Computational Screening of N-Doped Graphene-Supported Cu-Sc Nanoclusters for CO2 Capture
Abstract
1. Introduction
2. Materials and Methods
2.1. Computational Methodology and Thermodynamic Analysis
2.2. Cu–Sc Nanocluster Models
2.3. Construction of Support Models
2.4. Thermochemistry and Boltzmann Populations
2.5. CO2 Adsorption
2.6. Electronic Analysis
3. Results
3.1. Analysis of the Structure, Stability, and Electronic Characteristics of Cu–Sc Clusters
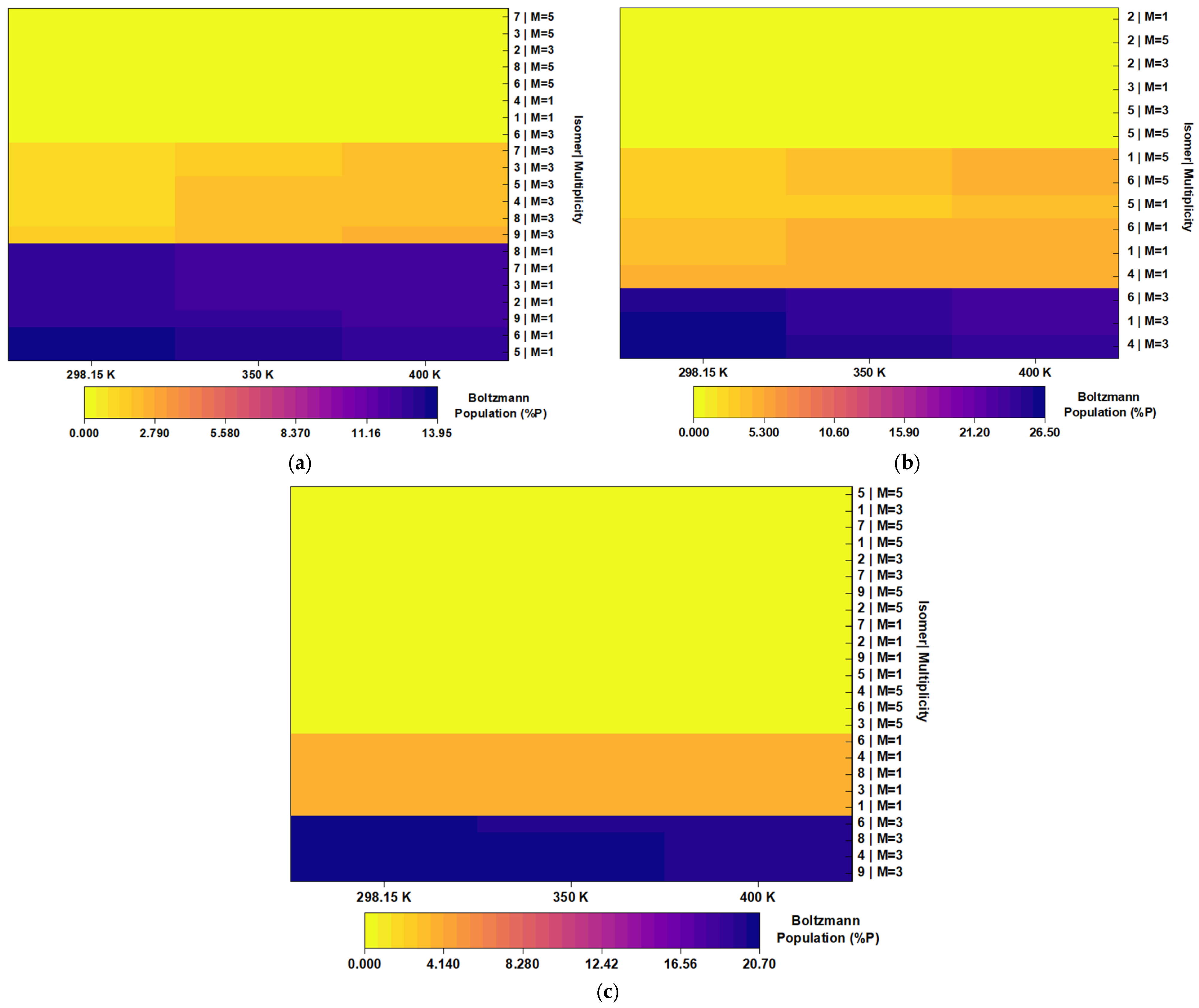
3.2. Thermal Population of Isomers by Boltzmann Distribution
3.3. Nitrogen-Modified Graphene Surface
3.3.1. Stability and Active Surface Area of Modified Graphene
Computational Cost
3.3.2. Constraint-Release Thermochemistry of Cavity and Cavity-3N Bilayer Supports
3.3.3. Analysis of Stability and Reactivity Based on Global Descriptors
Global Descriptors of Reactivity of Adsorbed Complexes CuxScγ@3N-Graphene
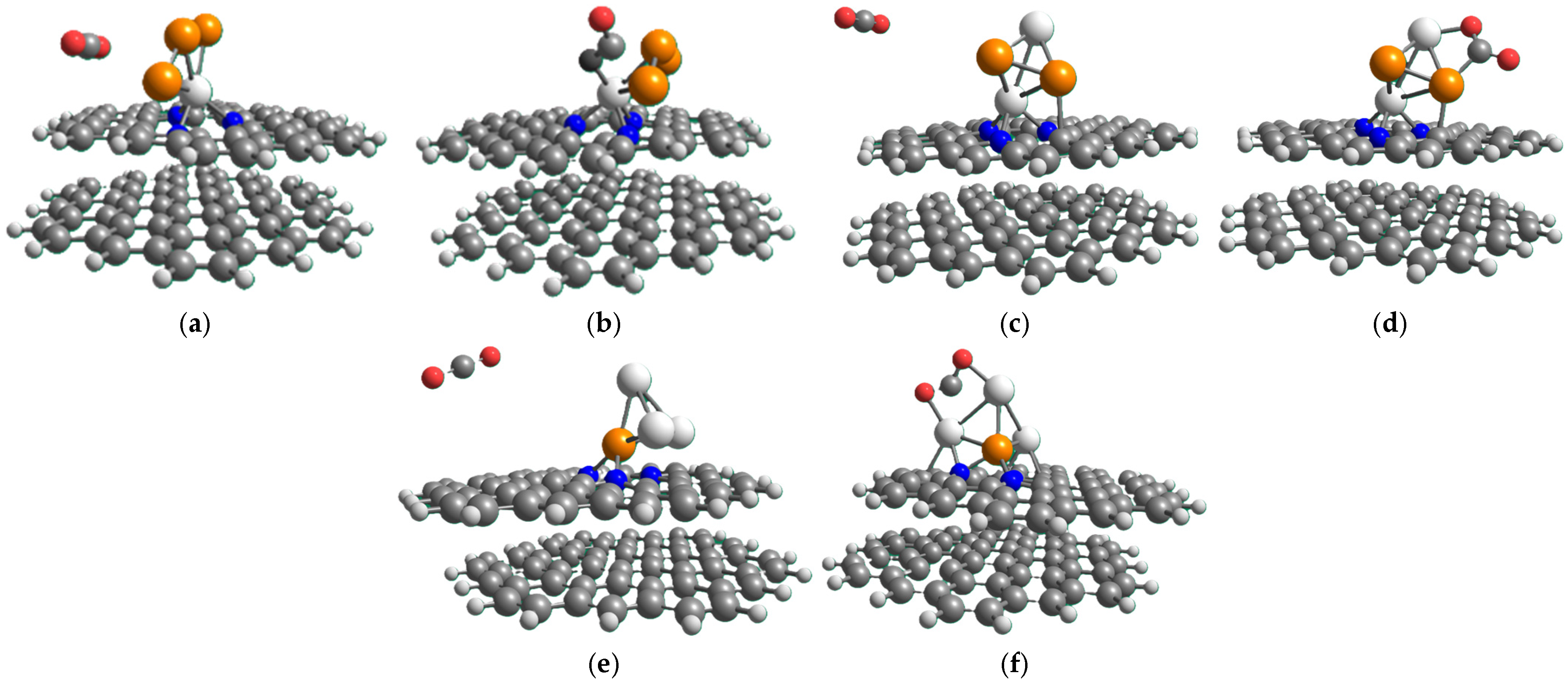
3.4. Nanocluster Adsorption and CO2 Adsorption in Graphene-3N-Nanocluster Complex
X ∈ {ΔH, −TΔS, ΔG}
3.5. Activation of CO2 Adsorbed on CuxScγ@3N-Graphene: Geometric Descriptors, Charge Transfer, and QTAIM Topological Validation
4. Discussion
5. Conclusions
Supplementary Materials
Author Contributions
Funding
Institutional Review Board Statement
Informed Consent Statement
Data Availability Statement
Conflicts of Interest
References
- Duan, Y.; Meng, F.; Liu, K.; Yi, S.; Li, S.; Yan, J.; Jiang, Q. Amorphizing of Cu nanoparticles toward highly efficient and robust electrocatalyst for CO2 reduction to liquid fuels with high Faradaic efficiencies. Adv. Mater. 2018, 30, 1706194. [Google Scholar] [CrossRef] [PubMed]
- Intergovernmental Panel on Climate Change (IPCC). Climate Change 2021: The Physical Science Basis. Available online: https://www.ipcc.ch/report/ar6/wg1/ (accessed on 26 February 2026).
- Houghton, J. Global warming. Rep. Prog. Phys. 2005, 68, 1343–1403. [Google Scholar] [CrossRef]
