Women on Boards and Corporate Social Responsibility
Abstract
:1. Introduction
2. Background
2.1. The Ascendancy of CSR
2.2. Two Perspectives on CSR
2.3. CSR as Business as Usual?
3. Theory and Hypotheses
3.1. Board of Directors and CSR
3.2. Women on Boards and CSR
3.3. The Role of Consumer Market Orientation in the Women Directorship-CSR Linkage
4. Methods
4.1. Data and Sample
4.2. Dependent Variables
4.3. Hypothesis-Testing Variables
4.4. Control Variables
4.5. Summary Statistics
5. Results
5.1. Main Effects
5.2. Interaction Effects
5.3. Further Analyses
5.3.1. Alternative Measurements of CSR Performance
5.3.2. Self-Selection Issues
6. Discussion and Conclusions
Acknowledgments
Author Contributions
Conflicts of Interest
Abbreviations
| CSR | Corporate Social Responsibility |
| KLD | Kinder, Lydenberg, & Domini |
| TMT | Top Management Team |
| BOD | Board of Directors |
| CEO | Chief Executive Officer |
| ROE | Return on Equity |
| ED | Executive Directors |
| SD | Supervisory Directors |
| SIC | Standard Industry Classification |
| VIF | Variance Inflation Factor |
| OLS | Ordinary Least Square |
| IPTW | Inverse Probability Treatment Weighted |
Appendix
| Variable Names | CSR Strengths | Industry-Adjusted CSR Score | ||||||
|---|---|---|---|---|---|---|---|---|
| Model 9 | Model 10 | Model 11 | Model 12 | Model 13 | Model 14 | Model 15 | Model 16 | |
| Prior year # of CSR strengths | 0.627*** | 0.619*** | 0.618*** | 0.618*** | 0.539*** | 0.535*** | 0.534*** | 0.535*** |
| (0.014) | (0.014) | (0.014) | (0.014) | (0.013) | (0.013) | (0.013) | (0.013) | |
| Total asset (in $100,000) | 1.761*** | 1.742*** | 1.761*** | 1.761*** | 0.926* | 0.929* | 0.953* | 0.942* |
| (0.334) | (0.334) | (0.334) | (0.334) | (0.410) | (0.410) | (0.410) | (0.410) | |
| Revenues (in $100,000) | 0.066 | 0.033 | 0.023 | −0.013 | −0.704* | −0.757* | −0.771* | −0.787* |
| (0.286) | (0.285) | (0.285) | (0.286) | (0.350) | (0.350) | (0.350) | (0.351) | |
| Sales growth | 0.008 | 0.013 | 0.010 | 0.014 | 0.054 | 0.061 | 0.058 | 0.061 |
| (0.040) | (0.040) | (0.040) | (0.040) | (0.049) | (0.049) | (0.049) | (0.049) | |
| Tobin’s Q | 0.029 | 0.028 | 0.027 | 0.028 | 0.004 | 0.002 | 0.001 | 0.002 |
| (0.022) | (0.022) | (0.022) | (0.022) | (0.027) | (0.027) | (0.027) | (0.027) | |
| ROE | 0.042 | 0.047 | 0.049 | 0.048 | 0.029 | 0.029 | 0.031 | 0.030 |
| (0.071) | (0.071) | (0.071) | (0.071) | (0.087) | (0.087) | (0.087) | (0.087) | |
| Market leverage | −0.025 | −0.017 | −0.020 | −0.020 | 0.060 | 0.068 | 0.064 | 0.067 |
| (0.168) | (0.168) | (0.168) | (0.168) | (0.206) | (0.206) | (0.206) | (0.206) | |
| Altman Z-score | 0.001 | −0.000 | −0.000 | 0.000 | −0.003 | −0.003 | −0.003 | −0.003 |
| (0.004) | (0.004) | (0.004) | (0.004) | (0.005) | (0.005) | (0.005) | (0.005) | |
| Labor intensity | 0.000 | 0.000 | 0.000 | 0.000 | −0.000 | 0.000 | 0.000 | 0.000 |
| (0.000) | (0.000) | (0.000) | (0.000) | (0.000) | (0.000) | (0.000) | (0.000) | |
| Advertising intensity | −0.804 | −0.799 | −1.648 | −0.846 | −0.713 | −0.748 | −1.894 | −0.779 |
| (1.081) | (1.078) | (1.173) | (1.078) | (1.325) | (1.323) | (1.439) | (1.323) | |
| R&D intensity | −0.767 | −0.709 | −0.724 | −0.655 | −0.693 | −0.664 | −0.686 | −0.629 |
| (0.694) | (0.692) | (0.692) | (0.693) | (0.850) | (0.850) | (0.849) | (0.850) | |
| Post Sarbanes-Oxley Act | 0.966*** | 0.660*** | 0.664*** | 0.682*** | 0.865*** | 0.591** | 0.594** | 0.604** |
| (0.174) | (0.183) | (0.183) | (0.183) | (0.208) | (0.223) | (0.223) | (0.223) | |
| Sustainability committee = 1 | 0.229* | 0.224* | 0.231* | 0.125 | 0.118 | 0.126 | ||
| (0.090) | (0.090) | (0.090) | (0.110) | (0.110) | (0.110) | |||
| Shareholder activism | 0.273** | 0.272** | 0.273** | 0.190 | 0.190 | 0.190 | ||
| (0.104) | (0.104) | (0.104) | (0.128) | (0.128) | (0.128) | |||
| Board size (executive directors) | −0.055+ | −0.055+ | −0.053+ | −0.074* | −0.074* | −0.073* | ||
| (0.028) | (0.028) | (0.028) | (0.035) | (0.035) | (0.035) | |||
| Board size (non-independent directors) | −0.068** | −0.068** | −0.066** | −0.076** | −0.077** | −0.075** | ||
| (0.021) | (0.021) | (0.021) | (0.025) | (0.025) | (0.026) | |||
| Board size (independent directors) | −0.008 | −0.008 | −0.008 | −0.026 | −0.026 | −0.026 | ||
| (0.016) | (0.016) | (0.016) | (0.019) | (0.019) | (0.019) | |||
| Director ensure diversity | 0.003 | 0.004 | 0.004 | 0.003 | 0.003 | 0.003 | ||
