Soil Quality Impacts of Current South American Agricultural Practices
Abstract
:1. Introduction
2. Regional Soil Resource Characteristics
3. Cropping System Changes

| Period | Area | Grain Yield | Total Production | ||||||
|---|---|---|---|---|---|---|---|---|---|
| Wheat | Maize | Soybean | Wheat | Maize | Soybean | Wheat | Maize | Soybean | |
| Argentina | |||||||||
| 1961–2013 | −0.6% | 1.1% | 20.5% | 1.3% | 2.5% | 1.8% | 0.6% | 3.6% | 22.7% |
| 1994–2013 | −2.5% | 3.5% | 6.3% | 0.8% | 2.2% | 1.1% | −1.7% | 5.8% | 7.4% |
| Bolivia | |||||||||
| 1961–2013 | 1.7% | 1.4% | 16.9% | 1.3% | 1.3% | 1.3% | 3.1% | 2.7% | 18.4% |
| 1994–2013 | 3.1% | 2.3% | 7.1% | 2.0% | 1.5% | −0.8% | 5.1% | 3.9% | 6.2% |
| Southern Brazil (PR-SC-RS)* | |||||||||
| 1961–2013 | 1.8% | 5.0% | 2.6% | 3.2% | 3.3% | 1.2% | 5.0% | 8.4% | 3.8% |
| 1994–2013 | 5.0% | −1.7% | 3.4% | 3.3% | 3.1% | 1.0% | 8.5% | 1.4% | 4.5% |
| Paraguay | |||||||||
| 1961–2013 | 8.3% | 4.7% | 15.8% | 2.0% | 2.3% | 1.1% | 10.5% | 7.1% | 17.1% |
| 1994–2013 | 6.0% | 8.1% | 7.7% | 3.9% | 3.2% | 0.7% | 10.1% | 11.6% | 8.4% |
| Uruguay | |||||||||
| 1961–2013 | 0.6% | −1.6% | 14.3% | 2.1% | 3.8% | 1.9% | 2.7% | 2.2% | 16.4% |
| 1994–2013 | 5.9% | 4.1% | 26.4% | 0.0% | 6.4% | 2.9% | 5.9% | 10.8% | 30.1% |
| Total | |||||||||
| 1961–2013 | 0.3% | 2.0% | 5.0% | 1.4% | 2.5% | 0.8% | 1.8% | 4.6% | 5.9% |
| 1994–2013 | 0.3% | 1.0% | 5.5% | 0.9% | 2.4% | 0.8% | 1.2% | 3.4% | 6.3% |
| Country | Area under No-Tillage (ha) 2008/2009 | Percentage of Total Cropped Area |
|---|---|---|
| Brazil | 25,502,000 | 58 |
| Argentina | 25,553,000 | 70 |
| Paraguay | 2,400,000 | 90 |
| Bolivia | 706,000 | 72 |
| Uruguay | 655,100 | 82 |



4. Soil Quality Impact of Agricultural Expansion
| Zone | Soil | YOA | Depth (m) | AS | SOM | BD | Soil pH | Soil pH | Reference |
|---|---|---|---|---|---|---|---|---|---|
| % Relative to Pristine Conditions | Pristine | Cultivated | |||||||
| Extra- pampas | O | >20 | 0–0.1 | - | 59 | 143 | - | - | [32] |
| Extra-pampas | O | >20 | 0.1–0.2 | - | 83 | 126 | - | - | [32] |
| Extra-pampas | O | >20 | 0.2–0.3 | - | 74 | 128 | - | - | [32] |
| Pampas center | M, Argiudolls | 12 | >0.08 | 37 | 57 | 121 | - | - | [33] |
| Pampas center | M, Argiudolls | 12 | 0–0.08 | 44 | 56 | 111 | - | - | [33] |
| Pampas center | M, Argiudolls | >20 | >0.08 | 64 | 83 | 103 | - | - | [33] |
| Pampas center | M, Argiudolls | >20 | 0–0.08 | 29 | 81 | 105 | - | - | [33] |
| Pampas center | M, Argiudolls | >20 | 0–0.2 | 37 | 73 | - | 6.3 | 5.9 | [34] |
| Pampas center | M, Argiudolls | >30 | 0–0.2 | 23 | 77 | - | 6.3 | 6.1 | [34] |
| Pampas center | M, Argiudolls, Natralbolls | <10 | >0.08 | 53 | 80 | 106 | - | - | [33] |
| Pampas center | M, Argiudolls, Natralbolls | <10 | 0–0.08 | 43 | 72 | 122 | - | - | [33] |
| Pampas center | M, Argiudolls | 24 | 0–0.20 | 26 | 65 | - | - | - | [35] |
| Pampas center | M, Haplustolls, Hapludolls | <10 | >0.08 | 42 | 73 | 102 | - | - | [33] |
| Pampas center | M, Haplustolls, Hapludolls | <10 | 0–0.08 | 39 | 68 | 110 | - | - | [33] |
| Pampas center | M, Haplustolls, Hapludolls | >40 | >0.08 | 37 | 75 | 112 | - | - | [33] |
