemical releases and environmental equity analysis of populations proximate to toxic release inventory facilities in Oregon. Environ. Health Perspect. 1998, 106, 217. [Google Scholar] [CrossRef] [PubMed]
  24. Pastor, M.; Sadd, J.L.; Morello-Frosch, R. Waiting to inhale: The demographics of toxic air release facilities in 21st-century California. Soc. Sci. Q. 2004, 85, 420–440. [Google Scholar] [CrossRef]
  25. Perlin, S.A.; Sexton, K.; Wong, D.W. An examination of race and poverty for populations living near industrial sources of air pollution. J. Expo. Anal. Environ. Epidemiol. 1999, 9, 29–48. [Google Scholar] [CrossRef] [PubMed]
  26. Hamilton, J.T. Testing for environmental racism: Prejudice, profits, political power? J. Policy Anal. Manag. 1995, 14, 107–132. [Google Scholar] [CrossRef]
  27. Saha, R.; Mohai, P. Historical context and hazardous waste facility siting: Understanding temporal patterns in Michigan. Soc. Probl. 2005, 53, 618–648. [Google Scholar] [CrossRef]
  28. Anderton, D.L.; Anderson, A.B.; Oakes, J.M.; Fraser, M.R. Environmental equity: The demographics of dumping. Demography 1994, 31, 229–248. [Google Scholar] [CrossRef] [PubMed]
  29. Boone, C.G.; Fragkias, M.; Buckley, G.L.; Grove, J.M. A long view of polluting industry and environmental justice in Baltimore. Cities 2014, 36, 41–49. [Google Scholar] [CrossRef]
  30. Grineski, S.E.; Collins, T.W. Exploring patterns of environmental injustice in the Global South: Maquiladoras in Ciudad Juárez, Mexico. Popul. Environ. 2008, 29, 247–270. [Google Scholar] [CrossRef]
  31. Environmental Systems Research Institute (ESRI). ArcGIS Desktop Version 10.2.2; Environmental Systems Research Institute: Redlands, CA, USA, 2015. [Google Scholar]
  32. Center for Spatial Data Science (CSDS). GeoDa. 2016. Available online: http://spatial.uchicago.edu/ (accessed on 1 July 2017).
  33. Anselin, L. Local indicators of spatial association—LISA. Geogr. Anal. 1995, 27, 93–115. [Google Scholar] [CrossRef]
  34. Hird, J.A.; Reese, M. The distribution of environmental quality: An empirical analysis. Soc. Sci. Q. 1998, 79, 693–716. [Google Scholar]
  35. Lejano, R.P.; Iseki, H. Environmental justice: Spatial distribution of hazardous waste treatment, storage and disposal facilities in Los Angeles. J. Urban Plan. Dev. 2001, 172, 51–62. [Google Scholar] [CrossRef]
  36. Mohai, P.; Pellow, D.; Roberts, J.T. Environmental justice. Annu. Rev. Environ. Resour. 2009, 34, 405–430. [Google Scholar] [CrossRef]
  37. Baller, R.; Anselin, L.; Messner, S.F.; Deane, G.; Hawkins, D.F. Structural covariates of US county homicide rates: Incorporating spatial effects. Criminology 2001, 39, 561–590. [Google Scholar] [CrossRef]
  38. Korea Industrial Complex Corporation. Performance and Development of 50 Years of Industrial Complex; Korea Industrial Complex Corporation: Seoul, Korea, 2014; Available online: http://www.kicox.or.kr/component/file/ND_fileDownload.do?q_fileSn=126281&q_fileId=6e0aa93d-de26-402f-a188-fa0184f409fa (accessed on 1 July 2017).
Figure 1. Spatial lag (left) and spatial error (right) models (source: Baller et al., 2001 [37]).
Figure 1. Spatial lag (left) and spatial error (right) models (source: Baller et al., 2001 [37]).
Sustainability 09 01886 g001
Figure 2. Inventory of the volume and number of toxic releases in Korea (2001–2012).
Figure 2. Inventory of the volume and number of toxic releases in Korea (2001–2012).
Sustainability 09 01886 g002
Figure 3. Location of TRI sites in Korea by year.
Figure 3. Location of TRI sites in Korea by year.
Sustainability 09 01886 g003
Figure 4. Kernel density of the number of TRIs (left) and volume of toxic releases (right) in 2010.
Figure 4. Kernel density of the number of TRIs (left) and volume of toxic releases (right) in 2010.
Sustainability 09 01886 g004
Figure 5. Hot spot analysis of the number of TRIs (left) and the volume of toxic releases (right) in 2010.
Figure 5. Hot spot analysis of the number of TRIs (left) and the volume of toxic releases (right) in 2010.
Sustainability 09 01886 g005
Table 1. Socioeconomic variables discussed by various authors.
Table 1. Socioeconomic variables discussed by various authors.
AuthorsIndicators
Ash and Fetter, 2004 [6]Race, ethnicity, income, population density, education, housing
Anderton et al., 1994 [28] Blacks, Hispanics, families below poverty line, households receiving public assistance, males working in civilian labor force, employed in precision occupations, mean value of housing stock
Boone et al., 2014 [29]Whites, Hispanics, African Americans, 8th grade school qualified, college educated, renters, median family income, housing tenure, owner-occupied houses
Brooks and Sethi, 1997 [7]Urban, Blacks, poverty, education, employed in manufacturing, renter-occupied, median value of owner-occupied housing, median household income, population density, voters
Chakraborty and Armstrong, 1997 [8]Income, race
Cutter et al., 1996 [1] Population, population density, Blacks, below poverty line, median household income, under 18, over 55, 12 years of education, college degree, manufacturing establishment, laborers, unemployed
Daniels and Friedman, 1999 [17]Blacks, Hispanics, Asians, Native Americans, median household income, median value of owner-occupied housing, number of manufacturing establishments
