Pilot Experimentation with Complete Mixing Anoxic Reactors to Improve Sewage Denitrification in Treatment Plants in Small Communities
Abstract
:1. Introduction
2. Materials and Methods
2.1. Pilot Plant Description



2.2. Pilot Plant Operating Conditions and Testing Methods
- Automatic daily average samplings of the raw wastewater and the treated effluent;
- Manual instantaneous samplings (at 8 AM, 12 AM and 4 PM respectively) at the sewage input.
- pH of raw sewage (fixed probe with automatic calibration, accuracy ±0.01 pH, ±1.8 °F/±1 °C);
- Dissolved oxygen (DO) in various parts of the reactors denitrification and nitrification-oxidation (fixed immersed electrochemical probes with resolution 0.01 mg L−1, automatic calibration and temperature compensation);
- Temperature of the mixed-liquor in denitrification (fixed probe, accuracy < 0.08%, Pt100 class A).
3. Results and Discussion
3.1. Sewage Quality
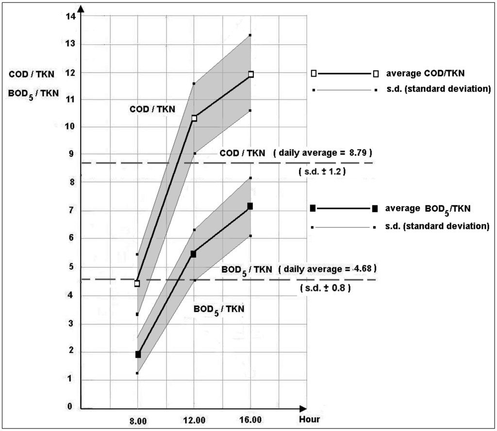
3.1.1. Average Daily Quality and Daytime Fluctuations in Sewage Quality
| Parameter | Time of sampling | |||
|---|---|---|---|---|
| Daily average (1) | Hour 8.00 (2) | Hour 12.00 (2) | Hour 16.00 (2) | |
| CODin (mg·L−1) | 248.0 (σ ± 59.3) | 85.9 (σ ± 18.8) | 397.0 (σ ± 130.2) | 320.0 (σ ± 82.6) |
| BOD5in (mg·L−1) | 132.0 (σ ± 42.0) | 37.8 (σ ± 12.5) | 215.0 (σ ± 65.0) | 193.0 (σ ± 39.8) |
| TNin = TKNin (mg·L−1) | 28.2 (σ ± 5.7) | 19.20 (σ ± 3.8) | 38.8 (σ ± 8.3) | 26.7 (σ ± 5.0) |

3.2. Denitrification Efficiency


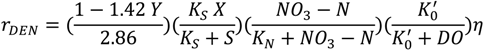
- The lower content of DO in the denitrification reactor in relation to higher F:M ratios, reduces the inhibition of the denitrification rate (higher effects at low F:M ratios). The inhibitory effects of DO on the kinetics of the process were postulated in 1975 by USEPA in its first report on the removal of nitrogen [3]. In subsequent reports [5,6] USEPA highlighted this effect by inserting an inhibition factor K’0/(K’0 + DO) in the expression of the denitrification rate:
| rDEN | denitrification rate (NO3-N removal by dissimilation) [mg/(L·h)−1]; |
| Y | etherotrophic bacteria synthesis yield (mgVSS/mg substrate consumed); |
| K | maximum specific rate of substrate utilization (h−1); |
| X | biomass concentration (mgMLVSS·L−1); |
| S | soluble degradable substrate concentration (mg·L−1); |
| Ks | substrate utilization half-velocity coefficient (mg·L−1); |
| NO3-N | nitrate concentration, as N (mg·L−1); |
| KN | nitrate half velocity coefficient (mg·L−1); |
| K’0 | DO inhibition constant for nitrate reduction (mg·L−1); |
| DO | dissolved oxygen (mg·L−1); |
| η | fraction of etherotrophic bacteria that use nitrate in lieu of oxygen. |

4. Conclusions
- An anoxic-aerobic process, creating conditions of complete mixing in the anoxic stage so that some of the input load fluctuations can be absorbed;
- Simultaneous denitrification in which aerobic and anoxic zones are alternated in conditions of complete mixing. In this case the entire volume of the reactor helps to absorb the fluctuation of the input load.
