Abstract
Overgrazing has caused vegetation destruction and soil degradation in Leymus chinensis grassland, the widely distributed type of grassland in northern China. To restore the degraded ecosystem, grazing exclusion was implemented in 1979, 1999, and 2004. However, changes in the vegetation and soil organic carbon (SOC) in different years of grazing exclusion have not been thoroughly elucidated. This paper examines the changes in vegetation characteristics (i.e., biomass, cover, richness, degree of succession, and shannon diversity index) and SOC under free of grazing (FG), 6 years (6 GE), 11 years (11 GE), and 31 years (31 GE) of grazing exclusion plots in the Xilin River Basin, China. The results indicate that the vegetation characteristics and SOC increased during the restoration process. Both the vegetation characteristics and SOC in 6 GE did not differ significantly from FG (p > 0.05), while these indexes in 11 GE were significantly higher than in FG. The differences between the vegetation characteristics and SOC in 11 GE and those in 31 GE were not significant. To meet the tradeoff between ecosystem conservation and utilization, further studies with multi-year observation should be conducted to identify the optimal duration of grazing exclusion and the grazing exclusion time threshold in L. chinensis grassland. This study provides valuable insights into sustainable grassland management in northern China.
1. Introduction
As a main type of terrestrial ecosystem, grassland plays a crucial role in providing substantial and effective ecosystem services [1,2]. However, grassland degradation is globally becoming a major ecological problem due to human activities, climate change, and poor management [3]. Among these, overgrazing is regarded as a dominant factor in causing grassland degradation [4]. Previous studies have shown that degraded grassland induced by overgrazing is characterized by reductions in vegetation coverage, biodiversity, and biomass [5,6]. Moreover, heavy grazing has resulted in soil vulnerability to water and nutrient loss while also decreasing the plant available water [7]. In addition, the physical and chemical properties of soil, particularly soil organic carbon, dramatically deteriorated under excessive livestock grazing [8,9,10]. Both vegetation and soil degeneration have a negative impact on productivity, ecological functions, and ecosystem services [11]. Effective ecological actions must therefore be taken to restore the degraded ecosystem and improve the environment.
Grazing exclusion is an ecological management measure that excludes grazing and damage practices, allowing the grassland to enter a state of self-recovery [2]. Grazing exclusion was widely carried out in order to restore vegetation and soil properties in grassland ecosystems. Numerous studies have demonstrated that both vegetation characteristics and soil properties have improved after grazing exclusion in recent years [6,12,13]. For example, several studies demonstrated that vegetation coverage, height, and species richness increased following grazing exclusion in arid areas of the Loess Plateau, China [14]. Other studies found grazing exclusion to improve soil fertility in grassland [15]. However, the duration of grazing exclusion required to significantly improve the vegetation and soil varies among different types of grassland [6]. Soil nutrient, plant coverage, and richness significantly increased after grazing exclusion eight years in duration in the Junggar Basin and after five years in the desert of Hexi Corridor, China [16,17]. Examining the effectiveness of grazing exclusion on vegetation and soil and determining the duration required for significant improvement would provide valuable insights into grassland restoration and management.
Leymus chinensis grassland is the dominant component of the Eurasian steppe, which plays an essential role in maintaining ecosystem functions and a stable environment in arid northern China [18]. L. chinensis is the C3 plant and dominant grass specie in the study area. In particular, L. chinensis grassland has provided multiple ecosystem services, including culture, regulatory, and supporting services for local residents [19]. In recent decades, L. chinensis grassland has been severely degraded due to heavy grazing. In order to protect the grassland, grazing exclusion has been conducted since the late 1970s. The national projects Grain-for-Green (GFG), which has been in place since 1998, and Returning Grazing Land to Grass (RGLG), which began in 2003, were first implemented by China’s central government. It is thus essential to investigate the effects of grazing exclusion on grasslands, including the integrated characteristics of both the vegetation and soil. Meanwhile, how long after grazing exclusion the vegetation characteristics and soil organic carbon significantly improved remains unclear. In light of the trade-offs between meeting pastoralists’ need for income and maintaining ecosystem function for the provision of services, investigating the effects of grazing exclusion on vegetation and soil recovery is likely to offer insights valuable for the sustainable management of grassland in this region.
Soil organic carbon (SOC), which has been identified as a major soil nutrient factor, has been shown to be closely related to soil productivity, soil water retention capacity, and long-term yield stability [20,21]. We thus selected SOC as an indicator of soil properties. In this study, three L. chinensis grassland experiment sites that were subjected to grazing exclusion for different representative numbers of years (6, 11, and 31 years) and a controlled free grazing experiment site were established in the Xilin River Basin located in Inner Mongolia, northern China. The objectives of this study were to employ the space-for-time substitution method [22] to: (1) examine the effect of grazing exclusion on vegetation characteristics (coverage, diversity, and biomass) and soil organic carbon; and (2) to determine the appropriate duration for significant improvement in the vegetation characteristics and SOC under long-term grazing exclusion.
