Implications of Energy Return on Energy Invested on Future Total Energy Demand
Abstract
: Human society is now at the beginning of a transition from fossil-fuel based primary energy sources to a mixture of renewable and nuclear based energy sources which have a lower Energy Return On Energy Invested (EROEI) than the older fossil based sources. This paper examines the evolution of total energy demand during this transition for a highly idealized energy economy. A simple model is introduced in which the net useful energy output required to operate an economy is assumed to remain fixed while the lower EROEI source gradually replaces the older higher EROEI primary energy source following a logistics substitution model. The results show that, for fixed net useful energy output, total energy demand increases as the ratio EROEInew/EROEIold decreases; total energy demand diverges as EROEInew approaches unity, indicating that the system must collapse in this limit.1. Introduction
Energy plays a critical role in enabling and sustaining human societies and is subject to strict physical conservation laws arising from thermodynamics. Human society is now at the beginning of a transition from fossil-fuel based primary energy sources to a mixture of renewable and nuclear based energy sources which have a lower Energy Return On Energy Invested (EROEI) than the older fossil based sources. Thus the impact of this transition on total energy demand is of particular interest. In this paper we examine this issue using a highly idealized and simplified model to illustrate the essential impacts that EROEI has on energy demand.
Suppose that the net useful energy, Enet that is required to operate an economy is constant over time, and this useful net energy is obtained from an energy “system” as illustrated in Figure 1. Here the term system is used to denote the collection of equipment, transportation and distribution networks and people that is required to extract, refine and deliver energy in a form that can be used by human society.
In this schematic system, Ein is the primary energy input from an external source (e.g., the thermal energy content of a stored energy resource like coal, petroleum, natural gas, or fissile material, or the energy input acquired from the power input from the environment, integrated over the lifetime of the system in the case of renewable energy sources). Note that this energy has a high enthalpy or quality and thus can be converted into useful form economically. This energy is delivered to the system, which then converts some of this energy input into either useful output energy, denoted as Eo, or into an energy waste stream, Ewaste, which denotes the waste energy which is rejected from the system to the environment (usually in the form of heat).
The energy system itself requires some input of useful energy in order to function (e.g., the extraction of petroleum and subsequent refining and delivery of fuel products requires a significant input of useful energy which is then no longer available to meet other human needs; the location, extraction, refining and enrichment of fissile material requires an energy input; the manufacture of wind turbines, solar thermal and/or solar photovoltaic systems requires an up-front energy investment). We can account for this energy cost using this simplified model by noting that out of the useful output energy, E0, some useful energy Ediv must be diverted for use in creating and operating the energy system itself. This diverted energy would include e.g. the energy cost to extract, refine, transport and deliver fuels such as gasoline, diesel, enriched fissile material and so forth, along with any up-front energy costs to build the apparatus that provides these fuels from raw feedstock. For renewable systems, the diverted energy includes the energy cost to build, install and maintain the system over its life, along with the energy cost of the energy delivery and ancillary energy storage systems (e.g., batteries) that may accompany the adoption of renewable sources. This diverted energy is dissipated as low grade heat by the creation and operation of the energy system and, as a result, it is not available to further productive use. Thus the quantity Enet is left and represents the net useful energy available to meet the remainder of human energy needs (e.g. the electrical energy, fuel energy content, or useful high grade heat) required for all other industrial, commercial, agricultural and domestic uses.
At this point it is important to note the relationship and distinction between EROEI and conversion efficiency, η. This latter efficiency is usually defined as where Efuel denotes the stored energy content of some refined fuel product (e.g., gasoline, diesel, enriched fissile material, and so on) and W denotes the useful work output from the conversion apparatus. Note that, unlike the EROEI discussion above, the energy cost to refine and deliver the fuel to the point of use is not considered in the calculation of efficiency. The efficiency is limited to a value that is less than unity by the physics of the system conversion apparatus (e.g. for a heat engine it is limited by the engine's thermodynamic cycle, materials limits and/or combustion temperature of the fuel; in other conversion engines such as fuel cells other quantities determine the conversion efficiency). Referring to Figure 1, the quantity Efuel would then correspond to the energy content of the refined fuel, which is produced by the energy system and would thus be denoted as Enet in Figure 1.