| Pampas center | M, Haplustolls, Hapludolls | >40 | 0–0.08 | 39 | 71 | 118 | - | - | [33] |
| Pampas center, W | M, Hapludolls | 13 | 0–0.20 | 40 | 61 | - | - | - | [35] |
| Pampas N | I, Haplustept | 4–23 | 0–0.025 | 115 | 75 | - | 6.4 | 7.3 | [36] |
| Pampas NE | M, Argiudolls | >10 | 0–0.12 | 23 | 62 | 116 | 6.5 | 6.4 | [37] |
| Pampas NE | M, Argiudolls | >20 | 0–0.05 | 57 | 45 | 109 | - | - | [38,39] |
| Pampas NE | M, Argiudolls | >20 | 0.05–0.15 | 60 | 84 | 110 | - | - | [38,39] |
| Pampas NE | M, Argiudolls | >20 | 0.15–0.3 | - | 86 | - | - | - | [38,39] |
| Pampas NE | V, Hapluderts | >20 | 0–0.05 | 57 | 45 | 109 | - | - | [38,39] |
| Pampas NE | V, Hapluderts | >20 | 0.05–0.15 | 60 | 84 | 110 | - | - | [38,39] |
| Pampas NE | V, Hapluderts | >20 | 0.15–0.3 | - | 86 | - | - | - | [38,39] |
| Pampas NW | M, Haplustolls | 20 | 0–0.1 | 39 | 71 | 113 | 7.1 | 6.7 | [40] |
| Pampas NW | M, Haplustolls | 1–4 | 0–0.20 | 53 | 73 | 100 | 7.5 | 7.1 | [41] |
| Pampas NW | M, Haplustolls | 1–4 | 0.20–0.50 | 71 | 72 | 102 | 6.9 | 7.4 | [41] |
| Pampas NW | M, Haplustolls | 2–7 | 0–0.20 | 95 | 85 | 86 | 6.9 | 7.0 | [41] |
| Pampas NW | M, Haplustolls | 2–7 | 0.20–0.50 | 88 | 86 | 100 | 7.7 | 7.5 | [41] |
| Pampas NW | M, Haplustolls | 4–9 | 0–0.20 | 91 | 89 | 125 | 6.8 | 6.8 | [41] |
| Pampas NW | M, Haplustolls | 4–9 | 0.20–0.50 | 66 | 122 | 108 | 7.5 | 7.2 | [41] |
| Pampas NW | M, Haplustolls | 3 | 0–0.1 | 63 | 89 | 105 | 5.7 | 6.5 | [42] |
| Pampas NW | M, Haplustolls | >10 | 0–0.1 | 37 | 63 | 120 | 5.7 | 6.6 | [42] |
| Pampas SE | M, Argiudolls | 10 | 0–0.20 | 43 | 83 | - | - | - | [35] |
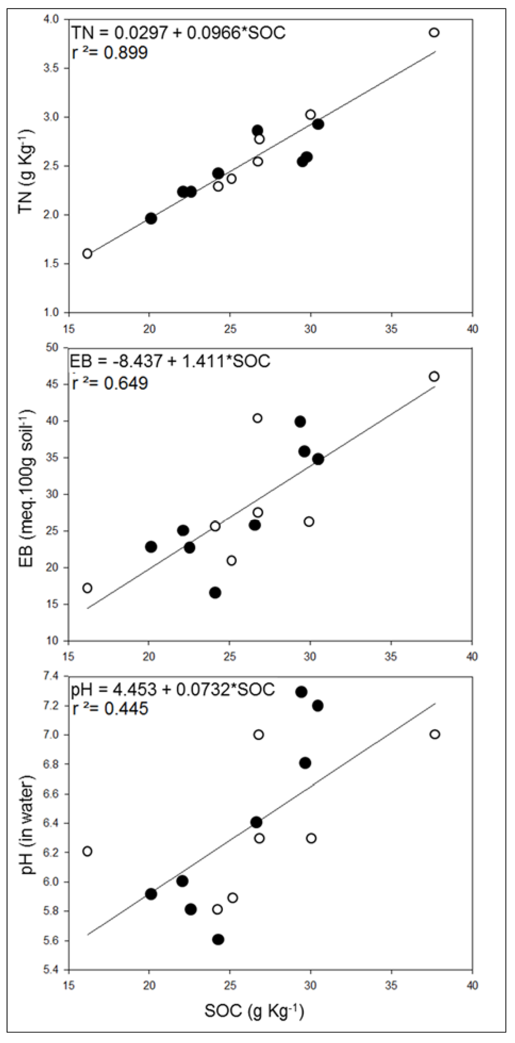
5. Soil Quality Evaluation


| Average | SOM | TN | PMN | EB | pH |
|---|---|---|---|---|---|
| Young | −16.4% | −25.0% | −21.6% | −6.0% | −5.7% |
| San Manuel | −14.0% | −22.7% | −12.8% | −14.4% | −8.6% |
| All | −15.1% | −23.7% | −16.9% | −10.5% | −7.3% |
| Range | |||||
| Min | −37.0% | −41.9% | −54.3% | −38.2% | −17.1% |
| Max | 1.8% | −1.4% | 51.0% | 15.8% | 5.9% |

6. Developing Cropping Systems for Sustained Grain Yield, Maintenance of Soil Quality, and Environmental Protection


| MGMENT | CO2 | AS | pH | N-NO3− + N-NO2− | Bulk Density | Infiltration Rate | ||||||
|---|---|---|---|---|---|---|---|---|---|---|---|---|
| SQK | REF | SQK | REF | SQK | REF | SQK | REF | SQK | REF | SQK | REF | |
| kg·ha−1·day−1 | % | kg·ha−1 | Mg·m−3 | mm·h−1 | ||||||||
| Rhodic Paleudalf | ||||||||||||
| Bare fallow | 6.7 b1 | 15.9 b | 33.4 | 23.9 b | 5.6 a | 5.5 b | 1.2 b | 1.2 | 1.72 a | 1.66 a | <1 c | 1 |
| NT Fw/M | 23.8 b | 36 b | 54.9 | 78.9 a | 5.7 a | 5.6 ab | 1.9 a | 3.0 | 1.45 ab | 1.34 b | 75 b | 50 |
| NT P/M | 21.4 b | 35.3 b | 61.4 | 76.8 a | 5.6 a | 5.6 b | 2.0 a | 2.5 | 1.45 ab | 1.41 b | 202 a | 86 |
| NT M/Lcc | 54.0 a | 80.9 a | 64.1 | 77.7 a | 5.8 a | 5.8 a | 2.0 a | 2.0 | 1.33 b | 1.35 b | 190 a | 195 |
| NV | 43.5 a | 97.4 a | 71 | 96.8 a | 5.2 b | 5.3 c | 0.9 b | 1.2 | 1.35 b | 1.37 b | 35 bc | 23 |
| CV (%) | 12.9 | 16.9 | 23.1 | 7.3 | 1.5 | 0.7 | 5.4 | 23.3 | 4.6 | 2.8 | 15.5 | 99.6 |
| p-value | 0.003 | 0.005 | 0.209 | 0.002 | 0.01 | 0.002 | 0.002 | 0.056 | 0.022 | 0.008 | 0.008 | 0.216 |
| R | 0.95 *** | 0.86 ** | 0.98 *** | 0.69 * | 0.85 ** | 0.60 ns | ||||||
