Comparative Exergoeconomic Analyses of Gas Turbine Steam Injection Cycles with and without Fogging Inlet Cooling
Abstract
:1. Introduction
2. Descriptions of Cycles and Analyses
- •
- The STIG cycle (Figure 1a) is a simple gas turbine only with steam injection. Inlet air with ambient conditions pressure (P1), temperature (T1) and relative humidity (w1) enters the compressor (characterized by polytropic efficiency) which raises the pressure of the air. The compressed air enters the combustion chamber where it is used for the combustion of fuel (CH4). In order to limit the maximum temperature of the product gases, which occurs at the turbine inlet temperature (TIT), more than stoichiometric air is used, where the amount of excess air is identified by the excess air factor. Next, the hot gases expand in the turbine to produce mechanical power. The gases then enter the heat recovery steam generator (HRSG), where superheated vapor is produced and then injected into the combustion chamber.
- •
- The proposed cycle in this study that provides overspray and steam injection simultaneously (the FSTIG cycle) is shown in Figure 1b. Inlet air with ambient pressure (P1), temperature (T1), and relative humidity (w1) enters the fogging cooler. There, the spraying of water into the air flow raises its relative humidity to 100%, while the air temperature reduces to the corresponding wet-bulb temperature. A mixing process, presumed adiabatic, occurs in the fogging cooler. The rest of the cycle is the same as the STIG cycle.

3. Thermodynamic and Exergoeconomic Analyses
3.1. Energy Analyses of FSTIG Components
3.1.1. Fog Cooler
3.1.2. Air Compressor
3.1.3. Combustion Chamber
3.1.4. Turbine
3.1.5. HRSG
| Component | Exergy of Fuel | Exergy of Product | Cost Balance and Auxilary Equations | 
|---|---|---|---|
| Com | |||
| Turb | |||
| CC | |||
| FC | |||
| HRSG | 
4. Results and Discussion
4.1. Validation
| Parameter | Reported [10] | Computed Here | 
|---|---|---|
| CIT (°C) | 30.00 | 30.08 | 
| CDT (°C) | 293 | 286.90 | 
| (MW) | 133 | 136 | 
| TOT (°C) | 553 | 577 | 
| HR (kJ/kWh) | 10,609 | 10,653 | 
4.2. Thermodynamic Analysis of FSTIG and STIG Cycles





4.3. Exergoeconomic Analyses of FSTIG and STIG Cycles
| Parameter | FSTIG: rc = 21.48, TIT = 1500 K | STIG: rc = 20.11, TIT = 1500 K | SGT: rc = 19.69, TIT = 1500 K | 
|---|---|---|---|
| Natural gas flow rate (kg/s) | 0.5433 | 0.5210 | 0.3628 | 
| Net power (kW) | 13163 | 12511 | 6230 | 
| Energy efficiency (%) | 48.60 | 48.18 | 34.32 | 
| Exergy efficiency (%) | 46.90 | 46.49 | 33.12 | 
| Exergy loss rate (kW) | 562.5 | 519.3 | 5347 | 
| Cost of exergy loss ($/h) | 18.90 | 17.45 | 179.70 | 
| Total purchase equipment cost (106 $) | 11.94 | 11.22 | 8.772 | 
| Relative cost difference (%) | 93.31 | 93.62 | 80.31 | 
| Exergoeconomic factor (%) | 44.14 | 43.58 | 37.73 | 
| Gas turbine product cost ($/GJ) | 16.56 | 16.62 | 15.51 | 
| Total unit product cost ($/GJ) | 18.04 | 18.07 | 16.83 | 






5. Conclusions
- •
- Increasing the compressor pressure ratio in the cycle with steam injection, whether or not fog cooling is applied, increases the exergy efficiency of the combustor. In all cycles, increases in the exergy efficiency of the combustor are observed when ambient temperature rises.
- •
- The combustor exergy efficiency is highest for the steam injection plant, next highest for the fogging steam injection plant, and lowest for the simple gas turbine.
