Next Article in Journal
Environmental Impacts of Municipal Solid Waste Disposal in Urban Areas: A Systematic Review of Contamination Pathways, Assessment Methods, and Mitigation Strategies
Previous Article in Journal
Effects of Synthetic Root Exudate on Drying-Induced Hardening in Sandy Soils
 
 
Font Type:
Arial Georgia Verdana
Font Size:
Aa Aa Aa
Line Spacing:
Column Width:
Background:
Article

Evolutionary Game Analysis of Energy Enterprises’ Technological Transformation and Pollution–Carbon Reduction Decisions Under Reputation Incentive Mechanism

School of Economics, Shenyang University of Technology, Shenyang 110870, China
*
Author to whom correspondence should be addressed.
Sustainability 2026, 18(8), 3899; https://doi.org/10.3390/su18083899
Submission received: 7 March 2026 / Revised: 10 April 2026 / Accepted: 13 April 2026 / Published: 15 April 2026

Abstract

As major sources of pollution and carbon emissions, energy enterprises have long faced challenges in their technological transformation due to the industry’s characteristics of high investment costs and strong lock-in effects. While formal mechanisms such as government subsidies can impose short-term constraints, they fail to stimulate the sector’s intrinsic motivation. Can the reputation incentive mechanism be the key to breaking the deadlock? This paper constructs a three-party evolutionary game model involving energy enterprises, the public, and the government from the perspective of informal institutions. For the first time, it incorporates the dual effects of reputation gains and losses into a unified framework. The results show that reputation incentives are not merely a “cherry on top,” but rather independently drive transformation by moderating enterprises’ cost–benefit structures. The evolution of the three-party strategies exhibits dynamic synergy, and the system equilibrium depends on the threshold matching of key parameters. Subsidy policies are effective in the short term, but may crowd out the role of reputation in the long term. This paper reveals the underlying logic by which the integration of informal institutions and formal regulations drives profound transformation, offering new theoretical perspectives and practical guidance for designing incentive-compatible multi-stakeholder governance frameworks.

1. Introduction

Currently, environmental pollution and excessive carbon emissions are the primary obstacles to global ecological security and economic and social sustainability. Not only have they triggered a series of ecological crises, such as frequent extreme weather events and a sharp decline in biodiversity [1], but they also pose a serious threat to the very foundations of human production and daily life [2]. It is urgent to advance coordinated pollution and carbon emission reduction. Energy-related activities in China account for more than 85% of total carbon dioxide emissions. While energy enterprises—such as those in the power, petroleum, and chemical industries—form the backbone of the national economy, they are also the primary sources of pollution and carbon emissions. The high levels of pollution and carbon emissions resulting from traditional energy production and consumption patterns fail to meet the demands of high-quality development in today’s era. Energy enterprises must urgently overcome development bottlenecks through technological transformation to promote synergies in pollution reduction and carbon emission reduction [3]. Energy enterprises’ technology transformation can drive the implementation of low-carbon technologies, thereby achieving coordinated pollution and carbon reduction management [4]. Currently, energy enterprises are navigating the most challenging phase of their transformation from traditional fossil fuels to clean, low-carbon energy sources. Unlike other sectors, such as manufacturing, the energy sector’s transition is characterized by significantly higher costs, longer timelines, and greater risks. For instance, at the Ningxia Power Company of the State Energy Group, SO2 emissions amount to approximately 1455.32 tons per year, and NOx emissions to approximately 2079.00 tons per year. The company has invested approximately 10.7085 billion yuan in environmental protection funds for technological upgrades. However, due to insufficient technological maturity, high operating costs, and an underdeveloped market mechanism, the direct economic returns from these upgrades have been insufficient to cover the costs. Consequently, the enterprise’s pollution reduction and carbon emission reduction achievements have failed to translate into market reputation and financing advantages, creating a transformation dilemma characterized by “high investment, low returns, and weak reputation.” This instance reflects the deep-seated contradictions underlying the transformation of energy enterprises: simple policy constraints and economic incentives are no longer sufficient to support the long-term development of these companies [5]. As a soft governance tool, the reputation-based incentive mechanism offers new logic and pathways for enterprises to make decisions on pollution and carbon emissions reduction.
As an informal institution, the reputation incentive mechanism transforms social evaluations and market signals into core enterprise assets, thereby guiding energy companies to optimize their energy mix and invest in low-carbon technology R&D [6]. Compared to other industries, the energy sector faces greater pressure from public scrutiny. Feedback from the public and the government significantly influences corporate decision-making, and reputational incentives have a unique ability to drive change. By leveraging the strong reputation built through technological transformation, enterprises can enhance their market competitiveness, reduce financing costs, and secure preferential policies. Together, these factors create a stable external foundation and internal momentum for implementing pollution and carbon reduction initiatives [7]. At the same time, the spillover effects of reputational incentives will also encourage the government to optimize its green governance models and enhance the effectiveness of policy implementation. In turn, this will further strengthen the synergistic effects of technological transformation and pollution and carbon reduction. Combining formal regulations with informal reputational incentives can encourage energy enterprises to shift from passive compliance to proactive innovation [8], ensuring that the outcomes of technological transformation are fully translated into tangible reductions in pollution and carbon emissions, thereby achieving synergistic benefits.
Unlike existing research on evolutionary games in environmental governance, the innovations of this paper are primarily reflected in the following three aspects: (1) Overcoming the limitation that existing research has largely focused on formal institutions—such as government subsidies—which struggle to impose sustained behavioral constraints, this paper pioneers the incorporation of the reputation incentive mechanism as a core variable into a three-party evolutionary game model involving “energy enterprises, the public, and the government.” We systematically investigate the pathways through which this mechanism influences energy enterprises’ technological transformation and decisions on pollution and carbon emissions reduction. (2) Through numerical simulation, systematically investigate the independent mechanisms and boundary conditions by which reputation gains and losses influence firms’ technological transformation decisions. Also identify the threshold effects of key parameters—such as costs and subsidies—on system convergence. (3) By focusing on the synergistic relationship between reputational incentives and formal policy instruments, this paper reveals the underlying logic by which the integration of informal institutions and formal regulations drives the deep decarbonization of energy enterprises. These findings offer a novel theoretical framework for improving the green governance system.

2. Literature Review

2.1. Research on the Technological Transformation and Pollution Reduction–Carbon Emission Mitigation of Energy Enterprises

The technological transformation of energy enterprises and the reduction of pollution and carbon emissions are the key paths for promoting the green development of the industry. Acheampong and Wang pointed out that the low-carbon transformation of enterprises not only enables them to reduce pollution emissions, promote internal technological innovation, but also enhances the enterprise value and improves the overall productivity [9]. Additionally, Zeng and He added that synergies between pollution reduction and carbon emission reduction can ease China’s dual pressures in improving environmental quality and reducing greenhouse gas emissions [10].
The synergistic benefits of pollution reduction, carbon emission reduction, and green transformation in energy enterprises require feasible technical pathways to achieve. Existing research consistently indicates that technological transformation, exemplified by digitalization and artificial intelligence (AI), serves as the core driving force enabling energy enterprises to meet their pollution reduction and carbon emission reduction objectives. Chen et al. revealed a U-shaped relationship between artificial intelligence computing power and the green transformation of energy enterprises in their research, highlighting the importance of technological maturity [11]. Zhao and Li focused on how AI can mitigate the negative effects of public pressure, thereby driving green innovation and transformation in energy enterprises [12]. Wang found that digital transformation significantly promotes low-carbon transition [13]. Liu et al., focusing on manufacturing enterprises, found that digitalization promotes green innovation through two channels: increasing investment in innovation resources and reducing debt costs [14]. Ran et al. [15] and Sun et al. [16] further emphasized the critical role of digitalization in mitigating information asymmetry. Digitalization is regarded as a key mechanism for effectively reducing information asymmetry between governments and enterprises and promoting corporate green transformation. While the above studies have identified the drivers of technological transformation, they largely treat it as either the outcome of corporate green innovation or an intermediate variable, rather than a core strategy in corporate decision-making. Consequently, they have failed to incorporate it into a multi-agent game theory framework for analysis.
However, the effects of the technological transformation are not isolated. The government, as a key driver, plays multiple roles in this process. Firstly, as environmental regulators, the government directly imposes external constraints through command-and-control policies. However, as Söderholm and Sundström pointed out, such regulation may stimulate the adoption of green technologies by enterprises, but it may not necessarily drive their overall transformation [17]. To enhance internal motivation, the government then acts as an incentive provider and offers support through economic means such as subsidies. Guo et al. found that this not only alleviates financial pressure but also conveys positive signals to the market, stimulating enterprises to take the initiative in transformation [18]. Based on this, the government further assumes the role of a market builder. The carbon trading mechanism has been demonstrated by Chen et al. [19] and Zhang et al. [20] to effectively promote the low-carbon transformation of high-energy-consuming enterprises and generate significant synergistic effects in reducing pollution and carbon emissions. At the governance system level, as the designer of the system, the government’s policy intensity has an impact on the effectiveness of the transformation. Zhou and Han pointed out that command-and-control policies need to reach a certain intensity to be effective [21]. However, formal institutions are often characterized by external coercion or short-term incentives, struggling to internalize as a driving force for long-term strategic choices within firms, and failing to fully capture the heterogeneous differences in environmental performance across firms. This paper introduces the institutional mechanism of reputation incentives into research on technological transformation and pollution and carbon reduction in energy enterprises, thereby compensating for the aforementioned shortcomings.