| (0.009) | (0.009) | (0.009) | (0.011) | (0.011) | (0.011) | |||
| Director functional diversity | 1.651*** | 1.637*** | 1.656*** | 1.392** | 1.373** | 1.395** | ||
| (0.416) | (0.416) | (0.416) | (0.510) | (0.510) | (0.510) | |||
| Director age diversity | −0.020 | −0.015 | −0.022 | −0.126 | −0.120 | −0.127 | ||
| (0.154) | (0.154) | (0.154) | (0.189) | (0.189) | (0.189) | |||
| % of directors with finance/accounting background | −0.052 | −0.033 | −0.047 | 0.506 | 0.530 | 0.508 | ||
| (0.353) | (0.353) | (0.353) | (0.433) | (0.433) | (0.433) | |||
| CEO power | 0.029 | 0.030 | 0.029 | −0.018 | −0.017 | −0.018 | ||
| (0.040) | (0.040) | (0.040) | (0.049) | (0.049) | (0.049) | |||
| # of female executive directors | 0.124 | 0.096 | 0.117 | 0.168 | 0.130 | 0.163 | ||
| (0.122) | (0.123) | (0.122) | (0.149) | (0.151) | (0.149) | |||
| # of female independent directors | 0.088** | 0.070* | 0.038 | 0.131*** | 0.106** | 0.098* | ||
| (0.032) | (0.033) | (0.040) | (0.039) | (0.041) | (0.049) | |||
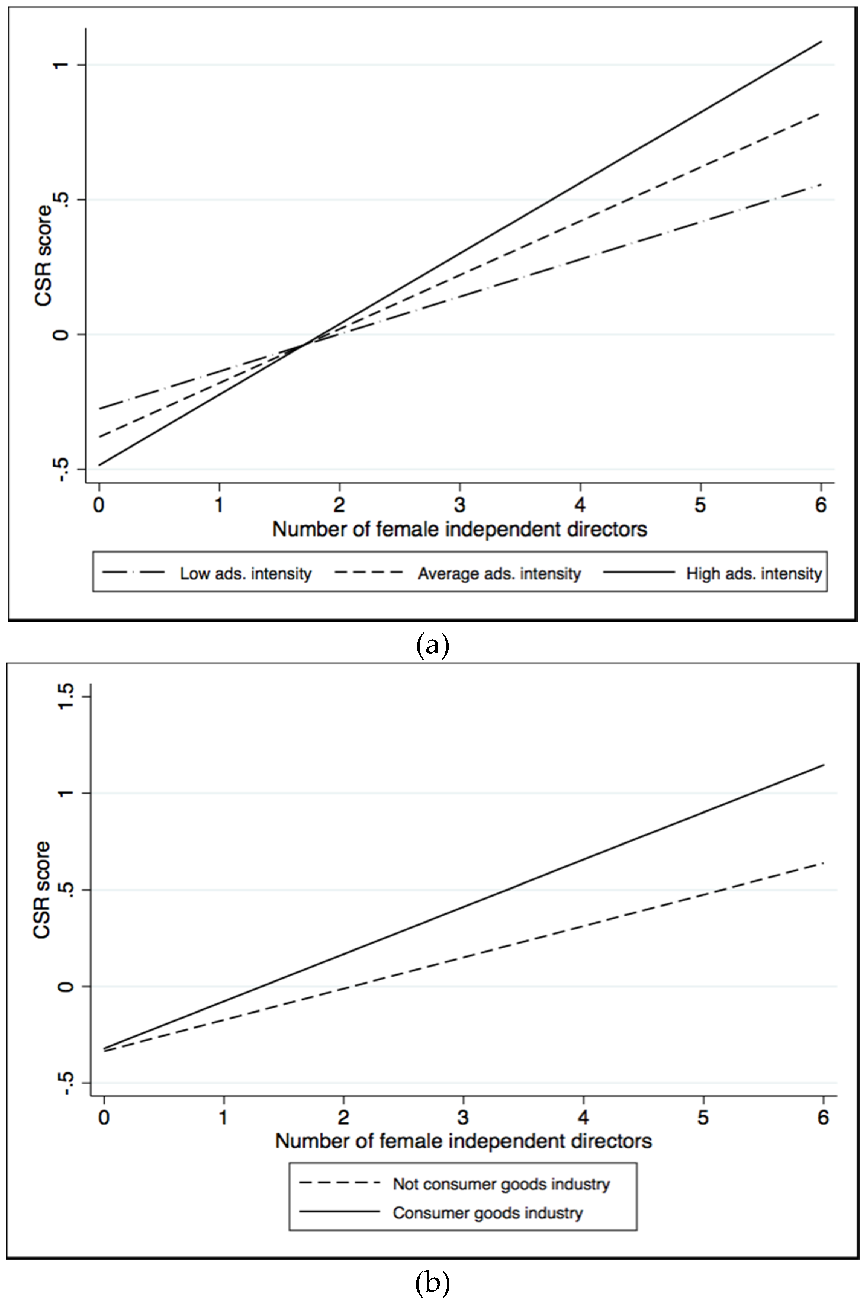
| # of female independent directors × advertising Intensity | 1.026+ | 1.385* | ||||||
| (0.558) | (0.684) | |||||||
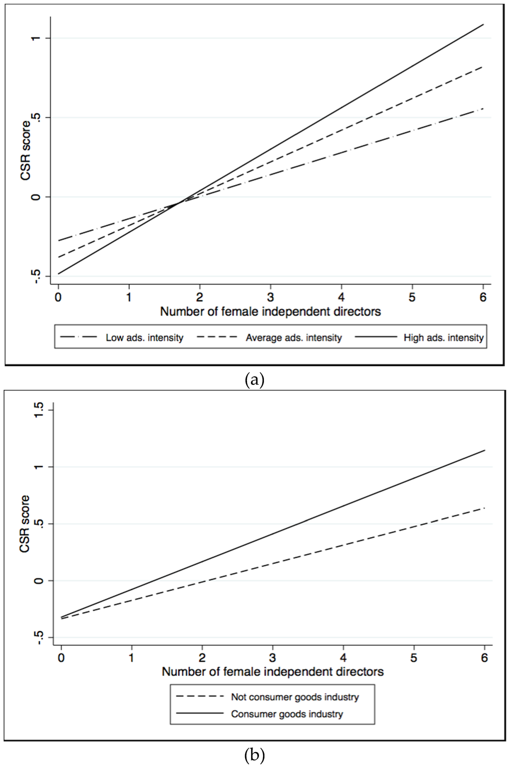
| # of female independent directors × consumer goods industry | 0.115* | 0.076 | ||||||
| (0.057) | (0.069) | |||||||
| Year fixed-effect | Yes | Yes | Yes | Yes | Yes | Yes | Yes | Yes |
| Firm fixed-effect | Yes | Yes | Yes | Yes | Yes | Yes | Yes | Yes |
| Constant | −0.326+ | −0.059 | −0.048 | −0.085 | −0.855*** | −0.349 | −0.335 | −0.366 |
| (0.182) | (0.254) | (0.254) | (0.254) | (0.224) | (0.312) | (0.312) | (0.312) | |
| Observations | 7151 | 7151 | 7151 | 7151 | 7151 | 7151 | 7151 | 7151 |
| R-squared | 0.395 | 0.400 | 0.401 | 0.401 | 0.235 | 0.240 | 0.241 | 0.241 |
| Number of firms | 1102 | 1102 | 1102 | 1102 | 1102 | 1102 | 1102 | 1102 |
| Variable Names | CSR Strengths | |||||||||||
|---|---|---|---|---|---|---|---|---|---|---|---|---|
| Environment | Community | Employee relations | Human rights | Products | Diversity | |||||||
| Model 17 | Model 18 | Model 19 | Model 20 | Model 21 | Model 22 | Model 23 | Model 24 | Model 25 | Model 26 | Model 27 | Model 28 | |
| Prior y # of CSR strengths | 0.667*** | 0.667*** | 0.565*** | 0.565*** | 0.487*** | 0.488*** | 0.592*** | 0.592*** | 0.531*** | 0.530*** | 0.460*** | 0.459*** |
| (0.017) | (0.017) | (0.014) | (0.014) | (0.013) | (0.013) | (0.014) | (0.014) | (0.015) | (0.015) | (0.013) | (0.013) | |
| Total asset (in $100,000) | 1.022*** | 1.013*** | 0.052 | 0.050 | −0.070 | −0.066 | 0.292*** | 0.292*** | 0.150* | 0.154* | 0.272+ | 0.276+ |
| (0.150) | (0.150) | (0.095) | (0.095) | (0.135) | (0.135) | (0.024) | (0.024) | (0.063) | (0.063) | (0.162) | (0.162) | |
| Revenues (in $100,000) | 0.075 | 0.085 | −0.195* | −0.202* | 0.281* | 0.263* | −0.128*** | −0.128*** | −0.057 | −0.067 | 0.137 | 0.119 |
| (0.128) | (0.128) | (0.081) | (0.082) | (0.115) | (0.116) | (0.021) | (0.021) | (0.054) | (0.054) | (0.138) | (0.139) | |
| Sales growth | 0.020 | 0.021 | 0.008 | 0.009 | −0.011 | −0.011 | 0.001 | 0.001 | 0.004 | 0.004 | −0.015 | −0.014 |
| (0.018) | (0.018) | (0.011) | (0.011) | (0.016) | (0.016) | (0.003) | (0.003) | (0.008) | (0.008) | (0.019) | (0.019) | |
| Tobin’s Q | 0.004 | 0.004 | 0.003 | 0.003 | 0.001 | 0.001 | 0.000 | 0.000 | 0.003 | 0.003 | 0.016 | 0.016 |
| (0.010) | (0.010) | (0.006) | (0.006) | (0.009) | (0.009) | (0.002) | (0.002) | (0.004) | (0.004) | (0.011) | (0.011) | |
| ROE | 0.010 | 0.009 | 0.027 | 0.026 | 0.010 | 0.010 | −0.005 | −0.005 | 0.012 | 0.012 | −0.013 | −0.013 |
| (0.032) | (0.032) | (0.020) | (0.020) | (0.029) | (0.029) | (0.005) | (0.005) | (0.013) | (0.013) | (0.034) | (0.034) | |
| Market leverage | −0.038 | −0.036 | 0.145** | 0.146** | −0.162* | −0.162* | −0.010 | −0.010 | 0.040 | 0.040 | −0.033 | −0.034 |
| (0.075) | (0.075) | (0.048) | (0.048) | (0.068) | (0.068) | (0.012) | (0.012) | (0.031) | (0.031) | (0.081) | (0.081) | |
| Altman Z-score | 0.001 | 0.001 | 0.000 | 0.000 | −0.000 | 0.000 | 0.000 | 0.000 | −0.000 | −0.000 | −0.001 | −0.001 |
| (0.002) | (0.002) | (0.001) | (0.001) | (0.002) | (0.002) | (0.000) | (0.000) | (0.001) | (0.001) | (0.002) | (0.002) | |
| Labor intensity | 0.000 | 0.000 | 0.000 | 0.000 | −0.000 | −0.000 | 0.000 | 0.000 | 0.000 | 0.000 | −0.000 | 0.000 |
| (0.000) | (0.000) | (0.000) | (0.000) | (0.000) | (0.000) | (0.000) | (0.000) | (0.000) | (0.000) | (0.000) | (0.000) | |