- •
- The energy and exergy efficiencies respectively of the FSTIG plant are about 0.5% and 0.4% higher than those of the STIG plant, and 14% and 13% higher than those of the SGT plant.
- •
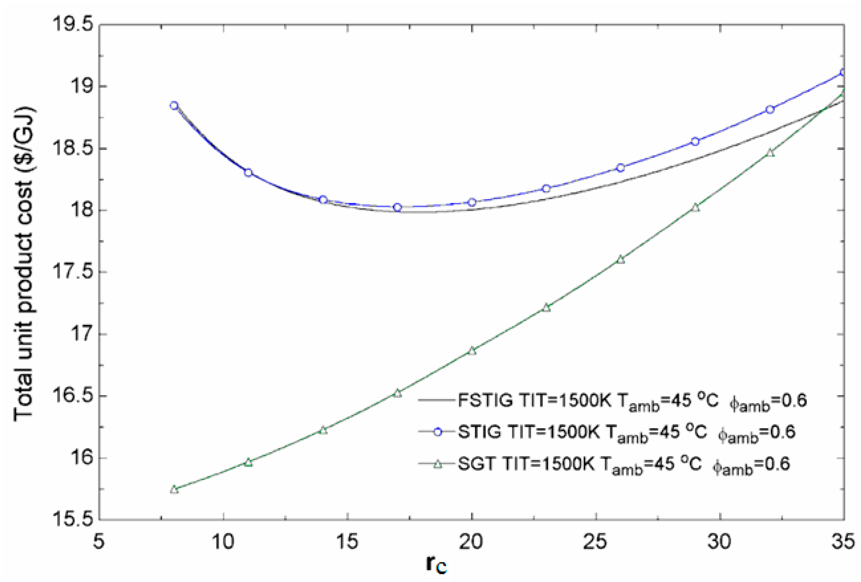
- Increasing the gas turbine inlet temperature reduces the total unit product cost for the three configurations considered. For the FSTIG plant, however, as the TIT increases the exergoeconomic decreases to a point and then increases. The variation in total unit product cost in the FSTIG plant, due to the change in overspray, is almost negligible.
- •
- The total unit product cost is higher for the STIG plant than for the FSTIG or SGT plants. The SGT plant exhibits a lower relative cost difference, total unit product cost, exergoeconomic factor and net power output.
- •
- The exergy loss rate and its cost are highest for SGT plant and next highest for the FSTIG plant.
- •
- The FSTIG exhibits the highest net power output and energy and exergy efficiencies. However, exergy loss rate is higher for this plant than for the steam injection plant without fog cooling.
- •
- For the components in the FSTIG cycle, the largest irreversibility rates are attributable to the fog cooler and the combustion chamber. In the latter case, the major causes of the irreversibility are heat transfer across large temperature differences and irreversible chemical reactions.
- •
- The energy and exergy efficiencies of the FSTIG are maximized at particular values of compressor pressure ratio. With increasing pressure ratio, the total unit product cost decreases to a point and then increases for the FSTIG and STIG plants but increases continually for the SGT plant.
- •
- Fog cooling is economically feasible since it reduces the relative cost difference and total unit product cost.
