High-Quality Solid Fuel Production from Leaf Litter of Urban Street Trees
Abstract
:1. Introduction
2. Materials and Methods
2.1. Collection of Leaf Litter
2.2. Washing Facility
2.3. Washing of Leaf Litter
2.4. Mechanical Dehydration
2.5. Laboratory Analysis of Leaf Litter
2.6. Calculations
2.7. Statistical Analysis
3. Results and Discussion
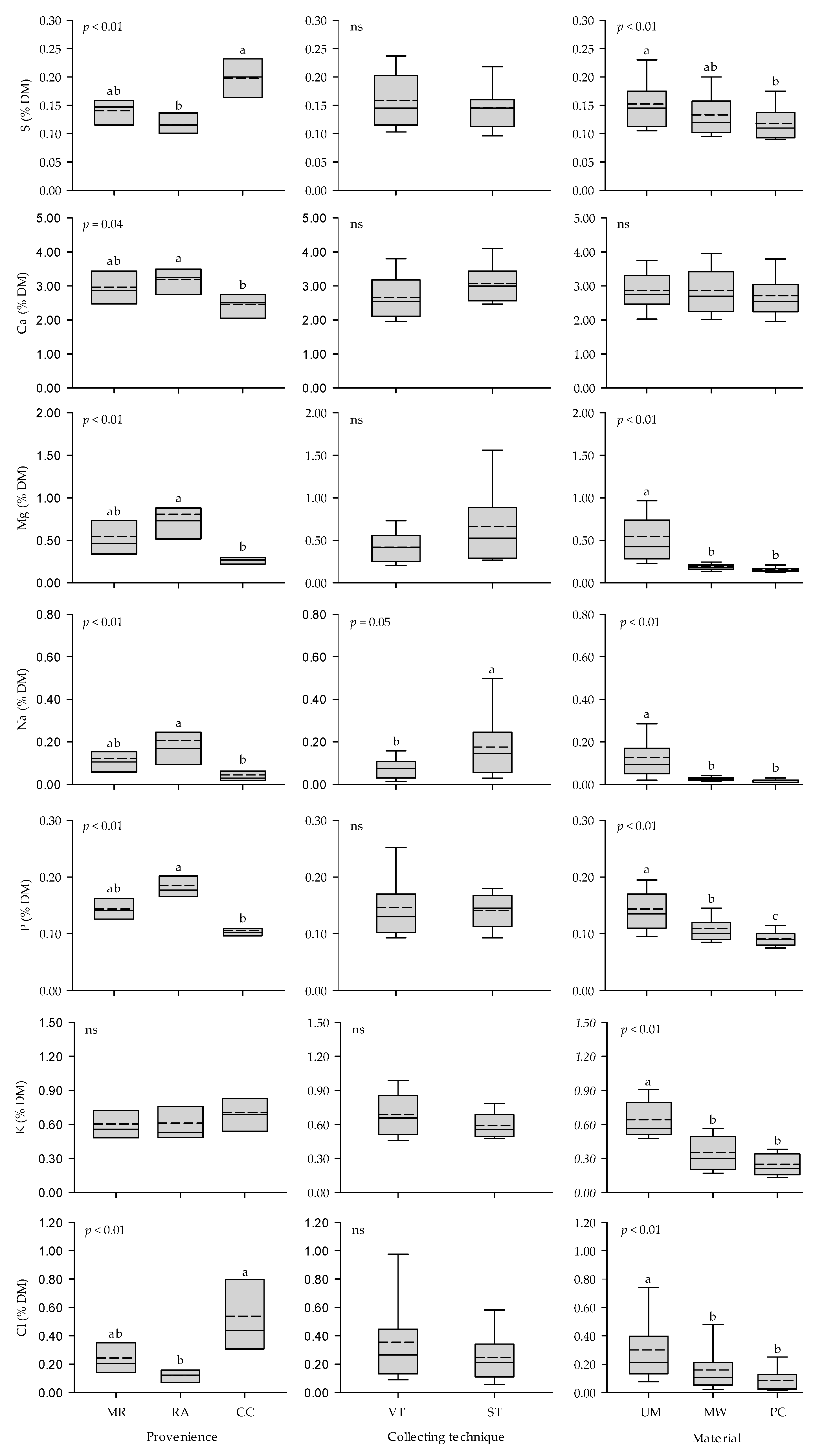
3.1. Chemical Composition and Fuel Properties of Leaf Litter
3.2. Heating Value
3.3. Ash Softening Temperature
3.4. Indices
4. Conclusions
Acknowledgments
Author Contributions
Conflicts of Interest
Appendix A
| Element | Technique/Material | Main Road | Residential Area | City Centre | |||
|---|---|---|---|---|---|---|---|
| Vacuum Technique | Sweeping Technique | Vacuum Technique | Sweeping Technique | Vacuum Technique | Sweeping Technique | ||
| % DM | % DM | % DM | % DM | % DM | % DM | ||
| S | Unwashed | 0.14 ± 0.02 | 0.14 ± 0.02 | 0.12 ± 0.02 | 0.11 ± 0.02 | 0.22 ± 0.03 | 0.18 ± 0.03 |
| Machine washed | 0.12 ± 0.03 | 0.13 ± 0.01 | 0.10 ± 0.02 | 0.11 ± 0.02 | 0.18 ± 0.04 | 0.16 ± 0.03 | |
| Press cake | 0.10 ± 0.01 | 0.11 ± 0.00 | 0.09 ± 0.01 | 0.10 ± 0.02 | 0.16 ± 0.02 | 0.14 ± 0.03 | |
| Ca | Unwashed | 2.96 ± 0.76 | 2.97 ± 0.50 | 2.84 ± 0.60 | 3.53 ± 0.60 | 2.19 ± 0.28 | 2.72 ± 0.26 |
| Machine washed | 3.01 ± 0.85 | 2.91 ± 0.45 | 2.92 ± 0.71 | 3.64 ± 0.40 | 2.23 ± 0.32 | 2.52 ± 0.42 | |
| Press cake | 3.09 ± 0.82 | 2.79 ± 0.52 | 2.76 ± 0.49 | 3.29 ± 0.58 | 2.10 ± 0.24 | 2.26 ± 0.40 | |
| Mg | Unwashed | 0.50 ± 0.19 | 0.59 ± 0.32 | 0.53 ± 0.11 | 1.08 ± 0.47 | 0.23 ± 0.04 | 0.32 ± 0.07 |