| Typic Paleudult | ||||||||||||
| CT O/M 0N | 16.2 b | 26.7 e | 51.5 c | 52.2 b | 5.4 a | 5.5 ab | 1.7 b | 2.6 c | 1.39 | 1.37 | 601 ab | 392 |
| CT O/M | 17.4 b | 36.6 de | 55.6 bc | 62.7 b | 5.1 ab | 5.3 ab | 2.2 b | 3.3 bc | 1.37 | 1.42 | 570 ab | 308 |
| RT O/M | 16.0 b | 36.3 de | 54.7 bc | 63.8 b | 5.4 ab | 5.5 ab | 5.0 b | 5.1 bc | 1.49 | 1.46 | 319 abc | 570 |
| NT O/M | 20.5 b | 51.6 cd | 64.4 ab | 86.9 a | 5.7 a | 5.7 a | 5.2 b | 5.9 abc | 1.49 | 1.42 | 188 bc | 142 |
| NT O + V/M + CB | 24.5 b | 58.8 bc | 64.7 ab | 88.1 a | 5.1 ab | 5.4 ab | 9.5 a | 8.4 ab | 1.34 | 1.43 | 461 abc | 310 |
| NT M+PB | 39.9 a | 73.5 ab | 71.0 a | 97.2 a | 4.5 b | 4.9 b | 12.1 a | 11 a | 1.32 | 1.30 | 690 a | 356 |
| NV | 40.4 a | 87.6 a | 70.0 a | 93.1 a | 5.1 ab | 5.3 ab | 1.5 b | 2.1 c | 1.43 | 1.52 | 40 c | 6 |
| CV (%) | 18 | 12.5 | 6.5 | 7 | 5.8 | 4.7 | 27.1 | 32.9 | 6.7 | 6.1 | 42.1 | 108.7 |
| p-value | 0.0001 | 0.00002 | 0.0004 | 0.00002 | 0.01762 | 0.02846 | 0.00004 | 0.0007 | 0.2223 | 0.1278 | 0.0056 | 0.4593 |
| R | 0.85 *** | 0.91 | 0.98 *** | 0.91 *** | 0.50 * | 0.42 ns | ||||||




7. Strategies for Protecting and Restoring Regional Soil Quality
8. Summary and Conclusions
Acknowledgments
Author Contributions
Conflicts of Interest
References
- United Nations. United Nations World Population Prospects: The 2012 Revision; United Nations: New York, NY, USA, 2013. [Google Scholar]
- United Nations. United Nations World Urbanization Prospects: The 2014 Revision Highlights; United Nations: New York, NY, USA, 2014. [Google Scholar]
- Alexandratos, N.; Bruinsma, J. World Agriculture towards 2030/2050: The 2012 Revision; Food and Agriculture Organization of the United Nations: Rome, Italy, 2012. [Google Scholar]
- Tilman, D.; Balzer, C.; Hill, J.; Befort, B.L. Global food demand and the sustainable intensification of agriculture. Proc. Natl. Acad. Sci. USA 2011, 108, 20260–20264. [Google Scholar] [CrossRef] [PubMed]
- Ray, D.K.; Mueller, N.D.; West, P.C.; Foley, J.A. Yield trends are insufficient to double global crop production by 2050. PLoS One 2013, 8. Article 6. [Google Scholar] [PubMed]
- Duran, A.; Morrás, H.; Studdert, G.; Liu, X. Distribution, properties, land use and management of Mollisols in South America. Chin. Geogr. Sci. 2011, 21, 511–530. [Google Scholar] [CrossRef]
- Altieri, M.A. Agroecology: The Scientific Basis of Alternative Agriculture; Institute of Technology Publications: London, UK, 1987. [Google Scholar]
- Tivy, J. Agricultural Ecology; Longman Scientific & Technical: Harlow, UK, 1990. [Google Scholar]
- Lal, R. Tillage effects on soil degradation, soil resilience, soil quality, and sustainability. Soil Tillage Res. 1993, 27, 1–8. [Google Scholar] [CrossRef]
- Elliott, E.T.; Cole, C.V. A perspective on Agroecosystem Science. Ecology 1989, 70, 1597–1602. [Google Scholar] [CrossRef]
- Addiscott, T.M. Entropy and sustainability. Eur. J. Soil Sci. 1995, 46, 161–168. [Google Scholar] [CrossRef]
- Meadows, D.H.; Meadows, D.L.; Randers, J. Beyond the Limits; Chelsea Green Publishing Company: Post Mills, VT, USA, 1992; p. 205. [Google Scholar]