Author Contributions
Conflicts of Interest
Nomenclature
| ACC | Air cooled condenser | 
| c | Cost per exergy unit ($/GJ) | 
| CDT | Compressor discharge temperature (°C) | 
| CIT | Compressor inlet temperature (°C) | 
| CRF | Capital recovery factor (-) | 
| Cost rate ($/h) | |
| Molar specific heat at constant pressure (kJ/kmol·K) | |
| Exergy rate (kW) | |
| FA | Ratio of fuel mass to 20 kg/s inlet air mass | 
| FSTIG | Steam injection gas turbine cycle with inlet fogging cooler | 
| GT | Gas turbine | 
| ha | Specific enthalpy of dry air (kJ/kg) | 
| hf | Specific enthalpy of water injected into air (kJ/kg) | 
| hv | Specific enthalpies of vapor (kJ/kg) | 
| HR | Heat rate (kJ/kWh) | 
| ir | Interest rate | 
| LHV | Lower heating value (kJ/kg.K) | 
| Mass flow rate of dry air (kg/s) | |
| Mass flow rate of the sprayed water in fogging cooler (kg/s) | |
| Mass flow rate of steam at location i (kg/s) | |
| Mass flow rate of steam injected into combustion chamber (kg/s) | |
| Mass flow rate of unevaporated water in fogging cooler (kg/s) | |
| M | Molecular mass (kg) | 
| ns | Molar quantity of steam (kmole) | 
| OS | Overspray | 
| P | Pressure (kPa) | 
| Heat transfer rate (kW) | |
| Universal gas constant (kJ/kmol.K) | |
| s | Entropy (kJ/kg) | 
| SGT | Simple gas turbine cycle without fogging system  | 
| STIG | Simple steam injection gas turbine cycle | 
| T | Temperature (K) | 
| TIT | Turbine inlet temperature (K) | 
| TOT | Turbine outlet temperature (K) | 
| w | Specific humidity | 
| Molar specific humidity per 1 mole of dry air at point i | |
| Com | Power consumption of compressor (kW) | 
| Turb | Outlet power of turbine (kW) | 
| X | Ratio of injected steam from heat recovery steam generator to 20 kg/s inlet air mass | 
| Z | Investment cost of components ($) | 
| Investment cost rate of components ($/h) | 
Greek Letters
| τ | Annual plant operation hours | 
| Fixed operation and maintenance cost | |
| Variable operation and maintenance cost | |
| All the other operation and maintenance costs | |
| Exergoeconomic factor (-) | |
| Relative cost difference (-) | |
| Excess air fraction (-) | |
| Exergy efficiency (-) | |
| Boiler efficiency (-) | |
| Combustion chamber efficiency (-) | |
| Compressor polytropic efficiency (-) | |
| Turbine polytropic efficiency (-) | 
Subscripts
| a | Air | 
| B | Boiler | 
| CC | Combustion chamber | 
| CI | Capital investment | 
| Com | Compressor | 
| D | Destruction | 
| F | Fuel | 
| FC | Fog cooler | 
| HRSG | Heat recovery steam generator  | 
| i | State point | 
| in | Input | 
| out | Output | 
| L | Loss | 
| m | Number of hydrogen atoms in hydrocarbon fuel (CnHm) | 
| n | Number of carbon atoms in hydrocarbon fuel (CnHm) | 
| OM | Operation and maintenance | 
| P | Product | 
| pt | Polytropic | 
| S | Steam | 
| Turb | Turbine | 
| W | Water | 
Appendix: Cost Equations for Components [25,26,27,28]
Air compressor
Combustion chamber
Gas turbine
HRSG
Pump
References
- Caresana, F.; Pelagalli, L.; Comodi, G.; Renzi, M. Microturbogas cogeneration systems for distributed generation: Effects of ambient temperature on global performance and components’ behavior. Appl. Energy 2014, 124, 17–27. [Google Scholar] [CrossRef]
- Al-Ibrahim, A.M.; Varnham, A. A review of inlet air-cooling technologies for enhancing the performance of combustion turbines in Saudi Arabia. Appl. Therm. Eng. 2010, 30, 1879–1888. [Google Scholar] [CrossRef]
