Next Article in Journal
SAW-YOLOv8l: An Enhanced Sewer Pipe Defect Detection Model for Sustainable Urban Drainage Infrastructure Management
Previous Article in Journal
Science Teachers’ Awareness and Perceptions Regarding the Sustainable Development Goals and Their Integration in Middle School in Israel
 
 
Font Type:
Arial Georgia Verdana
Font Size:
Aa Aa Aa
Line Spacing:
Column Width:
Background:
Article

The Effects of Different Rural Landscape Types on Restorative Benefits from the Perspective of Audio-Visual Interaction

College of Horticulture, Nanjing Agricultural University, Nanjing 211800, China
*
Author to whom correspondence should be addressed.
Sustainability 2026, 18(8), 3683; https://doi.org/10.3390/su18083683
Submission received: 5 March 2026 / Revised: 2 April 2026 / Accepted: 4 April 2026 / Published: 8 April 2026

Abstract

As public demand for health and well-being continues to rise, rural landscapes are increasingly valued as settings for stress reduction and psycho-physiological restoration. Drawing on five “Beautiful Villages” in Jiangning District, Nanjing (China), this study categorizes rural landscapes into three types—farmland production landscapes, rural settlement landscapes, and rural mountain–water landscapes—based on the proportional dominance of key landscape elements. Audio-visual stimuli were developed from on-site photography and field recordings to construct controlled rural audio-visual environments. Using a combination of physiological indicators and self-reported psychological assessments, we systematically compare restorative responses across modalities (visual, auditory, and audio-visual) and across landscape types, and examine how specific landscape elements relate to restorative outcomes. Results show that (1) auditory stimuli generally produce stronger restorative responses than visual stimuli, and audio-visual interactions are evident; (2) restorative benefits vary significantly across the three rural landscape types; and (3) visually natural and structurally rich elements are associated with greater restoration, while auditory cues can direct visual attention and natural sounds are positively linked to restorative outcomes. These findings advance understanding of multi-sensory restorative processes in rural landscapes and provide evidence for sustainable rural landscape planning and design by supporting healthier, more restorative, and more human-centered rural environments.

1. Introduction

Against the backdrop of rapid global urbanization, urban spatial expansion and population pressures have been associated with rising psychological stress and increased risks of chronic disease among residents [1]. Leisure practices have also shifted in recent years: growing numbers of urban residents visit nearby rural areas on weekends or short holidays, seeking physical and mental recovery through contact with rural landscapes that combine natural and cultural attributes. However, conventional rural landscape design has often prioritized visual aesthetics while paying insufficient attention to restorative outcomes. In this context, developing rural landscapes with demonstrable restorative benefits is not only a key pathway for alleviating psycho-physiological stress and promoting health, but also advances landscape-based approaches to rural health and well-being. In this study, rural landscape is understood as a perceived environmental setting shaped by the interaction of natural and human factors.
Ulrich’s Stress Recovery Theory (SRT) and Kaplan and Kaplan’s Attention Restoration Theory (ART) both suggest that restorative environments can benefit health by improving affective states, regulating physiological responses, and restoring directed attention [2,3]. Existing research has concentrated largely on urban green spaces [4,5], addressing restorative assessment and underlying mechanisms, whereas rural landscapes remain comparatively under-examined. Studies that do consider rural contexts often focus on a single landscape type [6], pay limited attention to rural landscape diversity, and rarely offer systematic comparisons across types. As socio-ecological systems shaped by both natural and cultural processes, rural landscapes provide not only agricultural functions but also—through their distinctive spatial forms—settings that may support the physical and mental health of both urban and rural residents. The restorativeness of rural landscape environments, therefore, warrants more detailed investigation.
Although vision is widely understood to play a dominant role in environmental information acquisition [7], research on restorative benefits has tended to emphasize visual elements. With the development of soundscape theory, the restorative value of natural sounds has increasingly attracted attention [8]. However, environmental perception is inherently multi-sensory, emerging from the coordinated processing of visual and auditory information [9]. Evidence indicates that audio-visual interactions can either enhance or interfere with restoration, depending on visual characteristics and the degree of audio-visual congruence [10]. For rural landscapes, however, research that explicitly examines restorative benefits through an audio-visual interaction perspective remains limited. Existing studies commonly pair a single soundscape type with a visual scene under laboratory conditions, with insufficient attention to synergistic effects within more authentic rural audio-visual environments.
To inform the creation of rural landscapes with stronger health and well-being value, this study classifies rural landscapes into three types—farmland production landscapes, rural settlement landscapes, and rural mountain–water landscapes—and examines restoration from a multi-sensory perspective. Based on this typology, we develop rural audio-visual stimulus environments using on-site photography and field recordings. We then conduct a comparative experiment combining self-report measures and physiological indicators to provide both subjective and objective evidence of restorative responses.
The study addresses three questions: (1) How do different stimulus modalities (visual, auditory, and audio-visual) differ in their restorative effects? (2) How do restorative benefits vary across the three rural landscape types? (3) Through what mechanisms do specific landscape elements influence restorative benefits? The findings are intended to inform evidence-based rural landscape planning and design and to support mental health and well-being.

2. Literature Review

Restorative-environment scholarship has been strongly informed by Stress Recovery Theory and Attention Restoration Theory, which propose that exposure to supportive environments can facilitate emotional recovery, physiological regulation, and the restoration of directed attention (“Stress recovery during exposure to natural and urban environments”) [2,3,11,12]. Building on these foundations, empirical research has largely focused on urban green/blue settings and related assessment frameworks, with increasing attention to how different sensory channels contribute to restorative experiences [4,5]. By contrast, rural landscapes—despite being socio-ecological systems interwoven with natural processes and cultural practices—remain comparatively under-examined. Rural-focused evidence often emphasizes specific contexts or individual landscape scenes, which constrains systematic comparison across rural landscape types and limits actionable guidance for rural landscape planning oriented toward health and well-being [13,14].
Within this body of work, vision is frequently treated as the dominant channel through which people acquire environmental information, which has contributed to a strong emphasis on restorative effects driven by visual attributes and spatial composition [7]. Meanwhile, soundscape research has highlighted that natural sounds can provide distinct restorative value, and has prompted more explicit conceptualization and measurement of auditory experience in landscape contexts [15]. Importantly, however, environmental perception is inherently multi-sensory and emerges from coordinated processing of visual and auditory inputs [9]. Evidence from related settings suggests that audio-visual combinations may generate synergy (enhancing restoration beyond single-modality exposure) or interference effects, contingent on stimulus features and the degree of audio-visual congruence [10,16,17]. Despite this progress, rural restoration studies that explicitly adopt an audio-visual interaction perspective remain limited [13,18]. Existing experiments commonly pair a single soundscape type with a visual scene, while paying insufficient attention to cross-modal dynamics and the integrated character of authentic rural audio-visual environments [10].
Methodologically, the field increasingly supports combining self-report with physiological indicators to strengthen inference and reduce reliance on stated preference alone [15,19]. In multi-sensory restoration research, physiological measures (e.g., heart rate and blood pressure; EEG-derived indices) can capture stress-related responses that may not be fully reflected in subjective ratings, while attention-oriented indicators help reveal pathways through which auditory cues shape visual attention allocation [19,20,21]. Such evidence is especially relevant for rural landscape planning, where design decisions often involve balancing natural elements (e.g., vegetation and water bodies) and culturally shaped features, and where soundscape management may operate as a complementary lever for enhancing perceived restoration and well-being [3,10,14,22].

3. Materials and Methods

3.1. Participants

University students were recruited as participants, consistent with prior evidence that student samples are appropriate for restorative-environment experiments [23]. The sample consisted of university students and should therefore be understood as a specific rather than fully representative population. Accordingly, the findings should be interpreted with caution when being generalized to other age groups or broader rural visitor populations.
Sample size estimation was performed using G*Power 3.1 with effect size set to 0.25, significance level (α) to 0.05, and statistical power to 0.80, indicating that at least 30 participants were required. Accordingly, 30 students (male:female = 1:1) were enrolled. All participants were in good physical and mental health, with normal vision and hearing, no color blindness, and no psychiatric disorders or major physical diseases. To avoid cortical arousal and potential bias, participants were instructed to avoid smoking, alcohol consumption, and vigorous physical activity within 24 h prior to testing and to ensure adequate sleep. Written informed consent was obtained before the experiment.

