A Social-Ecological Resilience Assessment and Governance Guide for Urbanization Processes in East China
Abstract
:1. Introduction
2. Materials and Methods
2.1. Study Area
2.2. Index of the Social-Ecological Resilience Assessment
2.3. Principal Component Analysis of Criteria Layers
2.4. Comprehensive Evaluation by Composed Grey-Fuzzy Model
2.4.1. Determining the Membership Grade Based on the Grey Correlation Coefficient
2.4.2. Determining the Weight
2.4.3. Assessing the Fuzzy Composite
2.5. Scenario Analysis and Predictions
3. Results and Discussion
3.1. Resilience Levels
3.2. Resilience Dynamic
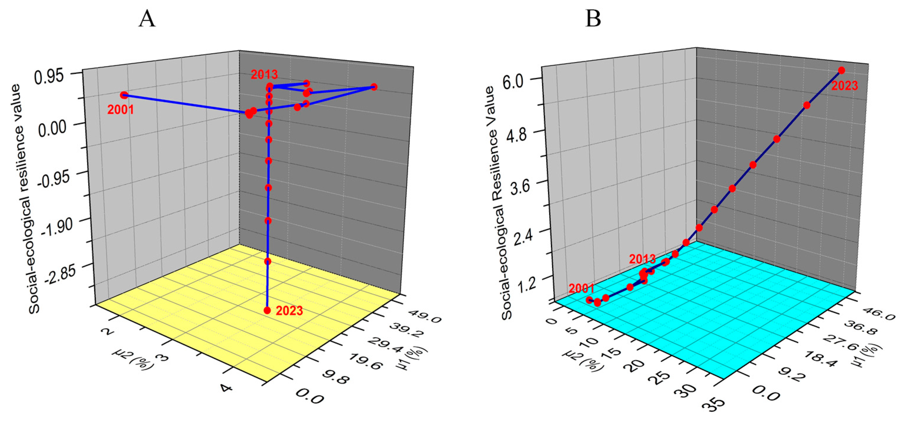
3.3. Scenario Analyses
4. Conclusions
Acknowledgments
Author Contributions
Conflicts of Interest
References
- Mallupattu, P.K.; Sreenivasula Reddy, J.R. Analysis of land use/land cover changes using remote sensing data and GIS at an Urban Area, Tirupati, India. Sci. World J. 2013, 2013, 268623. [Google Scholar] [CrossRef] [PubMed]
- Pan, J.H.; Wei, H.K. Blue Book of Cities in China: Annual Report on Urban Development of China No. 6; Social Sciences Academic Press: Beijing, China, 2013. (In Chinese) [Google Scholar]
- Cui, E.; Ren, L.; Sun, H. Evaluation of variations and affecting factors of eco-environmental quality during urbanization. Environ. Sci. Pollut. Res. 2015, 22, 3958–3968. [Google Scholar] [CrossRef] [PubMed]
- Pickett, S.T.A.; Cadenasso, M.L.; Grove, J.M.; Boone, C.G.; Groffman, P.M.; Irwin, E.; Kaushal, S.S.; Marshall, V.; McGrath, B.P.; Nilon, C.H.; et al. Urban ecological systems: Scientific foundations and a decade of progress. J. Environ. Manag. 2011, 92, 331–362. [Google Scholar] [CrossRef] [PubMed]
- Seto, K.C.; Güneralp, B.; Hutyra, L.R. Global forecasts of urban expansion to 2030 and direct impacts on biodiversity and carbon pools. Proc. Natl. Acad. Sci. USA 2012, 109, 16083–16088. [Google Scholar] [CrossRef] [PubMed]
- Peng, J.; Liu, Y.; Wu, J.; Lv, H.; Hu, X. Linking ecosystem services and landscape patterns in an assessment of urban ecosystem health using Shenzhen City, China as a case study. Landsc. Urban Plan. 2015, 143, 56–68. [Google Scholar] [CrossRef]
- Civeroloa, K.; Hogrefea, C.; Lynnc, B.; Rosenthale, J.; Kua, J.; Soleckif, W.; Coxf, J.; Smallg, C.; Rosenzweigc, C.; Goldbergc, R.; et al. Estimating the effects of increased urbanization on surface meteorology and ozone concentrations in the New York City metropolitan region. Atmos. Environ. 2007, 41, 1803–1818. [Google Scholar] [CrossRef]
- Ferreira António, J.D.; Pardal, J.; Malta, M.; Ferreira Carla, S.S.; Soares Daniel, D.J.; Vilhena, J. Improving Urban Ecosystems Resilience at a City Level. The Coimbra Case Study. Energy Procedia 2013, 40, 6–14. [Google Scholar] [CrossRef]
- Qiu, J. China faces up to “terrible” state of its ecosystems. Nature 2011, 471, 19. [Google Scholar] [CrossRef] [PubMed]
- Chelleri, L.; Olazabal, M. Multidisciplinary Perspectives on Urban Resilience; Basque Centre for Climate Change: Bilbao, Spain, 2012. [Google Scholar]