| Machine washed | 0.20 ± 0.10 | 0.18 ± 0.03 | 0.20 ± 0.05 | 0.19 ± 0.03 | 0.19 ± 0.03 | 0.17 ± 0.05 | |
| Press cake | 0.17 ± 0.07 | 0.14 ± 0.02 | 0.18 ± 0.03 | 0.15 ± 0.03 | 0.15 ± 0.02 | 0.14 ± 0.03 | |
| Na | Unwashed | 0.09 ± 0.03 | 0.16 ± 0.11 | 0.11 ± 0.04 | 0.30 ± 0.19 | 0.02 ± 0.01 | 0.07 ± 0.04 |
| Machine washed | 0.02 ± 0.00 | 0.03 ± 0.01 | 0.02 ± 0.00 | 0.03 ± 0.01 | 0.02 ± 0.00 | 0.02 ± 0.01 | |
| Press cake | 0.02 ± 0.00 | 0.02 ± 0.01 | 0.02 ± 0.01 | 0.02 ± 0.01 | 0.01 ± 0.00 | 0.02 ± 0.01 | |
| P | Unwashed | 0.15 ± 0.02 | 0.14 ± 0.02 | 0.19 ± 0.06 | 0.17 ± 0.01 | 0.10 ± 0.01 | 0.11 ± 0.02 |
| Machine washed | 0.10 ± 0.02 | 0.11 ± 0.01 | 0.13 ± 0.05 | 0.11 ± 0.01 | 0.10 ± 0.01 | 0.10 ± 0.01 | |
| Press cake | 0.09 ± 0.02 | 0.09 ± 0.01 | 0.11 ± 0.03 | 0.10 ± 0.01 | 0.08 ± 0.01 | 0.08 ± 0.01 | |
| K | Unwashed | 0.59 ± 0.18 | 0.61 ± 0.12 | 0.69 ± 0.23 | 0.53 ± 0.06 | 0.78 ± 0.19 | 0.63 ± 0.13 |
| Machine washed | 0.28 ± 0.11 | 0.30 ± 0.11 | 0.33 ± 0.16 | 0.22 ± 0.10 | 0.60 ± 0.17 | 0.40 ± 0.13 | |
| Press cake | 0.20 ± 0.08 | 0.19 ± 0.08 | 0.26 ± 0.10 | 0.16 ± 0.04 | 0.39 ± 0.08 | 0.28 ± 0.09 | |
| Cl | Unwashed | 0.26 ± 0.10 | 0.23 ± 0.17 | 0.12 ± 0.03 | 0.12 ± 0.07 | 0.69 ± 0.30 | 0.39 ± 0.17 |
| Machine washed | 0.09 ± 0.04 | 0.11 ± 0.08 | 0.04 ± 0.02 | 0.05 ± 0.04 | 0.43 ± 0.23 | 0.23 ± 0.13 | |
| Press cake | 0.05 ± 0.02 | 0.04 ± 0.04 | 0.03 ± 0.01 | 0.02 ± 0.01 | 0.23 ± 0.09 | 0.15 ± 0.10 | |
| Ash | Unwashed | 20.78 ± 4.70 | 26.19 ± 11.00 | 21.72 ± 1.76 | 40.04 ± 3.26 | 12.02 ± 4.08 | 21.64 ± 10.56 |