2.2. Related Research on Multi-Agent Decision-Making Under Reputation Incentive Mechanisms

Reputation incentive mechanisms, as a typical medium-to-long-term incentive approach [22], fundamentally leverage individuals’ self-preservation instincts regarding their public image to generate self-regulatory forces and actions under conditions of information asymmetry. This mechanism enables cost-effective and self-disciplined regulation of organizational behavior, serving dual roles of motivation and constraint [23].
For enterprises, embedding reputation incentive mechanisms into regulatory frameworks can guide corporate decision-making. Guo et al. demonstrated through an evolutionary game model that the risk of reputational damage serves as a significant motivator for enterprises to opt for genuine green transitions [24]. Bal-Domańska et al. specifically addressed this point, noting that reputation is a key determinant in the adoption of eco-innovation for enterprises of all sizes. For large enterprises in particular, reputation holds equal importance alongside legal requirements and incentive mechanisms [25]. Furthermore, Ji et al. [26] and Cao et al. [27] focused on the strategic interactions between governments and energy enterprises. Both teams emphasized that government-imposed subsidies and penalties must be integrated with enterprises’ reputational considerations to more effectively incentivize green innovation or compliance-driven emissions reductions. Wang and Zhang revealed from the perspective of manufacturing capacity sharing that, based on blockchain technology ensuring trustworthy information, an increase in the reputation gain coefficient can effectively promote active cooperation among enterprises [28]. This supports the “reputation incentive” path proposed by Shahab et al., which states that social trust, when transformed into an enterprise’s reputation capital, can motivate it to consciously regulate its environmental behavior [29]. Therefore, the technological transformation and pollution reduction–carbon emission reduction decisions of enterprises essentially represent strategic choices made after weighing the short-term costs and the long-term market advantages and social recognition brought about by reputation capital. Most of the existing research treats reputation as a covariate of subsidies or penalties, lacking a systematic theoretical framework that accounts for both the positive and negative effects of reputation. Furthermore, it fails to clarify the independent mechanisms through which these two effects influence enterprises’ technology transformation decisions, nor does it address their relative importance.
As a key stakeholder in environmental governance, the public’s decision-making behavior is also influenced by reputation incentive mechanisms [30]. Jordan proposed a “pull and push” theoretical framework, suggesting that the public, acting as “evaluators”, may be drawn toward cooperation by the reciprocated benefits signaled by reputable actors or compelled to engage through social normative pressure [31]. This framework provides a theoretical foundation for understanding public sensitivity to reputation. On the behavioral level, Yao and Li further revealed through an evolutionary game model that reputation can guide individuals to imitate those with high reputation, thereby acting as a “social amplifier” to promote cooperation and stabilize social order [32]. At the same time, combining reputation incentives with other approaches can effectively guide public decision-making. For instance, studies by Guo et al. [33] and Han et al. [34] respectively confirmed that in carbon credit programs and rural waste sorting initiatives, “economic-reputation” composite incentives most effectively enhance public willingness to participate and behavioral engagement. Moreover, digital technologies have amplified the public’s capacity for reputation oversight. The online reputation assessment framework developed by Zhong et al. demonstrated that public sentiment can be transformed into systematic, visualizable reputation signals, thereby exerting more direct influence on corporate and governmental behavior [35]. However, much of the existing literature focuses on the public’s role as “recipients of incentives,” while lacking an in-depth analysis of the underlying mechanisms through which the public, as “reputation evaluators,” can drive corporate transformation through consumer choices and social oversight. In particular, few studies have incorporated public perceptions of reputation into a three-party cooperative game framework.

2.3. Shortcomings and Implications of Existing Research

Existing research provides important insights and directions for this paper: First, unlike prior studies that primarily rely on formal institutions, such as government subsidies, to incentivize firms, this paper employs the informal institution of reputational incentives to encourage energy enterprises to shift from passive compliance to active innovation. Second, unlike existing studies that treat reputation as a covariate of subsidies or penalties, this paper develops a theoretical model that captures both the positive and negative effects of reputation. The model reveals the underlying mechanism by which reputation incentives drive corporate transformation independently of formal policy instruments. Third, through simulation analysis, we aim to identify the threshold values at which variables such as reputational gains and losses influence corporate transformation choices and public consumption decisions. Simultaneously, we will quantify the synergistic and conflicting effects of subsidies and reputational incentives to enhance the practical applicability of this research.
However, the existing literature has the following shortcomings: Firstly, the existing literature does not integrate the reputation incentive mechanism with the technological transformation and pollution reduction and carbon emission reduction of energy enterprises for analysis, and lacks an analysis of how reputation interacts with formal policy tools to drive the transformation of energy enterprises. Secondly, the existing research fails to clearly define the specific thresholds of the key variables such as reputation gains and losses in relation to enterprises’ transformation choices and public consumption decisions. The explanation of the endogenous driving force of transformation is not comprehensive enough and cannot be directly applied to guide the specific decisions of enterprises and the public. Finally, the existing research fails to adequately explore the new issues arising from the accelerated dissemination of reputation information in technological environments such as social media and blockchain, including the increased risk of “green whitening” and the potential loss of focus in public opinion supervision.

3. Problem Description and Model Assumptions

3.1. Problem Description

Under the dual pressures of global climate change and environmental pollution, promoting technological transformation in the energy enterprise sector and achieving both pollution reduction and carbon emission reduction has become a strategic priority for national sustainable development. However, transformation decisions by energy enterprises have long been constrained by the industry’s characteristics of “high investment, long implementation cycles, and strong lock-in effects.” While relying solely on formal mechanisms such as government subsidies, carbon trading, and environmental regulations can create short-term constraints and incentives, it fails to fundamentally resolve the deep-seated contradiction of insufficient motivation for corporate transformation. Against this backdrop, the reputation incentive mechanism, as an informal institutional arrangement, can transform a company’s environmental performance into market advantages, such as financing convenience, brand premium, and policy inclination through soft constraints like social evaluation, public supervision and market signals. Thus, it can compensate for the deficiencies of formal institutions by stimulating endogenous motivation and promoting collaborative governance among multiple stakeholders. In the process of transformation and pollution and carbon reduction, energy enterprises, the public, and the government, as key stakeholders, play a crucial role. As the designer of institutions and the regulator, the government plays a role in regulating and guiding the economy through policy measures and economic incentives. As market drivers and social monitors, the public generates social pressure and signals of choice through their preference for green consumption and environmental discourse. As key implementers and the primary agents of transformation, energy enterprises make strategic decisions on whether to pursue a deep low-carbon technology transformation after weighing the costs and benefits. The three parties influence one another in a dynamic interplay, forming a complex system of co-evolution, with their fundamental relationships shown in Figure 1.
Specifically, the reputation incentive mechanism, as an informal institutional arrangement, provides a new pathway for behavioral interactions among enterprises, the public, and the government through soft constraints such as social evaluation, public oversight, and market signals. Under the influence of reputation incentive mechanisms, public consumption preferences, perceptions of environmental welfare, and social oversight collectively form market demand signals. Government-designated reward and punishment mechanisms, refined regulatory frameworks, and the enabling power of reputation incentive mechanisms collectively establish institutional constraints. Meanwhile, energy enterprises’ environmental information disclosure and reputation management trigger reputation signals. These signals and constraints collectively drive energy enterprises to optimize their energy structures, upgrade production processes, and advance low-carbon technology R&D, ultimately achieving technological transformation and reducing pollution and carbon emissions. Thus, energy enterprises, the public, and the government form a dynamic, interactive, and strategically interdependent evolutionary game system, with its game mechanism pathway shown in Figure 2.