3.2. Study Area and Experimental Criteria

3.2.1. Study Area

Five villages in Jiangning District, Nanjing—Huanglongxian, Shecun, Guanyindian, Longxiang·Shuangfan, and Xiangban·Sujiaideal village—were selected as study sites to ensure representativeness and diversity. These villages are provincial-level “Beautiful Village” demonstration sites and cultural–tourism integration demonstration projects, with diverse landscape elements and relatively well-preserved spatial forms.

3.2.2. Landscape Typology Criteria

Following rural landscape classification research [18], rural landscapes were classified into three types based on the degree of human disturbance, together with a comprehensive consideration of landscape functions and the proportional dominance of key elements (supported by expert evaluation): farmland production landscapes, rural settlement landscapes, and rural mountain–water landscapes, see Table 1. Farmland production landscapes are dominated by farmland [13]. Rural settlement landscapes are dominated by buildings, roads, and small landscape structures. Rural mountain–water landscapes are dominated by vegetation and water bodies [23], characterized by relatively high naturalness and limited influence from human activities.
Given the obvious structural differences among the three types, the classification was intuitive and unambiguous, and expert evaluation was adopted to further confirm its rationality.

3.3. Stimuli Creation

3.3.1. Visual Stimuli: Photography, Screening, and Final Selection

Photographs were used as visual stimuli, as static images have been shown to yield measurable restorative benefits [17]. Field shooting was conducted from 10:00 to 16:00 on 29–30 March under clear and sunny conditions. An iPhone 13 Pro Max (Apple Inc., Cupertino, CA, USA)was used, with the focal length set to 26 mm; exposure time was kept as consistent as possible under field conditions. Shooting height was fixed at 1.5 m with a horizontal frame; side- or back-lighting was used, and interfering factors (e.g., vehicles) were avoided as much as possible. Photographs were screened to remove images with low illumination or blur, unreasonable composition, overly large proportions of non-dominant elements, or poor overall landscape effects. Finally, six photographs were retained for each landscape type. This number was selected to balance representativeness and experimental feasibility: multiple photographs were needed to capture the typical visual characteristics of each landscape type and to reduce the influence of idiosyncratic features in any single image, whereas an excessive number of stimuli could increase participants’ visual fatigue and cognitive burden. Using the same number of photographs for each landscape type also helped maintain consistency and comparability across experimental conditions (Figure 1).
To examine the effects of visual elements on restorative benefits, the proportion of each element within the visual stimuli was quantified using an image semantic segmentation approach, with proportions measured based on pixel ratios. First, Adobe Photoshop 2019 was used to color-code the landscape elements in the 18 sample photographs, including sky, farmland, vegetation, roads, buildings, structures, and water bodies. Subsequently, image semantic segmentation techniques were applied to calculate the area proportion of each visual element.

3.3.2. Auditory Stimuli: Field Recording and Editing

Field recordings were used to capture the soundscapes of the three rural landscape types. Recordings were made using a Sony digital voice recorder (PCM-D100, Sony Corporation, Tokyo, Japan). Within each sample plot, a relatively open location was selected, and the recorder was mounted on a tripod for fixed-point recording. Each recording lasted no less than 60 s and was then imported into Adobe Premiere Pro for editing.
For stimulus construction, the sound–source composition of each landscape type was first examined through field investigation. The recorded sounds were classified into dominant, secondary, and incidental sound sources, and their composition patterns were summarized for the three landscape types (Table 2). Furthermore, the proportional distribution of sound elements within each landscape type was statistically analyzed, with the detailed results provided in the Supplementary Materials. Based on these results, representative audio clips were defined as those reflecting the typical sound–source composition and relative proportion characteristics of each landscape type. The original recordings were therefore edited in Adobe Premiere Pro through selection, deletion, combination, and replacement to preserve the characteristic acoustic features of each landscape type while excluding accidental, anomalous, or overly intrusive sounds. Ultimately, one representative 60 s audio clip was created for each landscape type.

3.3.3. Audio-Visual Combinations

To compare restorative benefits across stimulus modalities, corresponding photographs and audio clips were combined into presentation materials. Nine experimental conditions were constructed (3 landscape types × 3 modalities: visual-only, auditory-only, and audio-visual).

3.4. Experimental Design and Procedure

3.4.1. Design

A within-subject design was adopted. Each participant completed three restorative-stimulus experiments corresponding to the visual-only, auditory-only, and audio-visual conditions, and was exposed to stimuli from all three landscape types (Table 3). The three experiments were conducted on separate days to reduce fatigue and short-term carryover effects, with each participant attending the subsequent experiment at the same time of day on the following testing day. Specifically, the first experiment involved visual stimulation only and included silent photographs of the three rural landscape types; the second experiment involved auditory stimulation only and included audio recordings of the three landscape types; and the third experiment involved combined audio-visual stimulation and included paired photographs and audio materials for the three landscape types. Within each experiment, the presentation order of the three landscape stimuli was randomized for each participant.

3.4.2. Procedure

The experiment was conducted in a soundproof laboratory room with constant lighting; the average temperature was maintained at 26 ± 1.5 °C. Participants wore the EEG device and headphones and sat quietly at 1 m from the screen, see Figure 2.
The procedure, see Figure 3, was as follows: (1) Stress induction: Participants performed 90 s rapid mental arithmetic. (2) Pre-test: Participants completed the POMS, and an assistant measured and recorded physiological indicators. (3) Recovery exposure: One set of stimuli representing a given rural landscape type was presented for 1 min. The visual stimulation experiment consisted of six photographic stimuli, each presented for 10 s in a randomized sequence. The auditory stimulation experiment employed a continuous 1 min audio stimulus. The audio-visual stimulation condition involved the simultaneous presentation of the photographic and audio stimuli. (4) Post-test: Participants completed the POMS and SRRS, and physiological indicators were measured again. Additionally, following the visual stimulation experiment, participants completed a questionnaire to rate the subjective perceptual attributes of each visual stimulus. (5) Repetition: After a 5-min rest, steps (1)–(4) were repeated for the next landscape-type stimuli. Participants completed all three landscape types within an experiment and then returned for the next modality experiment after a one-day interval.

3.5. Measures

3.5.1. Physiological Measures

Physiological data were adopted as measurement indicators for restorative effects [17]. Compared with self-reported measures, physiological indices can capture relatively immediate bodily responses to environmental stimuli and thus provide complementary evidence for restorative evaluation. A portable upper-arm blood pressure monitor was used to measure systolic blood pressure, diastolic blood pressure, and heart rate; these indicators reflect real-time physiological responses induced by external stimuli [24]. EEG signals were collected using PowerLab data acquisition hardware (ADInstruments Pty Ltd., Bella Vista, NSW, Australia) and analyzed in three frequency bands: θ (3–7 Hz), α (8–12 Hz), and β (13–30 Hz). The α/β ratio and θ power were used as indices. Increases in α activity indicate a more relaxed and pleasant state and more focused attention [19]. The α/β ratio reflects the balance between relaxation and vigilance, with higher values suggesting lower stress levels and better restorative effects [21]. θ-EEG is associated with mental state and cognitive demands [25].