- Viglizzo, E.F. La interacción sistema-ambiente en condiciones extensivas de producción. Rev. Argent. Prod. Anim. 1989, 9, 279–294. [Google Scholar]
- Hillel, D. An overview of soil and water management: The challenge of enhancing productivity and sustainability. In Soil Management: Building A Stable Base for Agriculture; Hatfield, J.L., Sauer, T.J., Eds.; Am. Soc. Agron.; Soil Sci. Soc. Am.: Madison, WI, USA, 2011; pp. 3–11. [Google Scholar]
- Reicosky, D.C.; Sauer, T.J.; Hatfield, J.L. Challenging balance between productivity and environmental quality: Tillage impacts. In Soil Management: Building A Stable Base for Agriculture; Hatfield, J.L., Sauer, T.J., Eds.; Am. Soc. Agron.; Soil Sci. Soc. Am.: Madison, WI, USA, 2011; pp. 13–37. [Google Scholar]
- Weil, R.R.; Magdoff, F. Significance of soil organic matter to soil quality and health. In Soil Organic Matter in Sustainable Agriculture; Magdoff, F., Weil, R.R., Eds.; CRC Press: Boca Raton, FL, USA, 2004; pp. 1–43. [Google Scholar]
- Kanal, A.; Kolli, R. Influence of cropping on the content, composition and dynamics of organic residue in the soil of the plough layer. Biol. Fertil. Soils 1996, 23, 153–160. [Google Scholar] [CrossRef]
- Lal, R. Enhancing eco-efficiency in agro-ecosystems through soil C sequestration. Crop Sci. 2010, 50, S120–S131. [Google Scholar] [CrossRef]
- Powlson, D.S.; Gregory, P.J.; Whalley, W.R.; Quinton, J.N.; Hopkins, D.W.; Whitmore, A.P.; Hirsch, P.R.; Goulding, K.W.T. Soil management in relation to sustainable agriculture and ecosystem services. Food Policy 2011, 36, S72–S87. [Google Scholar] [CrossRef]
- Manuel-Navarrete, D.; Gallopin, G.C.; Blanco, M.; Diaz-Zorita, M.; Ferraro, D.O.; Herzer, H.; Laterra, P.; Murmis, M.R.; Podesta, G.P.; Rabinovich, J.; et al. Multi-causal and integrated assessment of sustainability: The case of agriculturization in the Argentine pampas. Environ. Dev. Sustain. 2009, 11, 621–638. [Google Scholar]
- Food and Agriculture Organization of the United Nations Statistics Division. Economic and Social Development Department; FAO: Rome, Italy, 2014. [Google Scholar]
- Instituto Brasileiro de Geografia e Estatistica (IBGE). Instituto Brasileiro de Geografia e Estatistica. Available online: http://www.ibge.gov.br/ (accessed on 15 November 2014).
- Companhia Nacional de Abastecimiento (CONAB). Companhia Nacional de Abastecimiento. Brazil. Available online: http://www.conab.gov.br (accessed on 15 November 2014).
- Sierra, E.M.; Hurtado, R.H.; Spescha, L. Corrimiento de las isoyetas anuales medias decenales en la región pampeana 1941–1990. Rev. Fac. Agron. UBA 1994, 14, 139–144. [Google Scholar]
- De la Casa, A.C.; Ovando, G.G. Climate change and its impact on agricultural potential in the central region of Argentina between 1941 and 2010. Agric. For. Meteorol. 2014, 195–196, 1–11. [Google Scholar]
- Viglizzo, E.F.; Frank, F.C.; Carreno, L.V.; Jobbagy, E.G.; Pereyra, H.; Clatt, J.; Pincen, D.; Ricard, F.M. Ecological and environmental footprint of 50 years of agricultural expansion in Argentina. Glob. Chang. Biol. 2011, 17, 959–973. [Google Scholar] [CrossRef]
- Asociación Uruguaya pro Siembra Direta. Guía de Siembra Directa. Available online: http://www.ausid.com.uy (accessed on 15 November 2014).