- Serre, D.; Barroca, B.; Laganier, R. Resilience and Urban Risk Management; CRC Press: Boca Raton, FL, USA, 2012. [Google Scholar]
- Curtin, C.G.; Parker, J.P. Foundations of resilience thinking. Conserv. Biol. 2014, 28, 912–923. [Google Scholar] [CrossRef] [PubMed]
- Lew, A.A.; Ng, P.T.; Ni, C.-C.; Wu, T.-C. Community sustainability and resilience: Similarities, differences and indicators. Tour. Geogr. 2015, 18, 18–27. [Google Scholar] [CrossRef]
- Bruijne, M.D.; Eeten, M.V.; Boin, R.A. Designing Resilience; University Pittsburgh Press: Pittsburgh, PA, USA, 2010. [Google Scholar]
- Holling, C.S. Resilience and stability of ecological systems. Annu. Rev. Ecol. Evolut. Syst. 1973, 4, 1–23. [Google Scholar] [CrossRef]
- Peterson, G.; Allen, C.R.; Holling, C.S. Ecological resilience, biodiversity, and scale. Ecosystems 1998, 1, 6–18. [Google Scholar] [CrossRef]
- Gunderson, L.H.; Holling, C.S. Panarchy: Understanding Transformations in Human and Natural Systems; Island Press: Washington, DC, USA, 2002. [Google Scholar]
- Berkes, F.; Colding, J.; Folke, C. Navigating Social-Ecological Systems: Building Resilience for Complexity and Change; Cambridge University Press: Cambridge, UK, 2003. [Google Scholar]
- Berkes, F.; Folke, C.; Colding, J. Linking Social and Ecological Systems: Management Practices and Social Mechanisms for Building Resilience; Cambridge University Press: Cambridge, UK, 1998; pp. 387–389. [Google Scholar]
- Walker, B.; Holling, C.S.; Carpenter, S.R.; Kinzig, A. Resilience, Adaptability and Transformability in Social-ecological Systems. Ecol. Soc. 2004, 9, 3438–3447. [Google Scholar]
- Adger, W.N.; Rockström, J. Social-ecological resilience to coastal disasters. Science 2005, 309, 1036–1039. [Google Scholar] [CrossRef] [PubMed]
- Turner, N.J.; Davidson-Hunt, I.J.; O’Flaherty, M. Living on the Edge: Ecological and Cultural Edges as Sources of Diversity for Social-Ecological Resilience. Hum. Ecol. 2003, 31, 439–461. [Google Scholar] [CrossRef]
- Fragkias, M.; Güneralp, B.; Seto, K.C.; Goodness, J. A Synthesis of global urbanization projections. In Urbanization, Biodiversity and Ecosystem Services: Challenges and Opportunities; Springer: Berlin, Germany, 2013; pp. 409–435. [Google Scholar]
- Resilience Alliance. Assessing Resilience in Social-Ecological Systems: Workbook for Practitioners (Version 2.0); Resilience Alliance: Halifax, NS, Canada, 2010. [Google Scholar]
- Walker, B.H.; Carpenter, S.R.; Rockstrom, J.; Crepin, A.S.; Peterson, G.D. Drivers”, slow” variables”, fast” variables, shocks, and resilience. Ecol. Soc. 2012, 17, 30. [Google Scholar] [CrossRef]
- Quinlan, A.E.; Berbés-Blázquez, M.; Haider, L.J.; Peterson, G.D. Measuring and assessing resilience: Broadening understanding through multiple disciplinary perspectives. J. Appl. Ecol. 2015. [Google Scholar] [CrossRef]
- Bridges, T.; Henn, R.; Komlos, S.; Scerno, D.; Wamsley, T.; White, K. Coastal Risk Reduction and Resilience; US Army Corps of Engineers: Washington, DC, USA, 2013.
