Spreading the Eco-Message: Using Proactive Coping to Aid Eco-Rep Behavior Change Programming
Abstract
:1. Introduction
1.1. Overcoming Barriers to Environmental Behavior Change
1.2. Spreading Pro-Environmental Behavior Change
1.3. Present Research
2. Method
2.1. Participants
2.2. Procedure
2.2.1. Proactive Coping Training
| Activity During Meetings | ||
|---|---|---|
| Targeted Behavior by Week | Engagement Activities | Proactive Coping Goals |
| Week 1: Hot Water Usage |
|
|
| Week 2: General Electricity |
|
|
| Week 3: Entertainment Electronics |
|
|
| Week 4: Behavior Maintenance & Communication with Others |
|
|
| Barriers and Facilitators Identified during Proactive Coping | ||
|---|---|---|
| Facilitators/Ways to Overcome | ||
| General | • Habits | • Alter aspects of routine slowly (e.g., change TV habits for Monday then rest of week) |
| • Forget | • Put reminder notes by site of behavior (e.g., note on wall pointing to stairs instead of elevator) | |
| • Lose Enthusiasm | • Create a list of the reasons and motivations to engage in behavior change | |
| Take Shorter Showers | • Lose track of time | • Use stop watch to time yourself |
| • Enjoyable | • Listen to two songs on the radio and then get out | |
| • Schedule showers around activities so your time in shower is limited | ||
| Cold Water Laundry | • Belief that hot water is better | • Learn that cold water is better for clothes and that detergent matters more than water |
| • Wash one load in cold and one in warm and see if there is a difference (there will not be any!) | ||
| • Stains | • Pre-treat stains | |
| • Hand wash stained areas before washing | ||
| Take Elevator Less | • Live high up | • Take the stairs down and the elevator up |
| • Running late | • Learn that taking the stairs is often faster than waiting for the elevator | |
| • Friends | • Ask them to take the stairs with you | |
| • Walk to the stairs while in the middle of talking as they may follow you | ||
| • Too hard | • Think of it as good exercise | |
| Use Less Lights | • Working late | • Use focused lights (e.g., a lamp) rather than an overhead light or study in a public area |
| • Roommates use more | • Try to schedule to do work during the daytime | |
| • Discuss and find a compromise | ||
| • Leave reminders for them to shut off lights | ||
| Use Less Elec. Entertainment | • Boredom | • Find other activities that do not need electricity (e.g., play board games instead of video games) |
| • Enjoyable / staying caught up | • Read or exercise during free time | |
| • Try watching them on computer which generally uses less electricity or watch in groups | ||
2.2.2. Residence Hall Competition
2.2.3. Post-Competition Follow-up
2.3. Measures
2.3.1. Anticipated and Experienced Difficulty
2.3.2. Behavioral Goals and Achievement
2.3.3. Competition Survey
2.3.4. Post-Competition Survey
2.3.5. Six-Month Follow-up Survey
3. Results
3.1. Training Process
Anticipated and Experienced Behavior Difficulty
3.2. Eco-Rep Behavioral Outcomes
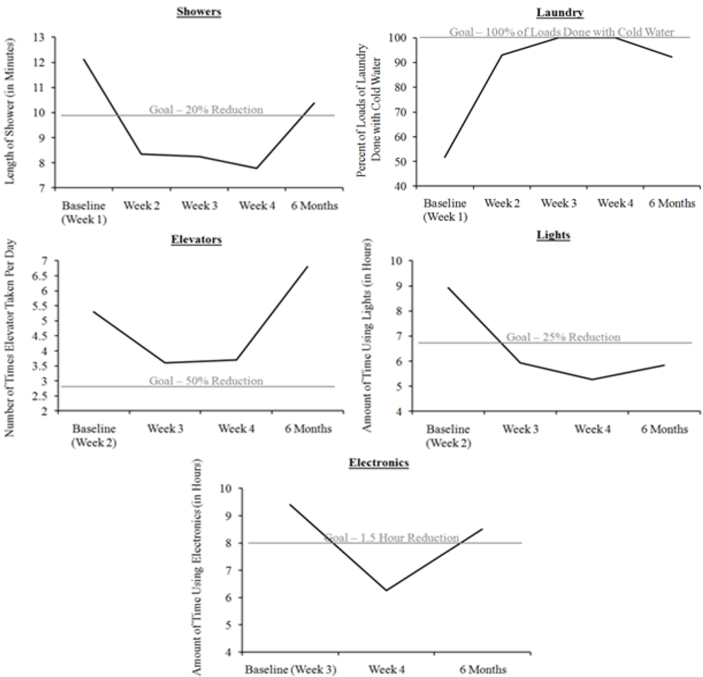
3.2.1. Behavioral Goal Attainment
3.2.2. Behavior Maintenance

3.3. Residence Hall Competition
3.3.1. Energy Use by Hall

3.3.2. Pro-Environmental Behavior Change
3.3.3. Impacts of Conversations with Eco-Reps
4. Discussion
Limitations and Future Research
5. Conclusion
Acknowledgments
Conflict of Interest
References