| Machine washed | 10.73 ± 2.55 | 10.47 ± 1.45 | 10.95 ± 2.45 | 13.45 ± 3.18 | 7.76 ± 0.66 | 9.04 ± 0.83 | |
| Hand washed | 11.29 ± 2.46 | 10.74 ± 1.86 | 10.69 ± 1.62 | 12.93 ± 2.39 | 7.35 ± 0.42 | 8.34 ± 10.1 | |
| Press cake | 10.31 ± 1.83 | 11.10 ± 1.16 | 10.06 ± 2.13 | 13.63 ± 4.21 | 6.97 ± 1.01 | 8.20 ± 0.89 | |
References
- Springer, T.L. Biomass yield from an urban landscape. Biomass Bioenergy 2012, 37, 82–87. [Google Scholar] [CrossRef]
- Liew, L.N.; Shi, J.; Li, Y. Methane production from solid-state anaerobic digestion of lignocellulosic biomass. Biomass Bioenergy 2012, 46, 125–132. [Google Scholar] [CrossRef]
- Prochnow, A.; Heiermann, M.; Plochl, M.; Linke, B.; Idler, C.; Amon, T.; Hobbs, P.J. Bioenergy from permanent grassland—A review: 1. Biogas. Bioresour. Technol. 2009, 100, 4931–4944. [Google Scholar] [CrossRef] [PubMed]
- Piepenschneider, M.; Bühle, L.; Wachendorf, M. Solid Fuel Generation from Urban Leaf Litter in Mixture with Grass Cuttings: Chemical Composition, Energetic Characteristics, and Impact of Preprocessing. Bioener. Res. 2016, 9, 57–66. [Google Scholar] [CrossRef]
- Khalsa, J.H.A.; Döhling, F.; Berger, F. Foliage and Grass as Fuel Pellets–Small Scale Combustion of Washed and Mechanically Leached Biomass. Energies 2016, 9, 361. [Google Scholar] [CrossRef]
- Martin, I.; Roberts, J.; Griffiths, E. Leaf Litter in Street Sweepings: Investigation into Collection and Treatment; Environment Agency: Bristol, UK, 2013. Available online: https://www.gov.uk/government/publications/leaf-litter-in-street-sweepings-investigation-into-collection-and-treatment (accessed on 2 September 2016).
