FEM Analysis of Fluid-Structure Interaction in Thermal Heavy Oil Recovery Operations
Abstract
:1. Introduction
2. Fluid-Structure Interaction of Steam and Rock
- (1)
- When injected into the reservoir, the steam exceeds the overburden load and is subjected to the horizontal stress effect. If the steam pressure increases in the exploitation process, the oil-bearing reservoir would generate extruding deformation because of the effect of stress, and then the pore space would get smaller, thereby causing the crude oil to flow out from the reservoir. In fact, the pressures that the crude oil burdens in all directions are equal to each other. The reservoir pressures in the vertical and the horizontal directions would decrease at the same level if the steam injection was stopped; therefore, thermal recovery by steam injection would cause compression deformation in the horizontal direction. Thus, reservoir deformation may also influence and affect the oil movement underground.
- (2)
- Because of the compression in the oil reservoir, the porosity may be reduced and then the hydraulic conductivity would decline, the flow resistance would increase and the current velocity would decrease. However, the decrease of current velocity inhibits the flow rate of steam pressure, which in turn prevents the further compression of pore or fracture.
- (3)
- Steam has an impact on the stress–strain constitutive relationship of rock mass [24].
- (4)
- Fluid seepage flow equations [25].
- K is the hydraulic conductivity in md,
- is the vertical effective stress for rock mass in md,
- p is the fluid pressure, and
- A, B, a1, b1 is the rock material constant greater than zero, respectively.
3. Model Building and Solution
3.1. Model Building
- (1)
- The coupled system consists of solid and fluid;
- (2)
- Interstitial fluid is completely filled within the rock and obeys the Darcy’s law;
- (3)
- The parameters of the reservoir do not affect each other and stay constant;
- (4)
- Transient analysis and large displacement assumptions were set in the coupled model;
- (5)
- The constitutive relationship of materials was based on previous test results and the constitutive relationships of material tests.


| Material Type | Density (kg/m3) | Viscosity (Pa·s) | Thermal Conductivity (J/m·s·°C) | Thermal Capacity (J/m3·°C) | Modulus of Elasticity (MPa) | Poisson Ratio | Thermal Dilation Coefficient |
|---|---|---|---|---|---|---|---|
| Stratum 1 | 2570 | 0.0002 | 5.5 | 800 | 4000 | 0.18 | 2.5 × 10−5 |
| Stratum 2 | 2800 | 0.0003 | 6.0 | 1000 | 5000 | 0.2 | 2 × 10−5 |
| Stratum 3 | 2940 | 0.0002 | 7.5 | 900 | 22,000 | 0.3 | 1.9 × 10−5 |
| Steam (250 °C, 12 MPa) | 808 | 0.00011 | 6.0 | 4200 | / | / | 3 × 10−5 |
| Steam (320 °C, 10 MPa) | 52 | 0.000002 | 6.0 | 4200 | / | / | 3 × 10−5 |
| Steam (320 °C, 15 MPa) | 679 | 0.000085 | 6.0 | 4200 | / | / | 3 × 10−5 |
| Steam (320 °C, 12 MPa) | 670 | 0.00005 | 6.0 | 4200 | / | / | 3 × 10−5 |
| Water | 1000 | 0.001 | 6.0 | 4200 | / | / | 3 × 10−5 |
3.2. Coupling Results



4. Analysis and Discussion of Results
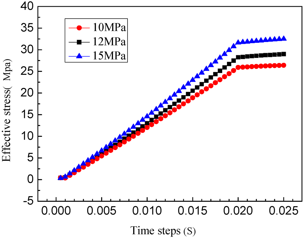
4.1. Influence of Steam Pressure on Coupled Creep



4.2. Influence of Steam Injection Temperature Stress on Coupled Creep
- (1)
- Energy transfer is due to the movement of fluid injection.
- (2)
- Heat conduction is induced from the high temperature region to the low temperature one in the reservoir.
- (3)
- Heat convection between the original fluid and the injection fluid is due to the heterogeneity of the reservoir.