- Bassily, A.M. Performance improvements of the intercooled reheat recuperated gas-turbine cycle using absorption inlet-cooling and evaporative after-cooling. Appl. Energy 2004, 77, 249–272. [Google Scholar] [CrossRef]
- Renzi, M.; Caresana, F.; Pelagalli, L.; Comodi, G. Enhancing micro gas turbine performance through fogging technique: Experimental analysis. Appl. Energy 2015, 135, 165–173. [Google Scholar] [CrossRef]
- Mahto, D.; Pal, S. Thermodynamics and thermo-economic analysis of simple combined cycle with inlet fogging. Appl. Therm. Eng. 2013, 51, 413–424. [Google Scholar] [CrossRef]
- Ehyaei, M.A.; Mozafari, A.; Alibiglou, M.H. Exergy, economic and environmental (3E) analysis of inlet fogging for gas turbine power plant. Energy 2011, 36, 6851–6861. [Google Scholar] [CrossRef]
- Hosseini, R.; Beshkani, A.; Soltani, M. Performance improvement of gas turbines of Fars (Iran) combined cycle power plant by intake air cooling using a media evaporative cooler. Energy Convers. Manag. 2007, 48, 1055–1064. [Google Scholar] [CrossRef]
- Chacartegui, R.; Jiménez-Espadafor, F.; Sánchez, D.; Sánchez, T. Analysis of combustion turbine inlet air cooling systems applied to an operating cogeneration power plant. Energy Convers. Manag. 2008, 49, 2130–2141. [Google Scholar] [CrossRef]
- Yang, C.; Yang, Z.; Cai, R. Analytical method for evaluation of gas turbine inlet air cooling in combined cycle power plant. Appl. Energy 2009, 86, 848–856. [Google Scholar] [CrossRef]
- Sanaye, S.; Tahani, M. Analysis of gas turbine operating parameters with inlet fogging and wet compression processes. Appl. Therm. Eng. 2010, 30, 234–244. [Google Scholar] [CrossRef]
- Bartolini, C.M.; Caresana, F.; Comodi, G.; Pelagalli, L.; Renzi, M.; Vagni, S. Application of artificial neural networks to micro gas turbines. Energy Convers. Manag. 2011, 52, 781–788. [Google Scholar] [CrossRef]
- Caresana, F.; Comodi, G.; Pelagalli, L.; Renzi, M.; Vagni, S. Use of a test-bed to study the performance of micro gas turbines for cogeneration applications. Appl. Therm. Eng. 2011, 31, 3552–3558. [Google Scholar] [CrossRef]
- Kim, H.; Ko, H.; Perez-Blanco, H. Exergy analysis of gas-turbine systems with high fogging compression. Int. J. Exergy 2011, 8, 16–32. [Google Scholar] [CrossRef]
- Mohapatra, A.K.; Nit, S. Sanjay Comparative analysis of inlet air cooling techniques integrated to cooled gas turbine plant. J. Energy Inst. 2015, 88, 344–358. [Google Scholar] [CrossRef]
- American Society of Mechanical Engineers (ASME). Air Cooled Heat Exchangers; ASME PTC.30; ASME: New York, NY, USA, 1991. [Google Scholar]
- Kayadelen, H.K.; Yasin, U. Performance and environment as objectives in multi-criterion optimization of steam injected gas turbine cycles. Appl. Therm. Eng. 2014, 71, 184–196. [Google Scholar] [CrossRef]
- Kim, H.; Perez-Blanco, H. Potential of regenerative gas-turbine systems with high fogging compression. Appl. Energy 2007, 84, 16–28. [Google Scholar] [CrossRef]
- Athari, H.; Soltani, S.; Bölükbaşi, A.; Rosen, M.A.; Morosuk, T. Comparative exergoeconomic analyses of the integration of biomass gasification and a gas turbine power plant with and without fogging inlet cooling. Renew. Energy 2015, 76, 394–400. [Google Scholar] [CrossRef]
- Rahman Khan, J.; Wang, T. Fog and Overspray Cooling for Gas Turbine Systems with Low Calorific Value Fuels. In Proceedings of GT2006ASME Turbo Expo 2006: Power for Land, Sea and Air, Barcelona, Spain, 8–11 May 2006.