Dolinoy and Miranda, 2004 [18]Race, income, age
Downey, 2006 [19]Race, ethnicity, income, level of education, housing value, employment
Grineski and Collins, 2008 [30]Children, percentage of occupied homes with a computer, percentage of occupied homes with own car, mean level of education, mean income, percentage of occupied homes with strong roof, strong walls, floors, public sewer lines, piped water indoors, hot water heaters
Hamilton, 1995 [26]Actual county vote, median household income, adults with 4 years of high school, mean estimated house value, nonwhite population, renters, urban population, value of land and buildings
Mennis and Jordan, 2005 [21]Population density, Hispanics, Blacks, industries, living below the poverty line, manufacturing employment
Mohai et al., 2009 [22]Race, ethnicity, income, education, age, gender, metropolitan status, region of residence
Neumann et al., 1998 [23]Race, ethnicity, and household income
Pastor et al., 2004 [24]Race, ethnicity, home ownership, population density, income, employment
Perlin et al., 1999 [25]Race, ethnicity, poverty
Table 2. Variables, operational measures, and their sources.
Table 2. Variables, operational measures, and their sources.
ConceptNameVariable OperationScaleTypeSource
Dependent variable TRI frequency (Model 1)Number of TRIRatioDependentPRTR
TRI release (Model 2)Volume of TRI releasesRatioDependentPRTR
Racial factorMinorityPercentage of people who are not KoreanRatioIndependent
Political factorVoterVoter turnout in 4th, 5th local parliamentary electionsRatioIndependentNEC **
Economic factorWealthPer capita property taxRatioIndependentKOSIS *
Social factorEducationPercentage of people with tertiary education diploma RatioIndependentKOSIS *
Demographic factorSingle householdPercentage of single-person householdsRatioIndependentKOSIS *
Population densityPopulation per areaRatioIndependentKOSIS *
Land use factorCommercial land usePercentage of commercial areaRatioIndependentMOLIT ***
Industrial land usePercentage of industrial areaRatioIndependentMOLIT ***
Toxic Release Inventory (TRI); PRTR: Pollutant Release and Transfer Resister (PRTR) Information System; * KOSIS: Korean Statistical Information Service (http://kosis.kr); ** NEC: National Election Commission (http://www.nec.go.kr); *** MOLIT: Ministry of Land, Infrastructure and Transport (http://www.molit.go.kr).
Table 3. Average distance to nearest neighboring TRI facility.
Table 3. Average distance to nearest neighboring TRI facility.
YearObserved Mean DistanceExpected Mean DistanceNearest Neighbor Ratiop-Value
20011429.024989.430.290.000
20021520.434778.890.310.000
20031460.724448.040.330.000
20041018.373777.220.270.000
20051051.873865.410.270.000
20061058.263820.570.280.000
2007999.983596.110.280.000
20081009.693609.520.280.000
20091019.093626.810.280.000
20101022.893588.070.290.000
2011989.343487.850.280.000
2012980.663452.620.280.000
Table 4. Factors that influence the number of TRI facilities. Ordinary Least Squares (OLS); Lagrange multipliers (LM).
Table 4. Factors that influence the number of TRI facilities. Ordinary Least Squares (OLS); Lagrange multipliers (LM).
OLS Model (B)Spatial Error ModelSpatial Lag Model
Spatial effectρ (rho) 0.04
λ (Lambda) 0.31 ***
constant−3.39−4.26 *−2.8
Racial factorPercentage of minorities58.68 ***53.79 ***59.74 ***
Political factorVoter turnout −7.79 ***−7.04 ***−7.88 ***
Economic factorPer capita property tax−1.76 × 10−4−3.57 × 10−4−7.53 × 10−4
Social factorPercentage of highly educated people−3.11 **−2.49 *−3.37 **
Demographic factorPercentage of single households−3.4−3.44−3.57
Population density−1.76 × 10−4 ***−1.64 × 10−4 ***−1.67 × 10−4 ***
Land use factorPercentage of commercial land use−4.82 **−3.71 *−4.78 **
Percentage of industrial land use6.99 ***6.30 ***6.87 ***
R20.440.490.45
Log likelihood−411.64−404.29−410.45
AIC841.27826.59840.9
SC872.22857.53875.28
Jarque-Bera17.70 ***
Breusch-Pagan18.58 **21.35 ***20.78 ***
Kosenker-Bassett22.58 ***
Spatial dependenceLikelihood ratio 14.68 ***2.38
LM-Lag2.39
Robust LM-Lag0.13
LM-Error13.58 ***
Robust LM-Error11.31 ***
* <0.01 level, ** <0.05 level, *** <0.01 level.
Table 5. Factors influencing toxic release from TRI facilities.
Table 5. Factors influencing toxic release from TRI facilities.
OLS Model (B)Spatial Error ModelSpatial Lag Model
Spatial effectρ (rho) 0.22 **
λ (Lambda) 0.20 ***
constant15.88 **15.43 **0.22 ***
Racial factorPercentage of minorities159.25 ***141.46 ***148.92 ***
Political factorTurnout of voters−24.66 ***−25.04 ***−23.03 ***
Economic factorPer capita property tax−3.54 × 10−3−2.34 × 10−3−1.95 × 10−3
Social factorPercentage of highly educated people−4.95−4.59−5.14
Demographic factorPercentage of single households−12.81−10.83−9.95
Population density−4.74 × 10−4 ***−4.48 × 10−4 ***−4.00 × 10−4 ***
Land use factorPercentage of commercial land use−12.70 *−11.30 *−12.30 *
Percentage of industrial land use17.67 ***15.32 ***19.45 ***
R20.360.380.40
Log likelihood−687.27−684.52−681.833
AIC1392.541387.041383.67
SC1423.481417.991418.05
Jarque-Bera7.58 **
Breusch-Pagan13.3012.9214.65 *
Kosenker-Bassett19.33 **
Spatial dependenceLikelihood ratio 5.49 **10.87 ***
LM-Lag 10.88 ***
Robust LM-Lag 6.82 ***
LM-Error 4.90 **
Robust LM-Error 0.84
* <0.01 level, ** <0.05 level, *** <0.01 level.

