Analysis of Two Models for Evaluating the Energy Performance of Different Buildings
Abstract
:1. Introduction
2. Methodology
2.1. Building Types
- The old building (Figure 1) is composed of five floors (three over ground and two in the basement), presenting a complex geometry. The structure is completely made of tuff, with large walls characterized by a thickness ranging from 10 cm to 170 cm. The west side is connected to the ground for a small part. The east side of the structure is close to another building. The construction dates back to 800;
- The house (Figure 2) is composed by three floors (two over ground and one in the basement). External wall thickness is equal to 30 cm. At the first floor there are no windows on the vertical surfaces (there are only three windows on the roof). The basement is characterized by a gap all around the building able to guarantee a thermal insulation from the ground. The construction year is 2005;
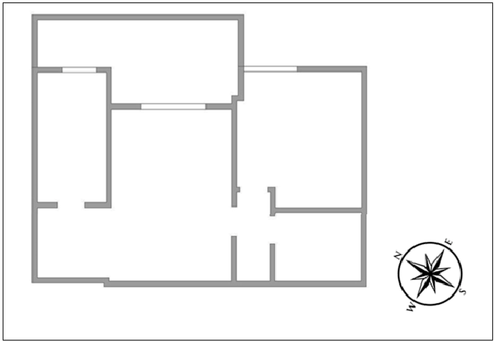
- The flat (Figure 3) is developed on a single floor, specifically it is the top floor of a building. For this reason the heat dispersion concerns only the roof, the west side and the south side. The construction year is 1988.



| Materials | Thermal Conductivity (W/m K) | Specific Heat Capacity (kJ/kg K) | Mass Density (kg/m3) |
|---|---|---|---|
| Tuff | 0.630 | 1.300 | 1500 |
| Concrete | 1.263 | 1.000 | 2000 |
| Brick | 0.500 | 0.840 | 840 |
| Roof’s spruce beam | 0.120 | 1.600 | 450 |
| Plaster | 0.900 | 0.910 | 1800 |
| Brick | 0.325 | 0.840 | 1070 |
| Roof’s spruce beam | 0.170 | 0.920 | 1200 |
| Perforated brick | 1.000 | 0.840 | 2000 |
| Insulating material | 0.500 | 0.840 | 840 |
| Shingle | 0.120 | 1.600 | 450 |
| Perforated brick | 0.900 | 0.910 | 1800 |
| Insulating material | 0.325 | 0.840 | 1070 |
| Tile | 0.840 | 0.840 | 1700 |
| Windows | Characteristics | Thermal Transmittance (W/m2K) | G-value |
| Frame | Aluminium | 2.27 | - |
| Double insulated glass | Double glazing 4/16/4 with air | 2.83 | 0.755 |
| Materials | Thermal Conductivity (W/m K) | Specific Heat Capacity (kJ/kg K) | Mass Density (kg/m3) |
|---|---|---|---|
| Plasterboard | 0.160 | 0.840 | 950 |
| Light concrete | 0.170 | 0.840 | 500 |
| Wood | 0.120 | 1.600 | 450 |
| Tile | 1 | 0.840 | 2000 |
| Light concrete basement | 2 | 1.000 | 2400 |
| Windows | Characteristics | Thermal Transmittance (W/m2K) | G-value |
| Frame | Aluminium | 2.27 | - |
| Double insulated glass | Double glazing 4/16/4 with air | 2.83 | 0.755 |
| Materials | Thermal Conductivity (W/m K) | Specific Heat Capacity (kJ/kg K) | Mass Density (kg/m3) |
|---|---|---|---|
| Plasterboard | 0.160 | 0.840 | 950 |
| Light concrete | 0.320 | 0.840 | 1000 |
| Insulating material | 0.170 | 0.920 | 1200 |
| Windows | Characteristics | Thermal Transmittance (W/m2K) | G-value |
| Frame | Aluminium | 2.27 | - |
| Double insulated glass | Double glazing 4/16/4 with air | 2.83 | 0.755 |
2.2. Modeling
3. Results and Discussion
| MC11300 | TRNSYS | |||
|---|---|---|---|---|
| QH, nd (kWh) | QC, nd (kWh) | QH, nd (kWh) | QC, nd (kWh) | |
| Old Building | 41957 | 10697 | 32860 | 7764 |
| House | 5425 | 1128 | 4183 | 1014 |
| Flat | 4237 | 3378 | 3345 | 1582 |
| kWh Difference (MC11300-TRNSYS) | Percentage Difference compared to TRNSYS (%) | ||
|---|---|---|---|
| Old Building | QH, nd | 9097 | 27.7 |
| QC, nd | 2933 | 37.8 | |
| House | QH, nd | 1242 | 29.7 |
| QC, nd | 114 | 11.2 | |
| Flat | QH, nd | 892 | 26.6 |
| QC, nd | 1796 | 113.5 | |



4. Conclusions
Author Contributions
Conflicts of Interest
References
- Casals, X.G. Analysis of building energy regulation and certification in Europe: Their role, limitation and differences. Energ. Buildings 2006, 38, 381–392. [Google Scholar] [CrossRef]
- De Lieto, V.R.; Calvesi, M.; Battista, G.; Evangelisti, L.; Botta, F. Calculation model for optimization design of the low impact energy systems for the buildings. Energ. Procedia 2014, 48, 1459–1467. [Google Scholar] [CrossRef]
- Crawley, D.B.; Hand, J.W.; Kummert, M.; Griffith, B.T. Contrasting the capabilities of building energy performance simulation programs. Buildings Environ. 2008, 43, 661–673. [Google Scholar] [CrossRef]
- Dounis, A.I.; Caraiscos, C. Advanced control systems engineering for energy and comfort management in a building environment—A review. Renew. Sust. Energ. Rev. 2009, 13, 1246–1261. [Google Scholar] [CrossRef]
- Zhu, N.; Zhenjun, M.; Shengwei, W. Dynamic characteristics and energy performance of buildings using phase change materials: A review. Energ. Convers. Manage. 2009, 50, 3169–3181. [Google Scholar] [CrossRef]
- Perez-Lombard, L.; Ortiz, J.; Gonzalez, R.; Maestre, I.R. A review of benchmarking, rating and labeling concepts within the framework of building energy certification schemes. Energ. Buildings 2009, 41, 272–278. [Google Scholar] [CrossRef]
- Asdrubali, F.; Bonaut, M.; Battisti, M.; Venegas, M. Comparative study of energy regulations for buildings in Italy and Spain. Energ. Buildings 2008, 40, 1805–1815. [Google Scholar] [CrossRef]
- Henninger, R.H.; Witte, M.J. Energy Plus Testing with Building Thermal Envelope and Fabric Load Tests from ANSI/ASHRAE Standard 140-2004; U.S. Department of Energy Efficiency and Renewable Energy Office of Building Technologies: Washington, DC, USA, 2004.