2. Materials and Methods
Our study was conducted in typical steppe in the Xilin River Basin of Inner Mongolia, China (116°42′ E, 43°38′ N). The elevation in this area ranges from 1250 to 1260 m. The area is characterized by a temperate continental climate with a mean annual precipitation of 279 mm. The mean annual air temperature is 2.4 °C, and the mean monthly air temperature ranges from −21.6 °C in January to 19.0 °C in July. The growing season is from May to September. The soil is classified as dark chestnut (Calcic Chernozem, according to ISSS Working Group RB, 1998) [19]. The vegetation is dominated by L. chinensis, Stipa grandis, and Carex tristachya, which are widely distributed in this region (Table 1).
Table 1.
The vegetation conditions at experimental sites.
| Sampling Site | Enclosure Time (Years) | Hight/cm | Dominant Species |
|---|---|---|---|
| FG | 0 | 14.48 ± 11.01 | Leymus chinensis + Stipa grandis |
| 6 GE | 6 | 20.77 ± 11.32 | L. chinensis + S. grandis |
| 11 GE | 11 | 28.48 ± 15.51 | L. chinensis + Carex. tristachya |
| 31 GE | 31 | 30.69 ± 13.34 | L. chinensis + C. tristachya |
Three enclosure experiment sites subjected to representative numbers of grazing-excluded years were selected. The earliest enclosure site with an area of 24 ha was constructed by the Inner Mongolia Grassland Ecosystem Research Station in 1979. Two enclosure sites with an area of 1 ha each were constructed in 1999 after the GFG project and in 2004 after the RGLG project, respectively. The enclosed area that was established on the traditional grazing fields had been grazed by sheep. We also established a grazing experiment site adjacent to the grazing sites, which has been moderately grazed by sheep at a density of four sheep/ha year-round. These sites were placed in a similar landscape position and adjoined with each other. The terrain is relatively flat, with no spatial differences. The enclosure year spans are 31, 11 and 6 years, in addition to the free of grazing period, denoted as 31 GE, 11 GE, 6 GE, and FG for the experiment sites. An east-west transect was established with three equal-sized replicate quadrants (each 5 m × 5 m) at each experimental site. In each quadrant, two sampling plots (1 m × 1 m each) were established in order to measure vegetation parameters and collect soil samples. Field sampling was conducted in mid-August 2010, when the biodiversity and biomass peaked during the year. The mean precipitation and air temperature in 2010 amounted to 278 mm and 2.7 °C, similar to long-term average values.
2.1. Sampling and Analyses
Total vegetation cover (Cover, %) was estimated with a 1 m × 1 m frame (with 100 equally distributed grids) placed above the canopy. The height of plants was also measured in each plot. Species richness (Richness) was defined as the number of species in each plot [23].
Richness index (R): R = S
The degree of succession (DS) value can be used to reflect the development of the vegetation community. A higher value of DS is indicative of good development in a vegetation community [24]. The DS was calculated for each plot according to the following formula:
where l is the categorized life span of each species related to Raunkier’s life-form, n is the number of species in a plot, and v is vegetation coverage of each plot.
In addition, the Shannon diversity index (SHDI) was estimated as a means of describing vegetation diversity [23]. The formula was as follows:
where n is the total number of species in the grassland community and Pi is the mass ratio of the species to the total biomass.
Above-ground biomass (ABG, g·m−2) samples were clipped to ground level in each 1 m × 1 m plot. Surface litter and standing dead plant biomass were brushed away by hand in order to bare the sampling area subsequently. Three below-ground biomass (BGB, g·m−2) samples were randomly collected from the ground surface to a depth of 60 cm at 10-cm intervals using a stainless steel auger (8 cm in diameter). Thereafter, samples were placed in mesh bags and then rinsed in water to remove soil and remnants. The biomass samples were oven-dried for 48 h at 60 °C to a constant weight and then weighed. Total biomass (TB, g·m−2) is the sum of ABG, BGB, and litter.
Soil samples were collected in a 1 m × 1 m plot adjacent to the plot measuring biodiversity and biomass. Three soil samples were randomly collected using a soil auger (3 cm in diameter) at a depth of 0–20 cm at 10-cm intervals. We mixed samples from the same layer together from one plot and then air-dried and sieved these through a 2-mm screen. Soil organic carbon (SOC, g·kg−1) was measured by means of the dichromate oxidation method [25].