The EROEI and system efficiency do become linked when considering renewable energy systems. In such systems, there is an up-front energy cost or investment that must made in order to create the system and install it in a location where it can then generate useful energy. The conversion efficiency for such renewable systems is then usually defined in terms of a ratio of power input and output, i.e., where Pout denotes the output power of the system while Pin denotes the power input into the system from nature (ultimately obtained from solar irradiation). The EROEI of such a system is then defined by the energy output of the renewable system, integrated over the system lifetime, divided by the energy cost of the system. Obviously in this case efficiency does enter into the EROEI estimate, as does the lifetime and up front energy cost of the system.
In this article we are not examining the role of conversion efficiency as such in energy systems. Instead, we are focusing on the energy required to harvest either stored or incoming energy and convert it into useful form, and then look at the effect of the EROEI on total energy demand.
With these considerations in mind, the net useful energy available for needs other than the energy system itself, Enet, can be expressed in terms of the energy system output energy, Eo, and the diverted energy, Ediv as
We now define the energy returned on energy invested (EROEI), ER, as the ratio
Comparing this expression to the definition of efficiency given earlier, the distinction between the two concepts should become clearer: EROEI is a measure of how much of the useful energy delivered by the system must be diverted or otherwise used to create and operate the energy system and, as has been argued elsewhere [3], plays a crucial role in the sustainability of human civilization.
Energy into and out of the system must be conserved. Thus we can write an energy balance on the system
We are interested in developing an expression relating the net energy output of the system and the energy input to the system. Thus we write this as
Using equation (2) for the definition of EROEI, we can re-arrange this expression to give
This expression can be re-written as
2. Technology Substitution Model
Technology substitutions, in which a new solution to a human need is gradually adopted and replaces an older solution, can often be modeled with a logistics model as shown by Fischer and Pry [1] in which the market fraction f of a new primary energy source starts small, grows and then eventually saturates. As shown by Fischer and Pry, f (t) satisfies the logistics equation and has the form [1]:
The time when the market penetration, f, reaches 0.5 is called as the mid-point time, to, while the time for f to go from 0.1 to 0.9 is defined as the “takeover time”, Δt. An examination of the solution f(t) given in equation (9) shows that the takeover time Δt is set by the early growth rate, ro, and is given as . Marcetti et al [2] have shown that primary energy substitutions in the 19th and 20th century have also followed this model. The typical replacement times have been in the range of 40–60 years, corresponding to early time market fraction grow rates in the range of 7–10% per annum. A number of more recent studies of energy substitutions can also be found [2-18]; although there does not appear to be clear consensus on the utility of the logistics model, many authors use this model or a variant thereof in examining energy transitions. Thus for the purposes of this paper, which seeks to isolate and examine the effect on total energy demand precipitated by a transition from a high EROEI primary energy source to a lower EROEI source, we shall assume that the transition follows this model.
3. Idealized Model of an Energy System in Transition
Our goal in this article is to clearly isolate and highlight the impact that a transition from a higher EROEI primary energy source to a new source that has a lower EROEI has on the required total energy input from nature. Thus let us consider that we have an energy substitution occurring in which a new primary energy source is replacing an old primary energy source. Each energy system can be described schematically via the energy flows described above and, together, the two energy sources provide the net energy, Enet, required for useful purposes by human beings.
Figure 3 below provides a schematic of this system. Here ER1 denotes the EROEI of the old primary source, and ER2 denotes the EROEI of the new primary source. They are both assumed to be constant with time and larger than 1. We assume that an energy substitution is underway, such that f2 can be described by the expression given earlier for f(t). Furthermore in this idealized model we assume that there are only two primary energy sources available, such that f1(t) + f2(t) = 1. Thus as the new energy source is adopted, the older source market fraction decreases. To further simplify the model, let us assume that the total net energy, Enet, is fixed, but the source of this net energy gradually shifts from the first to the second primary energy sources. Note that this clearly disagrees with real human energy demand, which is growing at ∼1–2% per year. However, we adopt this assumption here to clearly illustrate the impact that an energy transition to lower EROEI sources has on human demand for energy from the natural world. Increases in net energy demand will simply force a further increase on the energy inputs above those identified here.