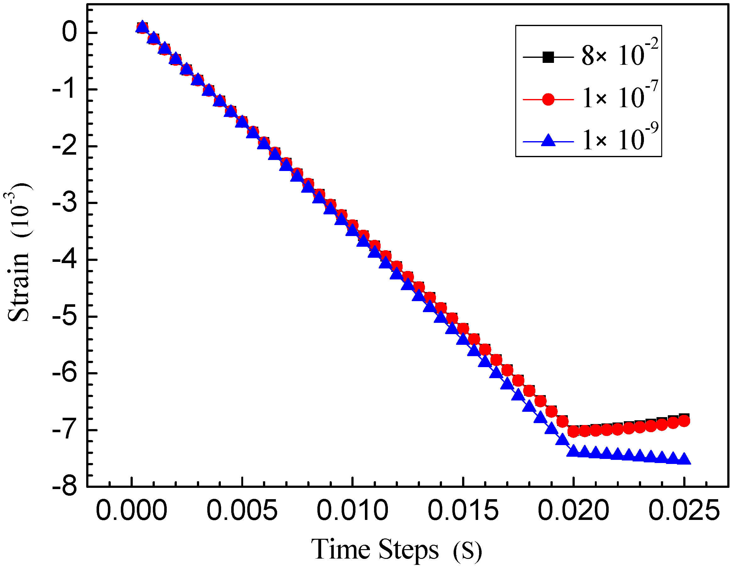
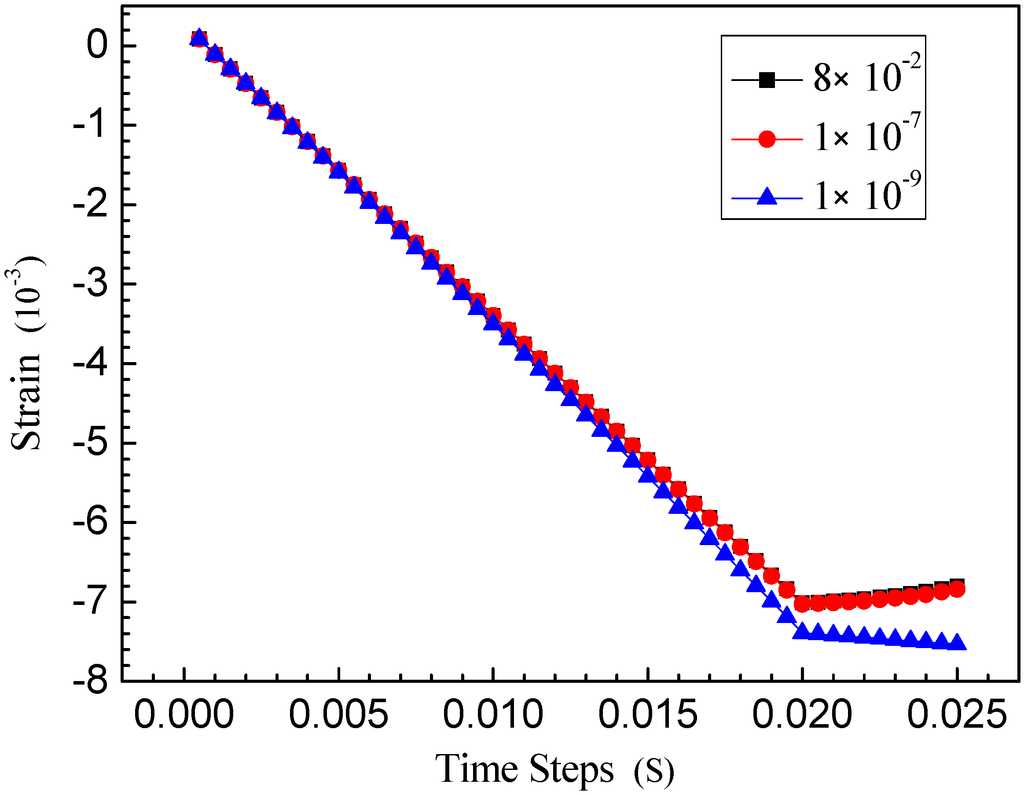
4.3. Influence of Hydraulic Conductivity on Coupled Creep



5. Conclusions
- (1)
- Steam injection at different pressures significantly impact stratum creep. In this model, according to the actual injection case in Jin.25 Block, coupling results analyses at different steam injection pressures are as follows: the formation creep displacement, the effective stress and the strain increased significantly with the incremental increases in steam injection pressure. Therefore, it is important to reasonably control the steam injection pressure while enhancing oil recovery, and when increasing the injection pressure, it is proposed that the steam injection pressure should not be more than 14 MPa.