- Liao, K. A theory on urban resilience to floods—A basis for alternative planning practices. Ecol. Soc. 2012, 17, 48. [Google Scholar] [CrossRef]
- Martin, R.; Sunley, P. On the notion of regional economic resilience: Conceptualization and explanation. J. Econ. Geogr. 2015, 15, 1–42. [Google Scholar] [CrossRef]
- Zhai, G.; Li, S.; Chen, J. Reducing Urban Disaster Risk by Improving Resilience in China from a Planning Perspective. Hum. Ecol. Risk Assess. 2015, 21, 1206–1217. [Google Scholar] [CrossRef]
- Colding, J. “Ecological land-use complementation” for building resilience in urban ecosystems. Landsc. Urban Plan. 2007, 81, 46–55. [Google Scholar] [CrossRef]
- Ernstson, H.; Leeuw, S.E.; Redman, C.L.; Meffert, D.J.; Davis, G.; Alfsen, C.; Elmqvist, T. Urban Transitions: On Urban Resilience and Human-Dominated Ecosystems. Ambio 2010, 39, 531–545. [Google Scholar] [CrossRef] [PubMed]
- Zhang, C.; Li, Y.; Xiong, S.; Lu, X.; Zhu, X. Regional environmental risk assessment and management guide for rapid urbanization process of a city cluster in China. Hum. Ecol. Risk Assess. 2015, 22, 283–301. [Google Scholar] [CrossRef]
- Zhang, C.; Zhao, Y.; Yu, L.; Xu, T. Evaluation on ecological carrying capacity of Muping district, Yantai city. Bull. Soil Water Conserv. 2012, 32, 271–275. [Google Scholar]
- Economy, E. Environmental governance: The emerging economic dimension. Environ. Politics 2006, 15, 171–189. [Google Scholar] [CrossRef]
- Mol, A.P.J. Urban environmental governance innovations in China. Curr. Opin. Environ. Sustain. 2009, 1, 96–100. [Google Scholar] [CrossRef]
- Park, J.; Sarkis, J.; Wu, Z. Creating integrated business and environmental value within the context of China’s circular economy and ecological modernization. J. Clean. Prod. 2010, 18, 1494–1501. [Google Scholar] [CrossRef]
- Walker, B.; Salt, D. Resilience Practice: Building Capacity to Absorb Disturbance and Maintain Function; Island Press/Center for Resource Economics: Washington, DC, USA, 2012. [Google Scholar]
- Power, M.E. Resilience Practice: Building Capacity to Absorb Disturbance and Maintain Function. Bioscience 2001, 32, 214–215. [Google Scholar]
- Ouyang, Y. Evaluation of river water quality monitoring stations by principal component analysis. Water Res. 2005, 39, 2621–2635. [Google Scholar] [CrossRef] [PubMed]
- Hao, R.X.; Li, S.M.; Li, J.B.; Zhang, Q.K.; Liu, F. Water quality assessment for wastewater reclamation using principal component analysis. J. Environ. Inform. 2013, 21, 45–54. [Google Scholar] [CrossRef]
- Chan, F.; Kumar, N. Global supplier development considering risk factors using fuzzy extended AHP-based approach. Omega-Int. J. Manag. Sci. 2007, 35, 417–431. [Google Scholar] [CrossRef]
- Mainali, B.; Pachauri, S.; Rao, N.D.; Silveira, S. Assessing rural energy sustainability in developing countries. Energy Sustain. Dev. 2014, 19, 15–28. [Google Scholar] [CrossRef]
- Recatalá, L.; Sacristán, D. A minimum indicator set for assessing resources quality and environmental impacts at planning level in a representative area of the European Mediterranean Region. Ecol. Indic. 2014, 45, 160–170. [Google Scholar] [CrossRef]