- Pognante, J.; Bragachini, M.; Casini, C. Siembra Directa; Actualización Técnica 58; PRECOP-INTA, MAGyP: Buenos Aires, Argentina, 2011; p. 28. [Google Scholar]
- Friedrich, T.; Derpsch, R.; Kassam, A. Overview of the global spread of conservation agriculture. Field Actions Sci. Rep. 2012, 6, 1–7. [Google Scholar]
- Asociación Argentina de Productores en Siembra Directa. Relevamiento de Superficie Agrícola Bajo Siembra Directa 2010. Available online: http://www.aapresid.org.ar/superficie/ (accessed on 10 October 2014).
- Federação Brasileira de Plantio Direto na Palha. Área do Sistema Plantio Directo. Available online: http://febrapdp.org.br/area-de-pd (accessed on 10 October 2014).
- Toledo, D.M.; Galantinni, J.A.; Ferreccio, E.; Arzuaga, S.; Gimenez, L.; Vazquez, S. Indicadores e índices de calidad en suelos rojos bajo sistemas naturales y cultivados. Cienc. Suelo 2013, 31, 201–212. [Google Scholar]
- Ferreras, L.; Magra, G.; Besson, P; Kovalevski, E.; García, F. Indicadores de calidad física en suelos de la Región Pampeana Norte de Argentina bajo siembra directa. Cienc. Suelo 2007, 25, 159–172. [Google Scholar]
- Urricariet, S.; Lavado, R.S. Indicadores de deterioro en suelos de la pampa ondulada. Cienc. Suelo 1999, 17, 37–44. [Google Scholar]
- Vázquez, M.E.; Berazategui, L.A.; Chamorro, E.R.; Taquini, L.A.; Barberis, L.A. Evolución de la estabilidad estructural y diferentes propiedades químicas según el uso de los suelos en tres áreas de la Pradera Pampeana. Cienc. Suelo 1990, 8, 203–210. [Google Scholar]
- Rojas, J.M.; Buschiazzo, D.E.; Arce, O.E.A. Parámetros edáficos relacionados con la erosión eólica en inceptisoles del Chaco. Cienc. Suelo 2013, 31, 133–142. [Google Scholar]
- Wilson, M.; Paz-Ferreiro, J. Effects of Soil-Use Intensity on Selected Properties of Mollisols in Entre Ríos, Argentina. Commun. Soil Sci. Plant Anal. 2012, 43, 71–80. [Google Scholar] [CrossRef]
- Novelli, L.E.; Caviglia, O.P.; Melchiori, R.J.M. Impact of soybean cropping frequency on soil carbon storage in Mollisols and Vertisols. Geoderma 2011, 167–168, 254–260. [Google Scholar]
- Novelli, L.E.; Caviglia, O.P.; Wilson, M.G.; Sasal, M.C. Land use intensity and cropping sequence effects on aggregate stability and C storage in a Vertisol and a Mollisol. Geoderma 2013, 195–196, 260–267. [Google Scholar]
- Sanzano, G.A.; Corbella, R.D.; García, J.R.; Fadda, G.S. Degradación física y química de un Haplustol típico bajo distintos sistemas de manejo de suelo. Cienc. Suelo 2005, 23, 93–100. [Google Scholar]
- Barbero, M.F. Evolución del Carbono en Suelos Provenientes de Monte Bajo Siembra Directa del Área Subhúmeda Templada y Subtropical de Argentina. Doctoral Dissertation, Universidad Católica de Córdoba, Cordoba, Argentina, 2010. [Google Scholar]
- Campitelli, P.; Aoki, A.; Gudelf, O.; Rubenacker, A.; Sereno, R. Selección de indicadores de calidad de suelo para determinar los efectos del uso y prácticas agrícolas en un área piloto de la región central de Córdoba. Cienc. Suelo 2010, 28, 233–231. [Google Scholar]
- Mori, C. Cambios en la Abundancia Natural de 15N Debidos a la Perturbación Agrícola. Tesis de Maestría, Universidad de la Republica, Montevideo, Uruguay, 2009. [Google Scholar]
- Campos, B.C.; Amado, T.J.C.; Bayer, C.; Nicoloso, R.S.; Fiorin, J.E. Carbon stock and its compartments in a subtropical oxisol under long-term tillage and crop rotation systems. Rev. Bras. Cienc. Solo 2011, 35, 805–817. [Google Scholar] [CrossRef]
- Ferreira, A.O. Estoque de Carbono em Areas Pioneiras de Plantio Direto no Rio Grande do Sul. Doctoral Dissertation, Universidade Federal de Santa Maria, Santa Maria, RS, Brasil, 2014. [Google Scholar]
- Sainz Rozas, H.R.; Echeverria, H.E.; Angelini, H.P. Organic carbon and pH levels in agricultural soils of the pampa and extra-pampean regions of Argentina. Cienc. Suelo 2011, 29, 29–37. [Google Scholar]
- Sainz Rozas, H.; Echeverria, H.; Angelini, H. Available phosphorus in agricultural soils of the pampa and extra-pampas regions of Argentina. RIA 2012, 38, 33–39. [Google Scholar]
- Reussi Calvo, N.; Calandroni, M.; Studdert, G.; Cabria, F.; Diovisalvi, N.; Berardo, A. Nitrógeno incubado en anaerobiosis y carbono orgánico en suelos agrícolas de Buenos Aires. Cienc. Suelo 2014, in press. [Google Scholar]
- Darwich, N.A. Niveles de fósforo asimilable en los suelos pampeanos. IDIA 1983, 409–412, 1–5. [Google Scholar]