- (2)
- Engineering practice has indicated that injection temperature could affect casing damage, but there are not enough data to prove whether the damage is related directly to the formation of creep or not. Nevertheless, the analysis results show that the influence of temperature on stratum creep displacement is very small while it has a large influence on effective stress and strain. Then, it can be inferred that the main reason for temperature impacting casings is closely related with the change in stratum creep stress, disregarding the thermal sensitivity of casing itself. Therefore, it is impractical to not consider the coupling effect of temperature in thermal recovery.
- (3)
- Hydraulic conductivities in different rocks are not the same; the impact on stratum creep mainly relies on the magnitude range of hydraulic conductivity. In general, creep deformation should be paid particular attention to when the hydraulic conductivity magnitude is above 1 × 10−9 m/s. In injection process, injection pressure or injection temperature can be significantly reduced to avoid the excessive stratum creep.
Acknowledgments
Author Contributions
Conflicts of Interest
References
- Liu, H.X.; Zhang, P.; Gai, F. Study on Creep RULE of Salt Rock in Sichuan Region. Chin. J. Rock Mech. Eng. 2002, 21, 1290–1294. [Google Scholar]
- Savage, W.Z.; Braddock, W.A. A model for hydrostatic consolidation of Pierre shale. Int. J. Rock Mech. Min. Sci. Geomech. Abstr. 1991, 28, 345–354. [Google Scholar] [CrossRef]
- Yin, S.; Towler, B.F.; Dusseault, M.B. Numerical experiments on oil sands shear dilation and permeability enhancement in a multiphase thermoporoelastoplasticity framework. J. Pet. Sci. Eng. 2009, 69, 219–226. [Google Scholar] [CrossRef]
- Shafiei, A.; Dusseault, M.B. Geomechanics of thermal viscous oil production in sandstones. J. Pet. Sci. Eng. 2013, 103, 121–139. [Google Scholar] [CrossRef]
- Li, Z.F.; Zhang, Y.G.; Yang, X.J. Mechanics model for interaction between creep formation and oil well casing. Acta Pet. Sin. 2009, 30, 129–131. [Google Scholar]
- Wang, L.J. Study on Casing Loads in Creep Stratum. Master’s Thesis, China University of Petroleum, Beijing, China, 2007. [Google Scholar]
- Yang, H.L.; Chen, M.; Jin, Y.; Zhang, G.Q. Analysis of casing equivalent collapse resistance in creep formations. J. China Univ. Pet. 2006, 30, 94–97. [Google Scholar]
- Xu, Z.H.; Xu, X.H. The Fluid-Sold Coupled Flowing through Porous Media in Mining Engineering. China Mining Mag. 1996, 5, 53–60. [Google Scholar]
- Liu, J.J.; Liu, X.G.; Hu, Y.R.; Zhang, S.Z. Study of Fluid-Solid Coupling Flow in Low Permeable Oil Reservoir. Chin. J. Rock Mech. Eng. 2002, 21, 46–51. [Google Scholar]
- Liu, J.J.; Yu, X.B. Stress analysis on the combination of casing-cement ring-surrounding rock considering fluid-solid coupling. Electr. J. Geotech. Eng. 2012, 17, 1863–1873. [Google Scholar]
- Collins, P.M. Geomechanical effects on the SAGD process. SPE Reservoir Eval. Eng. 2007, 10, 367–375. [Google Scholar] [CrossRef]
- Li, L.; Holt, R.M. Simulation of flow in sandstone with fluid coupled particle model. In Proceedings of DC Rocks 2001, the 38th US Symposium on Rock Mechanics (USRMS), Washington, DC, USA, 7–10 July 2001.