3.2. Model Assumptions

Based on the behavioral logic among energy enterprises, the public, and the government, this paper proposes the following assumptions:
Assumption 1. 
The game involves three players—energy enterprises, the public, and the government—all operating with bounded rationality and limited information. Each seeks to maximize its own interests or utility. Through continuous learning, imitation, and strategy adjustment during the game, they strive to achieve their respective goals of maximizing self-interest or utility.
Assumption 2. 
In reputation-driven synergistic governance for pollution reduction and carbon emission reduction, energy enterprises adopt the strategy {low-carbon transformation reputation disclosure, traditional production reputation concealment}. The probability of choosing the low-carbon transformation reputation disclosure strategy is  x , while the probability of choosing the traditional production reputation concealment strategy is  1 x ( 0 < x < 1 ) . The public’s strategic choices are {preference for green energy products, reliance on traditional products}. The probability of choosing the green product preference strategy is  y , and the probability of choosing the indifference consumption strategy is  1 y ( 0 < y < 1 ) . The government’s strategy choice is {reputation-driven supervision, uniform supervision}. The probability of choosing the reputation-driven supervision strategy is  z , and the probability of choosing the uniform supervision strategy is  1 z ( 0 < z < 1 ) .
Assumption 3. 
The cost of proactive transformation for energy enterprises is  C e 1 , while the cost of passively maintaining the status quo is  C e 2 ( C e 2 < C e 1 ) . If energy enterprises proactively transform and exceed pollution reduction and carbon emission reduction targets, they gain reputation premium benefits of  R e  and carbon emission rights sale revenue of  T . Passively maintaining the status quo, however, leads to excess carbon emissions, resulting in reputation damage losses of  L e  and carbon emission rights purchase costs of  C e 3 .
Assumption 4. 
When consumers opt for green energy products, they bear a higher purchase cost  C p . Simultaneously, they gain reputational benefits  R p  for supporting the green transition. If consumers choose indifference consumption—that is, not distinguishing the green attributes of energy products—they may save some consumption costs in the short term but risk reputational loss  L p 1 , such as facing social pressure.
Assumption 5. 
The government actively implements a reputation incentive mechanism, incurring regulatory costs of  C g 1 . To incentivize energy enterprises to proactively transition, the government provides subsidies of  S . Enterprises that refuse to transition or passively maintain the status quo are fined  F , and their environmental performance is publicly disclosed. If the government adopts a non-differentiated regulatory strategy, the regulatory costs amount to  C g 2 ( C g 2 < C g 1 ) .
Assumption 6. 
When energy enterprises proactively implement low-carbon transformation, the government gains environmental benefits  E g , including improved air quality, ecosystem restoration, and enhanced green image, while the public receives environmental welfare  E p , such as improved health conditions and enhanced quality of life. Conversely, if enterprises passively maintain traditional production methods, the government will bear environmental losses  L g , including pollution control costs and international pressure to reduce emissions, while the public will incur health losses  L p 2 , such as increased medical expenses due to pollution and diminished quality of life.

3.3. Payment Matrix

Based on the model assumptions and parameter settings, this paper constructs a three-party entity evolution game payment matrix as shown in Table 1. This matrix systematically integrates all the parameters and game strategies set in the previous text, and completely depicts the eight strategy combinations formed when energy enterprises choose “low-carbon transformation reputation disclosure” or “traditional production reputation concealment”, and when the public chooses “preference for green energy products” or “reliance on traditional products”, under the two government strategies of “ reputation-driven supervision “ and “uniform supervision”. This payment matrix serves as the basis for subsequent analysis of the interaction of various strategies, solving the replicative dynamic equation, and studying the evolutionary equilibrium of the system.

3.4. Evolutionary Game Replicator Dynamic Equation

Construct the replicating dynamic equations for the three entities. Let E 11 denote the expected return for energy enterprises choosing to disclose low-carbon transition reputations, E 12 denote the expected return for choosing to conceal traditional production reputations, and E 1 ¯ denote the average expected return, as shown in Equations (1)–(3).
E 11 = y z ( R e C e 1 + T + S ) + ( 1 y ) z ( C e 1 + R e + T + S ) + y ( 1 z ) ( C e 1 + R e + T ) + ( 1 y ) ( 1 z ) ( C e 1 + R e + T )
E 12 = y z ( C e 2 L e C e 3 F ) + ( 1 y ) z ( F C e 2 L e C e 3 ) + y ( 1 z ) ( C e 2 L e C e 3 ) + ( 1 y ) ( 1 z ) ( C e 2 L e C e 3 )
E 1 ¯ = x E 11 + ( 1 x ) E 12
The replicating dynamic equation F ( x ) for energy enterprises’ strategic choices is shown in Equation (4).
F ( x ) = d x d t = x ( E 11 E 1 ¯ ) = x ( 1 x ) ( E 11 E 12 ) = x ( x 1 ) ( C e 2 C e 1 + C e 3 + L e + R e + T + F z + S z )
F ( x ) = ( C e 2 C e 1 + C e 3 + L e + R e + T + F z + S z ) ( 2 x + 1 )
According to the principle of stability in differential equations, the strategic choices of energy enterprises must satisfy F ( x ) = 0 and F ( x ) < 0 to remain in a stable state.
Let the expected utility of choosing green energy products be denoted as E 21 , and the expected utility of choosing traditional products be denoted as E 22 . The average expected utility is denoted as E 2 ¯ , as shown in Equations (6)–(8).
E 21 = x z ( R p C p + E p ) + ( 1 x ) z ( L p 2 C p + R p ) + x ( 1 z ) ( E p C p + R p ) + ( 1 x ) ( 1 z ) ( R p C p L p 2 )
E 22 = x z ( L p 1 + E p ) + ( 1 x ) z ( L p 1 L p 2 ) + x ( 1 z ) ( L p 1 + E p ) + ( 1 x ) ( 1 z ) ( L p 1 L p 2 )
E 2 ¯ = y E 21 + ( 1 y ) E 22
The replicating dynamic equation F ( y ) for public strategy selection is shown in Equation (9).
F ( y ) = d y d t = y ( E 21 E 2 ¯ ) = y ( 1 y ) ( E 21 E 22 ) = y ( y 1 ) ( L p 1 C p + R p )
F ( y ) = ( L p 1 C p + R p ) ( 2 y + 1 )
According to the principle of stability in differential equations, the public’s strategy selection must satisfy F ( y ) = 0 and F ( y ) < 0 for the equilibrium to be stable.
Let the expected return of choosing reputation-based regulation be E 31 , and the expected return of choosing indiscriminate regulation be E 32 , with the average expected return being E 3 ¯ , as shown in Equations (11)–(13).
E 31 = x y ( E g C g 1 S ) + ( 1 x ) y ( C g 1 + F L g ) + x ( 1 y ) ( C g 1 S + E g ) + ( 1 x ) ( 1 y ) ( C g 1 + F L g )
E 32 = x y ( C g 2 + E g ) + ( 1 x ) y ( C g 2 L g ) + x ( 1 y ) ( C g 2 + E g ) + ( 1 x ) ( 1 y ) ( C g 2 L g )
E 3 ¯ = z E 31 + ( 1 z ) E 32
The replicating dynamic equation F ( z ) for government strategy selection is shown in Equation (14).
F ( z ) = d z d t = z ( E 31 E 3 ¯ ) = z ( 1 z ) ( E 31 E 32 ) = z ( z 1 ) ( C g 1 C g 2 F + F x + S x )
F ( z ) = ( C g 1 C g 2 F + F x + S x ) ( 2 z 1 )
According to the principle of stability in differential equations, for the government’s strategy selection to be in a stable state, it must satisfy F ( z ) = 0 and F ( z ) < 0 .