2.2. Statistical Analysis
A one-way ANOVA was conducted to explore significant differences in these factors among different exclusion year sites. A least significant difference test was used to compare the means of the indexes. Significant differences were determined at a 0.05 level. A Pearson correlation was conducted to determine the relationship between SOC and vegetation characteristics. Statistical analyses were conducted using SPSS 20.0.
3. Results
3.1. Effect of Grazing Exclusion on Vegetation Characteristics
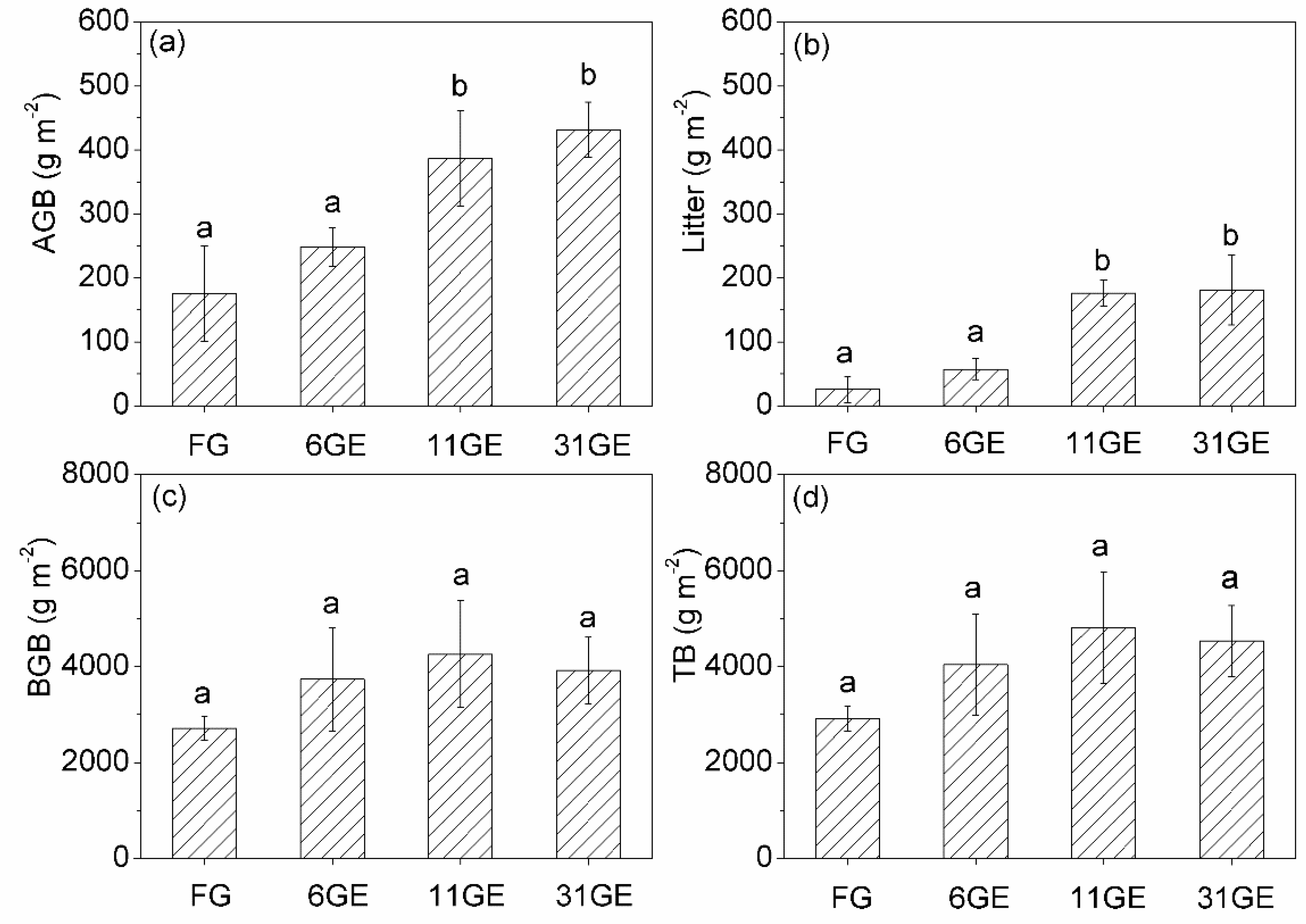
The ABG and litter generally increased from FG to 31 GE. The ABG increased from 175.53 g·m−2 in FG to 431.65 g·m−2 in 31 GE grassland. The litter increased from 25.54 g·m−2 in FG to 181.07 g·m−2 in 31 GE grassland. One-way ANOVA showed that the 6 GE grassland had greater ABG and litter compared to FG, but the difference between the two plots was not significant (p > 0.05). Both ABG and litter in 11 GE grassland were significantly higher than in FG (p < 0.05) and showed no significant difference with 11 GE (p > 0.05). The BGB and TB increased in 6,11 GE while showing a slight decrease in 31 GE (Figure 1).