- Azad, A.; Chalaturnyk, R.J. Geomechanical Coupling Simulation in SAGD Process; A Linear Geometry Mode; University of Alberta: Edmonton, AB, Canada, 2009; pp. 9–14. [Google Scholar]
- Rutqvist, J.; Wu, Y.S.; Tsang, C.F.; Bodvarsson, G. A modeling approach for analysis of coupled multiphase fluid flow, heat transfer, and deformation in fractured porous rock. Int. J. Rock Mech. Mining Sci. 2002, 39, 429–442. [Google Scholar] [CrossRef]
- Tran, D.; Settari, A.; Nghiem, L. New iterative coupling between a reservoir simulator and a geomechanics module. SPE J. 2004, 9, 362–369. [Google Scholar] [CrossRef]
- Dusseault, M.B. Coupled processes and petroleum geomechanics. Elsevier Geo-Eng. Book Series 2004, 2, 49–62. [Google Scholar]
- Cai, J.; Huai, X. Study on fluid–solid coupling heat transfer in fractal porous medium by lattice Boltzmann method. Appl. Therm. Eng. 2010, 30, 715–723. [Google Scholar] [CrossRef]
- Zhou, Z.J. Theory and Application Research of Fluid-Solid Coupling Seepage in Low Permeability Reservoir; Daqing Petroleum Institute: Daqing, China, 2003. [Google Scholar]
- Li, S.C.; Chen, Z.Q.; Miao, X.X. Bifurcation of fluid-solid coupling flow in broken rock. J. China Coal 2008, 33, 754–759. [Google Scholar]
- Hamid, R.G.; Lewis, R.W. A Finite element double porosity model for heterogeneous deformable porous media. Int. J. Numer. Anal. Meth. Geomech. 1996, 20, 831–844. [Google Scholar] [CrossRef]
- Masoud, B.; Abdolrahman, D.; Iraj, M. Simulation of Fluid-Structure and Fluid-Mediated Structure-Structure Interactions in Stokes Regime Using Immersed Boundary Method. Sci. World J. 2014, 2014. Article 782534. [Google Scholar]
- Nan, S.Q.; Ge, Y.; Gao, Q. Fluid solid coupling numerical simulation and parameter optimization of surrounding strata filling mining. Metal Mine 2011, 6, 20–24. [Google Scholar]
- Zhao, Y.S. Multi Field Coupling of Porous Medium Effect and Engineering Response; Science Press: Beijing, China, 2010. [Google Scholar]
- Fan, Z.H.; Zhang, C.S.; Xiao, H.B. Simulation analysis of deformation for unsaturated expansive soils based on fluid-solid coupling characteristics. J. Cent. South Univ. (Sci. Technol.) 2011, 42, 758–764. [Google Scholar]
- Liang, B.; Sun, K.; Xue, Q. Research of Fluid-solid Coupling in Ground Engineering. J. Liaoning Tech. Univ. 2001, 2, 129–134. [Google Scholar]
- Su, Y.L.; Xu, Y.T. Application of Fluid-solid Coupling Theory in Oil Production Engineering. Inner Mongolia Petrochem. 2009, 10, 17–18. [Google Scholar]
- Liu, J.J.; Feng, X.T. Advance of studies on thermo-hydro-mechanical interaction in oil reservoir in China. Rock Soil Mech. 2003, 24, 646–651. [Google Scholar]
© 2015 by the authors; licensee MDPI, Basel, Switzerland. This article is an open access article distributed under the terms and conditions of the Creative Commons Attribution license (http://creativecommons.org/licenses/by/4.0/).
Share and Cite
Yin, Y.; Liu, Y. FEM Analysis of Fluid-Structure Interaction in Thermal Heavy Oil Recovery Operations. Sustainability 2015, 7, 4035-4048. https://doi.org/10.3390/su7044035
Yin Y, Liu Y. FEM Analysis of Fluid-Structure Interaction in Thermal Heavy Oil Recovery Operations. Sustainability. 2015; 7(4):4035-4048. https://doi.org/10.3390/su7044035
Chicago/Turabian StyleYin, Yao, and Yiliang Liu. 2015. "FEM Analysis of Fluid-Structure Interaction in Thermal Heavy Oil Recovery Operations" Sustainability 7, no. 4: 4035-4048. https://doi.org/10.3390/su7044035
APA StyleYin, Y., & Liu, Y. (2015). FEM Analysis of Fluid-Structure Interaction in Thermal Heavy Oil Recovery Operations. Sustainability, 7(4), 4035-4048. https://doi.org/10.3390/su7044035