3.5.2. Subjective Psychological Ratings

Subjective evaluation is a common approach in restorative-benefit research [15]. Mood states were assessed using the Brief Profile of Mood States (POMS). Changes in mood were inferred from the Total Mood Disturbance (TMD) score; lower TMD indicates a more stable emotional state [26]. Perceived restorative benefits were assessed using the Self-Rating Restoration Scale (SRRS), which covers emotion, physiology, cognition, and behavior; higher total scores indicate stronger restorative benefits. Compared with the Perceived RestorativenessScale (PRS), SRRS provides broader theoretical coverage with fewer items and good reliability and comprehensibility [27]. Nevertheless, subjective ratings remain susceptible to self-report bias, temporary emotional fluctuation, and individual interpretation of questionnaire items, and should therefore be considered together with physiological indicators.

3.5.3. Eye-Tracking Indicators

An aSeeStudio desktop eye tracker (7invensun Technology Co., Ltd., Beijing, China) was used to obtain five indicators to examine how elements influence restorative benefits. Four indicators correspond to visual attention characteristics (fixation count, mean fixation duration, first fixation duration, etc.). Pupil diameter was used as an indicator of mental workload [28]; a smaller mean pupil diameter indicates lower stress during viewing and thus better restorative benefits. Eye-tracking measures can provide process-based evidence of perceptual attention that complements subjective ratings.

3.5.4. Statistical Analysis and Software

SPSS 27.0 was used for the statistical analyses. Although the same participants were involved across multiple experimental conditions, the different audio-visual sessions were administered on separate days in order to reduce fatigue and short-term carryover effects. Accordingly, the responses obtained under each condition were analyzed as condition-specific observations, while the potential within-subject dependence was acknowledged when interpreting the results.
Given the characteristics of the data, both non-parametric and parametric methods were employed where appropriate. First, Mann–Whitney U tests were conducted to examine changes in restorative outcomes before and after exposure to different rural landscape audio-visual environments. Second, Kruskal–Wallis tests were used to compare differences in restorative benefits among the three landscape types under different stimulus modalities. Third, principal component analysis (PCA) was performed to derive composite scores representing overall restorative benefits across environments. Fourth, Pearson correlation analyses were conducted to explore associations between landscape elements and psychological restoration indicators, followed by multiple linear regression to identify the key subjective visual perceptual attributes that significantly influenced restorative benefits.

4. Results and Analysis

4.1. Verification of Restorative Benefits in Rural Audio-Visual Environments

Physiological indicators before and after restorative-environment exposure were compared using Mann–Whitney U tests (Figure 4). Heart rate and blood pressure showed significant pre–post differences: systolic blood pressure (p < 0.001), diastolic blood pressure (p < 0.001), and heart rate (p < 0.001) all decreased, with mean (±SD) reductions of 2.133 ± 4.647, 1.137 ± 4.241, and 1.263 ± 4.149, respectively. These results indicate that, following stress induction, exposure to rural restorative scenes can reduce cardiovascular arousal. Regarding EEG, the α/β ratio increased, suggesting improved relaxation and attentional recovery, whereas θ activity also increased, which may reflect additional cognitive processing demands elicited by the experimental materials, but could also be associated with a deeper state of relaxation or relaxed alertness.
Mood-state indicators also differed significantly before versus after exposure across all emotional dimensions and for TMD (all p < 0.001). Negative emotion scores (tension, anger, fatigue, depression, panic, and TMD) decreased, whereas positive scores (vigor and self-esteem) increased. Overall, after stress induction, exposure to rural landscape scenes was associated with sensory pleasure and emotional stabilization, see Figure 3.

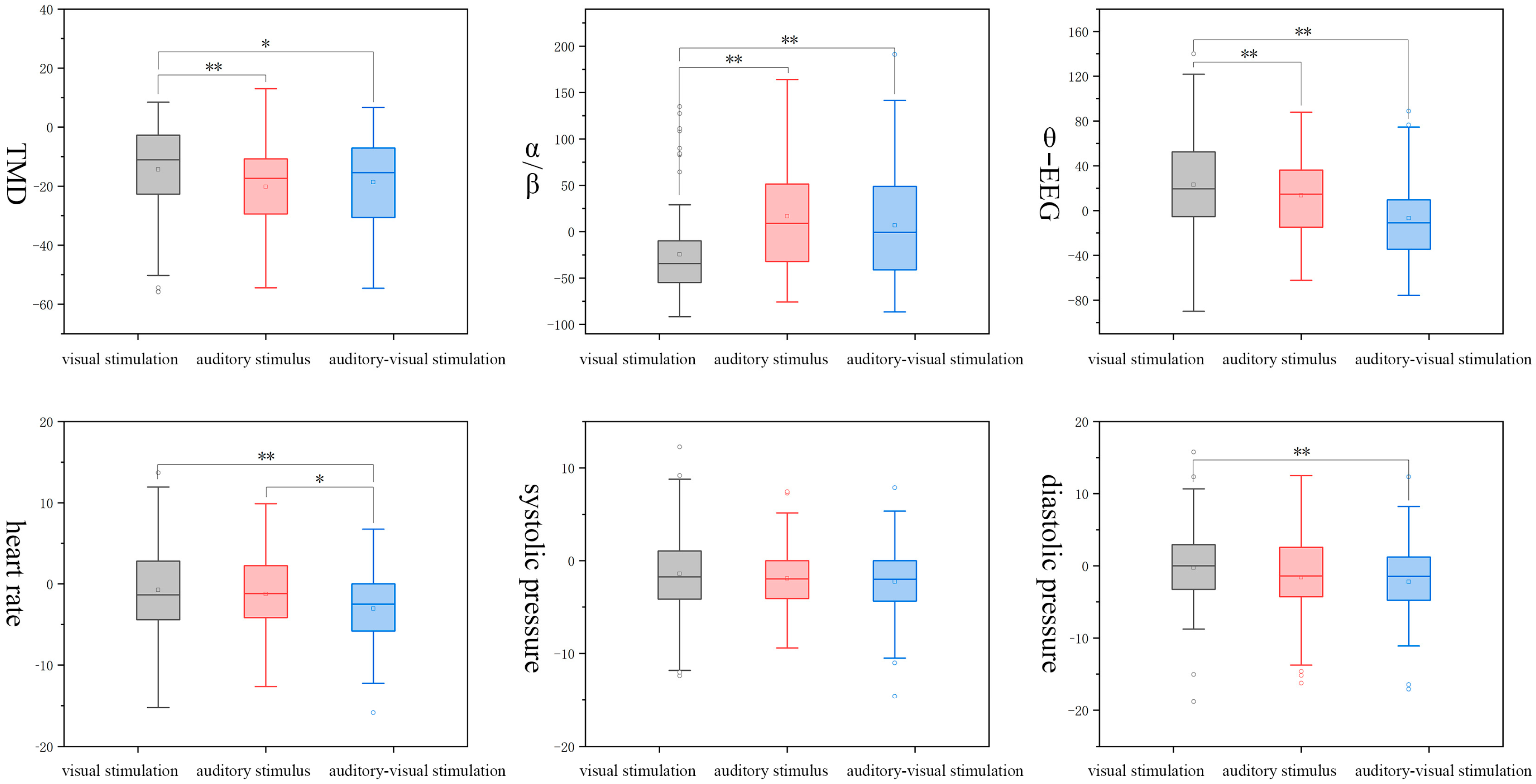
4.2. Effects of Different Stimulus Modalities on Restorative Benefits

Results of the Kruskal–Wallis test and post hoc analyses indicated significant differences among the three stimulus modalities (visual, auditory, and audio-visual) in TMD (p < 0.01), α/β ratio (p < 0.01), θ activity (p < 0.01), heart rate (p < 0.05), and diastolic blood pressure (p < 0.05), whereas systolic blood pressure did not differ significantly across modalities.
As shown in Figure 5, compared with visual stimulation, auditory stimulation produced more favorable changes in TMD, α/β ratio, and θ activity. Audio-visual stimulation yielded better restorative benefits than visual stimulation for all indicators except systolic blood pressure. For heart rate, audio-visual stimulation also outperformed auditory-only stimulation. Overall, restorative benefits ranked audio-visual > auditory > visual, see Figure 5.