| Advertising intensity | −0.492 | −0.200 | −0.458 | −0.174 | −1.087* | −0.912* | 0.052 | 0.080 | −0.135 | −0.127 | 0.331 | 0.512 |
| (0.525) | (0.482) | (0.334) | (0.307) | (0.474) | (0.436) | (0.085) | (0.078) | (0.220) | (0.202) | (0.568) | (0.522) | |
| R&D intensity | −0.001 | −0.004 | 0.111 | 0.129 | −0.612* | −0.585* | 0.013 | 0.013 | 0.119 | 0.131 | −0.359 | −0.330 |
| (0.310) | (0.310) | (0.197) | (0.198) | (0.280) | (0.280) | (0.050) | (0.050) | (0.130) | (0.130) | (0.335) | (0.336) | |
| Post Sarbanes-Oxley Act | 0.298*** | 0.295*** | 0.039 | 0.044 | 0.206** | 0.214** | −0.013 | −0.013 | 0.018 | 0.022 | 0.252** | 0.261** |
| (0.081) | (0.081) | (0.052) | (0.052) | (0.073) | (0.073) | (0.013) | (0.013) | (0.034) | (0.034) | (0.088) | (0.088) | |
| Sustainability committee = 1 | 0.068+ | 0.069+ | 0.029 | 0.031 | 0.028 | 0.030 | 0.022*** | 0.022*** | 0.041* | 0.042* | 0.039 | 0.041 |
| (0.040) | (0.040) | (0.026) | (0.026) | (0.036) | (0.036) | (0.007) | (0.007) | (0.017) | (0.017) | (0.043) | (0.043) | |
| Shareholder activism | 0.027 | 0.027 | 0.010 | 0.010 | 0.072+ | 0.072+ | 0.001 | 0.001 | 0.010 | 0.010 | 0.155** | 0.155** |
| (0.047) | (0.047) | (0.030) | (0.030) | (0.042) | (0.042) | (0.008) | (0.008) | (0.020) | (0.020) | (0.050) | (0.050) | |
| Board size (executive directors) | −0.017 | −0.017 | −0.013 | −0.013 | −0.005 | −0.004 | −0.001 | −0.001 | 0.003 | 0.003 | −0.026+ | −0.025+ |
| (0.013) | (0.013) | (0.008) | (0.008) | (0.011) | (0.011) | (0.002) | (0.002) | (0.005) | (0.005) | (0.014) | (0.014) | |
| Board size (non-independent) | −0.008 | −0.008 | −0.011+ | −0.011+ | −0.007 | −0.006 | −0.003* | −0.003* | −0.001 | −0.000 | −0.048*** | −0.047*** |
| (0.009) | (0.009) | (0.006) | (0.006) | (0.008) | (0.008) | (0.002) | (0.002) | (0.004) | (0.004) | (0.010) | (0.010) | |
| Board size (independent) | 0.005 | 0.005 | 0.002 | 0.002 | 0.001 | 0.001 | −0.000 | −0.000 | 0.001 | 0.001 | −0.013+ | −0.013+ |
| (0.007) | (0.007) | (0.004) | (0.004) | (0.006) | (0.006) | (0.001) | (0.001) | (0.003) | (0.003) | (0.008) | (0.008) | |
| Director tenure diversity | 0.001 | 0.001 | 0.006* | 0.006* | 0.003 | 0.003 | 0.001* | 0.001* | −0.001 | −0.001 | −0.007 | −0.006 |
| (0.004) | (0.004) | (0.003) | (0.003) | (0.004) | (0.004) | (0.001) | (0.001) | (0.002) | (0.002) | (0.004) | (0.004) | |
| Director functional diversity | 0.647*** | 0.651*** | 0.240* | 0.247* | 0.316+ | 0.322+ | 0.043 | 0.044 | 0.023 | 0.024 | 0.421* | 0.427* |
| (0.186) | (0.186) | (0.119) | (0.119) | (0.168) | (0.168) | (0.030) | (0.030) | (0.078) | (0.078) | (0.201) | (0.201) | |
| Director age diversity | 0.056 | 0.055 | −0.038 | −0.040 | −0.029 | −0.031 | 0.013 | 0.013 | −0.017 | −0.018 | −0.014 | −0.016 |
| (0.069) | (0.069) | (0.044) | (0.044) | (0.062) | (0.062) | (0.011) | (0.011) | (0.029) | (0.029) | (0.075) | (0.075) | |
| % of directors with finance/accounting | −0.078 | −0.085 | −0.112 | −0.118 | 0.156 | 0.153 | 0.042 | 0.041 | 0.095 | 0.096 | −0.136 | −0.139 |
| (0.158) | (0.158) | (0.101) | (0.101) | (0.143) | (0.143) | (0.026) | (0.026) | (0.066) | (0.066) | (0.171) | (0.171) | |
| CEO power | 0.028 | 0.028 | 0.012 | 0.012 | 0.000 | −0.000 | 0.003 | 0.002 | 0.006 | 0.006 | −0.020 | −0.021 |
| (0.018) | (0.018) | (0.011) | (0.011) | (0.016) | (0.016) | (0.003) | (0.003) | (0.007) | (0.007) | (0.019) | (0.019) | |
| # of female executive directors | −0.004 | 0.006 | 0.037 | 0.045 | −0.103* | −0.100* | 0.005 | 0.006 | 0.001 | 0.000 | 0.183** | 0.187** |
| (0.055) | (0.054) | (0.035) | (0.035) | (0.050) | (0.049) | (0.009) | (0.009) | (0.023) | (0.023) | (0.060) | (0.059) | |
| # of female independent directors | 0.001 | 0.014 | 0.004 | −0.002 | 0.025+ | 0.007 | 0.002 | 0.002 | 0.003 | −0.008 | 0.049** | 0.030 |
| (0.015) | (0.018) | (0.009) | (0.011) | (0.013) | (0.016) | (0.002) | (0.003) | (0.006) | (0.008) | (0.016) | (0.019) | |
| # of female independent director × advertising intensity | 0.344 | 0.357* | 0.236 | 0.034 | 0.021 | 0.244 | ||||||
| (0.249) | (0.159) | (0.225) | (0.040) | (0.105) | (0.270) | |||||||
| # of female independent. director × consumer goods industry. | −0.017 | 0.027+ | 0.051* | 0.000 | 0.026* | 0.053+ | ||||||
| (0.025) | (0.016) | (0.023) | (0.004) | (0.011) | (0.027) | |||||||
| Constant | −0.363** | −0.363** | −0.013 | −0.023 | 0.061 | 0.047 | −0.018 | −0.019 | −0.011 | −0.017 | 0.353** | 0.338** |