Figure 1.
Dynamic variations in (a) above-ground biomass (AGB, g·m−2); (b) litter (Litter, g·m−2); (c) below-ground biomass (BGB, g·m−2) and (d) total biomass (TB, g·m−2) in plots with different numbers of enclosed years.
Figure 1.
Dynamic variations in (a) above-ground biomass (AGB, g·m−2); (b) litter (Litter, g·m−2); (c) below-ground biomass (BGB, g·m−2) and (d) total biomass (TB, g·m−2) in plots with different numbers of enclosed years.

The vegetation characteristics (i.e., cover, richness, DS, and SHDI) for the grassland totally increased during the process of recovery (Figure 2). These indexes in 6 GE did not differ significantly from those of FG (p > 0.05). However, the vegetation indexes in 11 GE and 31 GE were significantly higher than those in FG and 6 GE (p < 0.05). Additionally, no significant difference was found between 11 GE and 31 GE (p > 0.05).
Figure 2.
Dynamic variations in (a) cover (Cover, %); (b) species richness (R); (c) degree of succession (DS); and (d) the Shannon diversity index (SHDI) at varying numbers of years enclosed.
Figure 2.
Dynamic variations in (a) cover (Cover, %); (b) species richness (R); (c) degree of succession (DS); and (d) the Shannon diversity index (SHDI) at varying numbers of years enclosed.

3.2. Effect of Grazing Exclusion on Soil Organic Carbon
The SOC also increased from FG to 31 GE. The SOC for FG, 6 GE, 11 GE, and 31 GE amounted to 1.41, 1.74, 1.81, and 2.07 g·kg−1, respectively. The 11 GE grassland had a significantly greater SOC than FG (p < 0.05). Although the SOC in 31 GE was higher than that in 11 GE, there was no significant difference between the two plots (p > 0.05) (Figure 3).
Figure 3.
Dynamic variation in soil organic carbon (SOC, g·kg−1) at the surface soil layer (0–20 cm).
Figure 3.
Dynamic variation in soil organic carbon (SOC, g·kg−1) at the surface soil layer (0–20 cm).

3.3. Relationships between Vegetation Characteristics and the SOC
Correlation analysis showed significant positive correlations among AGB, litter, BGB, Cover, DS, and SOC. This result indicates a significant relationship between vegetation characteristics and SOC (Table 2). Interactions between vegetation and soil may be attributed to changes in vegetation and SOC during the restoration process.
Table 2.
Correlation coefficients of vegetation, biomass, and SOC.
| AGB | Litter | BGB | TB | SOC | Cover | DS | Richness | SHDI | |
|---|---|---|---|---|---|---|---|---|---|
| AGB | 1.000 | ||||||||
| Litter | 0.674 * | 1.000 | |||||||
| BGB | 0.401 | 0.453 | 1.000 | ||||||
| TB | 0.874 ** | 0.946 ** | 0.515 | 1.000 | |||||
| SOC | 0.882 ** | 0.735 ** | 0.545 | 0.871 ** | 1.000 | ||||
| Cover | 0.703 * | 0.895 ** | 0.337 | 0.885 ** | 0.700 * | 1.000 | |||
| DS | 0.672 * | 0.869 ** | 0.176 | 0.846 ** | 0.592 * | 0.961 ** | 1.000 | ||
| Richness | 0.400 | 0.727 ** | 0.170 | 0.641 * | 0.420 | 0.822 ** | 0.812 ** | 1.000 | |
| SHDI | 0.413 | 0.712 * | 0.170 | 0.637 * | 0.361 | 0.843 ** | 0.837 ** | 0.957 ** | 1.000 |
* Correlation significant at 0.05 level (two-tailed). ** Correlation significant at 0.01 level (two-tailed). AGB, above ground biomass; BGB, below ground biomass; TB, total biomass; SOC, soil organic carbon; DS, degree of succession; SHDI, Shannon diversity index.