4.3. Effects of the Three Rural Landscape Types on Restorative Benefits

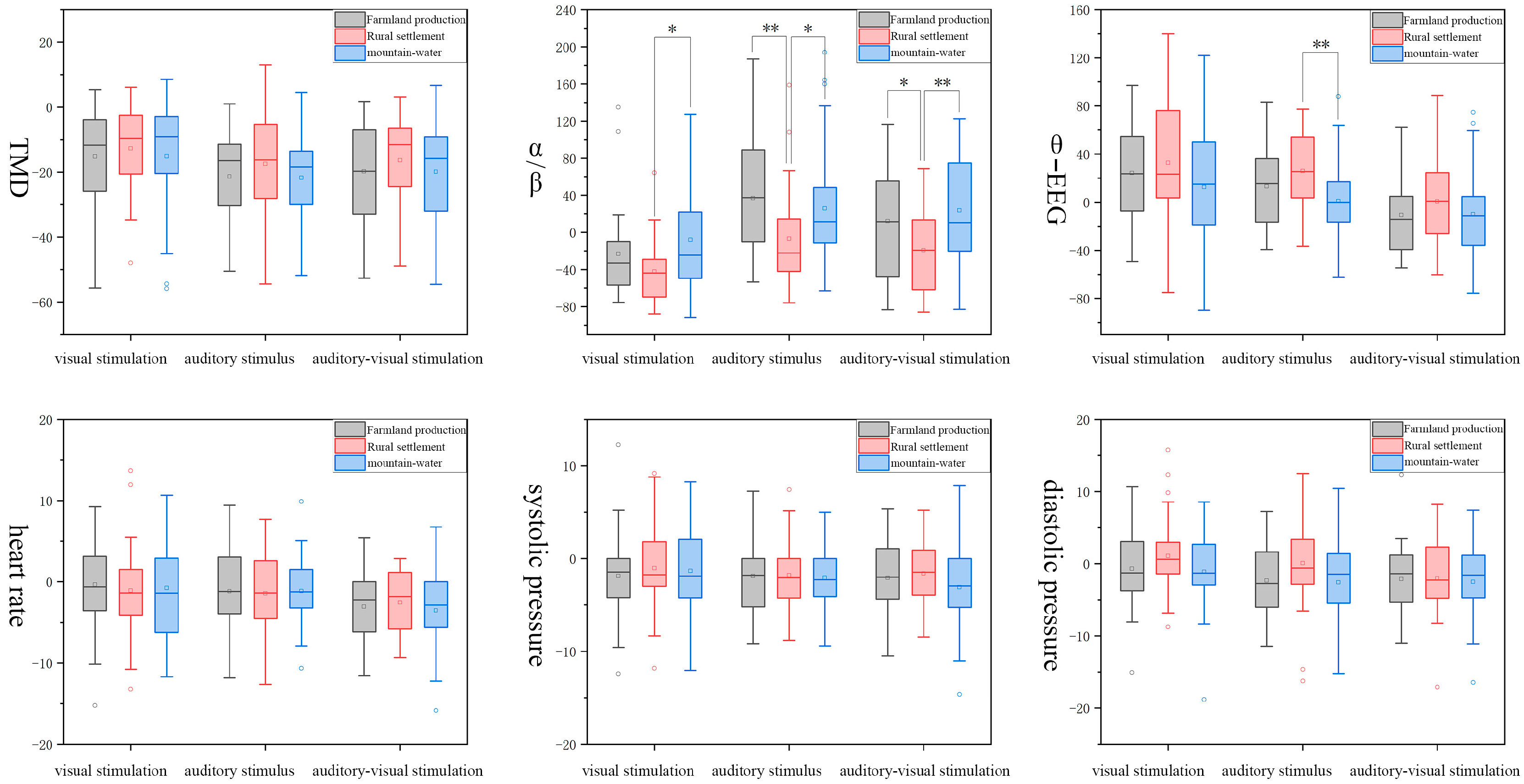
4.3.1. Differences Among Landscape Types Under Each Modality

Post hoc pairwise comparisons across the three rural landscape types under different stimulus modalities (Figure 6) showed that significant between-type differences were observed only for EEG indicators. Under visual stimulation, α/β differed between the rural settlement group and the rural mountain–water group (p < 0.05), with the rural mountain–water group showing better restoration. Under auditory stimulation, the farmland production group (p < 0.01) and rural mountain–water group (p < 0.05) exhibited greater increases in α/β than the rural settlement group; θ activity also indicated better restoration in the rural mountain–water group than in the rural settlement group (p < 0.01). Under audio-visual stimulation, α/β ratios were higher in the rural mountain–water group (p < 0.01) and the farmland production group (p < 0.05) than in the rural settlement group, see Figure 6.

4.3.2. Comparison of Composite Restorative Scores

After standardization, KMO and Bartlett’s test results (KMO = 0.586, p < 0.01) indicated that the data were suitable for PCA. Using varimax rotation, five principal components were extracted from the restorative indicators, explaining 88.922% of the total variance. Composite restorative scores were then calculated with weights for the three rural landscape types under different stimulus modalities (Figure 7). Under visual and audio-visual stimulation, the restorative-benefit ranking was rural mountain–water > farmland production > rural settlement. Under auditory stimulation, however, the soundscape of farmland production landscapes yielded higher restorative benefits than those of rural mountain–water and rural settlement landscapes.
Notably, under audio-visual interaction, the pattern was not uniformly additive: in farmland production landscapes, the composite score under audio-visual stimulation (0.68793) was slightly lower than that under auditory stimulation (0.69083). This difference, although small, may indicate a potential interaction between visual and auditory inputs, whereby visual stimuli could attenuate the effectiveness of auditory stimuli. However, given the limited magnitude of the difference and the absence of further statistical testing, this finding should be interpreted with caution (Figure 7).

4.4. Effects of Landscape Elements on Restorative Benefits

4.4.1. Visual Elements

Correlation analyses were conducted between the proportions of landscape elements and restorative benefits. In farmland production landscapes, the proportions of buildings and roads were highly significantly negatively correlated with restorative effects (p < 0.01), whereas sky coverage was significantly positively correlated (p < 0.05). In rural settlement landscapes, building and road proportions also exhibited highly significant negative correlations (p < 0.01). In rural mountain–water landscapes, water-body coverage was significantly positively correlated with restorative effects (p < 0.05).
Multiple linear regression was used to examine the effects of key subjective perceptual characteristics of each landscape type (Table 4). For farmland production landscapes, perceived farmland color (p = 0.002) and farmland neatness (p = 0.022) were significant predictors of SRRS total score. For rural settlement landscapes, perceived vernacular characteristics of buildings (p = 0.014) and perceived harmony between roads and the environment (p = 0.006) were significant predictors. For rural mountain–water landscapes, perceived plant color (p = 0.014), planting configuration (p = 0.006), and water quality (p = 0.008) were significant predictors, see Table 4.
To assess whether specific visual elements were associated with more positive versus more negative viewing states, correlations between pupil diameter and other eye-tracking metrics were examined (Table 5). Elements were classified as negative if pupil diameter was positively correlated with fixation count and mean fixation duration and negatively correlated with first fixation duration; otherwise, they were classified as positive. Based on these criteria, farmland and water bodies were positive elements and buildings were negative elements in farmland production landscapes; in rural settlement landscapes, buildings were the primary positive element while farmland was negative; and in rural mountain–water landscapes, small landscape structures were the primary positive element, with water bodies and vegetation as secondary positive elements, see Table 5.