| (0.114) | (0.114) | (0.072) | (0.072) | (0.103) | (0.103) | (0.018) | (0.018) | (0.048) | (0.048) | (0.123) | (0.123) | |
| Year fixed-effect | Yes | Yes | Yes | Yes | Yes | Yes | Yes | Yes | Yes | Yes | Yes | Yes |
| Observations | 7151 | 7151 | 7151 | 7151 | 7151 | 7151 | 7151 | 7151 | 7151 | 7151 | 7151 | 7151 |
| R-squared | 0.431 | 0.430 | 0.262 | 0.262 | 0.244 | 0.244 | 0.267 | 0.266 | 0.191 | 0.192 | 0.273 | 0.274 |
| Number of firms | 1102 | 1102 | 1102 | 1102 | 1102 | 1102 | 1102 | 1102 | 1102 | 1102 | 1102 | 1102 |
References
- Carroll, A.B. Corporate social responsibility evolution of a definitional construct. Bus. Soc. 1999, 38, 268–295. [Google Scholar] [CrossRef]
- Harrison, J.S.; Freeman, R.E. Stakeholders, social responsibility, and performance: Empirical evidence and theoretical perspectives. Acad. Manag. J. 1999, 42, 479–485. [Google Scholar] [CrossRef]
- Hillman, A.J.; Keim, G.D. Shareholder value, stakeholder management, and social issues: What’s the bottom line? Strateg. Manag. J. 2001, 22, 125–139. [Google Scholar] [CrossRef]
- Mattingly, J.E. Corporate social performance: A review of empirical research examining the corporation–society relationship using Kinder, Lydenberg, Domini Social Ratings data. Bus. Soc. 2015. [Google Scholar] [CrossRef]
- Gond, J.P.; Kang, N.; Moon, J. The government of self-regulation: On the comparative dynamics of corporate social responsibility. Econ. Soc. 2011, 40, 640–671. [Google Scholar] [CrossRef]
- Orlitzky, M.; Louche, C.; Gond, J.P.; Chapple, W. Unpacking the drivers of corporate social performance: A multilevel, multistakeholder, and multimethod analysis. J. Bus. Eth. 2015, 126, 1–20. [Google Scholar] [CrossRef]
- Chiu, S.C.; Sharfman, M.P. Legitimacy, visibility, and the antecedents of corporate social performance: An investigation of the instrumental perspective. J. Manag. 2011, 37, 1558–1585. [Google Scholar] [CrossRef]
- Sharfman, M.P.; Shaft, T.M.; Tihanyi, L. A model of the global and institutional antecedents of high-level corporate environmental performance. Bus. Soc. 2004, 43, 6–36. [Google Scholar] [CrossRef]
- Buysse, K.; Verbeke, A. Proactive environmental strategies: A stakeholder management perspective. Strateg. Manag. J. 2003, 24, 453–470. [Google Scholar] [CrossRef]
- Kassinis, G.; Vafeas, N. Stakeholder pressures and environmental performance. Acad. Manag. J. 2006, 49, 145–159. [Google Scholar] [CrossRef]
- Bear, S.; Rahman, N.; Post, C. The impact of board diversity and gender composition on corporate social responsibility and firm reputation. J. Bus. Eth. 2010, 97, 207–221. [Google Scholar] [CrossRef]
- Ali, M.; Ng, Y.L.; Kulik, C.T. Board age and gender diversity: A test of competing linear and curvilinear predictions. J. Bus. Eth. 2014, 125, 497–512. [Google Scholar] [CrossRef]
- Boulouta, I. Hidden connections: The link between board gender diversity and corporate social performance. J. Bus. Eth. 2013, 113, 185–197. [Google Scholar] [CrossRef]
- Isidro, H.; Sobral, M. The effects of women on corporate boards on firm value, financial performance, and ethical and social compliance. J. Bus. Eth. 2015, 132, 1–19. [Google Scholar] [CrossRef]
- Azmat, F.; Rentschler, R. Gender and ethnic diversity on boards and corporate responsibility: The case of the arts sector. J. Bus. Eth. 2015, 126, 1–20. [Google Scholar] [CrossRef]
- Rao, K.; Tilt, C. Board composition and corporate social responsibility: The role of diversity, gender, strategy and decision-making. J. Bus. Eth. 2015. [Google Scholar] [CrossRef]
- Ben-Amar, W.; Chang, M.; Mcllkenny, P. Board gender diversity and corporate response to sustainability initiatives: Evidence from the carbon disclosure project. J. Bus. Eth. 2015. [Google Scholar] [CrossRef]
- Gardberg, N.A.; Fombrun, C.J. Corporate citizenship: Creating intangible assets across institutional environments. Acad. Manag. R. 2006, 31, 329–346. [Google Scholar] [CrossRef]
- Harrison, J.S.; Freeman, R.E. Stakeholders, social responsibility, and performance: Empirical evidence and theoretical perspectives. Acad. Manag. J. 1999, 42, 479–485. [Google Scholar] [CrossRef]
- Trumpp, C.; Endrikat, J.; Zopf, C.; Guenther, E. Definition, conceptualization, and measurement of corporate environmental performance: a critical examination of a multidimensional construct. J. Bus. Eth. 2015, 126, 185–204. [Google Scholar] [CrossRef]