4. Evolutionary Stable Strategy Analysis

Setting F ( x ) = F ( y ) = F ( z ) = 0 , eight equilibrium points can be obtained, namely (0,0,0), (0,1,0), (0,0,1), (0,1,1), (1,0,0), (1,1,0), (1,0,1), (1,1,1). By combining with the replicator dynamic equation of the game entities, the Jacobian matrix J can be calculated. The equilibrium points and their corresponding eigenvalues are shown in Table 2.
Situation 1: When C e 2 C e 1 + C e 3 + F + L e + R e + S + T < 0 , and C p L p 1 R p < 0 , C p < L p 1 + R p , the game system reaches a stable state at the equilibrium point E4(0,1,1). That is, the strategy choices of the game subjects converge to a balanced state of “energy enterprises concealing their traditional production reputation, the public having a preference for green energy products, and the government enabling regulatory reputation”.
At this point, C e 1 > C e 2 + C e 3 + F + L e + R e + S + T , indicating that despite facing multiple pressures such as fines, carbon allowance purchases, and reputational damage, and despite enjoying incentives like subsidies, reputational gains, and carbon trading, the total cost of voluntary transformation for enterprises still exceeds the sum of all external incentives and avoidance costs. The reason lies in the prohibitively high costs of green technologies or initial investments. Consequently, even under a scenario combining government penalties and market incentives, energy enterprises find transformation uneconomical. Thus, they opt for “traditional production reputation concealment”. C g 1 < C g 2 + F indicates that when the additional cost borne by the public for purchasing green energy products is less than the sum of the potential loss of social reputation from choosing traditional energy products and the personal reputation gains from supporting green consumption, opting for green consumption becomes more advantageous in terms of individual utility. This mechanism reveals that in a socially conscious environment, green preferences in consumption behavior are driven not only by environmental benefits but also by strong influences from social norms and personal reputation. C g 1 < C g 2 + F indicates that when enterprises are reluctant to transform while the public demands greener solutions, the government adopts a “reputation-driven supervision” strategy. Although this approach entails higher regulatory costs, the fines imposed on non-compliant enterprises and the potential reduction in environmental damage (or increased environmental benefits) from strengthened oversight sufficiently cover and exceed these additional costs. The government plays a pivotal role in correcting market failures and responding to public expectations. Through mandatory penalties and information disclosure, it seeks to exert pressure on enterprises while safeguarding public environmental rights.
Situation 2: When C e 1 C e 2 C e 3 L e R e T < 0 and C p L p 1 R p < 0 , the game system reaches a stable equilibrium at the point E6(1,1,0). This means the players’ strategy choices converge to a balanced state characterized by: “energy enterprises disclosing their low-carbon transition reputation, the public preferring green energy products, and the government implementing non-discriminatory regulation”.
At this point, R e + T > C e 1 C e 2 C e 3 L e , indicating that when the sum of the reputation premium gains and carbon trading revenues obtained by enterprises through transformation exceeds the net costs (including penalties, carbon credit purchase costs, etc.) incurred compared to maintaining the status quo, the expected net benefit of transformation is positive. Under this mechanism, market incentives are sufficiently strong to cover transformation costs, driving energy enterprises to voluntarily adopt a “low-carbon transformation reputation disclosure” strategy even without direct government intervention through additional subsidies or penalties. C p < L p 1 + R p , identical to Situation 1. This indicates that the public’s motivation for green consumption primarily stems from a robust social reputation mechanism, with their behavioral choices relatively independent of the actual pace of corporate transformation. Even when enterprises have not transformed, the public tends to choose green products to gain reputational benefits, avoid reputational losses, or obtain environmental welfare. This may reflect consumer choices under information asymmetry (where enterprises “conceal their reputation”) or indicate that public demand for green products possesses a degree of rigidity or ethical attributes.

5. Simulation Analysis

5.1. Initial Assignment

The effectiveness of the evolutionary game model involving energy enterprises, the public, and the government is validated through numerical simulation. Specifically, MATLAB 2016 simulation software is employed to model the influence patterns of key parameters on the system’s evolutionary stable strategies. In the parameter assignment section, this paper conducts an in-depth analysis of the financial reports of leading energy companies such as PetroChina and examines the annual intensity of investment in green technology upgrades. We also study the combined effects of the brand premium achieved by green products in the market and the resulting reduction in financing costs. By integrating available data on government policy subsidies, tax breaks, and administrative penalties during the transformation process of China’s energy enterprises, we estimate the relevant parameters. In addition, this paper draws on the parameter assignment logic presented by Cui B Q et al. [36] and Ning J et al. [37]. To ensure consistency in the conclusions, this paper applies simplifications such as scaling to the parameters. The specific values do not represent actual amounts but rather the relative magnitudes of the parameters. The initial willingness of all three parties is set at 0.5, with specific values shown in Table 3. Based on this, we conduct a parameter sensitivity analysis to validate the effectiveness of the evolutionary stability analysis. The initial evolutionary simulation result is shown in Figure 3.
Under the initial assignment, the game system converges toward the E 6 ( 1 , 1 , 0 ) stable point, as shown in Figure 3. This equilibrium corresponds to the following stable strategy combination: energy enterprises opt for low-carbon transition reputation disclosure, the public chooses green energy product preference, and the government selects non-discriminatory regulation. This equilibrium outcome reveals that, under the current parameter conditions, the reputation incentive mechanisms at both market and societal levels have already formed effective self-governance, propelling the system toward autonomous evolution toward a green and low-carbon direction.

5.2. Cost Sensitivity Analysis of All Parties

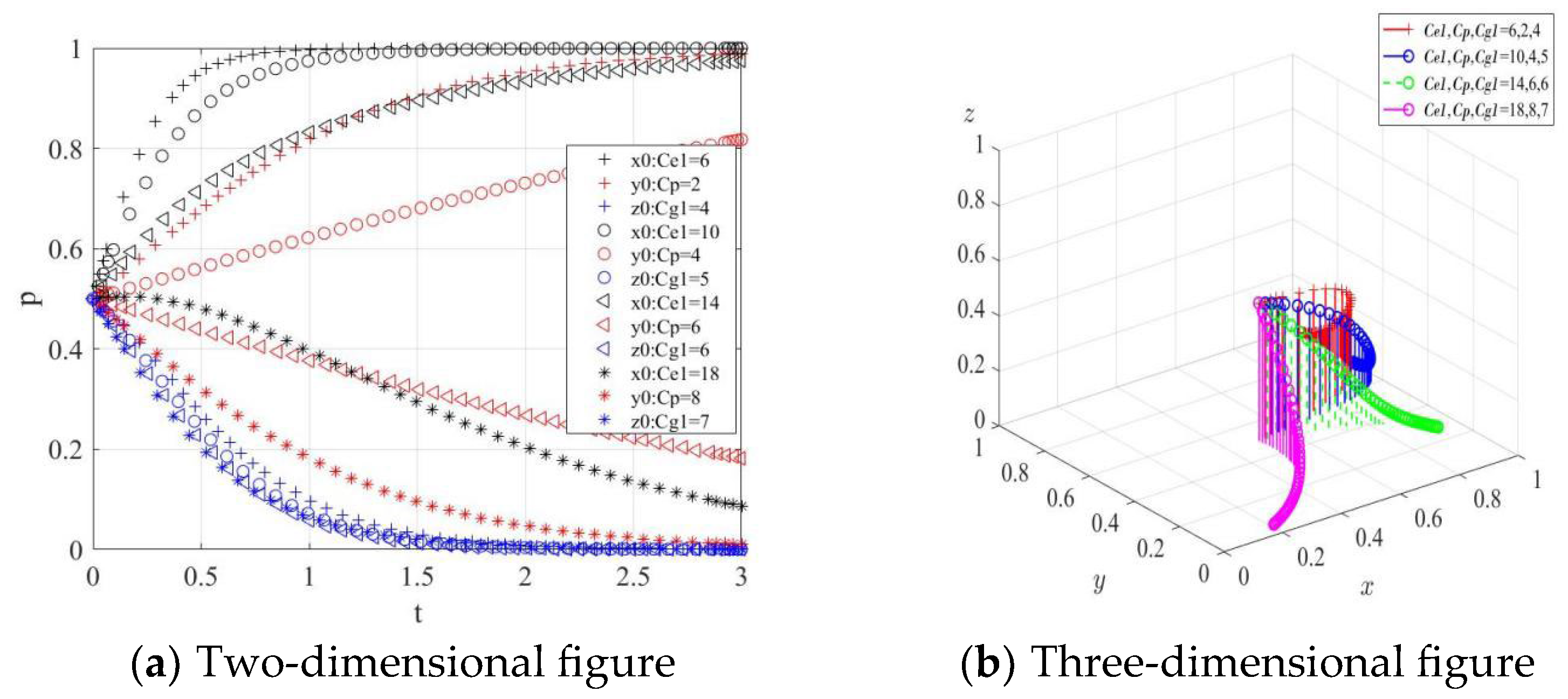
The rising costs of low-carbon transition for energy enterprises and public green consumption exert a significant inhibitory effect on system evolution, as shown in Figure 4. When the transition cost C e 1 12 , enterprises tend to actively pursue transition. As costs rise, their willingness to transition gradually diminishes. If costs become too high, such as C e 1 18 , enterprises revert to traditional production strategies, and the system shifts from (1,1,0) to (0,1,0). As far as the public is concerned, when cost C p 4 , they tend to opt for green consumption. As costs rise, their willingness to consume decreases. When C p 8 , the public switches to conventional consumption. If C e 1 18 and C p 8 , the system will fall into a low-level equilibrium at (0,0,0), meaning that enterprises will not transform, the public will not consume, and the government will exercise weak regulation. Under such circumstances, the reputation incentive mechanism tends to fail.
The fundamental cause of systems deviating from their ideal equilibrium due to rising costs lies in the imbalance of incentive structures among key stakeholders. Transformational costs consist directly of sunk costs and incremental investments associated with a shift from “traditional production” to “low-carbon transformation.” When these costs exceed the total incentives derived from reputation premiums, carbon trading revenues, subsidies, and the avoidance of fines, companies face a decision-making dilemma where transformation becomes uneconomical. Even when facing the risk of reputational damage, they will still choose to maintain the status quo. For the general public, consumption patterns shift when the additional cost of purchasing a product exceeds the reputational and environmental benefits gained from supporting environmental protection. When both enterprises and the public face high costs, the marginal benefits of the government’s “reputation-based regulation” as a third-party decline, because even with stricter regulation, it is difficult to alter the cost–benefit structure for enterprises and the public in the short term, causing the system to slide toward a low-level equilibrium. This mechanism demonstrates that the government can substantially reduce the initial costs of corporate transition through measures such as subsidies for green technology R&D, tax incentives, and carbon revenue rebates. By implementing initiatives such as consumer subsidies, green credits, and carbon benefits, the government can lower the actual costs borne by the public, while simultaneously strengthening environmental awareness campaigns to enhance the public’s perception of the reputational benefits.