- Pérez Bidegain, M.; García Préchac, F.; Hill, M.; Clérici, C. La erosión de suelos en sistemas agrícolas. In Intensificación Agrícola: Oportunidades y Amenazas Para un País Productivo y Natura; Universidad de la Republica: Montevideo, Uruguay, 2010; pp. 67–88. [Google Scholar]
- Morón, A.; Molfino, J.; Ibañez, W.; Sawchik, J.; Califra, A.; Lazbal, E.; La Manna, A.; Malcuori, E. La calidad de los suelos bajo producción lechera en los principales departamentos de la cuenca: Carbono y nitrógeno. In Seminario: Sustentabilidad Ambiental de los Sistemas Lecheros en un Contexto Económico de Cambios; INIA: Montevideo, Uruguay, 2011; pp. 41–46. [Google Scholar]
- Morón, A.; Quincke, A.; Molfino, J.; Ibáñez, W.; García, A. Soil quality assessment of Uruguayan agricultural soils. Agrocienc. Urug. 2012, 16, 135–143. [Google Scholar]
- Moron, A.; Sawchik, J. Soil quality indicators in a long term crop-pasture rotation experiment in Uruguay. In Proceedings of the 17th World Congress of Soil Science, Bangkok, Thailand, 14–20 August 2002.
- Bollinger, A.; Magid, J.; Amado, T.J.C.; Neto, F.S.; Ribeiro, M.; Calegari, A.; Ralisch, R.; Neergaard, A. Taking stock of the brazilian “zero-till revolution”: A review of landmark research and farmer practice. Adv. Agron. 2006, 91, 47–110. [Google Scholar]
- Mielniczuk, J.; Bayer, C.; Vezzani, F.M.; Lovato, T.; Fernandes, F.F.; Debarba, L. Manejo de solo e culturas e sua relação com os estoques de carbono e nitrogênio do solo. Top. Cienc. Solo 2003, 3, 209–248. [Google Scholar]
- Amado, T.J.C.; Bayer, C.; Conceicao, P.C.; Spagnollo, E.; Costa de Campos, B.H.; da Veiga, M. Potential of carbon accumulation in no-till soils with intensive use and cover crops in southern Brazil. J. Environ. Qual. 2006, 35, 1599–1607. [Google Scholar] [CrossRef] [PubMed]
- Dalla Nora, D.; Amado, T.J.C. Improvement in chemical attributes of oxisol subsoil and crop yields under no-till. Agron. J. 2013, 105, 1393–1403. [Google Scholar] [CrossRef]
- Studdert, G.A.; Echeverría, H.E.; Casanovas, E.M. Crop-pasture rotation for sustaining the quality and productivity of a typic argiudoll. Soil Sci. Soc. Am. J. 1997, 61, 1466–1472. [Google Scholar] [CrossRef]
- Eiza, M.J.; Fioriti, N.; Studdert, G.A.; Echeverria, H.E. Organic carbon fractions in the arable layer: Cropping systems and nitrogen fertilization effects. Cienc. Suelo 2005, 23, 59–67. [Google Scholar]
- Studdert, G.A.; Domínguez, G.F.; Agostini, M.A.; Monterubbianesi, M.G. Cropping systems to manage southeastern pampas’ Mollisol health. Organic C and mineralizable N. In International Symposium on Soil Quality and Management of World Mollisols; Liu, X., Song, C., Cruse, R.M., Huffman, T., Eds.; Northeast Forestry University Press: Harbin, China, 2010; pp. 199–200. [Google Scholar]
- Studdert, G.A.; Echeverria, H.E. Crop rotations and nitrogen fertilization to manage soil organic carbon dynamics. Soil Sci. Soc. Am. J. 2000, 64, 1496–1503. [Google Scholar] [CrossRef]
- Dominguez, G.F.; Diovisalvi, N.V.; Studdert, G.A.; Monterubbianesi, G.M. Soil organic C and N fractions under continuous cropping with contrasting tillage systems on Mollisols of the southeastern Pampas. Soil Tillage Res. 2009, 102, 93–100. [Google Scholar] [CrossRef]
- Diovisalvi, N.V.; Studdert, G.A.; Dominguez, G.F.; Eiza, M.J. Effect of two tillage systems under continuous cropping on organic carbon and nitrogen fractions and on the anaerobic nitrogen indicator. Cienc. Suelo 2008, 26, 1–11. [Google Scholar]
- Divito, G.A.; Sainz Rozas, H.R.; Echeverria, H.E.; Studdert, G.A.; Wyngaard, N. Long term nitrogen fertilization: Soil property changes in an Argentinean pampas soil under no tillage. Soil Tillage Res. 2011, 114, 117–126. [Google Scholar] [CrossRef]
- Wyngaard, N.; Echeverria, H.E.; Sainz Rozas, H.R.; Divito, G.A. Fertilization and tillage effects on soil properties and maize yield in a southern Pampas argiudoll. Soil Tillage Res. 2012, 119, 22–30. [Google Scholar] [CrossRef]
- Martínez, J.P.; Barbieri, P.A.; Cordone, G.; Sainz Rozas, H.R.; Echeverría, H.E.; Studdert, G.A. Secuencias con predominio de soja en ambientes de la región pampeana Argentina y su efecto sobre el carbono orgánico. In Proceedings of the XXIV Congreso Argentino de la Ciencia del Suelo y II Reunión Nacional Materia Orgánica y Sustancias Húmicas, Bahía Blanca, Buenos Aires, Argentina, 5–9 May 2014.