- Waddock, S.A.; Graves, S.B. The corporate social performance-financial performance link. Strateg. Manag. J. 1997, 18, 303–319. [Google Scholar] [CrossRef]
- McWilliams, A.; Siegel, D. Corporate social responsibility and financial performance: Correlation or misspecification? Strateg. Manag. J. 2000, 21, 603–609. [Google Scholar] [CrossRef]
- Barnett, M.L.; Salomon, R.M. Does it pay to be really good? Addressing the shape of the relationship between social and financial performance. Strateg. Manag. J. 2012, 33, 1304–1320. [Google Scholar] [CrossRef]
- Berman, S.L.; Wicks, A.C.; Kotha, S.; Jones, T.M. Does stakeholder orientation matter? The relationship between stakeholder management models and firm financial performance. Acad. Manag. J. 1999, 42, 488–506. [Google Scholar] [CrossRef]
- Azoulay, P.; Ding, W.; Stuart, T. The impact of academic patenting on the rate, quality and direction of (public) research output. J. Indus. Econ. 2009, 57, 637–676. [Google Scholar] [CrossRef]
- Palazzo, G.; Scherer, A.G. Corporate social responsibility, democracy, and the politicization of the corporation. Acad. Manag. R. 2008, 33, 773–775. [Google Scholar] [CrossRef]
- McDonald’s. Our Journey Together for Food. McDonald’s Corporate social responsibility & sustainability reports. 2012–2013. Available online: http://www.aboutmcdonalds.com/content/dam/AboutMcDonalds/2.0/pdfs/2012_2013_csr_report.pdf (accessed on 15 December 2015).
- Flammer, C. Does product market competition foster corporate social responsibility? Evidence from trade liberalization. Strateg. Manag. J. 2014, 36, 1469–1485. [Google Scholar] [CrossRef]
- Lev, B.; Petrovits, C.; Radhakrishnan, S. Is doing good good for you? How corporate charitable contributions enhance revenue growth. Strateg. Manag. J. 2010, 31, 182–200. [Google Scholar] [CrossRef]
- Madsen, P.M.; Zachariah, J.R. Looking good by doing good: The antecedents and consequences of stakeholder attention to corporate disaster relief. Strateg. Manag. J. 2015, 36, 776–794. [Google Scholar] [CrossRef]
- Cheng, B.; Ioannou, I.; Serafeim, G. Corporate social responsibility and access to finance. Strateg. Manag. J. 2014, 35, 1–23. [Google Scholar] [CrossRef]
- Martínez-Ferrero, J.; Banerjee, S.; García-Sánchez, I.M. Corporate social responsibility as a strategic shield against costs of earnings management practices. J. Bus. Eth. 2016, 133, 305–324. [Google Scholar] [CrossRef]
- Strike, V.M.; Gao, J.J.; Bansal, P. Being good while being bad: Social responsibility and the international diversification of U.S. firms. J. Int. Bus. Stud. 2006, 37, 850–862. [Google Scholar] [CrossRef]
- Borghesi, R.; Houston, F.; Naranjo, A. Corporate socially responsible investments: CEO altruism, reputation, and shareholder interests. J. Corp. Fin. 2014, 26, 164–181. [Google Scholar] [CrossRef]
- Tang, Y.; Qian, C.; Chen, G.; Shen, R. How CEO hubris affects corporate social (ir)responsibility. Strateg. Manag. J. 2015, 36, 1338–1357. [Google Scholar] [CrossRef]
- Petrenko, O.V.; Aime, F.; Ridge, J.; Hill, A. Corporate social responsibility or CEO narcissism? CSR motivations and organizational performance. Strateg. Manag. J. 2016, 37, 262–279. [Google Scholar] [CrossRef]
- Chang, Y.K.; Oh, W.Y.; Park, Y.H.; Jang, M.G. Exploring the relationship between board characteristics and CSR: Empirical evidence from Korea. J. Bus. Eth. 2015. [Google Scholar] [CrossRef]
- Post, C.; Rahman, N.; McQuillen, C. From board composition to corporate environmental performance through sustainability-themed alliances. J. Bus. Eth. 2015, 130, 423–435. [Google Scholar] [CrossRef]
- Shaukat, A.; Qiu, Y.; Trojanowski, G. Board attributes, corporate social responsibility strategy, and corporate environmental and social performance. J. Bus. Eth. 2015. [Google Scholar] [CrossRef]
- Hafsi, T.; Turgut, G. Boardroom diversity and its effect on social performance: Conceptualization and empirical evidence. J. Bus. Eth. 2013, 112, 463–479. [Google Scholar] [CrossRef]
- Harjoto, M.; Laksmana, I.; Lee, R. Board diversity and corporate social responsibility. J. Bus. Eth. 2015, 132, 641–660. [Google Scholar] [CrossRef]
- Deloitte Consulting. Women in the boardroom; A global perspective. Available online: http://www2.deloitte.com/global/en/pages/risk/articles/women-in-the-boardroom-a-global-perspective.html (accessed on 15 December 2015).