Share and Cite

MDPI and ACS Style

Yoon, D.K.; Kang, J.E.; Park, J. Exploring Environmental Inequity in South Korea: An Analysis of the Distribution of Toxic Release Inventory (TRI) Facilities and Toxic Releases. Sustainability 2017, 9, 1886. https://doi.org/10.3390/su9101886

AMA Style

Yoon DK, Kang JE, Park J. Exploring Environmental Inequity in South Korea: An Analysis of the Distribution of Toxic Release Inventory (TRI) Facilities and Toxic Releases. Sustainability. 2017; 9(10):1886. https://doi.org/10.3390/su9101886

Chicago/Turabian Style

Yoon, D. K., Jung Eun Kang, and Juhyeon Park. 2017. "Exploring Environmental Inequity in South Korea: An Analysis of the Distribution of Toxic Release Inventory (TRI) Facilities and Toxic Releases" Sustainability 9, no. 10: 1886. https://doi.org/10.3390/su9101886

APA Style

Yoon, D. K., Kang, J. E., & Park, J. (2017). Exploring Environmental Inequity in South Korea: An Analysis of the Distribution of Toxic Release Inventory (TRI) Facilities and Toxic Releases. Sustainability, 9(10), 1886. https://doi.org/10.3390/su9101886

Note that from the first issue of 2016, this journal uses article numbers instead of page numbers. See further details here.

Article Metrics

Back to TopTop