- Nitopi, S.; Bertheussen, E.; Scott, S.B.; Liu, X.; Engstfeld, A.K.; Horch, S.; Seger, B.; Stephens, I.E.L.; Chan, K.; Hahn, C.; et al. Progress and perspectives of electrochemical CO2 reduction on copper in aqueous electrolyte. Chem. Rev. 2019, 119, 7610–7672. [Google Scholar] [CrossRef] [PubMed]
- Hepburn, C.; Adlen, E.; Beddington, J.; Carter, E.A.; Fuss, S.; Mac Dowell, N.; Minx, J.C.; Smith, P.; Williams, C.K. The technological and economic prospects for CO2 utilization and removal. Nature 2019, 575, 87–97. [Google Scholar] [CrossRef]
- Boot-Handford, M.E.; Abanades, J.C.; Anthony, E.J.; Blunt, M.J.; Brandani, S.; Mac Dowell, N.; Fernández, J.R.; Ferrari, M.-C.; Gross, R.; Hallett, J.P.; et al. Carbon capture and storage update. Energy Environ. Sci. 2014, 7, 130–189. [Google Scholar] [CrossRef]
- Artz, J.; Müller, T.E.; Thenert, K.; Kleinekorte, J.; Meys, R.; Sternberg, A.; Bardow, A.; Leitner, W. Sustainable conversion of carbon dioxide: An integrated review of catalysis and life cycle assessment. Chem. Rev. 2018, 118, 434–504. [Google Scholar] [CrossRef]
- Aresta, M.; Dibenedetto, A.; Angelini, A. Catalysis for the valorization of exhaust carbon: From CO2 to chemicals, materials, and fuels. Technological use of CO2. Chem. Rev. 2014, 114, 1709–1742. [Google Scholar] [CrossRef]
- Sakakura, T.; Choi, J.-C.; Yasuda, H. Transformation of carbon dioxide. Chem. Rev. 2007, 107, 2365–2387. [Google Scholar] [CrossRef]
- Etim, U.J.; Zhang, C.; Zhong, Z. Impacts of the catalyst structures on CO2 activation on catalyst surfaces. Nanomaterials 2021, 11, 3265. [Google Scholar] [CrossRef]
- Li, H.; Zhao, J.; Luo, L.; Du, J.; Zeng, J. Symmetry-breaking sites for activating linear carbon dioxide molecules. Acc. Chem. Res. 2021, 54, 1454–1464. [Google Scholar] [CrossRef]
- Butera, V.; Barone, G. Advances in CO2 capture and utilization: The role of DFT in understanding CO2 activation and its conversion mechanisms for methanol and cyclic carbonates production. Catal. Sci. Technol. 2025, 15, 5574–5601. [Google Scholar] [CrossRef]