- Huse, M.; Solberg, A. Gender-related boardroom dynamics: How Scandinavian women make and can make contributions on corporate boards. Wom. Manag. R. 2006, 21, 113–130. [Google Scholar]
- Eagly, A.H.; Carli, L.L. Finding gender advantage and disadvantage: Systematic research integration is the solution. Lead. Q. 2003, 14, 851–859. [Google Scholar] [CrossRef]
- Ibrahim, N.; Angelidis, J.; Tomic, I.M. Managers’ attitudes toward codes of ethics: Are there gender differences? J. Bus. Eth. 2009, 90, 343–353. [Google Scholar] [CrossRef]
- Zelechowski, D.; Bilimoria, D. The experience of women corporate inside directors on the boards of Fortune 1,000 firms. Wom. Manag. R. 2003, 18, 376–381. [Google Scholar] [CrossRef]
- Cumming, D.; Leung, T.; Rui, O. Gender diversity and securities fraud. Acad. Manag. J. 2015, 58, 1572–1593. [Google Scholar] [CrossRef]
- Banerjee, S.B.; Iyer, E.S.; Kashyap, R.K. Corporate environmentalism: Antecedents and influence of industry type. J. Mark. 2003, 67, 106–122. [Google Scholar] [CrossRef]
- RiskMetrics Group. How to use KLD STATS & ESG ratings definitions. Available online: http://cdnete.lib.ncku.edu.tw/93cdnet/english/lib/Getting_Started_With_KLD_STATS.pdf (accessed on 18 March 2016).
- Mattingly, J.E.; Berman, S.L. Measurement of corporate social action. Bus. Soc. 2006, 45, 20–46. [Google Scholar] [CrossRef]
- Altman, E.I. Predicting financial distress of companies: revisiting the Z-score and ZETA models. In Handbook of Research Methods and Applications in Empirical Finance; Edward Elgar Publishing: Cheltenham, UK; Northampton, MA, USA, 2013. [Google Scholar]
- Dixon-Fowler, H.R.; Ellstrand, A.E.; Johnson, J.L. The role of board environmental committees in corporate environmental performance. J. Bus. Eth. 2015, 1–16. [Google Scholar] [CrossRef]
- Walls, J.L.; Berrone, P.; Phan, P.H. Corporate governance and environmental performance: Is there really a link? Strateg. Manag. J. 2012, 33, 885–913. [Google Scholar] [CrossRef]
- Chatterji, A.K.; Levine, D.I.; Toffel, M.W. How well do social ratings actually measure corporate social responsibility? J. Econ. Manag. Strateg. 2009, 18, 125–169. [Google Scholar] [CrossRef]
- Hernán, M.A.; Brumback, B.; Robins, J.M. Marginal structural models to estimate the joint causal effect of nonrandomized treatments. J. Amer. Statist. Ass. 2001, 96, 440–448. [Google Scholar]

| Variable Names | Mean | S.D. | Min | Max |
|---|---|---|---|---|
| CSR score | −0.14 | 2.58 | −9 | 15 |
| Prior year CSR score | −0.19 | 2.41 | −9 | 15 |
| Total asset (in $100 billion) | 0.07 | 0.19 | 0 | 2.76 |
| Revenues (in $100 billion) | 0.07 | 0.21 | 0 | 4.25 |
| Sales growth | 0.12 | 0.4 | −0.84 | 19.31 |
| Tobin’s Q | 2.1 | 1.32 | 0.52 | 15.51 |
| ROE | 0.03 | 0.19 | −4.3 | 3.28 |
| Market leverage | 0.18 | 0.17 | 0 | 0.93 |
| Altman Z-score | 5.23 | 6.08 | −55.4 | 202.04 |
| Labor intensity | 304.3 | 1420.86 | 0.16 | 72,894.34 |
| Advertising intensity | 0.01 | 0.04 | 0 | 0.96 |
| Consumer goods industry | 0.38 | 0.49 | 0 | 1 |
| R&D intensity | 0.03 | 0.05 | 0 | 0.68 |
| Post Sarbanes-Oxley Act | 0.89 | 0.32 | 0 | 1 |
| Sustainability committee = 1 | 0.14 | 0.35 | 0 | 1 |
| Shareholder activism | 0.01 | 0.12 | 0 | 2 |
| Board size (executive directors) | 1.55 | 0.84 | 1 | 8 |
| Board size (non-independent directors) | 1.22 | 1.11 | 0 | 11 |
| Board size (independent directors) | 6.6 | 2.23 | 0 | 26 |
| Director tenure diversity | 6.92 | 3.94 | 0 | 23.1 |
| Director functional diversity | 0.04 | 0.06 | 0 | 0.75 |
| Director age diversity | 0.58 | 0.12 | 0.29 | 1 |
| % of directors with finance/accounting background | 0.05 | 0.07 | 0 | 0.5 |
| CEO power | 0.61 | 0.49 | 0 | 1 |
| # of female executive directors | 0.03 | 0.18 | 0 | 2 |
| # of female independent directors | 0.95 | 0.92 | 0 | 6 |
| No. | Variable Names | 1 | 2 | 3 | 4 | 5 | 6 | 7 | 8 | 9 | 10 |
|---|---|---|---|---|---|---|---|---|---|---|---|
| 1 | CSR score | 1.000 | |||||||||
| 2 | Prior year CSR score | 0.858* | 1.000 | ||||||||
| 3 | Total asset (in $100,000) | 0.072* | 0.020 | 1.000 | |||||||
| 4 | Revenues (in $100,000) | 0.002 | −0.036* | 0.795* | 1.000 | ||||||
| 5 | Sales growth | −0.035* | −0.025* | −0.027* | −0.018 | 1.000 | |||||
| 6 | Tobin’s Q | 0.166* | 0.179* | −0.074* | −0.046* | 0.158* | 1.000 | ||||
| 7 | ROE | 0.006 | −0.006 | 0.034* | 0.035* | 0.060* | 0.054* | 1.000 | |||
| 8 | Market leverage | −0.174* | −0.199* | 0.118* | 0.027* | −0.067* | −0.489* | −0.180* | 1.000 | ||
| 9 | Altman Z−score | 0.069* | 0.086* | −0.114* | −0.059* | 0.094* | 0.627* | 0.056* | −0.464* | 1.000 | |
| 10 | Labor intensity | −0.076* | −0.088* | 0.070* | 0.016 | 0.190* | −0.079* | 0.010 | 0.130* | −0.092* | 1.000 |
| 11 | Advertising intensity | 0.095* | 0.090* | −0.021 | 0.000 | −0.003 | 0.122* | 0.001 | −0.094* | 0.083* | −0.058* |
| 12 | Consumer goods industry | 0.081* | 0.073* | −0.066* | −0.001 | −0.000 | 0.055* | −0.007 | −0.049* | 0.040* | −0.133* |