With these issues in mind, we can write energy balances for the two systems in a manner analogous to the above energy balance. Defining the total energy input from either stored energy reserves or from the environment (in the case of renewable primary energy sources) as Etot = Ein1 + Ein2 we can then write Etot in terms of the market fraction and EROEI of each energy source as
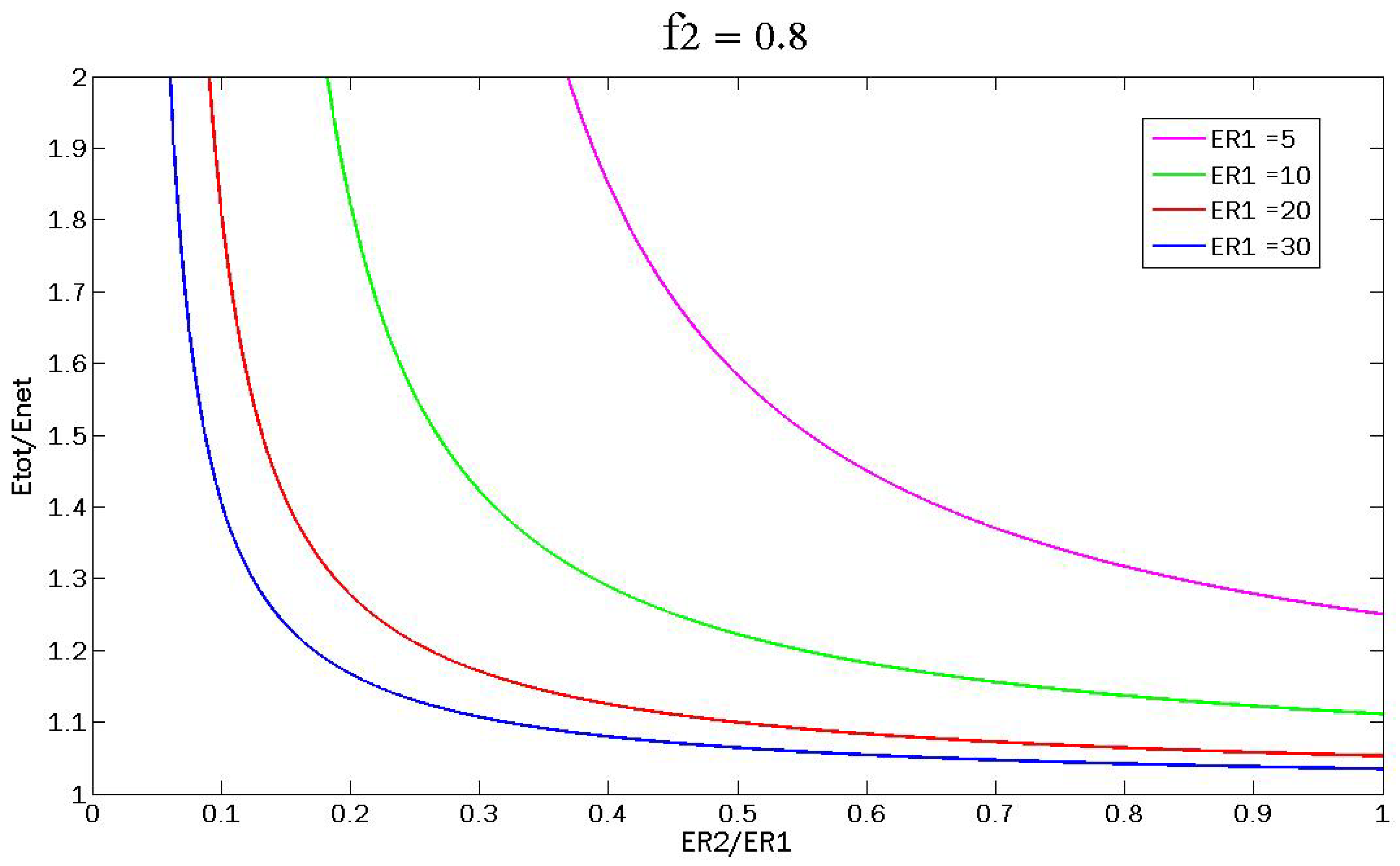
Let us examine the behavior of this solution. Taking ER1 as a free parameter, at time long after to (for example, when the transition is nearly completed with f2 = 0.8), the variation of Etot/Enet vs. ER2/ER1 is shown in Figure 4. We find that if ER1 is larger than ER2 (which is the case for the transition from high quality fossil fuels to replacement liquid fuel sources), then Etot, normalized by Enet, (which is assumed fixed in this idealization) will increase as the ratio of ER2/ER1 decreases as shown in the figure. For example, if an old high EROEI source with ER1 = 10 is replaced with a source with ER2 = 2 then for fixed net energy demand, the energy input from nature must roughly double. If ER2 ∼1.3–1.5 as e.g. for many proposed biofuels, then the energy input will be 3–4 times higher than for the higher EROEI source.