Conflicts of Interest
References
- United States Environmental Protection Agency. Process Design Manual for Upgrading Existing Wastewater Treatment Plant; Water Resource Center: Jefferson, MO, USA, 1974.
- United States Environmental Protection Agency. Wastewater Treatment Facilities for Sewered Small Communities—Process Design Manual; Water Resource Center: Jefferson, MO, USA, 1977.
- United States Environmental Protection Agency. Process Design Manual for Nitrogen Control; Water Resource Center: Jefferson, MO, USA, 1975.
- United States Environmental Protection Agency. Manual: Nitrogen Control; Water Resource Center: Jefferson, MO, USA, 1993.
- Cadmus Group. Nutrient Control Design Manual: State of Technology Review Report; The Cadmus Group, Inc.: Watertown, MA, USA, 2009. [Google Scholar]
- Cadmus Group. Nutrient Control Design Manual; The Cadmus Group, Inc.: Watertown, MA, USA, 2010. [Google Scholar]
- Metcalf & Eddy, Inc.; Tchobanoglous, G.; Burton, F.L.; Stensel, H.D. Wastewater Engineering: Treatment and Reuse, 4th ed.; McGraw-Hill Education: New York, NY, USA, 2003. [Google Scholar]
- Tan, C.; Ma, F.; Ang, L.; Qiu, S.; Li, J. Evaluating the effect of dissolved oxygen on simultaneous nitrification and denitrification in polyurethane foam contact oxidation reactors. Water Environ. Res. 2013, 85, 195–202. [Google Scholar]
- Liu, Y.; Shi, H.; Xia, L.; Shi, H.; Shen, T.; Wang, Z.; Wang, G.; Wang, Y. Study on operational conditions of simultaneous nitrification and denitrification in a Carrousel oxidation ditch for domestic wastewater treatment. Bioresour. Technol. 2010, 101, 901–906. [Google Scholar]
- Zhou, X.; Han, Y.; Guo, X. Enhanced total nitrogen removal performance in a modified Orbal oxidation ditch system with internal nitrate recycle. Chem. Eng. J. 2013, 228, 124–131. [Google Scholar] [CrossRef]
- Hedayati Moghaddam, A.; Sargolzaei, J. A review over diverse methods used in nitrogen removal from wastewater. Recent Pat. Chem. Eng. 2013, 6, 133–139. [Google Scholar]
- Liu, Y.; Shi, H.; Wang, Z.; Fan, L. Approach to enhancing nitrogen removal performance with fluctuation of influent in an oxidation ditch system. Chem. Eng. J. 2013, 219, 520–526. [Google Scholar] [CrossRef]
- Watanabe, Y.; Matsuda, S.; Ishiguro, M. Simultaneous nitrification and denitrification in micro-aerobic biofilms. Water Sci. Technol. 1992, 26, 511–522. [Google Scholar]
- Yang, P.Y.; Zhang, Z. Nitrification and Denitrification in the Wastewater Treatment System. In Proceedings of the UNESCO—University of Tsukuba International Seminar on Traditional Technology for Environmental Conservation and Sustainable Development in the Asian-Pacific Region, Tsukuba Science City, Japan, 11–14 December 1995.
- Water Information System for Europe—WISE. Wastewater Treatment Improvement and Efficiency in Small Communities. Available online: http://www.wise-rtd.info/en/info/waste-water-treatment-improvement-and-efficiency-small-communities (accessed on 31 October 2013).