- Iscen, C.F.; Emiroglu, O.; Ilhan, S.; Arslan, N.; Yilmaz, V.; Ahiska, S. Application of multivariate statistical techniques in the assessment of surface water quality in Uluabat Lake, Turkey. Environ. Monit. Assess. 2008, 144, 269–276. [Google Scholar] [CrossRef] [PubMed]
- Liu, H.X.; Zhang, D.L. Analysis and prediction of hazard risks caused by tropical cyclones in Southern China with fuzzy mathematical and grey models. Appl. Math. Model. 2012, 36, 626–637. [Google Scholar] [CrossRef]
- Alshehri, S.A.; Rezgui, Y.; Li, H. Disaster community resilience assessment method: A consensus-based Delphi and AHP approach. Nat. Hazards 2015, 78, 395–416. [Google Scholar] [CrossRef]
- Ryu, J.; Leschine, T.M.; Nam, J.; Chang, W.K.; Dyson, K. A resilience-based approach for comparing expert preferences across two large-scale coastal management programs. J. Environ. Manag. 2011, 92, 92–101. [Google Scholar] [CrossRef] [PubMed]
- Sen, A.; Srivastava, M. Regression Analysis; Springer: Berlin, Germany, 2012. [Google Scholar]
- Glenn, D.; Fabricius, K.E. Classification and Regression Trees: A Powerful yet Simple Technique for Ecological Data Analysis. Ecology 2000, 81, 3178–3192. [Google Scholar]
- Graham, M.H. Confronting Multicollinearity in Ecological Multiple Regression. Ecology 2003, 84, 2809–2815. [Google Scholar] [CrossRef]
- Boone, C.G.; Redman, C.L.; Blanco, H.; Haase, D.; Koch, J.; Lwasa, S.; Yokohari, M. Group 4: Re-conceptualizing urban land use. In Rethinking Urban Land Use in a Global Era; Seto, K.C., Reenberg, A., Eds.; MIT Press: Cambridge, MA, USA, 2013. [Google Scholar]
- Folke, C.; Carpenter, S.R.; Walker, B.; Scheffer, M.; Chapin, T.; Rockstrom, J. Resilience thinking: Integrating resilience, adaptability and transformability. Ecol. Soc. 2010, 15, 20. [Google Scholar]
- Grove, J.M. Cities: Managing densely settled social-ecological systems. In Principles of Ecosystem Stewardship: Resilience-Based Natural Resource Management in a Changing World; Chapin, F.S., III, Kofinas, G.P., Folke, C., Eds.; Springer: New York, NY, USA, 2009; pp. 281–294. [Google Scholar]
- Carpenter, S.; Walker, B.; Anderies, J.M.; Abel, N. From metaphor to measurement: Resilience of what to what? Ecosystems 2001, 4, 765–781. [Google Scholar] [CrossRef]
- Liu, J.G.; Dietz, T.; Carpenter, S.R.; Folke, C.; Alberti, M.; Redman, C.L.; Schneider, S.H.; Ostrom, E.; Pell, A.N.; Lubchenco, J.; et al. Coupled Human and Natural Systems. Ambio 2007, 36, 639–649. [Google Scholar] [CrossRef]
- Carson, J.; Doyle, J. Highly optimized tolerance: Robustness and design in complex systems. Phys. Rev. Lett. 2000, 84, 2529–2532. [Google Scholar] [CrossRef] [PubMed]
- Otten, T.G.; Xu, H.; Qin, B.; Zhu, G.; Paerl, H.W. Spatiotemporal patterns and ecophysiology of toxigenic microcystis blooms in Lake Taihu, China: Implications for water quality management. Environ. Sci. Technol. 2012, 46, 3480–3488. [Google Scholar] [CrossRef] [PubMed]
- Paerl, H.W.; Xu, H.; McCarthy, M.J.; Zhu, G.; Qin, B.; Li, Y.; Gardner, W.S. Controlling harmful cyanobacterial blooms in a hypereutrophic lake (Lake Taihu, China): The need for a dual nutrient (N & P) management strategy. Water Res. 2011, 45, 1973–1983. [Google Scholar] [PubMed]