- Ferrari, S. Building envelope and heat capacity: Re-discovering the thermal mass for winter energy saving. In Proceedings of the 2nd PALENC & 28th AIVC Conferences, Crete Island, Greece, 27–29 September 2007.
- Ferrari, S.; Baldinazzo, M. Assessment of the energy performance of buildings: From simplified procedures to dynamic analysis. In Proceedings of AICARR, Padova, Italy, 18 June 2009.
- De Lieto, V.R.; Evangelisti, L.; Carnielo, E.; Battista, G.; Gori, P.; Guattari, C.; Fanchiotti, A. An Integrated Approach for an Historical Buildings Energy Analysis in a Smart Cities Perspective. Energ. Procedia 2014, 45, 372–378. [Google Scholar] [CrossRef]
- Balocco, C.; Gori, V.; Marmonti, E.; Citi, L. Building-plant system energy sustainability. An approach for transient thermal performance analysis. Energ. Buildings 2012, 49, 443–453. [Google Scholar] [CrossRef]
- Aste, N.; Angelotti, A.; Buzzetti, M. The influence of the external walls thermal inertia on the energy performance of well insulated buildings. Energ. Buildings 2009, 41, 1181–1187. [Google Scholar] [CrossRef]
- Mitalas, G.P. Transfer function method of calculating cooling loads, heat extraction and space temperature. Ashrae J. 1973, 14, 54–56. [Google Scholar]
- Asdrubali, F.; Cotana, F.; Messineo, A. On the evaluation of solar greenhouse efficiency in building simulation during the heating period. Energies 2012, 5, 1864–1880. [Google Scholar] [CrossRef]
- Milone, A.; Milone, D.; Pitruzzella, S. Asset rating: Disagreement between the results obtained from software for energy certification. In Proceedings of the Eleventh International IBPSA Conference, Glasgow, UK, 27–30 July 2009.
- Energy performance of buildings. Directive 2002/91/EC, 2002.
- Comitato Termotecnico Italiano (CTI). Energy Performance of Buildings–Part 1: Determination of Thermal Energy Demand for Air Conditioning in Winter and Summer; UNI TS 11300-1:2008; CTI: Milan, Italy, 2008. [Google Scholar]
- Comitato Termotecnico Italiano (CTI). Energy Performance of Buildings–Calculation of Energy Use for Heating and Cooling; EN ISO 13790; CTI: Milan, Italy, 2008. [Google Scholar]
© 2014 by the authors; licensee MDPI, Basel, Switzerland. This article is an open access article distributed under the terms and conditions of the Creative Commons Attribution license (http://creativecommons.org/licenses/by/3.0/).
Share and Cite
Evangelisti, L.; Battista, G.; Guattari, C.; Basilicata, C.; De Lieto Vollaro, R. Analysis of Two Models for Evaluating the Energy Performance of Different Buildings. Sustainability 2014, 6, 5311-5321. https://doi.org/10.3390/su6085311
Evangelisti L, Battista G, Guattari C, Basilicata C, De Lieto Vollaro R. Analysis of Two Models for Evaluating the Energy Performance of Different Buildings. Sustainability. 2014; 6(8):5311-5321. https://doi.org/10.3390/su6085311
Chicago/Turabian StyleEvangelisti, Luca, Gabriele Battista, Claudia Guattari, Carmine Basilicata, and Roberto De Lieto Vollaro. 2014. "Analysis of Two Models for Evaluating the Energy Performance of Different Buildings" Sustainability 6, no. 8: 5311-5321. https://doi.org/10.3390/su6085311
APA StyleEvangelisti, L., Battista, G., Guattari, C., Basilicata, C., & De Lieto Vollaro, R. (2014). Analysis of Two Models for Evaluating the Energy Performance of Different Buildings. Sustainability, 6(8), 5311-5321. https://doi.org/10.3390/su6085311