4.4.2. Auditory Elements

Independent-samples t tests were conducted to compare eye-tracking indicators under visual versus audio-visual stimulation, in order to reflect how adding auditory elements changed viewing behavior (Table 6). After adding auditory elements, first fixation duration increased significantly (p < 0.01) in two landscape types; mean fixation duration increased significantly (p < 0.01) and fixation count decreased significantly (p < 0.01) across all three landscape types. Mean pupil diameter decreased (p < 0.05) in farmland production landscapes and rural settlement landscapes. These results suggest that auditory elements can, to some extent, enhance the attractiveness and restorative potential of rural landscapes, see Table 6.
Comparison of heat maps suggested that auditory cues could guide visual attention: birdsong increased attention to vegetation; insect and frog sounds increased attention to farmland elements; and human conversation and traffic sounds guided attention toward artificial elements, see Figure 8.
To quantify these relationships, correlation analyses between perceived auditory elements and eye-tracking indicators were conducted, followed by stepwise multiple linear regression to identify the most influential auditory attributes. For mean fixation duration, frog sound and traffic sound were positively associated, whereas birdsong was negatively associated. For fixation count, conversation sound was negatively associated, while insect sound was positively associated. For pupil diameter, traffic and insect sounds were positively associated, whereas birdsong and frog sounds were negatively associated, see Table 7.

5. Discussion

5.1. Stimulus Modalities and Restorative Benefits

5.1.1. Auditory Stimulation Yields Stronger Restorative Benefits than Visual Stimulation

Across the restorative validation tests, all rural audio-visual environments produced positive effects on stress recovery, consistent with prior evidence [13,14]. Differences were observed across stimulus modalities: audio-visual interactive stimuli generated higher restorative benefits than single-sensory stimuli, aligning with existing findings [10,29,30]. Although many studies emphasize the health-promoting effects of visual stimuli [31,32,33,34,35], the present results indicate that auditory stimuli produced more pronounced restorative effects than visual stimuli and played a more influential role in shaping overall restorative outcomes. While a large proportion of outdoor information is acquired visually [32], vision does not necessarily dominate restorative processes in all contexts. Prior work suggests that sound stimuli can be more effective than visual stimuli in alleviating stress [5,36,37] and supporting mental health recovery [16]. One possible explanation is that temporal information processing (primarily supported by auditory input) may exert a stronger influence on environmental appraisal than spatial processing (primarily supported by vision) in certain settings [5]. Accordingly, the health value of auditory experience warrants explicit attention in restorative landscape research and practice.

5.1.2. Interaction Between Visual and Auditory Stimuli

Audio-visual interactions have been widely reported in environmental perception [10,17,22,38]. In this study, a masking-type interaction was observed: under certain scenarios, combining auditory and visual stimuli weakened the restorative effect compared with single-modality exposure, which is consistent with evidence that auditory stimuli can impair visual performance under particular conditions [33]. This may reflect the superposition of cognitive demands induced by visually rich landscapes and complex natural soundscapes, resulting in attentional dispersion. Conversely, other studies report synergistic effects, whereby auditory input enhances the perceptual intensity of visual stimuli and the restorative benefit of combined exposure exceeds the sum of individual effects [5,39]. These mixed patterns underscore the importance of coordinated audio-visual optimization in rural landscape design. Future studies could further explore matching thresholds and congruence conditions for audio-visual stimuli across landscape types to provide more refined guidance for multi-sensory landscape planning and design.

5.1.3. Landscape Types and Restorative Benefits

The results indicate differences in restorative indicators among the three rural landscape types (farmland production, rural settlement, and rural mountain–water landscapes), consistent with previous studies and highlighting the relevance of landscape typology [13,14,40]. However, significant between-type differences in physiological indicators were mainly detected in EEG, rather than heart rate or blood pressure. This may suggest that the magnitude of between-type differences was insufficient to elicit robust changes in autonomic responses, and that landscape-type contrasts were more strongly expressed through cognitive demands, consistent with restorative theory and related empirical work (“Stress recovery during exposure to natural and urban environments”) [11,13].
To further compare landscape types, composite restorative scores were examined. Under visual and audio-visual stimulation, rural mountain–water landscapes showed the highest restorative benefits while rural settlement landscapes showed the lowest, suggesting that environments with stronger natural characteristics contribute more to stress recovery [18]. This pattern is consistent with evidence that waterscapes are often preferred in outdoor environments [41] and that abundant natural elements in mountainous forest settings can attract interest and attention, thereby supporting restorative experiences [42]. By contrast, rural settlement landscapes typically contain more artificial elements, which may weaken restorative potential. Farmland production landscapes showed intermediate benefits. Because farmland landscapes are relatively open, prospect–refuge theory suggests that open views may enhance perceived safety, thereby supporting psycho-physiological restoration [43]. Under auditory stimulation, farmland production and rural mountain–water soundscapes produced higher restorative benefits than rural settlement soundscapes. The former two are dominated by natural sounds, whereas rural settlement soundscapes include a higher proportion of human-made sounds. This aligns with evidence that natural sounds such as birdsong and running water are positively associated with restoration [10,39,44] and that natural sounds can elicit stronger stress recovery than artificial sounds [45].

5.2. Landscape Elements and Restorative Benefits

5.2.1. Visual Elements

Differences in restorative benefits across landscape types may be attributed, at least in part, to variation in landscape elements and their perceptual qualities. Perceived naturalness has been consistently linked to restoration [23,46,47]. Natural elements such as vegetation and water bodies are therefore likely to support restorative experiences. In addition, elements with richer perceptual characteristics may enhance restoration by sustaining interest and “soft fascination” [48]. In the present study, visually salient and natural attributes—such as colorful farmland, diverse planting configurations, and perceived water quality—emerged as key characteristics associated with restorative benefits. These findings suggest that enhancing natural attributes and enriching perceptual qualities across rural landscape types may help strengthen environmental restorativeness.

5.2.2. Auditory Elements

The addition of auditory elements increased mean fixation duration and reduced fixation count and mean pupil diameter, consistent with evidence that soundscapes can enhance landscape attractiveness and facilitate attention restoration. Heat-map evidence further suggests that auditory cues can redirect visual attention toward landscape elements related to salient sounds, consistent with cross-modal attention mechanisms [20]. From the perspective of ART, natural landscapes often evoke “soft fascination”, moderately engaging involuntary attention and allowing directed attention to recover [12,49]. Accordingly, natural auditory cues such as birdsong and frog sounds may contribute positively to restoration in rural settings, whereas traffic and other artificial sounds may undermine restorative potential. Overall, these findings reinforce the role of natural sounds as key contributors to restorative benefits [10,30,50].

5.3. Implications for Restorative Rural Landscape Design

Based on the results, differentiated strategies for rural landscape design are suggested. First, rural mountain–water landscapes should be prioritized by strengthening natural elements (e.g., vegetation restoration and water-quality improvement) and cultivating a composite acoustic environment grounded in native natural soundscapes. Second, farmland production landscapes could be optimized by balancing production functions with perceptual experience, controlling the proportions of buildings and roads, and enhancing visual rhythm through crop color and spatial composition. Third, rural settlement landscapes should be renewed cautiously by preserving traditional spatial texture, localizing renovations of modern dwellings, and introducing interactive landscape devices (e.g., aromatic plant mazes and touch-activated fountains) that activate multi-modal experiences. Through coordinated optimization of audio-visual elements, these strategies aim to support health-oriented rural landscape renewal and sustainable development.

5.4. Limitations

Several limitations should be acknowledged. First, the sample was restricted to university students, a population with relatively homogeneous age, educational background, and perceptual characteristics. This may limit the broader generalizability of the findings, particularly to other age groups, occupational groups, or individuals with different levels of familiarity with rural environments. Second, the experiment was conducted in a controlled laboratory setting rather than in real rural environments. Although this design helped reduce potential confounding factors, it may not fully capture the complexity of real-world restorative experiences, which are often shaped by weather conditions, ambient odors, and social context. Third, seasonal variation was not considered, even though vegetation phenology may influence both visual perception and soundscape composition. Future research should therefore include more diverse participant groups, incorporate seasonal observations, and adopt longitudinal or field-based designs to further improve the ecological validity and generalizability of the findings regarding restorative benefits in rural landscapes.