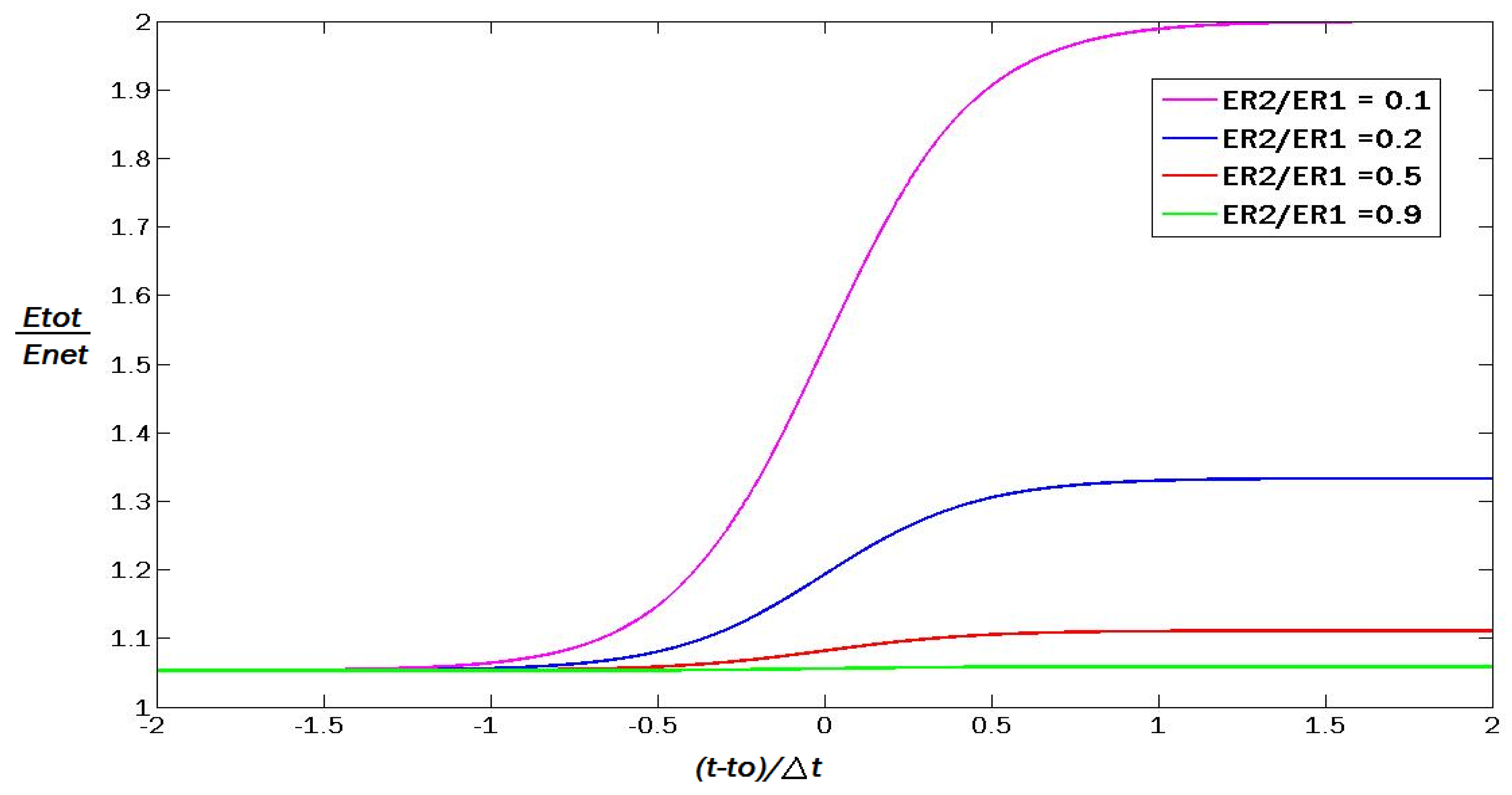
We can also examine the time variation of the energy input using this simple model. In order to do this, we take ER2/ER1 as a free parameter and fix ER1 (in this case ER1= 30 is chosen, roughly comparable to recent values for fossil fuels). In this case, the time evolution of Etot/Enet then can be found as shown in Figure 5.