- Bullock, R.M.; Appel, A.M.; Helm, M.L. Production of hydrogen by electrocatalysis: Making the H–H bond by combining protons and hydrides. Chem. Commun. 2014, 50, 3125–3143. [Google Scholar] [CrossRef] [PubMed]
- Francke, R.; Schille, B.; Roemelt, M. Homogeneously catalyzed electroreduction of carbon dioxide—Methods, mechanisms, and catalysts. Chem. Rev. 2018, 118, 4631–4701. [Google Scholar] [CrossRef] [PubMed]
- Costentin, C.; Robert, M.; Savéant, J.-M. Catalysis of the electrochemical reduction of carbon dioxide. Chem. Soc. Rev. 2013, 42, 2423–2436. [Google Scholar] [CrossRef]
- Qiao, J.; Liu, Y.; Hong, F.; Zhang, J. A review of catalysts for the electroreduction of carbon dioxide to produce low-carbon fuels. Chem. Soc. Rev. 2014, 43, 631–675. [Google Scholar] [CrossRef]
- Cui, Z.; Aztergo, K.D.; Hwang, J.; Co, A.C. Kinetic analysis makes the impossible possible: Measuring CO adsorption free energies on the active sites during CO2 electroreduction. ChemRxiv 2024, preprint. [Google Scholar] [CrossRef]
- Murata, A.; Hori, Y. Product selectivity affected by cationic species in electrochemical reduction of CO2 and CO at a Cu electrode. Bull. Chem. Soc. Jpn. 1991, 64, 123–127. [Google Scholar] [CrossRef]
- Zhong, W.; Zhou, S.; Lovell, E.C.; Amal, R.; Lu, X. Copper-based electrocatalysts converting carbon dioxide to narrowly distributed products. Chem. Eng. J. 2025, 517, 163925. [Google Scholar] [CrossRef]
- Garza, A.J.; Bell, A.T.; Head-Gordon, M. Mechanism of CO2 reduction at copper surfaces: Pathways to C2 products. ACS Catal. 2018, 8, 1490–1499. [Google Scholar] [CrossRef]
- Yesupatham, M.S.; Honnappa, B.; Agamendran, N.; Kumar, S.Y.; Chellasamy, G.; Govindaraju, S.; Yun, K.; Selvam, N.C.S.; Maruthapillai, A.; Li, W.; et al. Recent developments in copper-based catalysts for enhanced electrochemical CO2 reduction. Adv. Sustain. Syst. 2024, 8, 2300549. [Google Scholar] [CrossRef]