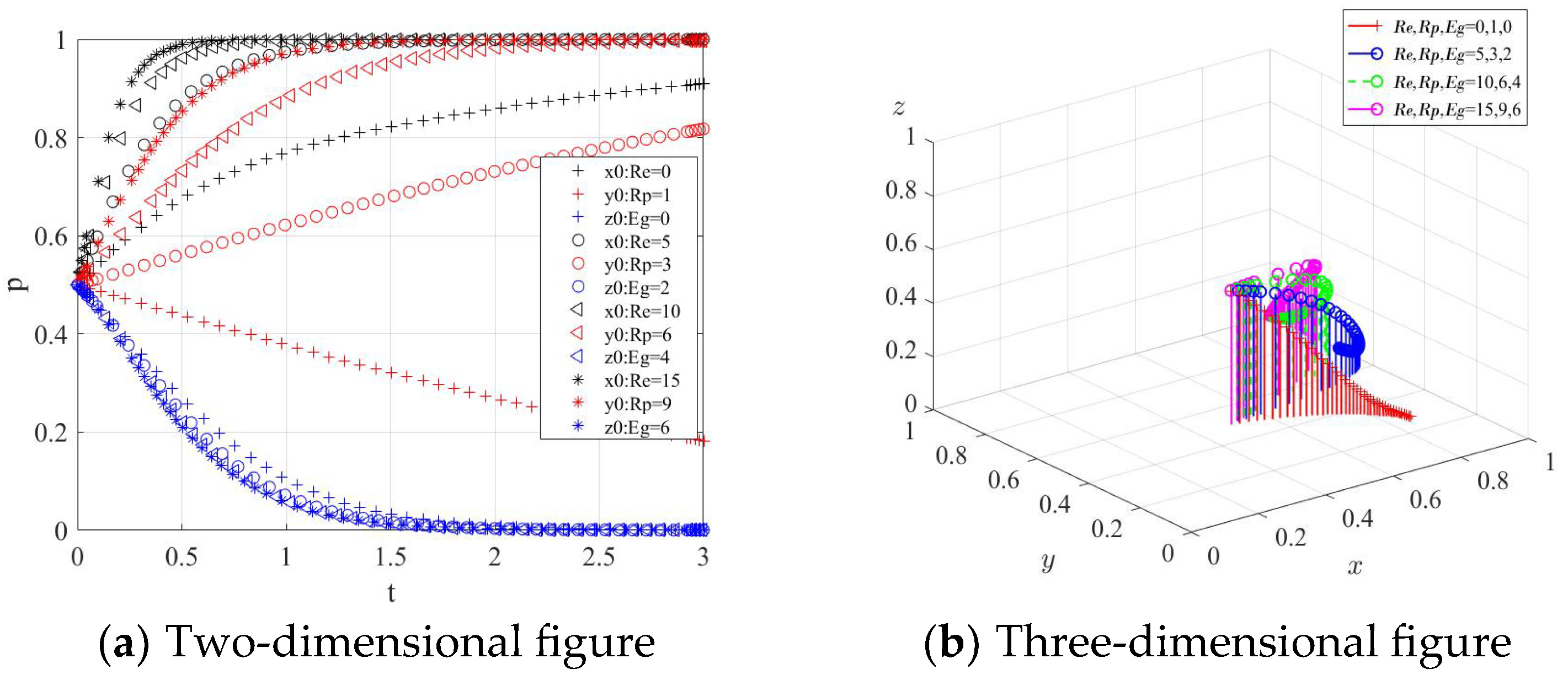
5.3. Benefit Sensitivity Analysis for All Parties

The magnitude of reputation gains significantly influences the strategic evolution of various agents, as shown in Figure 5. When enterprises’ reputation return R e = 0 , their willingness to transform converges at the slowest rate. When R e 5 , the pace of transformation accelerates significantly. Public behavior is equally sensitive to reputational gains. When R p 1 , the public tends to choose traditional products. When R p 3 , the public’s willingness to choose green products increases significantly and converges more rapidly. When government environmental revenue E varies between 0 and 6, there is no significant change in the convergence trend of government regulatory strategies. This indicates that regulatory behavior is driven primarily by cost structure.
Reputational gains can effectively influence the strategic choices of enterprises and the public because reputational signals, through social evaluation and market feedback, directly increase the net benefits of adopting green behaviors. For enterprises, reputational gains reflect the market’s premium on green products and, more importantly, indicate the level of recognition the market and consumers have for the enterprise. When these gains are sufficient to cover the marginal costs of transition, the enterprise’s strategic focus shifts from being “compliance-driven” to “value-driven,” thereby accelerating the convergence toward a transition strategy. For the general public, reputation gains reflect the positive reinforcement that social norms provide for green consumption behaviors. In a social environment with strong environmental awareness, choosing green products not only yields environmental benefits but also signals an individual’s commitment to environmental responsibility and social identity. The value of this signal translates into psychological utility and social capital for the individual. When this benefit exceeds the additional costs of green consumption, the public will develop a stable preference for green choices. Therefore, policies could further strengthen the transparent disclosure of corporate environmental information and establish a system of personal carbon credits and social recognition linked to consumer behavior. This would systematically enhance the efficiency of reputation value transmission and the intensity of incentives. Ultimately, it would encourage enterprises and the public to develop stable green behavioral patterns within a shorter timeframe.

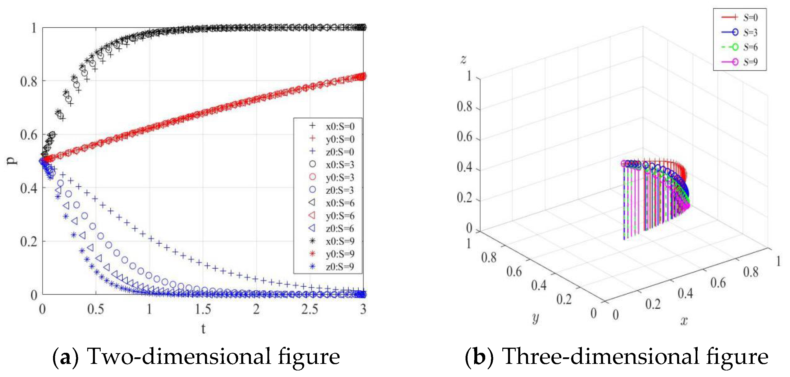
5.4. Sensitivity Analysis of Energy Enterprise and Public Reputation Losses

The magnitude of reputational losses significantly influences the strategic evolution paths of energy enterprises and the public, as shown in Figure 6. When there is no reputational loss—that is, when L e = 0 and L p 1 = 0 —the public lacks incentives to purchase green products, and enterprises’ willingness to transition converges more slowly. When reputational damage reaches a certain level—that is, when L e 3 and L p 1 2 —the public, under reputational pressure, shifts toward green consumption, and the rate of convergence accelerates. Consequently, the willingness of enterprises to transform also converges at an accelerated pace.
Reputational loss effectively alters the cost–benefit structure of actors’ behavior by creating social pressure and market constraints. For the public, reputational loss manifests as social pressure resulting from choosing non-green products. When this loss is significant enough, the public will opt for green consumption out of a desire to “avoid loss,” even if green products are more expensive. The negative utility associated with the loss often outweighs the positive utility derived from equivalent gains, making the driving force of reputational loss on public behavior even stronger than that of reputational gains. For enterprises, reputational losses reflect the market penalties they face as a result of poor environmental performance, including consumer boycotts, investor divestment, and rising financing costs. When these losses exceed the marginal cost of transitioning, enterprises will incorporate reputational risk management into their strategic decision-making, thereby accelerating the pace of transition. These findings indicate that social scrutiny and public opinion can serve as significant drivers of the green transition. Therefore, policy design should focus on establishing transparent and timely channels for environmental information disclosure and public oversight, while appropriately increasing the social pressure on high-emission and high-pollution enterprises. By leveraging the disincentive effect of reputational damage, we can simultaneously stimulate the motivation of energy enterprises to transform and the public’s willingness to make green choices.