The results show that if ER1 > ER2, then Etot will increase as the new energy source is taking over the market. The timescale for this change is simply the replacement time Δt which historically [2] has been in the range of 40–60 years for other primary energy source transitions.
4. Application and Discussion
Estimates [19] for the EROEI of several primary energy sources and fuels currently used or being considered for the future are listed in Table 1. We can apply these results to the generation of electrical energy by considering the relative EROEI for coal and natural gas (which currently dominate electricity production worldwide) and new electrical energy sources such as nuclear, solar PV, hydropower or wind. A shift from coal (with an EROEI ranging from 50–80) to nuclear fission (with an EROEI of 5–15) gives a ratio of new EROEI to old EROEI ranging from approximately 0.05 to 0.3. Referring to Figure 5, we then see that the total energy input that must be extracted from nature would be expected to increase by a value ranging from 20-30% up to values of 200–300%. The precise value depends on the exact EROEI taken for the coal and fission systems. Similarly, the replacement of coal-produced electricity with a renewable source such as solar PV will give a ratio of EROEI values ranging from 0.1–0.2, which gives a total energy demand increase of 30–200%. Furthermore we note that the manufacture of the solar PV systems will require an up-front energy investment, which is then returned over the life of the system; provision of this upfront energy demand would then likely occur from fossil fuel systems. The impact of this energy capital investment on near term fossil fuel energy demand is important, but also goes beyond the scope of this paper. One can easily use the values given in Table 1 and Figures 4 and 5 to estimate the impact and evolution of other electrical energy substitutions.
Another critical energy substitution that may occur in the coming decades is the replacement of petroleum-based liquid fuels with biologically-produced liquid fuels such as ethanol and biodiesel. Using the estimated EROEI values in Table 1 and the results of Figure 5, we can estimate the growth in total energy input need to provide a fixed transportation energy demand. The results suggest that substitution of ethanol or biodiesel for petroleum-based fuels will raise Etot by 50-600% to meet a fixed demand for liquid transportation fuels. Especially in the case of ethanol, whose EROEI is close to 1, Etot increases nearly six times. Clearly such a substitution will result in substantial increases in the costs for such fuels, and may also force limits on the overall production in the future.
5. Conclusion
The effect of EROEI on total energy input to a human-produced energy system in which the net useful energy demand is fixed in time is studied. Replacement of higher EROEI sources with lower EROEI sources results in an increase in the total energy input. Using published EROEI estimates for existing and new primary energy sources, we estimate that total energy inputs will need to increase by a minimum of 40% (and could increase by as much as 400%) to provide a fixed net useful energy for human societies. Growth in net useful energy demand will further increase these estimates. The timescale for these increases is given by the primary energy source replacement time, which historically has ranged from 30–50 years. Near-term production of the energy systems (e.g., solar panels, wind turbines, fission power plants) needed to convert these new primary energy sources to usable forms will force further increases in near-term energy demand; these effects have not been included here and will also put further upward pressure on net energy demand.