- Muthuperiyanayagam, A.; Nabi, A.G.; Zhao, Q.; Aman-Ur-Rehman; Di Tommaso, D. Adsorption, activation, and conversion of carbon dioxide on small copper–tin nanoclusters. Phys. Chem. Chem. Phys. 2023, 25, 13429–13441. [Google Scholar] [CrossRef] [PubMed]
- Fu, J.; Liu, K.; Li, H.; Hu, J.; Liu, M. Bimetallic atomic site catalysts for CO2 reduction reactions: A review. Environ. Chem. Lett. 2022, 20, 243–262. [Google Scholar] [CrossRef]
- Qiu, L.-Q.; Li, H.-R.; He, L. Incorporating catalytic units into nanomaterials: Rational design of multipurpose catalysts for CO2 valorization. Acc. Chem. Res. 2023, 56, 2225–2240. [Google Scholar] [CrossRef] [PubMed]
- Montejo-Álvaro, F.; Martínez-Espinosa, J.A.; Rojas-Chávez, H.; Navarro-Ibarra, D.C.; Cruz-Martínez, H.; Medina, D.I. CO2 adsorption over 3d transition-metal nanoclusters supported on pyridinic N3-doped graphene: A DFT investigation. Materials 2022, 15, 6136. [Google Scholar] [CrossRef]
- Ooka, H.; Huang, J.; Exner, K.S. The Sabatier principle in electrocatalysis: Basics, limitations, and extensions. Front. Energy Res. 2021, 9, 654460. [Google Scholar] [CrossRef]
- Guba, M.; Höltzl, T. Stability and electronic structure of nitrogen-doped graphene-supported Cun (n = 1–5) clusters in vacuum and under electrochemical conditions: Toward sensor and catalyst design. J. Phys. Chem. C 2024, 128, 4677–4686. [Google Scholar] [CrossRef]
- Neese, F. The ORCA program system. Wiley Interdiscip. Rev. Comput. Mol. Sci. 2012, 2, 73–78. [Google Scholar] [CrossRef]
- Grimme, S.; Hansen, A.; Ehlert, S.; Mewes, J.-M. r2SCAN-3c: A “Swiss army knife” composite electronic-structure method. J. Chem. Phys. 2021, 154, 064103. [Google Scholar] [CrossRef]













| System | Free | Res |
|---|---|---|
| Cavity | 6.52 | 11.92 |
| Cavity-3N | 13.48 | 21.68 |
| System | T (K) | ΔH (kJ/mol) | ΔS Correction (kJ/(mol) | ΔG (kJ/mol) |
|---|---|---|---|---|
| Cavity | 298.15 | −40.51 | 1.64 | −38.87 |
| 350 | −40.63 | 1.86 | −38.76 | |