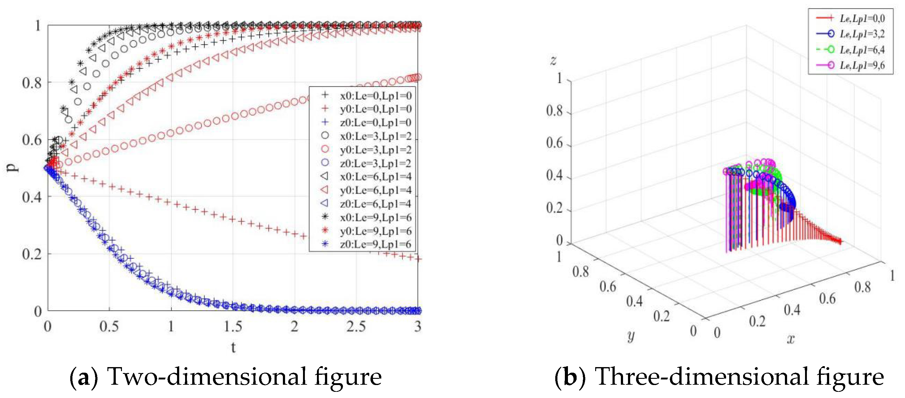
5.5. Subsidy Sensitivity Analysis for All Parties

Government subsidies have a significant impact on the low-carbon transformation behavior of energy enterprises, as shown in Figure 7. In the absence of subsidies—that is, when S = 0 —enterprises may still choose to restructure, but their strategies converge more slowly. When S 3 , enterprises’ willingness to restructure increases significantly, and the rate of convergence accelerates accordingly. When S 6 , the marginal improvement in enterprise convergence slows, while the government’s willingness to adopt “reputation-based regulation” gradually declines, and the rate of convergence accelerates as this strategy is abandoned. This reflects the fact that high subsidies may exacerbate the government’s fiscal and regulatory burdens and lead to enterprise subsidy dependency.
This phenomenon reveals the complex interplay between subsidy policies and reputational incentive mechanisms. From enterprises’ perspective, subsidies directly reduce the net cost of transition and, to some extent, serve as a substitute for reputational incentives. When subsidies are sufficiently high, enterprises will still choose to transition based on economic rationality, even if the reputational benefits are limited. However, from the government’s perspective, increasing subsidy amounts means higher fiscal expenditures. Under budget constraints, large subsidies would divert resources away from regulatory efforts aimed at enhancing the industry’s reputation. At the same time, when the government relies too heavily on subsidies, it may encourage dependency or moral hazard among enterprises. Enterprises may focus solely on obtaining subsidies while neglecting substantive emissions reductions, thereby increasing the risk of “greenwashing.” Therefore, policy design should focus on striking a balance between incentives and constraints, promote the establishment of a subsidy mechanism that is dynamically adjusted and tied to specific conditions, and reduce excessive reliance on direct subsidies. This will facilitate the coordinated development of sustainable government regulation and enterprise transformation driven by internal factors.

5.6. Discussion

The results of the sensitivity simulation analysis on government subsidies confirm that moderate subsidies do indeed accelerate the convergence of enterprise transformation strategies. However, when subsidies exceed a certain threshold, they can induce dependency among enterprises. Furthermore, a sensitivity analysis of reputation gains and losses confirms that these factors can independently moderate an enterprise’s cost–benefit structure—separate from formal regulatory instruments—thereby driving enterprises from “passive compliance” toward “proactive innovation.” This finding aligns with the conclusions of Guo J et al. [24] regarding the constraining effects of reputation losses, while extending the analysis to include the incentivizing effects of reputation gains. The findings distinguish between the dual effects of reputational gains and losses, clarify the threshold at which these factors influence decision-makers, and go beyond the qualitative conclusion of “whether they are effective” [38]. Additionally, the study found that reputational losses exert a stronger driving force on the public than reputational gains, thereby providing empirical evidence for the application of “loss aversion” theory in environmental governance [31]. Furthermore, simulation results indicate that government subsidies and reputational incentives can complement and reinforce one another, thereby promoting sustainable government regulation and endogenously driven enterprise transformation.

6. Conclusions and Implications

6.1. Conclusions

This paper constructs and solves an evolutionary game model involving energy enterprises, the public, and the government, combined with numerical simulation analysis, to draw the following core conclusions:
First, the reputation incentive mechanism significantly drives energy enterprises’ technological transformation decisions, influencing strategic choices through the dual effects of reputation gains and losses. Reputation gains and losses effectively regulate enterprises’ cost–benefit structures through market signals and social evaluations, thereby serving as crucial complements to traditional administrative and economic tools.
Second, the strategic choices of all three parties exhibit characteristics of dynamic interdependence and co-evolution. Whether the system reaches the ideal equilibrium of “enterprises transformation, public participation, and government enabling” depends on the relative magnitudes and coupling relationships among key parameters such as transformation costs, subsidy levels, and reputational incentives.
Third, government subsidies provide short-term incentives for energy enterprises’ transformation but impose long-term constraints. While increasing subsidy levels can accelerate the convergence of enterprise transformation strategies, it simultaneously weakens the government’s willingness to implement “reputation-empowered regulation.” This could increase fiscal burdens and trigger moral hazard issues among enterprises. Relying solely on subsidies is insufficient for achieving sustainable governance; synergistic mechanisms such as reputation incentives must be integrated.

6.2. Implications

6.2.1. Theoretical Implications

The primary theoretical implications of this paper lie in expanding and deepening our understanding of the mechanisms through which informal institutions function in multi-stakeholder environmental governance. At the same time, by focusing on the context of technological transformation in energy enterprises, the paper contributes to refining our theoretical understanding of this phenomenon.
First, this paper demonstrates that reputational incentives can drive technological transformation in energy enterprises by altering their cost–benefit structures. This mechanism operates through the dual effects of reputational gains and losses, thereby addressing the limitations of existing research, which has largely focused on policy regulations and economic subsidies [39].
Second, through dynamic simulation, the paper identified the thresholds and conditions under which key variables—such as reputation gains and losses—take effect. It also revealed the dynamic interdependence and co-evolutionary characteristics of the strategies employed by the three parties, thereby advancing the field from qualitative descriptions toward quantitative and scenario-based analysis [38].
Third, this paper reveals the dynamic transmission pathways of reputation incentives within the complex “government–business–public” system. It deepens our theoretical understanding of the synergistic effects between informal institutions and formal regulations from the perspectives of strategic interaction and equilibrium stability [40].

6.2.2. Practical Implications

Based on the research results and considering the mechanisms underlying reputation incentives, this paper offers the following practical implications:
First, establish a reputation-based rating system focused on the effectiveness of corporate transformation, classifying companies according to key indicators such as carbon intensity and the proportion of renewable energy. Outstanding enterprises should be granted preferential policies, such as tax breaks, in addition to existing subsidies. Enterprises failing to meet standards should have their eligibility for preferential policies revoked and face increased inspection frequency. This approach will adjust the cost–benefit structure of enterprises, making reputation incentives a long-term mechanism that independently drives deep transformation.
Second, optimize the coordinated governance of subsidy and reputation mechanisms. In the early stages of the transition, use subsidies to lower the barriers to entry. In the middle and later stages, gradually shift to a governance model primarily based on reputation incentives. Achieve “short-term coordination and long-term complementarity” between these two types of policies, thereby avoiding excessive subsidies that undermine the effectiveness of the reputation mechanism.
Third, implement targeted measures to reduce the costs of R&D and retrofitting for low-carbon technologies in enterprises. Additionally, the government should streamline channels for public oversight, lower the barriers to public participation, and strengthen the deterrent effect of reputational damage. This will help the system converge steadily toward a state of synergistic equilibrium characterized by “enterprises proactively transforming, the public actively participating, and the government exercising appropriate oversight.”.