- Torretta, V. PAHs in wastewater: Removal efficiency in a conventional wastewater treatment plant and comparison with model predictions. Environ. Technol. 2012, 33, 851–855. [Google Scholar]
- Torretta, V.; Katsoyiannis, A. Occurrence of polycyclic aromatic hydrocarbons in sludges from different stages of a wastewater treatment plant in Italy. Environ. Technol. 2013, 34, 937–943. [Google Scholar]
- Torretta, V.; Urbini, G.; Raboni, M.; Copelli, S.; Viotti, P.; Luciano, A.; Mancini, G. Effect of powdered activated carbon to reduce fouling in membrane bioreactors: A sustainable solution. Case study. Sustainability 2013, 5, 1501–1509. [Google Scholar]
- Raboni, M.; Torretta, V.; Urbini, G. Influence of strong diurnal variations in sewage quality on the performance of biological denitrification in small community wastewater treatment plants (WWTPs). Sustainability 2013, 5, 3679–3689. [Google Scholar] [CrossRef]
- Di Mauro, C.; Bouchon, S.; Torretta, V. Industrial risk in the Lombardy Region (Italy): What people perceive and what are the gaps to improve the risk communication and the partecipatory processes. Chem. Eng. Trans. 2012, 26, 297–302. [Google Scholar]
- IRSA-CNR. Analytical Techniques. Available online: http://www.irsa.cnr.it/ShPage.php?lang=it&pag=metod/ (accessed on 31 October 2013).
- Bonomo, L.; Pastorelli, G.; Zambon, N. Advantages and limitations of duckweed-based wastewater treatment systems. Water Sci. Technol. 1997, 35, 239–246. [Google Scholar]
- Dawson, R.N.; Murphy, K.L. The temperature dependency of biological denitrification. Water Res. 1972, 6, 71–83. [Google Scholar] [CrossRef]
- Rössle, W.H.; Pretorius, W.A. A review of characterization requirements for in-line prefermenters Paper 1: Wastewater characterization. Water SA 2001, 27, 405–412. [Google Scholar]
- Oh, J.; Silverstein, J. Oxygen inhibition of activated sludge denitrification. Water Res. 1999, 33, 1925–1937. [Google Scholar] [CrossRef]
- Plósza, B.G.; Jobbágy, A.; Grady, C.P.L. Factors influencing deterioration of denitrification by oxygen entering an anoxic reactor through the surface. Water Res. 2003, 37, 853–863. [Google Scholar]
- Badstreet, K.A.; Jhonson, G.R. Study of Critical Operational Parameters for Nitrogen Reduction at Municipal Wastewater Treatment Plant. In Proceedings of the Water Environment Federation 67th annual Conference & Exposition, Chicago, IL, USA, 15–19 October 1994.
© 2013 by the authors; licensee MDPI, Basel, Switzerland. This article is an open access article distributed under the terms and conditions of the Creative Commons Attribution license (http://creativecommons.org/licenses/by/3.0/).
Share and Cite
Raboni, M.; Torretta, V.; Viotti, P.; Urbini, G. Pilot Experimentation with Complete Mixing Anoxic Reactors to Improve Sewage Denitrification in Treatment Plants in Small Communities. Sustainability 2014, 6, 112-122. https://doi.org/10.3390/su6010112
Raboni M, Torretta V, Viotti P, Urbini G. Pilot Experimentation with Complete Mixing Anoxic Reactors to Improve Sewage Denitrification in Treatment Plants in Small Communities. Sustainability. 2014; 6(1):112-122. https://doi.org/10.3390/su6010112
Chicago/Turabian StyleRaboni, Massimo, Vincenzo Torretta, Paolo Viotti, and Giordano Urbini. 2014. "Pilot Experimentation with Complete Mixing Anoxic Reactors to Improve Sewage Denitrification in Treatment Plants in Small Communities" Sustainability 6, no. 1: 112-122. https://doi.org/10.3390/su6010112
APA StyleRaboni, M., Torretta, V., Viotti, P., & Urbini, G. (2014). Pilot Experimentation with Complete Mixing Anoxic Reactors to Improve Sewage Denitrification in Treatment Plants in Small Communities. Sustainability, 6(1), 112-122. https://doi.org/10.3390/su6010112