- Echeverria, H.; Bergonzi, R.; Ferrari, J. A model for the estimation of nitrogen mineralization in soils of southeast Buenos Aires, Argentina. Cienc. Suelo 1994, 12, 56–62. [Google Scholar]
- Cozzoli, M.V.; Fioriti, N.; Studdert, G.A.; Domínguez, G.F.; Eiza, M.J. Nitrógeno incubado anaeróbico y fracciones de carbono en macro y microagregados bajo distintos sistemas de cultivo. Cienc. Suelo 2010, 28, 155–167. [Google Scholar]
- Urquieta, J.N. Nitrógeno Potencialmente Mineralizable Anaeróbico en Suelos del Sudeste Bonaerense y su Relación con la Respuesta a Nitrógeno en Trigo. Tesis de Ingeniero Agrónomo, Universidad Nacional de Mar del Plata, Balcarce, Argentina, 2008. [Google Scholar]
- Genovese, M.F.; Echeverria, H.E.; Studdert, G.A.; Sainz Rozas, H. Nitrógeno de amino-azucares en suelos: Calibración y relación con el nitrógeno incubado anaeróbico. Cienc. Suelo 2009, 27, 225–236. [Google Scholar]
- Domínguez, G.F.; Studdert, G.A.; Echeverría, H.E.; Andrade, F.H. Sistemas de cultivo y nutrición nitrogenada en maíz. Cienc. Suelo 2001, 19, 47–56. [Google Scholar]
- Studdert, G.A.; Echeverría, H.E. Relación entre el cultivo antecesor y la disponibilidad de nitrógeno para el trigo en la rotación. Cienc. Suelo 2006, 24, 89–96. [Google Scholar]
- Reussi Calvo, N.I.; Echeverria, H.E.; Sainz Rozas, H. Comparison between two plant nitrogen and sulphur determination methods: Impact on wheat sulphur diagnostics. Cienc. Suelo 2008, 26, 161–167. [Google Scholar]
- Diovisalvi, N.A.; Berardo, A.; Reussi Calvo, N. Nitrógeno anaeróbico potencialmente mineralizable: Una nueva herramienta para mejorar el manejo de la fertilización nitrogenada. In Simposio de Fertilidad; Fertilizar: Rosario, Santa Fe, Argentina, 2009; p. 270. [Google Scholar]
- Studdert, G.A.; Echeverría, H.E. Soja, girasol y maíz en los sistemas de cultivo del sudeste Bonaerense. In Bases Para el Manejo del Maíz, el Girasol y la Soja; Andrade, F.H., Sadras, V., Eds.; INTA—Facultad de Ciencias Agrarias UNMP: Balcarce, Buenos Aires, Argentina, 2002; pp. 413–443. [Google Scholar]
- Roldán, M.F.; Studdert, G.A.; Videla, C.C.; San Martino, S.; Picone, L.I. Distribución de tamaño y estabilidad de agregados en molisoles bajo labranzas contrastantes. Cienc. Suelo 2014, in press. [Google Scholar]
- Domínguez, G.F.; Andersen, A.; Studdert, G.A. Cambios en la estabilidad de agregados en distintos sistemas de cultivo bajo siembra directa y labranza convencional. In XXI Congreso Argentino de la Ciencia del Suelo, Potrero de los Funes, San Luis, Argentina, 13–16 May 2008.
- Agostini, M.A.; Studdert, G.A.; Domínguez, G.F. Relación entre el cambio en el diámetro medio de agregados y el carbono orgánico y sus fracciones. In XIX Congreso Latinoamericano y XXIII Congreso Argentino de la Ciencia del Suelo, Mar del Plata, Buenos Aires, Argentina, 16–20 April 2012.
- Studdert, G.A. Materia orgánica y sus fracciones como indicadores de uso sustentable de suelos del Sudeste Bonaerense. In XXIV Congreso Argentino de la Ciencia del Suelo y II Reunión Nacional Materia Orgánica y Sustancias Húmicas, Bahía Blanca, Buenos Aires, Argentina, 5–9 May 2014.