4. Discussion
4.1. Effect of Grazing Exclusion on Vegetation Characteristics and SOC
Grazing exclusion has been reported to be an effective practice to restore degraded grassland, as vegetation characteristics and soil properties have been shown to improve under long-term grazing exclusion [26,27]. In this study, we selected the biomass, cover, richness, DS, and SHDI to examine the effect of long-term grazing exclusion on vegetation characteristics. The results indicated that these characteristics increased in the process of restoration, which resulted from an increase in seed germination and seed bank for annual and perennial species when livestock was excluded [27]. We found the mean SOC storage in FG to be 14.12 ± 0.17 g·kg−1, which is similar to the average SOC for the steppe in the Xilin River Basin, as reported by Wiesmeier et al. [28]. The SOC increased by 23% in our plots subjected to six years of exclusion, a higher percentage than the 14%–16% increase in SOC in plots subjected to three years of exclusion, as reported by Wiesmeier et al. [29], at the identical sites. The SOC increased up to 46% (comparing 31 GE to FG), similar to the findings of a previous study on 30-year grazing exclusion in the same study area [30]. Furthermore, the interactions between plants and the soil should be considered during the restoration succession process. The grazing process may have an effect on biomass and biomass-related soil properties such as SOC storage [31]. For one thing, organic materials of plants being returned to the soil led to faster SOC turnover via the accumulation of litter [32], and SOC improvement was caused by microorganisms’ decomposition of organic matter [15,32]. In this study, the SOC was shown to be significantly positively correlated with ABG, TB, litter, and Cover. Increases in the SOC were closely related to plant resource improvement. As a main factor of soil fertility, the SOC contributed to plant productivity. The SOC can increase plant growth by providing plants with appropriate nutrients [33]. Meanwhile, the maintenance of heterogeneous vegetation and associated topsoil structures is essential for the accumulation of SOC in semi-arid grassland ecosystems [34]. Increases in SOC resulted in decreased soil erosion by wind in this region due to increased vegetation cover, which enable nutrients to easily fix to the soil surface after livestock exclusion [35]. Another reason was that grazing cessation enhanced the soil aggregation as the physical protection of SOC [36]. The different species composition of the communities in different plots was also possibly related to variations in cover and biomass between different enclosure years [37,38].
4.2. Duration of Grazing Exclusion Required for Significant Improvement
It should be noted that both the vegetation characteristics and SOC were not significantly improved after only six years of grazing exclusion. Similarly, a previous study showed that five years of grazing exclusion could affect the soil properties in the same research area [10]. A favorable shift occurred after 11 years of enclosure in this grassland. The vegetation characteristics and SOC did not differ significantly between the 11 GE plot and the 31 GE plot. These findings indicate that at least a decade of grazing exclusion is required for favorable improvements in plant cover, productivity, biodiversity, and SOC in L. chinensis grassland in this region. This result is inconsistent with previous findings in other areas. For example, plant cover and biomass significantly increased in an area in the steppe in the Junggar Basin subjected to eight years of fencing [17]. Meanwhile, five years of fencing was shown to significantly increase plant density, diversity, and biomass, while nine years of fencing improved SOC in the desert of the Hexi Corridor, China [16]. In addition, a study investigating the changes in plant community composition and soil properties under long-term grazing exclusion suggested that both the vegetation and soil characteristics improved following 10–15 years of fencing in the Loess Plateau, China [39]. There are several reasons for variations in the effective duration of ecological shift in the restoration process in different grasslands. A first possible reason is related to varied climatic conditions, especially in terms of precipitation and air temperature, and the physical and chemical properties of the soil in different areas [13,40]. In addition, the species composition and vegetation type varied in the different grasslands studied, and their response to grazing exclusion differed [37,38], which could be another possible reason. Furthermore, variations in the intensity of grazing and the extent of degradation of the grassland ecosystem prior to grazing exclusion contributed to the variation in the duration of grazing exclusion required for significant improvement in grasslands.
4.3. Implications for Grassland Management
To restore the degraded L. chinensis grassland in northern China, several grazing exclusion projects were carried out in 1979, 1999 (GFG), and 2004 (RGLG) [38]. Our results suggest that vegetation characteristics and SOC improved considerably after 11 years of grazing exclusion. Clearly, the earliest management practices and GFG project resulted in remarkable ecological benefits during long-term grazing exclusion. However, grassland that was restored after RGLG projects under short-term grazing exclusion also demonstrated excellent potential with regard to productivity, biodiversity, and carbon sequestration.