| 13 | R&D intensity | 0.201* | 0.210* | −0.066* | −0.079* | 0.053* | 0.314* | −0.079* | −0.294* | 0.205* | −0.095* |
| 14 | Post Sarbanes−Oxley Act | −0.057* | −0.089* | −0.048* | −0.033* | 0.042* | −0.072* | 0.021 | −0.067* | −0.007 | 0.019 |
| 15 | Sustainability committee = 1 | 0.020 | −0.019 | 0.281* | 0.215* | −0.053* | −0.105* | 0.005 | 0.169* | −0.132* | 0.028* |
| 16 | Shareholder activism | −0.012 | −0.022 | −0.021 | −0.017 | −0.014 | −0.040* | −0.042* | 0.053* | −0.027* | −0.005 |
| 17 | Board size (executive directors) | 0.045* | 0.063* | 0.009 | 0.029* | 0.013 | 0.069* | 0.004 | −0.102* | 0.090* | −0.034* |
| 18 | Board size (non−independent directors) | 0.014 | 0.017 | 0.081* | 0.068* | −0.029* | −0.048* | 0.003 | 0.152* | −0.086* | −0.013 |
| 19 | Board size (independent directors) | 0.113* | 0.057* | 0.373* | 0.283* | −0.079* | −0.158* | 0.029* | 0.246* | −0.230* | 0.039* |
| 20 | Director tenure diversity | 0.062* | 0.071* | −0.024* | −0.002 | −0.074* | −0.058* | 0.015 | −0.063* | 0.016 | −0.053* |
| 21 | Director functional diversity | 0.112* | 0.090* | 0.003 | 0.008 | −0.042* | 0.019 | −0.017 | −0.031* | −0.037* | −0.047* |
| 22 | Director age diversity | −0.082* | −0.090* | 0.029* | 0.004 | 0.014 | −0.007 | 0.007 | −0.024* | 0.008 | 0.058* |
| 23 | % of directors with finance/accounting background | 0.065* | 0.054* | −0.014 | −0.011 | −0.025* | 0.004 | 0.004 | −0.047* | 0.031* | −0.056* |
| 24 | CEO power | −0.019 | −0.033* | 0.100* | 0.062* | 0.006 | −0.000 | 0.022 | 0.067* | −0.008 | 0.038* |
| 25 | # of female executive directors | 0.097* | 0.096* | −0.010 | −0.010 | −0.001 | 0.052* | −0.009 | −0.036* | 0.041* | −0.013 |
| 26 | # of female independent directors | 0.266* | 0.216* | 0.300* | 0.254* | −0.095* | −0.085* | 0.015 | 0.185* | −0.168* | −0.009 |
| No. | Variable Names | 11 | 12 | 13 | 14 | 15 | 16 | 17 | 18 | 19 | 20 |
| 12 | Consumer goods industry | 0.294* | 1.000 | ||||||||
| 13 | R&D intensity | −0.051* | −0.095* | 1.000 | |||||||
| 14 | Post Sarbanes−Oxley Act | 0.003 | 0.010 | −0.016 | 1.000 | ||||||
| 15 | Sustainability committee = 1 | −0.009 | −0.047* | −0.086* | −0.076* | 1.000 | |||||
| 16 | Shareholder activism | −0.011 | 0.018 | −0.017 | 0.021 | −0.006 | 1.000 | ||||
| 17 | Board size (executive directors) | 0.082* | 0.120* | −0.054* | −0.150* | −0.057* | −0.010 | 1.000 | |||
| 18 | Board size (non−independent directors) | 0.025* | 0.047* | −0.070* | −0.241* | 0.067* | 0.021 | −0.034* | 1.000 | ||
| 19 | Board size (independent directors) | −0.008 | −0.039* | −0.141* | 0.027* | 0.322* | 0.003 | −0.153* | −0.140* | 1.000 | |
| 20 | Director tenure diversity | −0.010 | 0.082* | −0.066* | −0.022 | −0.029* | 0.029* | 0.234* | 0.081* | −0.015 | 1.000 |
| 21 | Director functional diversity | 0.044* | −0.024* | 0.072* | 0.140* | 0.017 | −0.002 | −0.092* | −0.048* | 0.022 | −0.108* |
| 22 | Director age diversity | −0.042* | −0.040* | 0.007 | 0.056* | −0.010 | 0.016 | −0.069* | −0.048* | −0.094* | 0.037* |
| 23 | % of directors with finance/accounting background | 0.024* | −0.023 | 0.052* | 0.132* | 0.038* | −0.027* | −0.080* | −0.039* | 0.054* | −0.059* |
| 24 | CEO power | −0.021 | 0.011 | −0.086* | −0.086* | 0.101* | −0.026* | −0.053* | −0.126* | 0.120* | −0.050* |
| 25 | # of female executive directors | 0.056* | 0.073* | −0.015 | −0.029* | −0.050* | 0.009 | 0.300* | −0.007 | −0.049* | 0.097* |
| 26 | # of female independent directors | 0.088* | 0.127* | −0.131* | −0.009 | 0.259* | −0.018 | −0.029* | 0.023 | 0.567* | 0.004 |
| No. | Variable Names | 21 | 22 | 23 | 24 | 25 | 26 | ||||
| 22 | Director age diversity | −0.060* | 1.000 | ||||||||
| 23 | % of directors with finance/accounting background | 0.472* | −0.054* | 1.000 | |||||||
| 24 | CEO power | −0.071* | 0.074* | −0.067* | 1.000 | ||||||
| 25 | # of female executive directors | 0.007 | −0.006 | −0.033* | −0.034* | 1.000 | |||||
| 26 | # of female independent directors | 0.073* | −0.112* | 0.028* | 0.074* | −0.027* | 1.000 |
| Variable Names | CSR Score | |||||||
|---|---|---|---|---|---|---|---|---|
| Number of Female Directors | Percentage of Female Directors | |||||||
| Model 1 | Model 2 | Model 3 | Model 4 | Model 5 | Model 6 | Model 7 | Model 8 | |
| Prior year CSR score | 0.542*** | 0.539*** | 0.538*** | 0.539*** | 0.542*** | 0.539*** | 0.538*** | 0.539*** |
| (0.014) | (0.014) | (0.014) | (0.014) | (0.014) | (0.014) | (0.014) | (0.014) | |
| Total asset (in $100,000) | 1.637*** | 1.617*** | 1.645*** | 1.638*** | 1.637*** | 1.626*** | 1.629*** | 1.635*** |
| (0.431) | (0.431) | (0.431) | (0.431) | (0.431) | (0.431) | (0.431) | (0.431) | |
| Revenues (in $100,000) | −1.085** | −1.141** | −1.158** | −1.191** | −1.085** | −1.134** | −1.139** | −1.161** |
| (0.368) | (0.368) | (0.368) | (0.369) | (0.368) | (0.368) | (0.368) | (0.369) | |
| Sales growth | 0.050 | 0.057 | 0.054 | 0.058 | 0.050 | 0.057 | 0.053 | 0.059 |
| (0.052) | (0.052) | (0.052) | (0.052) | (0.052) | (0.052) | (0.052) | (0.052) | |