- Garcia-Prechac, F.; Ernst, O.; Siri-Prieto, G.; Terra, J.A. Integrating no-till into crop-pasture rotations in Uruguay. Soil Tillage Res. 2004, 77, 1–13. [Google Scholar] [CrossRef]
- Clérici, C.; Baethgen, W.; García Préchac, F.; Hill, M. Estimación del impacto de la soja sobre erosion y C orgánico en suelos agrícolas de Uruguay. In XIX Congreso Argentino de la Ciencia del Suelo, Paraná, Entre Ríos, Argentina, 24–29 April 2004.
- Parton, W.J.; Stewart, J.W.B.; Cole, C.V. Dynamics of C, N, P and S in grassland soils: A model. Biogeochemistry 1988, 5, 109–131. [Google Scholar] [CrossRef]
- Salvo, L.; Hernández, J.; Ernst, O. Distribution of soil organic carbon in different size fractions, under pasture and crop rotations with conventional tillage and no-till systems. Soil Tillage Res. 2010, 109, 116–122. [Google Scholar] [CrossRef]
- Sawchik, J.; Pérez-Bidegain, M.; García, C. Impact of winter cover crops on soil properties under soybean cropping systems. Agrocienc. Urug. 2012, 16, 288–293. [Google Scholar]
- Amado, T.J.C.; Conceicao, P.C.; Bayer, C.; Eltz, F.L.F. Soil quality evaluated by “soil quality kit” in two long-term soil management experiments in Rio Grande Do Sul state, Brazil. Rev. Bras. Cienc. Solo 2007, 31, 109–121. [Google Scholar] [CrossRef]
- Fabrizzi, K.P.; Rice, C.W.; Amado, T.J.C.; Fiorin, J.E.; Barbagelata, P.; Melchiori, R. Protection of soil organic C and N in temperate and tropical soils: Effect of native and agroecosystems. Biogeochemistry 2009, 92, 129–143. [Google Scholar] [CrossRef]
- MAGP. Marco Jurídico de los Planes de Uso y Manejo de Suelos; Dirección General de Recursos Naturales Renovables: Ministerio de Agricultura, Ganadería y Pesca, de la República Oriental del Uruguay. Available online: http://www.renare.gub.uy/ (accessed on 15 November 2014).
- GSL. Ley de Protección y Conservación de Suelos N° IX-0315–2004; Ministerio del Campo del Gobierno: de la Provincia de San Luis, Argentina. San Luis, Argentina. Available online: http://www.campo.sanluis.gov.ar/campoWeb/Contenido/Pagina11/File/Ley Proteccin y Conservacin de Suelo.pdf (accessed on 15 November 2014).
- GER. Ley Provincial de Conservación y Manejo de Suelos N° 8318; Secretaria de la Producción del Gobierno: de Entre Ríos, Argentina. Paraná, Argentina. Available online: http://www.entrerios.gov.ar/minpro/userfiles/files/RECNATURALES/RECURSOSNATURALES/RECURSOSNATURALES/LEGISLACION DE SUELOS/legislacion/ley_n8318.pdf (accessed on 15 November 2014).
- EPB. Marco Normativo Ley N° 1333 de Protección del Medio Ambiente; Autoridad de Fiscalización y Control Social de Agua Potable y Saneamiento Básico: Estado Plurinacional de Bolivia. La Paz, Bolivia. Available online: http://www.aaps.gob.bo/?p=334 (accessed on 15 November 2014).
© 2015 by the authors; licensee MDPI, Basel, Switzerland. This article is an open access article distributed under the terms and conditions of the Creative Commons Attribution license (http://creativecommons.org/licenses/by/4.0/).
Share and Cite
Wingeyer, A.B.; Amado, T.J.C.; Pérez-Bidegain, M.; Studdert, G.A.; Varela, C.H.P.; Garcia, F.O.; Karlen, D.L. Soil Quality Impacts of Current South American Agricultural Practices. Sustainability 2015, 7, 2213-2242. https://doi.org/10.3390/su7022213
Wingeyer AB, Amado TJC, Pérez-Bidegain M, Studdert GA, Varela CHP, Garcia FO, Karlen DL. Soil Quality Impacts of Current South American Agricultural Practices. Sustainability. 2015; 7(2):2213-2242. https://doi.org/10.3390/su7022213
Chicago/Turabian StyleWingeyer, Ana B., Telmo J. C. Amado, Mario Pérez-Bidegain, Guillermo A. Studdert, Carlos H. Perdomo Varela, Fernando O. Garcia, and Douglas L. Karlen. 2015. "Soil Quality Impacts of Current South American Agricultural Practices" Sustainability 7, no. 2: 2213-2242. https://doi.org/10.3390/su7022213
APA StyleWingeyer, A. B., Amado, T. J. C., Pérez-Bidegain, M., Studdert, G. A., Varela, C. H. P., Garcia, F. O., & Karlen, D. L. (2015). Soil Quality Impacts of Current South American Agricultural Practices. Sustainability, 7(2), 2213-2242. https://doi.org/10.3390/su7022213