| 400 | −40.73 | 2.10 | −38.63 | |
| Cavity-3N | 298.15 | −5.48 | 1.47 | −4.01 |
| 350 | −5.49 | 1.73 | −3.76 | |
| 400 | −5.51 | 1.97 | −3.55 |
| System | ∆E (eV) | η (eV) | µ (eV) | ω (eV) |
|---|---|---|---|---|
| Cavity | 0.872 | 0.436 | −4.0915 | 19.16 |
| Cavity-3N | 1.581 | 0.791 | −3.5578 | 7.99 |
| System | ∆E (eV) | η (eV) | µ (eV) | ω (eV) |
|---|---|---|---|---|
| Cu3Sc@3N-graphene | 0.518 | 0.259 | −3.041 | 1.198 |
| Cu2Sc2@3N-graphene | 0.231 | 0.115 | −2.936 | 0.498 |
| CuSc3@3N-graphene | 0.219 | 0.109 | −3.028 | 0.502 |
| System | T (K) | ΔHads (kJ·mol−1) | −TΔSads (kJ·mol−1) | ΔGads (kJ·mol−1) |
|---|---|---|---|---|
| Cu3Sc@3N-graphene | 298.15 | −124.76 | +48.69 | −76.07 |
| 350 | −124.26 | +56.95 | −67.31 | |
| 400 | −123.75 | +64.83 | −58.92 | |
| Cu2Sc2@3N-graphene | 298.15 | −213.29 | +48.27 | −165.02 |
| 350 | −212.78 | +56.42 | −156.36 | |
| 400 | −212.22 | +64.18 | −148.04 | |
| CuSc3@3N-graphene | 298.15 | −343.23 | +49.25 | −293.98 |
| 350 | −344.76 | +57.43 | −287.32 | |
| 400 | −344.21 | +65.13 | −279.09 |
| System | T (K) | q(CCO2) (e) | q(O1CO2) (e) | q(O2CO2) (e) | ΔQ(CO2) Hirshfeld (e) | ∠O–C–O (°) | d(C–O1) (Å) | d(C–O2) (Å) | d(M–C)/d(M–O) (Å) |
|---|---|---|---|---|---|---|---|---|---|
| Cu3Sc@3N-graphene + CO2 | 298.15 | 0.0704 | −0.3161 | −0.2037 | −0.4494 | 125.55 | 1.2188 | 1.3266 | 2.0495 |
| 350 | 0.0704 | −0.3161 | −0.2036 | −0.4493 | 125.55 | 1.2189 | 1.3266 | 2.0495 | |
| 400 | 0.0704 | −0.3161 | −0.2036 | −0.4493 | 125.55 | 1.2189 | 1.3266 | 2.0495 | |
| Cu2Sc2@3N-graphene + CO2 graphene + CO2 | 298.15 | 0.0368 | −0.3682 | 0.0154 | −0.3160 | 126.43 | 1.2185 | 1.3259 | 2.0163 |
| 350 | 0.0368 | −0.3681 | 0.0151 | −0.3162 | 126.43 | 1.2185 | 1.3260 | 2.0163 | |
| 400 | 0.0367 | −0.3681 | 0.0152 | −0.3162 | 126.43 | 1.2185 | 1.3260 | 2.0163 | |
| CuSc3@3N-graphene + CO2 | 298.15 | −0.7226 | 0.0196 | 0.2909 | −0.4120 | 130.63 | 1.2702 | 1.2817 | 2.1356 |