- Kollmuss, A.; Agyeman, J. Mind the gap: Why do people act environmentally and what are the barriers to pro-environmental behavior? Env. Educ. Res. 2002, 8, 239–260. [Google Scholar]
- Eagan, D.J.; Keniry, J. Green Investment, Green Return: How Practical Conservation Projects Save Millions on America’s Campuses; National Wildlife Federation: Reston, VA, USA, 1998. [Google Scholar]
- Schipper, L. Linking lifestyle and energy used: A matter of time? Annu. Rev. Energy 1989, 14, 273–320. [Google Scholar]
- Swim, J.K. What students know about reducing energy in residence halls. 2009; unpublished data. [Google Scholar]
- Zelezny, L.C. Educational interventions that improve environmental behaviors: A meta-analysis. J. Env. Educ. 1999, 31, 5–14. [Google Scholar] [CrossRef]
- Dahlstrand, U.; Biel, A. Pro-environmental habits: Propensity levels in behavioral change. J. Appl. Soc. Psych. 1997, 27, 588–601. [Google Scholar] [CrossRef]
- Erickson, C.; Skoglund, C. Eco-Reps programs: Conducting peer outreach in residence halls. Sustainability: The J. Rec. 2008, 1, 57–72. [Google Scholar]
- AASHE. Association for the Advancement of Sustainability in Higher Education. Available online: http://www.aashe.org/about/ (Accessed on 7 June 2012).
- Erickson, C. Peer to peer sustainability outreach programs: The interface of education and behavior change. Ph.D Thesis, The University of Vermont, Burlington, VT, USA, 2010. [Google Scholar]
- Carrico, A.R.; Riemer, M. Motivating energy conservation in the workplace: An evaluation of the use of group-level feedback and peer education. J. Env. Psych. 2011, 31, 1–13. [Google Scholar] [CrossRef]
- Allcott, H.; Mullainathan, S. Behavioral and energy policy. Science 2010, 327, 1204–1205. [Google Scholar] [CrossRef]
- Kasser, T. Psychological need satisfaction, personal well-being, and ecological sustainability. Ecopsychology 2009, 1, 175–180. [Google Scholar] [CrossRef]
- Aspinwall, L.G.; Taylor, S.E. A stitch in time: Self regulation and proactive coping. Psych. Bull. 1997, 121, 417–436. [Google Scholar] [CrossRef]
- Greenglass, E.R. Proactive Coping. In Beyond Coping: Meeting Goals, Vision, and Challenges; Frydenberg, E., Ed.; Oxford University Press: London, UK, 2002; pp. 37–62. [Google Scholar]
- Greenglass, E.R. Proactive Coping, Resources and Burnout: Implications for Occupational Stress. In Research Companion to Organizational Health Psychology: New Horizons in Management; Antoniou, A.G., Cooper, C.L., Eds.; Edward Elgar Publishing: Northampton, MA, USA, 2005; pp. 503–515. [Google Scholar]
- Thoolen, B.; de Ridder, D.; Bensing, J.; Gorter, K.; Rutten, G. Beyond good intentions: The development and evaluation of a proactive self management course for patients recently diagnosed with Type 2 diabetes. Health Educ. Res. 2008, 23, 53–61. [Google Scholar]
- Stadler, G.; Oettingen, G.; Gollwitzer, P.M. Physical activity in women: Effects of a self-regulation intervention. Am. J. Prev. Med. 2009, 36, 29–34. [Google Scholar] [CrossRef]
- Bode, C.; de Ridder, D.T.; Bensing, J.M. Preparing for aging: Development, feasibility and preliminary results of an educational program for midlife and older based on proactive coping theory. Patient Educ. Couns. 2006, 61, 272–278. [Google Scholar] [CrossRef]
- Gifford, R. The dragons of inaction: Psychological barriers that limit climate change mitigation and adaptation. Am. Psychologist 2011, 66, 290–302. [Google Scholar] [CrossRef]