| Tobin’s Q | 0.035 | 0.034 | 0.033 | 0.035 | 0.035 | 0.034 | 0.033 | 0.035 |
| (0.028) | (0.028) | (0.028) | (0.028) | (0.028) | (0.028) | (0.028) | (0.028) | |
| ROE | 0.083 | 0.088 | 0.091 | 0.089 | 0.083 | 0.088 | 0.094 | 0.089 |
| (0.092) | (0.092) | (0.092) | (0.092) | (0.092) | (0.092) | (0.092) | (0.092) | |
| Market leverage | 0.115 | 0.124 | 0.118 | 0.121 | 0.115 | 0.129 | 0.123 | 0.128 |
| (0.217) | (0.216) | (0.216) | (0.216) | (0.217) | (0.216) | (0.216) | (0.216) | |
| Altman Z−score | −0.001 | −0.002 | −0.002 | −0.002 | −0.001 | −0.002 | −0.002 | −0.002 |
| (0.005) | (0.005) | (0.005) | (0.005) | (0.005) | (0.005) | (0.005) | (0.005) | |
| Labor intensity | 0.000 | 0.000 | 0.000 | 0.000 | 0.000 | 0.000 | 0.000 | 0.000 |
| (0.000) | (0.000) | (0.000) | (0.000) | (0.000) | (0.000) | (0.000) | (0.000) | |
| Advertising intensity | −0.512 | −0.535 | −1.891 | −0.587 | −0.512 | −0.523 | −2.155 | −0.551 |
| (1.394) | (1.392) | (1.514) | (1.392) | (1.394) | (1.392) | (1.551) | (1.392) | |
| R&D intensity | −0.799 | −0.751 | −0.776 | −0.692 | −0.799 | −0.760 | −0.793 | −0.718 |
| (0.894) | (0.894) | (0.894) | (0.894) | (0.894) | (0.894) | (0.894) | (0.894) | |
| Post Sarbanes−Oxley Act | 0.766*** | 0.593* | 0.595* | 0.616** | 0.766*** | 0.602** | 0.603** | 0.623** |
| (0.218) | (0.234) | (0.234) | (0.234) | (0.218) | (0.234) | (0.234) | (0.234) | |
| Sustainability committee = 1 | 0.248* | 0.239* | 0.250* | 0.251* | 0.241* | 0.253* | ||
| (0.116) | (0.116) | (0.116) | (0.116) | (0.116) | (0.116) | |||
| Shareholder activism | 0.241+ | 0.241+ | 0.241+ | 0.242+ | 0.242+ | 0.241+ | ||
| (0.134) | (0.134) | (0.134) | (0.134) | (0.134) | (0.134) | |||
| Board size (executive directors) | −0.055 | −0.054 | −0.053 | −0.044 | −0.045 | −0.041 | ||
| (0.036) | (0.036) | (0.036) | (0.036) | (0.036) | (0.036) | |||
| Board size (non−independent directors) | −0.084** | −0.085** | −0.083** | −0.074** | −0.075** | −0.073** | ||
| (0.027) | (0.027) | (0.027) | (0.027) | (0.027) | (0.027) | |||
| Board size (independent directors) | −0.016 | −0.016 | −0.017 | −0.002 | −0.003 | −0.003 | ||
| (0.020) | (0.020) | (0.020) | (0.019) | (0.019) | (0.019) | |||
| Director tenure diversity | 0.010 | 0.011 | 0.011 | 0.010 | 0.010 | 0.010 | ||
| (0.012) | (0.012) | (0.012) | (0.012) | (0.012) | (0.012) | |||
| Director functional diversity | 1.482** | 1.460** | 1.488** | 1.489** | 1.458** | 1.487** | ||
| (0.537) | (0.537) | (0.537) | (0.537) | (0.537) | (0.537) | |||
| Director age diversity | −0.098 | −0.090 | −0.100 | −0.101 | −0.094 | −0.104 | ||
| (0.199) | (0.199) | (0.199) | (0.199) | (0.199) | (0.199) | |||
| % of directors with finance/accounting background | 0.155 | 0.184 | 0.159 | 0.143 | 0.186 | 0.148 | ||
| (0.456) | (0.456) | (0.456) | (0.456) | (0.456) | (0.456) | |||
| CEO power | 0.011 | 0.013 | 0.011 | 0.010 | 0.012 | 0.009 | ||
| (0.051) | (0.051) | (0.051) | (0.051) | (0.051) | (0.051) | |||
| # (%) of female executive directors | 0.146 | 0.101 | 0.139 | 1.595 | 1.326 | 1.513 | ||
| (0.157) | (0.158) | (0.157) | (1.571) | (1.574) | (1.572) | |||
| # (%) of female independent directors | 0.122** | 0.092* | 0.066 | 0.989* | 0.676 | 0.473 | ||
| (0.041) | (0.043) | (0.052) | (0.390) | (0.412) | (0.502) | |||
| # (%) of female independent directors × advertising intensity | 1.637* | 20.077* | ||||||
| (0.720) | (8.431) | |||||||
| # (%) of female independent directors × consumer goods industry | 0.128+ | 1.194 | ||||||
| (0.073) | (0.729) | |||||||
| Year fixed-effects | Yes | Yes | Yes | Yes | Yes | Yes | Yes | Yes |
| Firm fixed-effects | Yes | Yes | Yes | Yes | Yes | Yes | Yes | Yes |
| Constant | −1.085*** | −0.738* | −0.721* | −0.767* | −1.085*** | −0.842* | −0.815* | −0.867** |
| (0.235) | (0.328) | (0.328) | (0.328) | (0.235) | (0.328) | (0.328) | (0.329) | |
| Observations | 7151 | 7151 | 7151 | 7151 | 7151 | 7151 | 7151 | 7151 |
| R−squared | 0.230 | 0.235 | 0.235 | 0.235 | 0.230 | 0.234 | 0.235 | 0.235 |
| Number of firms | 1102 | 1102 | 1102 | 1102 | 1102 | 1102 | 1102 | 1102 |
© 2016 by the authors; licensee MDPI, Basel, Switzerland. This article is an open access article distributed under the terms and conditions of the Creative Commons by Attribution (CC-BY) license (http://creativecommons.org/licenses/by/4.0/).
Share and Cite
Hyun, E.; Yang, D.; Jung, H.; Hong, K. Women on Boards and Corporate Social Responsibility. Sustainability 2016, 8, 300. https://doi.org/10.3390/su8040300
Hyun E, Yang D, Jung H, Hong K. Women on Boards and Corporate Social Responsibility. Sustainability. 2016; 8(4):300. https://doi.org/10.3390/su8040300
Chicago/Turabian StyleHyun, Eunjung, Daegyu Yang, Hojin Jung, and Kihoon Hong. 2016. "Women on Boards and Corporate Social Responsibility" Sustainability 8, no. 4: 300. https://doi.org/10.3390/su8040300
APA StyleHyun, E., Yang, D., Jung, H., & Hong, K. (2016). Women on Boards and Corporate Social Responsibility. Sustainability, 8(4), 300. https://doi.org/10.3390/su8040300