In northern China, L. chinensis grassland provides basic and substantial production for local pastoralists. However, the grassland was degraded due to overgrazing. Previous studies have shown that degraded grassland has excellent potential for carbon storage but is very sensitive to grazing management [36]. Adequate grazing management may balance provisioning and regulating ecosystem services [41]. The tradeoff between ecosystem conservation and utilization should thus be taken into consideration by local grassland managers. After a certain number of years of fencing, appropriate management, such as rotational grazing and mowing, should be carried out. On the one hand, moderate grazing can increase the community stability and biodiversity. On the other hand, pastoralists have benefited directly from adding animals. Compared with the indefinite enclosure, valid management could improve the grassland utilization efficiency and sustainable development of the social-ecological system. Our results indicate that a stable state probably exists for vegetation and SOC under grazing exclusion for between 11 years and 31 years. Nevertheless, multi-year observations or studies of more plots with varying numbers of years enclosed should be conducted to determine the optimal grazing exclusion duration and the grazing exclusion time threshold in L. chinensis grassland in the future. Such research would provide valuable information about conservation and utilization that is useful for grassland management in this region.
5. Conclusions
This study investigates the effect of grazing exclusion on three L. chinensis grassland plots with representative numbers of years of grazing exclusion in northern China. The findings suggest that vegetation characteristics (cover, biomass, DS, and SHDI) and SOC increased under grazing exclusion. In particular, vegetation characteristics and SOC significantly improved after a decade of grazing exclusion. Long-term grazing exclusion thus appears to be an effective management practice for restoring the vegetation and SOC in L. chinensis grassland in this region. Our results indicate that vegetation characteristics and SOC did not differ significantly between the exclusion grasslands of 11 years and those of 31 years. Further studies with multi-year observation should be conducted to identify the optimal duration of grazing exclusion and the grazing exclusion time threshold in L. chinensis grassland. This study provides valuable insight into management strategies for sustainable development in L. chinensis grassland in this region.
Acknowledgments
This research was supported by the National Key Basic Research Program of China (No. 2014CB138803). We sincerely thank Jun Ma, Liheng Wu and Qinghuan Li for their fieldwork.
Author Contributions
Jiao Chen analyzed the data and wrote the paper. Haiping Tang designed the research and revised the manuscript. All authors have read and approved the final manuscript.
Conflicts of Interest
The authors declare no conflict of interest.
Abbreviations
The following abbreviations are used in this manuscript:
| AGB: | above ground biomass |
| BGB: | below ground biomass |
| DS: | degree of succession |
| SHDI: | Shannon diversity index |
| SOC: | soil organic carbon |
| TB: | total biomass |
References
- Loydi, A.; Zalba, S.M.; Distel, R.A. Vegetation change in response to grazing exclusion in montane grasslands, Argentina. Plant Ecol. Evol. 2012, 145, 313–322. [Google Scholar] [CrossRef]
- Lunt, I.D.; Eldridge, D.J.; Morgan, J.W.; Witt, G.B. A framework to predict the effects of livestock grazing and grazing exclusion on conservation values in natural ecosystems in Australia. Aust. J. Bot. 2007, 55, 401–415. [Google Scholar] [CrossRef]
- Mcsherry, M.E.; Ritchie, M.E. Effects of grazing on grassland soil carbon: A global review. Globl. Chang. Biol. 2013, 19, 1347–1357. [Google Scholar] [CrossRef] [PubMed]
- Akiyama, T.; Kawamura, K. Grassland degradation in China: Methods of monitoring, management and restoration. Grassland Sci. 2007, 53, 1–17. [Google Scholar] [CrossRef]