- Wheaton, E.E.; Maciver, D.C. A framework and key questions for adapting to climate variability and change. Mitig. Adapt. Strateg. Glob. Chang. 1999, 4, 215–225. [Google Scholar] [CrossRef]
- Emerson, K.; Gerlak, A.K. Adaptation in collaborative governance regimes. Environ. Manag. 2014, 54, 768–781. [Google Scholar] [CrossRef] [PubMed]
- Schewenius, M.; McPhearson, T.; Elmqvist, T. Opportunities for Increasing Resilience and Sustainability of Urban Social-Ecological Systems: Insights from the URBES and the Cities and Biodiversity Outlook Projects. Ambio 2014, 43, 434–444. [Google Scholar] [CrossRef] [PubMed]
- UN Habitat. State of the World’s Cities; Earthscan: London, UK, 2006. [Google Scholar]
- Pickett Steward, T.A.; McGrat, B.; Cadenasso, M.L.; Felson, A.J. Ecological resilience and resilient cities. Build. Res. Inf. 2014, 42, 143–157. [Google Scholar] [CrossRef]










| Resilience of What | Systems Combined with Economy, Society and Environment |
|---|---|
| Resilience to what | Disturbances that can flip the social ecosystem into an alternate undesirable state |
| By/for whom | Urban ecosystem survivability, wellbeing, and social institutions that want to maintain their social-ecological systems in a desirable state |
| Strategies for resilience | Identify existing and new strategies to enhance resilience in response to these disturbances |
| Target Layer | Sub-System | Dimension | Parameter | First Component in Principal Component Analysis |
|---|---|---|---|---|
| Social-ecological resilience levels | Ecological system | Pollution load | The frequency of acid rain (%) | 0.030 |
| Discharge of sulfur dioxide (kg) | 0.943 | |||
| Discharge of chemical oxygen demand (kg) | 0.935 | |||
| Discharge of solid waste (kg) | 0.498 | |||
| Discharge of ammonia nitrogen compounds (kg) | 0.622 | |||
| Energy consumption (tce) | 0.975 | |||
| Water consumption (t) | 0.883 | |||
| Fires | 0.648 | |||
| Environmental violations case | −0.354 | |||
| Environmental quality | Precipitation (mm) | −0.523 | ||
| Utmost highest/lowest temperature of the year (°C) | −0.364 | |||
| Up-to-standard rate of urban surface water quality (%) | 0.613 | |||
| Up-to-standard rate of the water quality of drinking water source (%) | 0.827 | |||
| The proportion of superior air days in total (%) | 0.868 | |||
| Coverage of noise controlled area (%) | 0.879 | |||
| Eutrophication level of Taihu Lake | −0.795 | |||
| Landscape pattern | The growth rate of urban land expansion (%) | −0.941 | ||
| Annual reduction rate of arable land (hectare) | 0.603 | |||
| Green coverage rate in urban constructed areas (%) | 0.869 | |||
| Area coverage of the parks, gardens, and green areas (hectare) | 0.981 | |||
| Areas of roads (hectare) | −0.916 | |||
| Length of anti-flood dykes (km) | 0.848 | |||
| Natural conservation area coverage (%) | −0.787 | |||
| Social-economic system | Social-economic development | Urban population ratio (%) | 0.917 | |
| GDP per capita (100 million yuan) | 0.947 | |||
| Annual increasing in value of gross agricultural output (%) | 0.626 | |||
| The proportion of second industry in GDP (%) | −0.283 | |||