7. Research Limitations and Future Directions

This study theoretically reveals the intrinsic mechanism by which the reputation incentive mechanism drives the technological transformation of energy enterprises and provides an operational path design for the collaborative governance of multiple subjects in practice. However, due to limitations in research conditions and model settings, this study still has the following limitations: Firstly, some parameters (such as reputation gains and losses) are difficult to quantify precisely, and their values are estimated indirectly based on literature references and industry cases. Future research can calibrate them with field survey data. Secondly, the static parameter setting fails to capture the dynamic accumulation process of reputation effects. Future research can introduce a dynamic reputation accumulation function to depict the establishment and dissipation process of reputation capital. Thirdly, the simulation analysis is based on the assumption of bounded rationality and does not consider the impact of extreme situations (such as reputation collapse caused by sudden environmental incidents) on system evolution. Future research can expand it by introducing random shock factors. Finally, this paper does not specifically classify energy enterprises, and the scale of enterprises will have a significant impact on their decisions. Future research can conduct comparative studies based on the characteristics of heterogeneous subjects.

Author Contributions

Conceptualization, X.Y. and Y.X.; methodology, X.Y.; software, X.Y.; validation, A.Q. and Y.X.; formal analysis, A.Q.; investigation, X.Y.; resources, Y.X.; data curation, X.Y.; writing—original draft preparation, Y.X.; writing—review and editing, Y.X.; visualization, X.Y.; supervision, A.Q.; project administration, Y.X.; funding acquisition, X.Y. All authors have read and agreed to the published version of the manuscript.

Funding

This research was funded by the 2022 National Social Science Fund of China, grant number 22BJY015.

Data Availability Statement

All data generated or analyzed during this study are included in this published article.

Acknowledgments

The authors thank the participants for their support with this study.

Conflicts of Interest

The authors declare no conflicts of interest.