| 350 | −0.5867 | 0.0145 | 0.1477 | −0.4245 | 130.63 | 1.2710 | 1.2808 | 2.1388 | |
| 400 | −0.5860 | 0.0140 | 0.1478 | −0.4242 | 130.63 | 1.2709 | 1.2809 | 2.1392 |
| System | ρc | ∇2ρc | H | V | G | |V|/G |
|---|---|---|---|---|---|---|
| Cu3Sc@3N-graphene + CO2 | 2.45 × 10−1 | 6.97 × 10−1 | −5.84 × 10−2 | −2.91 × 10−1 | 2.33 × 10−1 | 1.25 |
| Cu2Sc2@3N−graphene + CO2 | 2.00 × 10−1 | 6.43 × 10−1 | −5.10 × 10−2 | −2.63 × 10−1 | 2.12 × 10−1 | 1.24 |
| CuSc3@3N−graphene + CO2 | 2.71 × 10−1 | 1.18 | −1.68 × 10−2 | −3.28 × 10−1 | 3.11 × 10−1 | 1.05 |
Disclaimer/Publisher’s Note: The statements, opinions and data contained in all publications are solely those of the individual author(s) and contributor(s) and not of MDPI and/or the editor(s). MDPI and/or the editor(s) disclaim responsibility for any injury to people or property resulting from any ideas, methods, instructions or products referred to in the content. |
© 2026 by the authors. Licensee MDPI, Basel, Switzerland. This article is an open access article distributed under the terms and conditions of the Creative Commons Attribution (CC BY) license.
Share and Cite
Paternina, K.L.O.; Hernández Fernández, J. Computational Screening of N-Doped Graphene-Supported Cu-Sc Nanoclusters for CO2 Capture. Sustainability 2026, 18, 3497. https://doi.org/10.3390/su18073497
Paternina KLO, Hernández Fernández J. Computational Screening of N-Doped Graphene-Supported Cu-Sc Nanoclusters for CO2 Capture. Sustainability. 2026; 18(7):3497. https://doi.org/10.3390/su18073497
Chicago/Turabian StylePaternina, Katherine Liset Ortiz, and Joaquín Hernández Fernández. 2026. "Computational Screening of N-Doped Graphene-Supported Cu-Sc Nanoclusters for CO2 Capture" Sustainability 18, no. 7: 3497. https://doi.org/10.3390/su18073497
APA StylePaternina, K. L. O., & Hernández Fernández, J. (2026). Computational Screening of N-Doped Graphene-Supported Cu-Sc Nanoclusters for CO2 Capture. Sustainability, 18(7), 3497. https://doi.org/10.3390/su18073497