- Schoenbach, P.; Wan, H.; Gierus, M.; Bai, Y.; Mueller, K.; Lin, L.; Susenbeth, A.; Taube, F. Grassland responses to grazing: Effects of grazing intensity and management system in an Inner Mongolian steppe ecosystem. Plant Soil 2011, 340, 103–115. [Google Scholar] [CrossRef]
- Courtois, D.R.; Perryman, B.L.; Hussein, H.S. Vegetation change after 65 years of grazing and grazing exclusion. J. Range Manag. 2004, 57, 574–582. [Google Scholar] [CrossRef]
- Zhao, Y.; Peth, S.; Krummelbein, J.; Horn, R.; Wang, Z.Y.; Steffens, M.; Hoffmann, C.; Peng, X.H. Spatial variability of soil properties affected by grazing intensity in Inner Mongolia grassland. Ecol. Model. 2007, 205, 241–254. [Google Scholar] [CrossRef]
- Follett, R.F.; Reed, D.A. Soil carbon sequestration in grazing lands: Societal benefits and policy implications. Rangeland Ecol. Manag. 2010, 63, 4–15. [Google Scholar] [CrossRef]
- LenziGrillini, C.R.; Viskanic, P.; Mapesa, M. Effects of 20 years of grazing exclusion in an area of the Queen Elizabeth National Park, Uganda. Afr. J. Ecol. 1996, 34, 333–341. [Google Scholar] [CrossRef]
- Steffens, M.; Kolbl, A.; Totsche, K.U.; Kogel-Knabner, I. Grazing effects on soil chemical and physical properties in a semiarid steppe of Inner Mongolia (PR China). Geoderma 2008, 143, 63–72. [Google Scholar] [CrossRef]
- Zhang, C.; Xue, S.; Liu, G.-B.; Song, Z.-L. A comparison of soil qualities of different revegetation types in the Loess Plateau, China. Plant Soil 2011, 347, 163–178. [Google Scholar] [CrossRef]
- Deleglise, C.; Loucougaray, G.; Alard, D. Effects of grazing exclusion on the spatial variability of subalpine plant communities: A multiscale approach. Basic Appl. Ecol. 2011, 12, 609–619. [Google Scholar] [CrossRef]
- Hoshino, A.; Tamura, K.; Fujimaki, H.; Asano, M.; Ose, K.; Higashi, T. Effects of crop abandonment and grazing exclusion on available soil water and other soil properties in a semi-arid Mongolian grassland. Soil Tillage Res. 2009, 105, 228–235. [Google Scholar] [CrossRef]
- Cheng, J.; Wu, G.L.; Zhao, L.P.; Li, Y.; Li, W.; Cheng, J.M. Cumulative effects of 20-year exclusion of livestock grazing on above- and belowground biomass of typical steppe communities in arid areas of the Loess Plateau, China. Plant Soil Environ. 2011, 57, 40–44. [Google Scholar]
- Tanentzap, A.J.; Coomes, D.A. Carbon storage in terrestrial ecosystems: Do browsing and grazing herbivores matter? Biol. Rev. 2012, 87, 72–94. [Google Scholar] [CrossRef] [PubMed]
- Zhang, Y.; Zhao, W. Vegetation and soil property response of short-time fencing in temperate desert of the Hexi Corridor, northwestern China. Catena 2015, 133, 43–51. [Google Scholar] [CrossRef]
- Rong, Y.; Yuan, F.; Ma, L. Effectiveness of exclosures for restoring soils and vegetation degraded by overgrazing in the Junggar Basin, China. Grassland Sci. 2014, 60, 118–124. [Google Scholar] [CrossRef]
- Kang, L.; Han, X.G.; Zhang, Z.B.; Sun, O.J. Grassland ecosystems in China: Review of current knowledge and research advancement. Philos. Trans. R. Soc. B 2007, 362, 997–1008. [Google Scholar] [CrossRef] [PubMed]
- Bai, Y.; Wu, J.; Clark, C.M.; Naeem, S.; Pan, Q.; Huang, J.; Zhang, L.; Han, X. Tradeoffs and thresholds in the effects of nitrogen addition on biodiversity and ecosystem functioning: Evidence from Inner Mongolia grasslands. Globl. Chang. Biol. 2010, 16, 358–372. [Google Scholar] [CrossRef]
- Pikuła, D.; Rutkowska, A. Effect of leguminous crop and fertilization on soil organic carbon in 30-years field experiment. Plant Soil Environ. 2014, 60, 507–511. [Google Scholar]
- Liang, D.; Fu, B.; Lü, Y.; Liu, Y.; Gao, G.; Li, Y.; Li, Z. Effects of retired steepland afforestation on soil properties: A case study in the Loess Plateau of China. Acta Agric. Scand. B 2012, 62, 547–555. [Google Scholar] [CrossRef]
- Walker, L.R.; Wardle, D.A.; Bardgett, R.D.; Clarkson, B.D. The use of chronosequences in studies of ecological succession and soil development. J. Ecol. 2010, 98, 725–736. [Google Scholar] [CrossRef]
- Simpson, E.H. Measurement of diversity. Nature 1949, 163, 688–688. [Google Scholar] [CrossRef]
- Kitazawa, T.; Ohsawa, M. Patterns of species diversity in rural herbaceous communities under different management regimes, chiba, central japan. Biol. Conserv. 2002, 104, 239–249. [Google Scholar] [CrossRef]