References

  1. Fu, B.; Liu, Y.; Meadows, M.E. Ecological restoration for sustainable development in China. Natl. Sci. Rev. 2023, 10, nwad033. [Google Scholar] [CrossRef]
  2. Chen, Y.; Zhu, Z.; Cheng, S. Industrial agglomeration and haze pollution: Evidence from China. Sci. Total Environ. 2022, 845, 157392. [Google Scholar] [CrossRef]
  3. Xiong, F.; Mo, H. How can new energy development reduce CO2 emissions: Empirical evidence of inverted U-shaped relationship in China. PLoS ONE 2023, 18, e0294947. [Google Scholar] [CrossRef]
  4. Jin, L.; Duan, K.; Shi, C.; Ju, X. The impact of technological progress in the energy sector on carbon emissions: An empirical analysis from China. Int. J. Environ. Res. Public Health 2017, 14, 1505. [Google Scholar] [CrossRef]
  5. Borowski, P.F. Economic and technological challenges in zero-emission strategies for energy companies. Energies 2025, 18, 898. [Google Scholar] [CrossRef]
  6. Tan, W.; Yan, E.H.; Chen, X.H. Positive press, greener progress: The role of ESG media reputation in corporate energy innovation. Sustain. Dev. 2025, 33, 5162–5184. [Google Scholar] [CrossRef]
  7. Zhou, L.; Tang, C.; Bao, Z.; Liu, Y.; Yu, X. A reputation-based blockchain scheme for sustained carbon emission reduction. Sci. China Inf. Sci. 2024, 67, 159202. [Google Scholar] [CrossRef]
  8. Sun, X.; Cifuentes-Faura, J.; Xiao, Y.; Liu, X. A good name is rather to be chosen: The impact of CEO reputation incentives on corporate green innovation. Bus. Strateg. Environ. 2024, 33, 2413–2431. [Google Scholar] [CrossRef]
  9. Acheampong, A.; Wang, Y. Carbon reduction initiatives, firm innovation and firm value. Econ. Lett. 2025, 256, 112613. [Google Scholar] [CrossRef]
  10. Zeng, Q.H.; He, L.Y. Study on the synergistic effect of air pollution prevention and carbon emission reduction in the context of “dual carbon”: Evidence from China’s transport sector. Energy Policy 2023, 173, 113370. [Google Scholar] [CrossRef]
  11. Chen, Y.; Huang, X.; Liu, C. Can AI computing power promote the green transformation of energy enterprises? Evidence from the nonlinear moderating effect of public environmental awareness. J. Environ. Manag. 2025, 391, 126455. [Google Scholar] [CrossRef] [PubMed]
  12. Zhao, X.; Li, S. Artificial intelligence and public environmental concern: Impacts on green innovation transformation in energy-intensive enterprises. Energy Policy 2025, 198, 114469. [Google Scholar] [CrossRef]
  13. Wang, L. Digital transformation, audit risk, and the low-carbon transition of China’s energy enterprises. Finance Res. Lett. 2025, 71, 106445. [Google Scholar] [CrossRef]
  14. Liu, X.; Liu, F.; Ren, X. Firms’ digitalization in manufacturing and the structure and direction of green innovation. J. Environ. Manag. 2023, 335, 117525. [Google Scholar] [CrossRef]
  15. Ran, Q.; Yang, X.; Yan, H.; Xu, Y.; Cao, J. Natural resource consumption and industrial green transformation: Does the digital economy matter? Resour. Policy 2023, 81, 103396. [Google Scholar] [CrossRef]
  16. Sun, C.; Zhang, Z.; Vochozka, M.; Vozňáková, I. Enterprise digital transformation and debt financing cost in China’s A-share listed companies. Oecon. Copernic. 2022, 13, 783–829. [Google Scholar] [CrossRef]
  17. Söderholm, P.; Sundström, K. The Institutional Blind-Spot in the Green Transition: Market Incentives versus Command-and-Control. J. Econ. Issues 2025, 59, 438–444. [Google Scholar] [CrossRef]
  18. Guo, C.; Li, R.; Yuan, B. Mathematical models of digital transformation asymmetric information game in energy enterprises. Alex. Eng. J. 2025, 113, 584–592. [Google Scholar] [CrossRef]
  19. Chen, P.; He, Y.; Yue, K.; Fang, G. Can carbon trading promote low-carbon transformation of high energy consumption enterprises?—The Case of China. Energies 2023, 16, 3438. [Google Scholar] [CrossRef]
  20. Zhang, C.; Zhang, X. Evolutionary game analysis of air pollution co-investment in emission reductions by steel enterprises under carbon quota trading mechanism. J. Environ. Manag. 2022, 317, 115376. [Google Scholar] [CrossRef]
  21. Zhou, C.; Han, Y.; Zhang, R. Can command-and-control policy drive low-carbon transition in energy-intensive enterprises?—A study based on evolutionary game theory. Front. Energy Res. 2023, 11, 1247780. [Google Scholar] [CrossRef]
  22. Luo, Z.; Xu, J.; Zhao, P.; Yang, D.; Xu, L.; Luo, J. Towards high quality mobile crowdsensing: Incentive mechanism design based on fine-grained ability reputation. Comput. Commun. 2021, 180, 197–209. [Google Scholar] [CrossRef]
  23. Ding, J.; Huang, J.; Li, Y.; Meng, M. Is there an effective reputation mechanism in peer-to-peer lending? Evidence from China. Finance Res. Lett. 2019, 30, 208–215. [Google Scholar] [CrossRef]
  24. Guo, J.; Lin, O.; Ye, K.; Guan, J.; Lei, X. Research on regulatory strategies of green finance and optimization of corporate green behavior under the framework of circular economy. Glob. NEST J. 2024, 26, 1–4. [Google Scholar]
  25. Bal-Domańska, B.; Stańczyk, E.; Szewczyk, M. Empirical Evidence on Pro-Environmental Activities of Companies in Times of Energy Transformation: A Case Study of Poland. Energies 2025, 18, 2703. [Google Scholar] [CrossRef]
  26. Ji, G.; Wang, Q.; Chang, Q.; Fang, Y.; Bi, J.; Chen, M. Evolutionary Game Analysis of Government Regulation on Green Innovation Behavior Decision-Making of Energy Enterprises. Sustainability 2024, 16, 7542. [Google Scholar] [CrossRef]
  27. Cao, F.; Zhang, L.; Wu, W.; Han, S.; Wu, Z.; Wu, Y. Challenging the nexus of power: The gaming dilemma of collaboration between government and enterprises in environmental management. Heliyon 2024, 10, e23472. [Google Scholar] [CrossRef]
  28. Wang, T.Y.; Zhang, H. Blockchain-based tripartite evolutionary game study of manufacturing capacity sharing. Adv. Prod. Eng. Manag. 2023, 18, 225–236. [Google Scholar] [CrossRef]
  29. Shahab, Y.; Ye, Z.; Liu, J.; Nadeem, M. Social trust, environmental violations, and remedial actions in China. J. Bus. Ethics 2025, 198, 637–654. [Google Scholar] [CrossRef]
  30. Hu, Q.; Jin, T.; Jiang, Y.; Liu, X. Reputation incentives with public supervision promote cooperation in evolutionary games. Appl. Math. Comput. 2024, 466, 128445. [Google Scholar] [CrossRef]
  31. Jordan, J.J. A pull versus push framework for reputation. Trends Cogn. Sci. 2023, 27, 852–866. [Google Scholar] [CrossRef]
  32. Yao, J.; Li, D. Evolutionary game analysis of individual behaviors with reputation-driven dynamics. Chaos Solitons Fractals 2025, 201, 117439. [Google Scholar] [CrossRef]
  33. Guo, D.; Su, M.; Zheng, X.; Zou, S. Do economic and reputation incentives matter in the carbon generalized system of preferences? Empirical evidence from China’s new tier-one cities. J. Environ. Manag. 2025, 382, 125321. [Google Scholar] [CrossRef]
  34. Han, G.; Zhai, P.; Zhu, L.; Li, K. Economic incentives, reputation incentives, and rural residents’ participation in household waste classification: Evidence from Jiangsu, China. Agriculture 2023, 13, 1931. [Google Scholar] [CrossRef]
  35. Zhong, B.; Tian, J.; Pan, X.; Shen, L. An online housing reputation assessment framework based on text mining and visualization technologies. J. Constr. Eng. Manag. 2024, 150, 04024076. [Google Scholar] [CrossRef]
  36. Cui, B.; Shui, Z.; Yang, S.; Lei, T. Evolutionary game analysis of green technology innovation under the carbon emission trading mechanism. Front. Environ. Sci. 2022, 10, 997724. [Google Scholar] [CrossRef]
  37. Ning, J.; Xiong, L. Analysis of the dynamic evolution process of the digital transformation of renewable energy enterprises based on the cooperative and evolutionary game model. Energy 2024, 288, 129758. [Google Scholar] [CrossRef]
  38. Hossain, M.M.; Wang, L.; Yu, J. The reputational costs of corporate environmental underperformance: Evidence from China. Bus. Strategy Environ. 2024, 33, 930–948. [Google Scholar] [CrossRef]
  39. Li, L.; Wang, Y.; Tan, M.; Sun, H.; Zhu, B. Effect of environmental regulation on energy-intensive enterprises’ green innovation performance. Sustainability 2023, 15, 10108. [Google Scholar] [CrossRef]
  40. Chu, Z.; Bian, C.; Yang, J. How can public participation improve environmental governance in China? A policy simulation approach with multi-player evolutionary game. Environ. Impact Assess. Rev. 2022, 95, 106782. [Google Scholar] [CrossRef]
Figure 1. Tripartite Logical Relationship Diagram.
Figure 1. Tripartite Logical Relationship Diagram.
Sustainability 18 03899 g001
Figure 2. Energy Enterprise Technology Transformation and Pollution and Carbon Reduction Mechanism Diagram.
Figure 2. Energy Enterprise Technology Transformation and Pollution and Carbon Reduction Mechanism Diagram.
Sustainability 18 03899 g002
Figure 3. Initial Evolution Simulation Results.
Figure 3. Initial Evolution Simulation Results.
Sustainability 18 03899 g003
Figure 4. Cost Sensitivity Analysis.
Figure 4. Cost Sensitivity Analysis.
Sustainability 18 03899 g004
Figure 5. Profit Sensitivity Analysis.
Figure 5. Profit Sensitivity Analysis.
Sustainability 18 03899 g005
Figure 6. Reputation Loss Sensitivity Analysis.
Figure 6. Reputation Loss Sensitivity Analysis.
Sustainability 18 03899 g006
Figure 7. Subsidy Sensitivity Analysis.
Figure 7. Subsidy Sensitivity Analysis.
Sustainability 18 03899 g007
Table 1. Payment Matrix of the Evolutionary Game among the Three Parties.
Table 1. Payment Matrix of the Evolutionary Game among the Three Parties.
PlayersEnergy Enterprises
low-carbon transformation reputation disclosure ( x )traditional production reputation concealment ( 1 x )
PublicPublic
preference for green energy products ( y )reliance on traditional products ( 1 y )preference for green energy products ( y )reliance on traditional products ( 1 y )
Governmentreputation-driven supervision ( z ) R e C e 1 + T + S
R p C p + E p
E g C g 1 S
C e 1 + R e + T + S
L p 1 + E p
C g 1 S + E g
C e 2 L e C e 3 F
L p 2 C p + R p
C g 1 + F L g
F C e 2 L e C e 3
L p 1 L p 2
C g 1 + F L g
uniform supervision ( 1 z ) C e 1 + R e + T
E p C p + R p
C g 2 + E g
C e 1 + R e + T
L p 1 + E p
C g 2 + E g
C e 2 L e C e 3
R p C p L p 2
C g 2 L g
C e 2 L e C e 3
L p 1 L p 2
C g 2 L g
Table 2. Characteristic Values of System Equilibrium Points and Stability Judgments.
Table 2. Characteristic Values of System Equilibrium Points and Stability Judgments.
Equilibrium PointEigenvalueSymbolStability
(0,0,0) C e 2 C e 1 + C e 3 + L e + R e + T L p 1 C p + R p C g 2 C g 1 + F (N,N,N)Asymptotic stability
(0,1,0) C e 2 C e 1 + C e 3 + L e + R e + T C p L p 1 R p C g 2 C g 1 + F (N,N,N)Asymptotic stability
(0,0,1) C e 2 C e 1 + C e 3 + F + L e + R e + S + T L p 1 C p + R p C g 1 C g 2 F (N,N,N)Asymptotic stability
(0,1,1) C e 2 C e 1 + C e 3 + F + L e + R e + S + T C p L p 1 R p C g 1 C g 2 F (N,N,N)Asymptotic stability
(1,0,0) C e 1 C e 2 C e 3 L e R e T L p 1 C p + R p C g 2 C g 1 S (N,N,-)Asymptotic stability
(1,1,0) C e 1 C e 2 C e 3 L e R e T C p L p 1 R p C g 2 C g 1 S (N,N,-)Asymptotic stability
(1,0,1) C e 1 C e 2 C e 3 F L e R e S T L p 1 C p + R p C g 1 C g 2 + S (N,N,+)Unstable
(1,1,1) C e 1 C e 2 C e 3 F L e R e S T C p L p 1 R p C g 1 C g 2 + S (N,N,+)Unstable
Table 3. Initial Assignments.
Table 3. Initial Assignments.
ParametersAssignmentParametersAssignmentParametersAssignmentParametersAssignment
Ce110Ce32S3Lg3
Ce23Cp4F2Lp23
Re5Rp3Cg22
T3Lp12Eg2
Le3Cg15Ep2
Disclaimer/Publisher’s Note: The statements, opinions and data contained in all publications are solely those of the individual author(s) and contributor(s) and not of MDPI and/or the editor(s). MDPI and/or the editor(s) disclaim responsibility for any injury to people or property resulting from any ideas, methods, instructions or products referred to in the content.

Share and Cite

MDPI and ACS Style

Yang, X.; Xi, Y.; Qiu, A. Evolutionary Game Analysis of Energy Enterprises’ Technological Transformation and Pollution–Carbon Reduction Decisions Under Reputation Incentive Mechanism. Sustainability 2026, 18, 3899. https://doi.org/10.3390/su18083899

AMA Style

Yang X, Xi Y, Qiu A. Evolutionary Game Analysis of Energy Enterprises’ Technological Transformation and Pollution–Carbon Reduction Decisions Under Reputation Incentive Mechanism. Sustainability. 2026; 18(8):3899. https://doi.org/10.3390/su18083899

Chicago/Turabian Style

Yang, Xishui, Yuexin Xi, and Ailian Qiu. 2026. "Evolutionary Game Analysis of Energy Enterprises’ Technological Transformation and Pollution–Carbon Reduction Decisions Under Reputation Incentive Mechanism" Sustainability 18, no. 8: 3899. https://doi.org/10.3390/su18083899

APA Style

Yang, X., Xi, Y., & Qiu, A. (2026). Evolutionary Game Analysis of Energy Enterprises’ Technological Transformation and Pollution–Carbon Reduction Decisions Under Reputation Incentive Mechanism. Sustainability, 18(8), 3899. https://doi.org/10.3390/su18083899

Note that from the first issue of 2016, this journal uses article numbers instead of page numbers. See further details here.

Article Metrics

Back to TopTop