- Van Loo, S.; Koppejan, J. The Handbook of Combustion and Co-Firing; Earthscan: London, UK, 2008. [Google Scholar]
- Nunes, L.J.R.; Matias, J.C.O.; Catalão, J.P.S. Biomass combustion systems. A review on the physical and chemical properties of the ashes. Renew. Sustain. Energy Rev. 2016, 53, 235–242. [Google Scholar] [CrossRef]
- Cherney, J.H.; Verma, V.K. Grass pellet Quality Index: A tool to evaluate suitability of grass pellets for small scale combustion systems. Appl. Energy 2013, 103, 679–684. [Google Scholar] [CrossRef]
- DIN Deutsches Institut für Normung e. V. Solid Biofuels. Fuel Specifications and Classes—Part 2: Wood Pellets for Non-Industrial Use (EN 14961-2:2011); Beuth Verlag: Berlin, Germany, 2011. [Google Scholar]
- DIN Deutsches Institut für Normung e. V. Solid Biofuels. Fuel Specifications and Classes—Part 6: Non-Woody Pellets for Non-Industrial Use (EN 14961-6:2011); Beuth Verlag: Berlin, Germany, 2011. [Google Scholar]
- Obernberger, I.; Brunner, T.; Bärnthaler, G. Chemical properties of solid biofuels—Significance and impact. Biomass Bioenergy 2006, 30, 973–982. [Google Scholar] [CrossRef]
- Wachendorf, M.; Richter, F.; Fricke, T.; Graß, R.; Neff, R. Utilization of semi-natural grassland through integrated generation of solid fuel and biogas from biomass. I. Effects of hydrothermal conditioning and mechanical dehydration on mass flows of organic and mineral plant compounds, and nutrient balances. Grass Forage Sci. 2009, 64, 132–143. [Google Scholar] [CrossRef]
- Hensgen, F.; Bühle, L.; Donnison, I.; Fraser, M.; Vale, J.; Corton, J.; Heinsoo, K.; Melts, I.; Wachendorf, M. Mineral concentrations in solid fuels from European semi-natural grasslands after hydrothermal conditioning and subsequent mechanical dehydration. Bioresour. Technol. 2012, 118, 332–342. [Google Scholar] [CrossRef] [PubMed]
- Hensgen, F.; Richter, F.; Wachendorf, M. Integrated generation of solid fuel and biogas from green cut material from landscape conservation and private households. Bioresour. Technol. 2011, 102, 10441–10450. [Google Scholar] [CrossRef] [PubMed]
- Friedl, A.; Padouvas, E.; Rotter, H.; Varmuza, K. Prediction of heating values of biomass fuel from elemental composition. Anal. Chim. Acta 2005, 544, 191–198. [Google Scholar] [CrossRef]
- Hartmann, H. Brennstoffzusammensetzung und-eigenschaften (Composition and characteristics of fuels). In Energie aus Biomasse: Grundlagen, Techniken und Verfahren, 2nd ed.; Kaltschmitt, M., Hartmann, H., Hofbauer, H., Eds.; Springer: Berlin, Germany, 2009; pp. 333–374. [Google Scholar]
- R Development Core Team. R: A Language and Environment for Statistical Computing; R Foundation for Statistical Computing: Vienna, Austria, 2011. [Google Scholar]
- Piepenschneider, M.; Nurmatov, N.; Bühle, L.; Hensgen, F.; Wachendorf, M. Chemical Properties and Ash Slagging Characteristics of Solid Fuels from Urban Leaf Litter. Waste Biomass Valor. 2016, 7, 625–633. [Google Scholar] [CrossRef]
- Tyler, G. Changes in the concentrations of major, minor and rare-earth elements during leaf senescence and decomposition in a Fagus sylvatica forest. For. Ecol. Manag. 2005, 206, 167–177. [Google Scholar] [CrossRef]
- Bühle, L.; Dürl, G.; Hensgen, F.; Urban, A.; Wachendorf, M. Effects of hydrothermal conditioning and mechanical dewatering on ash melting behaviour of solid fuel produced from European semi-natural grasslands. Fuel 2014, 118, 123–129. [Google Scholar] [CrossRef]