- Bloodhart, B.; Swim, J.K. Predictors, processes, and strategies for psychologically connecting with ethical consumerism messages. 2013; under review. [Google Scholar]
- Kasser, T.; Ryan, R.M.; Couchman, C.E.; Sheldon, K.M. Materialistic values: Their causes and consequences. In Psychology and Consumer Culture: The Struggle for a Good Life in a Materialistic World; Kasser, T., Kanner, A.D., Eds.; American Psychological Association: Washington, DC, USA, 2004; pp. 11–28. [Google Scholar]
- Feygina, I.; Jost, J.T.; Goldsmith, R.E. System justification, the denial of global warming, and the possibility of “system-sanctioned change”. Pers. Soc. Psych. Bull 2010, 36, 326–338. [Google Scholar] [CrossRef]
- Reser, J.P.; Swim, J.K. Adapting to and coping with the threat and impacts of climate change. Am. Psychologist 2011, 66, 277–289. [Google Scholar] [CrossRef]
- Petty, R.E.; Cacioppo, J.T. Attitudes and Persuasion: Classic and Contemporary Approaches; W.C. Brown Co Publishers: Dubuque, IA, USA, 1981. [Google Scholar]
- Rogers, E.M. Network Analysis and the Diffusion of Innovations, 5th ed; Free Press: New York, NY, USA, 2003. [Google Scholar]
- Parkin, S.; McKeganey, N. The rise and rise of peer education approaches. Drugs: Educ. Prev. Pol. 2000, 7, 293–310. [Google Scholar] [CrossRef]
- Dorm vs. Dorm Sustainability Competitions. Association for the Advancement of Sustainability in Higher Education. Available online: http://www2.aashe.org/competitions/ (Accessed on 7 June 2010).
- Odom, W.; Pierce, J.; Roedl, D. Social incentive & eco-visualization displays: Toward persuading greater change in dormitory communities. In Workshop Proceedings of Public and Situated Displays to Support Communities, OZCHI, Cairns, QLD, Australia, 2008.
- Petersen, J.E.; Shunturov, V.; Janda, K.; Platt, G.; Weinberger, K. Dormitory residents reduce electricity consumption when exposed to real-time visual feedback and incentives. Int. J. Sustain. Educ. 2007, 8, 16–33. [Google Scholar] [CrossRef]
- McKenzie-Mohr, D. Promoting sustainable behavior: An introduction to community-based social marketing. J. Soc. Iss. 2000, 56, 543–554. [Google Scholar]
- Dietz, T.; Gardner, G.T.; Gilligan, J.; Stern, P.C.; Vandenbergh, M.P. Household actions can provide a behavioral wedge to rapidly reduce U.S. carbon emissions. Proc. Natl. Acad. Sci. USA 2009, 106, 18452–18456. [Google Scholar]
© 2013 by the authors; licensee MDPI, Basel, Switzerland. This article is an open access article distributed under the terms and conditions of the Creative Commons Attribution license (http://creativecommons.org/licenses/by/3.0/).
Share and Cite
Bloodhart, B.; Swim, J.K.; Zawadzki, M.J. Spreading the Eco-Message: Using Proactive Coping to Aid Eco-Rep Behavior Change Programming. Sustainability 2013, 5, 1661-1679. https://doi.org/10.3390/su5041661
Bloodhart B, Swim JK, Zawadzki MJ. Spreading the Eco-Message: Using Proactive Coping to Aid Eco-Rep Behavior Change Programming. Sustainability. 2013; 5(4):1661-1679. https://doi.org/10.3390/su5041661
Chicago/Turabian StyleBloodhart, Brittany, Janet K. Swim, and Matthew J. Zawadzki. 2013. "Spreading the Eco-Message: Using Proactive Coping to Aid Eco-Rep Behavior Change Programming" Sustainability 5, no. 4: 1661-1679. https://doi.org/10.3390/su5041661
APA StyleBloodhart, B., Swim, J. K., & Zawadzki, M. J. (2013). Spreading the Eco-Message: Using Proactive Coping to Aid Eco-Rep Behavior Change Programming. Sustainability, 5(4), 1661-1679. https://doi.org/10.3390/su5041661