6. Conclusions

From an audio-visual interaction perspective, this study examined how different rural landscape types shape restorative benefits and, in doing so, integrates audio-visual interaction with restorative-environment theory within rural landscape research. Overall, the findings indicate that auditory stimulation in rural contexts tends to yield more positive restorative responses than visual stimulation, and that clear interaction effects exist between auditory and visual inputs—providing empirical support for multi-sensory approaches to rural landscape design.
The study further demonstrates that restorative benefits vary across rural landscape types and exhibit a discernible “value gradient”. In particular, natural soundscapes (e.g., birdsong and running water) appear to play an irreplaceable role in supporting restoration, offering evidence that can inform soundscape-oriented ecological restoration strategies in rural environments.
Finally, the analysis clarifies element-level mechanisms through which rural landscapes contribute to restoration. Natural elements (e.g., vegetation and water bodies), together with perceptual richness, emerge as key contributors to restorative benefits. These insights provide quantifiable references for health-oriented rural landscape planning and design aimed at enhancing restorative outcomes.

Supplementary Materials

The following supporting information can be downloaded at: https://www.mdpi.com/article/10.3390/su18083683/s1, Proportion of Auditory Landscape in Each Scene.

Author Contributions

Conceptualization, Q.D.; Methodology, Q.D.; Software, Q.D.; Validation, Q.D.; Formal analysis, Q.D. and J.W.; Investigation, Q.D.; Data curation, Q.D.; Writing—original draft, Q.D.; Writing—review & editing, Q.D.; Visualization, Q.D.; Supervision, J.W.; Project administration, J.W. All authors have read and agreed to the published version of the manuscript.

Funding

This research received no external funding.

Institutional Review Board Statement

Ethical review and approval for this study were waived in accordance with Ethical Review of Life Science and Medical Research Involving Human Beings (2023) as this study does not fall within the scope of “life science and medical research involving humans”, it focused only on ordinary audio–visual perception and restorative evaluation in a non-clinical setting and did not involve medical, biomedical, or health-related interventions or data.

Informed Consent Statement

Informed consent for participation was obtained from all subjects involved in the study. Informed consent for publication was obtained from all identifiable human participants.

Data Availability Statement

The original contributions presented in this study are included in the article/Supplementary Material. Further inquiries can be directed to the corresponding author.

Conflicts of Interest

The authors declare no conflict of interest.