- Bao, S.D. Soil and Agricultural Chemistry Analysis; Agriculture Publication: Beijing, China, 2000; pp. 355–356. [Google Scholar]
- Wang, C.Y.; He, N.P.; Zhang, J.J.; Lv, Y.L.; Wang, L. Long-term grazing exclusion improves the composition and stability of soil organic matter in Inner Mongolian grasslands. PLoS ONE 2015, 10. [Google Scholar] [CrossRef]
- Zhao, L.; Su, J.; Wu, G.; Gillet, F. Long-term effects of grazing exclusion on aboveground and belowground plant species diversity in a steppe of the Loess Plateau, China. Plant Ecol. Evol. 2011, 144, 313–320. [Google Scholar] [CrossRef]
- Wiesmeier, M.; Barthold, F.; Blank, B.; Kogel-Knabner, I. Digital mapping of soil organic matter stocks using random forest modeling in a semi-arid steppe ecosystem. Plant Soil 2011, 340, 7–24. [Google Scholar] [CrossRef]
- Wiesmeier, M.; Kreyling, O.; Steffens, M.; Schoenbach, P.; Wan, H.; Gierus, M.; Taube, F.; Kölbl, A.; Kögel-Knabner, I. Short-Term Degradation of Semiarid Grasslands—Results From a Controlled-Grazing Experiment in Northern China. J. Plant Nutr. Soil Sci. 2012, 175, 434–442. [Google Scholar] [CrossRef]
- Wiesmeier, M. Recovery of Degraded Steppe Soils of Northern China after Grazing Exclusion; Nova Science Publishers: New York, NY, USA, 2013; pp. 221–251. [Google Scholar]
- Kolbl, A.; Steffens, M.; Wiesmeier, M.; Hoffmann, C.; Funk, R.; Krummelbein, J.; Reszkowska, A.; Zhao, Y.; Peth, S.; Horn, R.; et al. Grazing changes topography-controlled topsoil properties and their interaction on different spatial scales in a semi-arid grassland of Inner Mongolia, P.R. China. Plant Soil 2011, 340, 35–58. [Google Scholar]
- Steffens, M.; Kölbl, A.; Kögel-Knabner, I. Alteration of soil organic matter pools and aggregation in semi-arid steppe topsoils as driven by organic matter input. European J. Soil Sci. 2009, 60, 198–212. [Google Scholar] [CrossRef]
- Qiu, L.; Wei, X.; Zhang, X.; Cheng, J. Ecosystem carbon and nitrogen accumulation after grazing exclusion in semiarid grassland. PLoS ONE 2013, 8. [Google Scholar] [CrossRef] [PubMed]
- Wiesmeier, M.; Steffens, M.; Kölbl, A.; Kögel-Knabner, I. Degradation and small-scale spatial homogenization of topsoils in intensively-grazed steppes of northern China. Soil Tillage Res. 2009, 104, 299–310. [Google Scholar] [CrossRef]
- Chen, Y.P.; Li, Y.Q.; Zhao, X.Y.; Awada, T.; Shang, W.; Han, J.J. Effects of grazing exclusion on soil properties and on ecosystem carbon and nitrogen storage in a sandy rangeland of Inner Mongolia, Northern China. Environ. Manag. 2012, 50, 622–632. [Google Scholar] [CrossRef] [PubMed]
- Wiesmeier, M.; Steffens, M.; Mueller, C.W.; Kolbl, A.; Reszkowska, A.; Peth, S.; Horn, R.; Kogel-Knabner, I. Aggregate stability and physical protection of soil organic carbon in semi-arid steppe soils. Eur. J. Soil Sci. 2012, 63, 22–31. [Google Scholar] [CrossRef]
- West, N.E.; Provenza, F.D.; Johnson, P.S.; Owens, M.K. Vegetation change after 13 years of livestock grazing exclusion on sagebrush semidesert in west central Utah. J. Range Manag. 1984, 37, 262–264. [Google Scholar] [CrossRef]
- Lu, X.; Freschet, G.T.; Kazakou, E.; Wang, Z.; Zhou, L.; Han, X. Contrasting responses in leaf nutrient-use strategies of two dominant grass species along a 30-yr temperate steppe grazing exclusion chronosequence. Plant Soil 2015, 387, 69–79. [Google Scholar] [CrossRef]
- Jiao, F.; Wen, Z.-M.; An, S.-S. Changes in soil properties across a chronosequence of vegetation restoration on the Loess Plateau of China. Catena 2011, 86, 110–116. [Google Scholar] [CrossRef]
- Fynn, R.W.S.; O'Connor, T.G. Effect of stocking rate and rainfall on rangeland dynamics and cattle performance in a semi-arid Savanna, South Africa. J. Appl. Ecol. 2000, 37, 491–507. [Google Scholar] [CrossRef]
- Onatibia, G.R.; Aguiar, M.R.; Semmartin, M. Are there any trade-offs between forage provision and the ecosystem service of C and N storage in arid rangelands? Ecol. Eng. 2015, 77, 26–32. [Google Scholar] [CrossRef]
© 2016 by the authors; licensee MDPI, Basel, Switzerland. This article is an open access article distributed under the terms and conditions of the Creative Commons by Attribution (CC-BY) license (http://creativecommons.org/licenses/by/4.0/).