| The growth rate of per capita disposable income of urban households (%) | 0.415 | |||
| The growth rate of saving deposit of residents (%) | 0.646 | |||
| The growth rate of general consumer price index of urban residents (%) | 0.557 | |||
| Human life expectancy (year) | 0.951 | |||
| Annual increasing rate of privately possessed cars (%) | −0.245 | |||
| Social-ecological governance | The water-reuse rate (%) | 0.931 | ||
| The rate of municipal wastewater treatment (%) | 0.561 | |||
| Ratio of industrial waste water that meets discharge standards (%) | 0.974 | |||
| Ratio of comprehensive utilization of solid industrial waste (%) | 0.881 | |||
| The GDP growth rate of environment administration (%) | 0.708 | |||
| Fixed assets investment in environmental and public facilities management (ten thousands yuan) | 0.899 | |||
| Expenditures on natural science and technology (ten thousands yuan) | 0.793 | |||
| Percentage of employees in public administration and social organizations (%) | 0.051 | |||
| Social welfare enterprise | −0.956 |
| Analysis Module | Indicators |
|---|---|
| Urbanization process | Urban population ratio (UPR) |
| The growth rate of urban land expansion (ULG) | |
| Risk | Environmental violation (ε1) |
| The eutrophication level (ε2) | |
| Adaptive co-governance | The GDP growth rate of environment administration (μ1) |
| Percentage of employees in public administration and social organizations (μ2) |
| Grade of Cluster Analysis | Time | Assessment Scores of Grey-Fuzzy Model | Characteristic of Resilience Change |
|---|---|---|---|
| Adaptability | 2001 to 2003 | 0.548–0.509 | As a part of resilience, the adaptability to adjust its response to change and thereby allowing for development within the original trajectory. |
| 2003 to 2005 | 0.509–0.557 | ||
| Persistence | 2005 to 2008 | 0.557–0.580 | Resilience remains within a relatively stable domain and perturbations are controlled. |
| 2010 to 2013 | 0.770–0.760 | ||
| Transformability | 2008 to 2009 | 0.582–0.745 | A shift between different stability trajectories. |
© 2016 by the authors; licensee MDPI, Basel, Switzerland. This article is an open access article distributed under the terms and conditions of the Creative Commons Attribution (CC-BY) license (http://creativecommons.org/licenses/by/4.0/).
Share and Cite
Zhang, C.; Li, Y.; Zhu, X. A Social-Ecological Resilience Assessment and Governance Guide for Urbanization Processes in East China. Sustainability 2016, 8, 1101. https://doi.org/10.3390/su8111101
Zhang C, Li Y, Zhu X. A Social-Ecological Resilience Assessment and Governance Guide for Urbanization Processes in East China. Sustainability. 2016; 8(11):1101. https://doi.org/10.3390/su8111101
Chicago/Turabian StyleZhang, Chen, Yangfan Li, and Xiaodong Zhu. 2016. "A Social-Ecological Resilience Assessment and Governance Guide for Urbanization Processes in East China" Sustainability 8, no. 11: 1101. https://doi.org/10.3390/su8111101
APA StyleZhang, C., Li, Y., & Zhu, X. (2016). A Social-Ecological Resilience Assessment and Governance Guide for Urbanization Processes in East China. Sustainability, 8(11), 1101. https://doi.org/10.3390/su8111101