References

  1. Velarde, M.D.; Fry, G.; Tveit, M. Health effects of viewing landscapes—Landscape types in environmental psychology. Urban For. Urban Green. 2007, 6, 199–212. [Google Scholar] [CrossRef]
  2. Park, B.J.; Furuya, K.; Kasetani, T.; Takayama, N.; Kagawa, T.; Miyazaki, Y. Relationship between psychological responses and physical environments in forest settings. Landsc. Urban Plan. 2011, 102, 24–32. [Google Scholar] [CrossRef]
  3. Stigsdotter, U.K.; Corazon, S.S.; Sidenius, U.; Refshauge, A.D.; Grahn, P. Forest design for mental health promotion-Using perceived sensory dimensions to elicit restorative responses. Landsc. Urban Plan. 2017, 160, 1–15. [Google Scholar] [CrossRef]
  4. Ha, J.; Kim, H.J. The restorative effects of campus landscape biodiversity: Assessing visual and auditory perceptions among university students. Urban For. Urban Green. 2021, 64, 11127259. [Google Scholar] [CrossRef]
  5. Xu, W.Y.; Wang, H.Q.; Su, H.; Sullivan, W.C.; Lin, G.S.; Pryor, M.; Jiang, B. Impacts of sights and sounds on anxiety relief in the high-density city. Landsc. Urban Plan. 2024, 241, 12104927. [Google Scholar] [CrossRef]
  6. Wang, L.; Zhang, S.R.; Yang, X. Impacts of built environment satisfaction on self-rated health outcomes in new types of village communities: A case study of four communities in Chengdu outskirts. Landsc. Archit. 2020, 27, 57–62. [Google Scholar] [CrossRef]
  7. Schmid, C.; Büchel, C.; Rose, M. The neural basis of visual dominance in the context of audio-visual object processing. Neuroimage 2011, 55, 304–311. [Google Scholar] [CrossRef]
  8. Zhao, J.W.; Xu, W.Y.; Ye, L. Effects of auditory-visual combinations on perceived restorative potential of urban green space. Appl. Acoust. 2018, 141, 169–177. [Google Scholar] [CrossRef]
  9. Schreuder, E.; van Erp, J.; Toet, A.; Kallen, V.L. Emotional responses to multisensory environmental stimuli: A conceptual framework and literature review. SAGE Open 2016, 6, 192158244016630590. [Google Scholar] [CrossRef]
  10. Deng, L.; Luo, H.; Ma, J.; Huang, Z.; Sun, L.X.; Jiang, M.Y.; Zhu, C.Y.; Li, X. Effects of integration between visual stimuli and auditory stimuli on restorative potential and aesthetic preference in urban green spaces. Urban For. Urban Green. 2020, 53, 13126702. [Google Scholar] [CrossRef]
  11. Ulrich, R.S.; Simons, R.F.; Losito, B.D.; Fiorito, E.; Miles, M.A.; Zelson, M. Stress recovery during exposure to natural and urban environments. J. Environ. Psychol. 1991, 11, 201–230. [Google Scholar] [CrossRef]
  12. Kaplan, S. The restorative benefits of nature—Toward an integrative framework. J. Environ. Psychol. 1995, 15, 169–182. [Google Scholar] [CrossRef]
  13. Wang, X.B.; Zhu, H.L.; Shang, Z.D.; Chiang, Y.C. The influence of viewing photos of different types of rural landscapes on stress in Beijing. Sustainability 2019, 11, 2537. [Google Scholar] [CrossRef]
  14. Shen, H.B.; He, X.C.; He, J.; Li, D.M.; Liang, M.J.; Xie, X.B. Back to the village: Assessing the effects of naturalness, landscape types, and landscape elements on the restorative potential of rural landscapes. Land 2024, 13, 910. [Google Scholar] [CrossRef]
  15. Aletta, F.; Kang, J.; Axelsson, Ö. Soundscape descriptors and a conceptual framework for developing predictive soundscape models. Landsc. Urban Plan. 2016, 149, 65–74. [Google Scholar] [CrossRef]
  16. Jiang, B.; Xu, W.Y.; Ji, W.Q.; Kim, G.; Pryor, M.; Sullivan, W.C. Impacts of nature and built acoustic-visual environments on human’s multidimensional mood states: A cross-continent experiment. J. Environ. Psychol. 2021, 77, 15101659. [Google Scholar] [CrossRef]
  17. Li, Z.Z.; Ba, M.H.; Kang, J. Physiological indicators and subjective restorativeness with audio-visual interactions in urban soundscapes. Sustain. Cities Soc. 2021, 75, 15103360. [Google Scholar] [CrossRef]
  18. Shen, H.H.; Aziz, N.F.; Lv, X.Y. Using 360-degree panoramic technology to explore the mechanisms underlying the influence of landscape features on visual landscape quality in traditional villages. Ecol. Inform. 2025, 86, 15103036. [Google Scholar] [CrossRef]
  19. Basar, E. A review of alpha activity in integrative brain function: Fundamental physiology, sensory coding, cognition and pathology. Int. J. Psychophysiol. 2012, 86, 1–24. [Google Scholar] [CrossRef] [PubMed]
  20. Hillyard, S.A.; Störmer, V.S.; Feng, W.F.; Martinez, A.; McDonald, J.J. Cross-modal orienting of visual attention. Neuropsychologia 2016, 83, 170–178. [Google Scholar] [CrossRef]
  21. Lin, W.; Zeng, C.C.; Bao, Z.Y.; Jin, H.X. The therapeutic look up: Stress reduction and attention restoration vary according to the sky-leaf-trunk (SLT) ratio in canopy landscapes. Landsc. Urban Plan. 2023, 234, 19104730. [Google Scholar] [CrossRef]
  22. Watts, G.; Khan, A.; Pheasant, R. Influence of soundscape and interior design on anxiety and perceived tranquillity of patients in a healthcare setting. Appl. Acoust. 2016, 104, 135–141. [Google Scholar] [CrossRef]
  23. Wang, R.H.; Jiang, W.X.; Lu, T.S. Landscape characteristics of university campus in relation to aesthetic quality and recreational preference. Urban For. Urban Green. 2021, 66, 9127389. [Google Scholar] [CrossRef]
  24. Kreibig, S.D. Autonomic nervous system activity in emotion: A review. Biol. Psychol. 2010, 84, 394–421. [Google Scholar] [CrossRef] [PubMed]
  25. Alarcao, S.M.; Fonseca, M.J. Emotions recognition using EEG signals: A survey. IEEE Trans. Affect. Comput. 2017, 10, 374–393. [Google Scholar] [CrossRef]
  26. Janeczko, E.; Bielinis, E.; Wójcik, R.; Woznicka, M.; Kedziora, W.; Lukowski, A.; Elsadek, M.; Szyc, K.; Janeczko, K. When urban environment is restorative: The effect of walking in suburbs and forests on psychological and physiological relaxation of young polish adults. Forests 2020, 11, 591. [Google Scholar] [CrossRef]
  27. Han, K.T. A reliable and valid self-rating measure of the restorative quality of natural environments. Landsc. Urban Plan. 2003, 64, 209–232. [Google Scholar] [CrossRef]
  28. Liu, L.H.; Qu, H.Y.; Ma, Y.M.; Wang, K.; Qu, H.X. Restorative benefits of urban green space: Physiological, psychological restoration and eye movement analysis. J. Environ. Manag. 2022, 301, 9113930. [Google Scholar] [CrossRef]
  29. Masullo, M.; Maffei, L.; Pascale, A.; Senese, V.P.; De Stefano, S.; Chau, C.K. Effects of evocative audio-visual installations on the restorativeness in urban parks. Sustainability 2021, 13, 8328. [Google Scholar] [CrossRef]
  30. Payne, S.R. The production of a perceived restorativeness soundscape scale. Appl. Acoust. 2013, 74, 255–263. [Google Scholar] [CrossRef]
  31. Wang, R.H.; He, E.M.; Sun, X.K.; Wan, C.W. Examining emotional responses and psychological restoration of four types of natural landscapes. Landsc. Res. 2025, 50, 409–425. [Google Scholar] [CrossRef]
  32. Polat, A.T.; Akay, A. Relationships between the visual preferences of urban recreation area users and various landscape design elements. Urban For. Urban Green. 2015, 14, 573–582. [Google Scholar] [CrossRef]
  33. Malpica, S.; Serrano, A.; Guerrero-Viu, J.; Martin, D.; Bernal, E.; Gutierrez, D.; Masia, B. Auditory Stimuli Degrade Visual Performance in Virtual Reality. In Proceedings of the Special Interest Group on Computer Graphics and Interactive Techniques Conference Posters (SIGGRAPH ‘22 Posters), Vancouver, BC, Canada, 8–11 August 2022. [Google Scholar]
  34. Stigsdotter, U.K.; Corazon, S.S.; Sidenius, U.; Kristiansen, J.; Grahn, P. It is not all bad for the grey city–A crossover study on physiological and psychological restoration in a forest and an urban environment. Health Place 2017, 46, 145–154. [Google Scholar] [CrossRef]
  35. Kardan, O.; Demiralp, E.; Hout, M.C.; Hunter, M.R.; Karimi, H.; Hanayik, T.; Yourganov, G.; Jonides, J.; Berman, M.G. Is the preference of natural versus man-made scenes driven by bottom–up processing of the visual features of nature? Front. Psychol. 2015, 6, 471. [Google Scholar] [CrossRef]
  36. Hedblom, M.; Gunnarsson, B.; Iravani, B.; Knez, I.; Schaefer, M.; Thorsson, P.; Lundström, J.N. Reduction of physiological stress by urban green space in a multisensory virtual experiment. Sci. Rep. 2019, 9, 10113. [Google Scholar] [CrossRef]
  37. Ma, H.; Shu, S. An experimental study: The restorative effect of soundscape elements in a simulated open-plan office. Acta Acust. United Acust. 2018, 104, 106. [Google Scholar] [CrossRef]
  38. Zhou, T.; Wu, Y.; Meng, Q.; Kang, J. Influence of the acoustic environment in hospital wards on patient physiological and psychological indices. Front. Psychol. 2020, 11, 1600. [Google Scholar] [CrossRef]
  39. Juanita, F. The audio-visual distraction minimizes the children’s level of anxiety during circumcision. J. Ners 2007, 2, 95–99. [Google Scholar] [CrossRef]
  40. Liu, Q.Y.; Zhu, Z.P.; Zeng, X.J.; Zhuo, Z.X.; Ye, B.J.; Fang, L.; Huang, Q.T.; Lai, P.C. The impact of landscape complexity on preference ratings and eye fixation of various urban green space settings. Urban For. Urban Green. 2021, 66, 8127411. [Google Scholar] [CrossRef]
  41. Korpela, K.M.; Ylén, M.; Tyrväinen, L.; Silvennoinen, H. Favorite green, waterside and urban environments, restorative experiences and perceived health in Finland. Health Promot. Int. 2010, 25, 200–209. [Google Scholar] [CrossRef] [PubMed]
  42. Weng, Y.X.; Zhu, Y.J.; Huang, Y.B.; Chen, Q.M.; Dong, J.W. Empirical study on the impact of different types of forest environments in wuyishan national park on public physiological and psychological health. Forests 2024, 15, 393. [Google Scholar] [CrossRef]