- Petrakopoulou, F.; Boyano, A.; Cabrera, M.; Tsatsaronis, G. Exergoeconomic and exergoenvironmental analyses of a combined cycle power plant with chemical looping technology. Int. J. Greenh. Gas Control 2011, 5, 475–482. [Google Scholar] [CrossRef]
- Soltani, S.; Mahmoudi, S.M.S.; Yari, M.; Rosen, M.A. Thermodynamic analyses of an externally fired gas turbine combined cycle integrated with a biomass gasification plant. Energy Convers. Manag. 2013, 70, 107–115. [Google Scholar] [CrossRef]
- Moran, M.J.; Shapiro, H.N.; Boettner, D.D.; Bailey, M.B. Fundamentals of Engineering Thermodynamics, 7th ed.; Wiley: New York, NY, USA, 2011. [Google Scholar]
- Dincer, I.; Rosen, M.A. Exergy: Energy, Environment and Sustainable Development, 2nd ed.; Elsevier: Oxford, UK, 2013. [Google Scholar]
- Kotas, T.J. The Exergy Method of Energy Plant. Analysis; Butterworths: London, UK, 1985. [Google Scholar]
- Bejan, A.; Tsatsaronis, G.; Moran, M. Energy Design and Optimization; Wiley: New York, NY, USA, 1996. [Google Scholar]
- Soltani, S.; Mahmoudi, S.M.S.; Yari, M.; Morosuk, T.; Rosen, M.A.; Zare, V. A comparative exergoeconomic analysis of two biomass and co-firing combined power plants. Energy Convers. Manag. 2013, 76, 83–91. [Google Scholar] [CrossRef]
- Baghernejad, A.; Yaghoubi, M. Exergoeconomic analysis and optimization of an Integrated Solar Combined Cycle System (ISCCS) using genetic algorithm. Energy Convers. Manag. 2011, 52, 2193–2203. [Google Scholar] [CrossRef]
- Roosen, P.; Uhlenbruck, S.; Lucas, K. Pareto optimization of a combined cycle power system as a decision support tool for trading off investment vs. operating costs. Int. J. Therm. Sci. 2003, 42, 553–560. [Google Scholar] [CrossRef]
- Vieira, L.S.; Donatelli, J.L.; Cruz, M.E. Exergoeconomic improvement of a complex cogeneration system integrated with a professional process simulator. Energy Convers. Manag. 2009, 50, 1955–1967. [Google Scholar] [CrossRef]
© 2015 by the authors; licensee MDPI, Basel, Switzerland. This article is an open access article distributed under the terms and conditions of the Creative Commons Attribution license (http://creativecommons.org/licenses/by/4.0/).
Share and Cite
Athari, H.; Soltani, S.; Rosen, M.A.; Mahmoudi, S.M.S.; Morosuk, T. Comparative Exergoeconomic Analyses of Gas Turbine Steam Injection Cycles with and without Fogging Inlet Cooling. Sustainability 2015, 7, 12236-12257. https://doi.org/10.3390/su70912236
Athari H, Soltani S, Rosen MA, Mahmoudi SMS, Morosuk T. Comparative Exergoeconomic Analyses of Gas Turbine Steam Injection Cycles with and without Fogging Inlet Cooling. Sustainability. 2015; 7(9):12236-12257. https://doi.org/10.3390/su70912236
Chicago/Turabian StyleAthari, Hassan, Saeed Soltani, Marc A. Rosen, Seyed Mohammad Seyed Mahmoudi, and Tatiana Morosuk. 2015. "Comparative Exergoeconomic Analyses of Gas Turbine Steam Injection Cycles with and without Fogging Inlet Cooling" Sustainability 7, no. 9: 12236-12257. https://doi.org/10.3390/su70912236
APA StyleAthari, H., Soltani, S., Rosen, M. A., Mahmoudi, S. M. S., & Morosuk, T. (2015). Comparative Exergoeconomic Analyses of Gas Turbine Steam Injection Cycles with and without Fogging Inlet Cooling. Sustainability, 7(9), 12236-12257. https://doi.org/10.3390/su70912236
 
         
                                                


 
       