| Fuel | Coal | Oil | Gas | Ethanol | Biodiesel | Nuclear | Solar PV | Hydropower | Wind |
|---|---|---|---|---|---|---|---|---|---|
| EROEI | 50–80 | 20–40 | 15–25 | 1–1.5 | 1.5–3 | 5–15 | 8–10 | 20–40 | 15–25 |
References and Notes
- Fisher, J.C.; Pry, R.H. Simple substittution model of technological change. Technol. Forecast. Soc. Chang. 1971, 3, 75–88. [Google Scholar]
- Marchetti, C. Primary energy substitution models—Interaction between energy and society. Technol. Forecast. Soc. Chang. 1977, 10, 345–356. [Google Scholar]
- Philipson, L.L. Market penetration models for energy-production devices and conservation techniques. Technol. Forecast. Soc. Chang. 1978, 11, 223–236. [Google Scholar]
- Warren, E.H. Solar-energy market penetration models—Science or number mysticism. Technol. Forecast. Soc. Chang. 1980, 16, 105–118. [Google Scholar]
- Bodger, P.S.; Tay, H.S. Logistic and energy substitution models for electricity forecasting—A comparison using New-Zealand consumption data. Technol. Forecast. Soc. Chang. 1987, 31, 27–48. [Google Scholar]
- Silvennoinen, P.; Vaananen, J. Forecasting technological substitution—The logistic model of energy-systems revisited. Technol. Forecast. Soc. Chang. 1987, 32, 273–280. [Google Scholar]
- Prai, L. Projections for energy mix in India. J. Sci. Ind. Res. 1989, 48, 5–7. [Google Scholar]
- Coppola, L.; Marschoff, C.M. Technology substitution in the energy market—A one-to-one competition approach. Energy 1993, 18, 273–280. [Google Scholar]
- Reddy, A.K.N.; Reddy, B.S. Substitution of energy carriers for cooking in Bangalore. Energy 1994, 19, 561–571. [Google Scholar]
- Reddy, B.S. A multilogit model for fuel, shifts in the domestic sector. Energy 1995, 20, 929–936. [Google Scholar]
- Kwasnicki, W.; Kwasnicka, H. Long-term diffusion factors of technological development: An evolutionary model and case study. Technol. Forecast. Soc. Chang. 1996, 52, 31–57. [Google Scholar]
- DeCanio, S.J.; Laitner, J.A. Modeling technological change in energy demand forecasting—A generalized approach. Technol. Forecast. Soc. Chang. 1997, 55, 249–263. [Google Scholar]
- Grubler, A.; Nakicenovic, N.; Victor, D.G. Modeling technological change: Implications for the global environment. Annu. Rev. Energ. Environ. 1999, 24, 545–569. [Google Scholar]
- Grubler, A.; Nakicenovic, N.; Victor, D.G. Dynamics of energy technologies and global change. Energy Policy 1999, 27, 247–280. [Google Scholar]
- Knapp, K.E. Exploring energy technology substitution for reducing atmospheric carbon emissions. Energy J. 1999, 20, 121–143. [Google Scholar]
- Masini, A.; Frankl, P. Forecasting the diffusion of photovoltaic systems in southern Europe: A learning curve approach. Technol. Forecast. Soc. Chang. 2003, 70, 39–65. [Google Scholar]
- Riahi, K.; Rubin, E.S.; Taylor, M.R.; Schrattenholzer, L.; Hounshell, D. Technological learning for carbon capture and sequestration technologies. Energy Econ. 2004, 26, 539–564. [Google Scholar]
- Lund, P.D. Exploring past energy changes and their implications for the pace of penetration of new energy technologies. Energy 2010, 35, 647–656. [Google Scholar]
- Hall, C.A.S.; Balogh, S.; Murphy, D.J.R. What is the minimum EROI that a sustainable society must have? Energies 2009, 2, 25–47. [Google Scholar]
© 2011 by the authors; licensee MDPI, Basel, Switzerland. This article is an open access article distributed under the terms and conditions of the Creative Commons Attribution license (http://creativecommons.org/licenses/by/3.0/).
Share and Cite
Deng, S.; Tynan, G.R. Implications of Energy Return on Energy Invested on Future Total Energy Demand. Sustainability 2011, 3, 2433-2442. https://doi.org/10.3390/su3122433
Deng S, Tynan GR. Implications of Energy Return on Energy Invested on Future Total Energy Demand. Sustainability. 2011; 3(12):2433-2442. https://doi.org/10.3390/su3122433
Chicago/Turabian StyleDeng, Shinuo, and George R. Tynan. 2011. "Implications of Energy Return on Energy Invested on Future Total Energy Demand" Sustainability 3, no. 12: 2433-2442. https://doi.org/10.3390/su3122433
APA StyleDeng, S., & Tynan, G. R. (2011). Implications of Energy Return on Energy Invested on Future Total Energy Demand. Sustainability, 3(12), 2433-2442. https://doi.org/10.3390/su3122433