  43. Tyrväinen, L.; Ojala, A.; Korpela, K.; Lanki, T.; Tsunetsugu, Y.; Kagawa, T. The influence of urban green environments on stress relief measures: A field experiment. J. Environ. Psychol. 2014, 38, 1–9. [Google Scholar] [CrossRef]
  44. Buxton, R.T.; Pearson, A.L.; Allou, C.; Fristrup, K.; Wittemyer, G. A synthesis of health benefits of natural sounds and their distribution in national parks. Proc. Natl. Acad. Sci. USA 2021, 118, e2013097118. [Google Scholar] [CrossRef] [PubMed]
  45. Cui, X.; Jin, H.X.; Zeng, C.C. A study on the influence of campus green space auditory and olfactory interactive perception on stress recovery of college students. Chin. Landsc. Archit. 2023, 39, 26–31. [Google Scholar] [CrossRef]
  46. Xu, W.; Xu, S.; Shi, R.; Chen, Z.; Lin, Y.; Chen, J. Exploring the impact of university green spaces on Students’ perceived restoration and emotional states through audio-visual perception. Ecol. Inform. 2024, 82, 102766. [Google Scholar] [CrossRef]
  47. Liu, Q.Y.; Zhang, Y.J.; Lin, Y.W.; You, D.; Zhang, W.; Huang, Q.T.; van den Bosch, C.C.K.; Lan, S.E. The relationship between self-rated naturalness of university green space and students’ restoration and health. Urban For. Urban Green. 2018, 34, 259–268. [Google Scholar] [CrossRef]
  48. Mishra, H.S.; Bell, S.; Vassiljev, P.; Kuhlmann, F.; Niin, G.; Grellier, J. The development of a tool for assessing the environmental qualities of urban blue spaces. Urban For. Urban Green. 2020, 49, 11126575. [Google Scholar] [CrossRef]
  49. Alvarsson, J.J.; Wiens, S.; Nilsson, M.E. Stress recovery during exposure to nature sound and environmental noise. Int. J. Environ. Res. Public Health 2010, 7, 1036–1046. [Google Scholar] [CrossRef]
  50. Ratcliffe, E.; Gatersleben, B.; Sowden, P.T. Bird sounds and their contributions to perceived attention restoration and stress recovery. J. Environ. Psychol. 2013, 36, 221–228. [Google Scholar] [CrossRef]
Figure 1. Photo materials of three rural landscape types.
Figure 1. Photo materials of three rural landscape types.
Sustainability 18 03683 g001
Figure 2. Photograph of the experimental setup.
Figure 2. Photograph of the experimental setup.
Sustainability 18 03683 g002
Figure 3. Experimental procedure.
Figure 3. Experimental procedure.
Sustainability 18 03683 g003
Figure 4. Changes in physiological and psychological indicators before and after restorative experience (*: p < 0.05, **: p < 0.01).
Figure 4. Changes in physiological and psychological indicators before and after restorative experience (*: p < 0.05, **: p < 0.01).
Sustainability 18 03683 g004
Figure 5. Comparison of differences in physiological and psychological indicators across stimulus modalities (*: p < 0.05, **: p < 0.01).
Figure 5. Comparison of differences in physiological and psychological indicators across stimulus modalities (*: p < 0.05, **: p < 0.01).
Sustainability 18 03683 g005
Figure 6. Effects of different rural landscape types on physiological indicators under different stimulus environments (*: p < 0.05, **: p < 0.01).
Figure 6. Effects of different rural landscape types on physiological indicators under different stimulus environments (*: p < 0.05, **: p < 0.01).
Sustainability 18 03683 g006
Figure 7. Comparison of restorative composite scores between audio-visual stimuli and auditory stimuli across three types of rural landscapes.
Figure 7. Comparison of restorative composite scores between audio-visual stimuli and auditory stimuli across three types of rural landscapes.
Sustainability 18 03683 g007
Figure 8. Visual heat-map.
Figure 8. Visual heat-map.
Sustainability 18 03683 g008
Table 1. Rural landscape category and dominant elements.
Table 1. Rural landscape category and dominant elements.
Rural Landscape CategoryDominant Elements
Farmland production landscapePrimarily farmland
Rural settlement landscapeMainly buildings, roads, and small landscape structures
Rural mountain–water landscapeMainly vegetation and water bodies
Table 2. Sound–source composition across rural landscape types.
Table 2. Sound–source composition across rural landscape types.
Rural Landscape TypeDominant SoundsSecondary SoundsIncidental Sounds
Farmland production landscapeMultiple bird calls, frog sounds, and insect soundsHoeing sounds and human conversationAgricultural machinery and vehicle sounds
Rural settlement landscapeSingle bird call and human conversationVehicle sounds and hornsInsect sounds
Rural mountain–water landscapeMultiple bird calls and windInsect sounds and running waterAircraft noise
Table 3. Experimental material combinations and grouping.
Table 3. Experimental material combinations and grouping.
Construction of Single-Auditory EnvironmentsConstruction of Single-Visual EnvironmentsConstruction of Audio-Visual Environments
Farmland production audio materialsFarmland production visual materialsFarmland production audio + visual materials
Rural settlement audio materialsRural settlement visual materialsRural settlement audio + visual materials
Rural mountain–water audio materialsRural mountain–water visual materialsRural mountain–water audio + visual materials
Table 4. Key subjective visual perceptual attributes influencing restorative benefits in rural landscapes.
Table 4. Key subjective visual perceptual attributes influencing restorative benefits in rural landscapes.
Rural Landscape TypeKey Subjective Perceptual AttributesStandardized CoefficienttpR2Collinearity Statistics
ToleranceVIF
Farmland production landscapeFarmland color0.1713.2020.0020.5690.8061.241
Farmland neatness0.1252.3060.0220.7781.286
Rural settlement landscapeVernacular character of buildings0.1192.4910.0140.6100.9151.093
Harmony between roads and the environment0.1392.7640.0060.8251.212
Rural mountain–water landscapePlant color0.1192.4910.0140.6160.9151.093
Planting configuration0.1392.7640.0060.8251.212
Water quality0.1412.6970.0080.7531.328
Table 5. Results of correlation analyses between pupil diameter and eye-tracking indicators for elements in different rural landscape types.
Table 5. Results of correlation analyses between pupil diameter and eye-tracking indicators for elements in different rural landscape types.
Farmland Production LandscapeRural Settlement LandscapeRural Mountain–Water Landscape
First Fixation DurationMean Fixation DurationFixation CountFirst Fixation DurationMean Fixation DurationFixation CountFirst Fixation DurationMean Fixation DurationFixation Count
Buildings0.048−0.061−0.142 *−0.1550.170.0250.143−0.0010.188
Roads−0.131−0.121−0.031−0.049−0.2690.003−0.2170.082−0.028
Small landscape structures−0.0550.0270.064−0.25−0.1560.0840.1280.464 **−0.134
Farmland−0.0390.349 *0.131 *0.1360.028−0.259 **
Vegetation−0.027−0.0260.013−0.0520.0480.034−0.0040.169 *−0.033
Water bodies−0.1550.170.430 *−0.0050.0650.035 *
Note: *: p < 0.05, **: p < 0.01.
Table 6. Differences in eye movement indicators of visual and audio-visual stimulation of rural landscapes.
Table 6. Differences in eye movement indicators of visual and audio-visual stimulation of rural landscapes.
Farmland Production LandscapeRural Settlement LandscapeRural Mountain–Water Landscape
Mean DifferencetMean DifferencetMean Differencet
First fixation time0.2181.9330.4423.532 **0.3263.314 **
Mean fixation time−0.431−4.09 **−0.431−4.09 **−0.098−3.398 **
Fixation count4.056.712 **4.056.712 **2.0333.218 **
Mean pupil diameter0.1882.167 *0.1972.292 *0.113−1.268
Note: *: p < 0.05, **: p < 0.01.
Table 7. Multiple linear stepwise regression analysis of perception of auditory elements and eye movement indicators.
Table 7. Multiple linear stepwise regression analysis of perception of auditory elements and eye movement indicators.
Dependent VariableKey Perceived Auditory AttributesStandardized CoefficienttpR2Collinearity Statistics
ToleranceVIF
Mean fixation timeFrog sound0.2963.4280.0010.1170.6861.459
Birdsong−0.28−3.0790.0020.6171.621
Traffic sound0.2212.3220.0210.5641.773
Fixation countInsect sound0.2692.80.0060.1100.5571.794
Human conversation−0.236−2.7780.0060.7151.398
Mean pupil diameterTraffic sound0.3333.6190.0010.1740.5641.773
Insect sound0.2863.0950.0020.5571.794
Birdsong−0.281−3.1980.0020.6171.621
Frog sound−0.222−2.6630.0080.6861.459
Disclaimer/Publisher’s Note: The statements, opinions and data contained in all publications are solely those of the individual author(s) and contributor(s) and not of MDPI and/or the editor(s). MDPI and/or the editor(s) disclaim responsibility for any injury to people or property resulting from any ideas, methods, instructions or products referred to in the content.

Share and Cite

MDPI and ACS Style

Dong, Q.; Wei, J. The Effects of Different Rural Landscape Types on Restorative Benefits from the Perspective of Audio-Visual Interaction. Sustainability 2026, 18, 3683. https://doi.org/10.3390/su18083683

AMA Style

Dong Q, Wei J. The Effects of Different Rural Landscape Types on Restorative Benefits from the Perspective of Audio-Visual Interaction. Sustainability. 2026; 18(8):3683. https://doi.org/10.3390/su18083683

Chicago/Turabian Style

Dong, Qin, and Jiaxing Wei. 2026. "The Effects of Different Rural Landscape Types on Restorative Benefits from the Perspective of Audio-Visual Interaction" Sustainability 18, no. 8: 3683. https://doi.org/10.3390/su18083683

APA Style

Dong, Q., & Wei, J. (2026). The Effects of Different Rural Landscape Types on Restorative Benefits from the Perspective of Audio-Visual Interaction. Sustainability, 18(8), 3683. https://doi.org/10.3390/su18083683

Note that from the first issue of 2016, this journal uses article numbers instead of page numbers. See further details here.

Article Metrics

Back to TopTop