- Steenari, B.M.; Lundberg, A.; Pettersson, H.; Wilewska-Bien, M.; Andersson, D. Investigation of ash sintering during combustion of agricultural residues and the effect of additives. Energy Fuels 2009, 23, 5655–5662. [Google Scholar] [CrossRef]
- Sommersacher, P.; Brunner, T.; Obernberger, I. Fuel indexes: A novel method for the evaluation of relevant combustion properties of new biomass fuels. Energy Fuels 2012, 26, 380–390. [Google Scholar] [CrossRef]
- Bühle, L.; Hensgen, F.; Donnison, I.; Heinsoo, K.; Wachendorf, M. Life cycle assessment of the integrated generation of solid fuel and biogas from biomass (IFBB) in comparison to different energy recovery, animal-based and non-refining management systems. Bioresour. Technol. 2012, 111, 230–239. [Google Scholar] [CrossRef] [PubMed]
- Nussbaumer, T. Combustion on Co-Combustion of Biomass: Fundamentals, Technologies, and Primary Measures for Emission Reduction. Energy Fuels 2003, 17, 1510–1521. [Google Scholar] [CrossRef]
- Salzmann, R.; Nussbaumer, T. Fuel Staging for NOx Reduction in Biomass Combustion: Experiments and Modelling. Energy Fuels 2001, 15, 575–582. [Google Scholar] [CrossRef]






| Element/Index | Unit | City Leaves 1 | Park Leaves 2 | Forest Leaves 3 | Beech Wood 4 |
|---|---|---|---|---|---|
| S | [% DM] 7 | 0.15 ± 0.04 | 0.08 | 0.08 | 0.02 |
| Ca | [% DM] | 2.87 ± 0.62 | 2.17 | 0.87 | 0.29 |
| Mg | [% DM] | 0.54 ± 0.36 | 0.30 | 0.12 | 0.04 |
| Na | [% DM] | 0.13 ± 0.12 | 0.03 | 0.01 | - |
| P | [% DM] | 0.14 ± 0.04 | 0.14 | 0.07 | 0.04 |
| K | [% DM] | 0.64 ± 0.16 | 0.62 | 0.25 | 0.15 |
| Cl | [% DM] | 0.30 ± 0.25 | 0.05 | - | 0.01 |
| Ash | [% DM] | 23.73 ± 10.55 | 13.80 | 5.28 | 0.5 |
| K2O/CaO 5 | 0.192 | 0.246 | 0.25 | 0.45 | |
| 2S/Cl 6 | 1.10 | 3.55 | - | 5.54 |
| Variable | n | K2O/CaO | 2S/Cl | ||||
|---|---|---|---|---|---|---|---|
| Mean | Group | p-Value | Mean | Group | p-Value | ||
| Provenience | |||||||
| Main road | 8 | 0.18 | ab | 0.04 | 1.58 | ab | 0.002 |
| Residential area | 8 | 0.16 | b | 2.49 | a | ||
| City centre | 8 | 0.27 | a | 0.94 | b | ||
| Collecting technique | |||||||
| Vacuum technique | 12 | 0.24 | a | ns | 1.52 | a | ns |
| Sweeper technique | 12 | 0.18 | a | 1.87 | a | ||
| Material | |||||||
| Unwashed material | 24 | 0.20 | a | <0.01 | 1.67 | b | <0.01 |
| Machine washed | 24 | 0.12 | b | 4.24 | a | ||
| Press cake | 24 | 0.09 | b | 7.08 | a | ||
© 2016 by the authors; licensee MDPI, Basel, Switzerland. This article is an open access article distributed under the terms and conditions of the Creative Commons Attribution (CC-BY) license (http://creativecommons.org/licenses/by/4.0/).
Share and Cite
Nurmatov, N.; Leon Gomez, D.A.; Hensgen, F.; Bühle, L.; Wachendorf, M. High-Quality Solid Fuel Production from Leaf Litter of Urban Street Trees. Sustainability 2016, 8, 1249. https://doi.org/10.3390/su8121249
Nurmatov N, Leon Gomez DA, Hensgen F, Bühle L, Wachendorf M. High-Quality Solid Fuel Production from Leaf Litter of Urban Street Trees. Sustainability. 2016; 8(12):1249. https://doi.org/10.3390/su8121249
Chicago/Turabian StyleNurmatov, Nodirjon, Daniel Armando Leon Gomez, Frank Hensgen, Lutz Bühle, and Michael Wachendorf. 2016. "High-Quality Solid Fuel Production from Leaf Litter of Urban Street Trees" Sustainability 8, no. 12: 1249. https://doi.org/10.3390/su8121249
APA StyleNurmatov, N., Leon Gomez, D. A., Hensgen, F., Bühle, L., & Wachendorf, M. (2016). High-Quality Solid Fuel Production from Leaf Litter of Urban Street Trees. Sustainability, 8(12), 1249. https://doi.org/10.3390/su8121249

