Promoting Multi-Agent Collaborative Governance of Construction Safety Risks: Considering Strategic Heterogeneities of Projects with Different Costs
Abstract
1. Introduction
2. Literature Review
2.1. Collaborative Governance in Constuction and Safety
2.2. Evolutionary Game in Construction Safety Management
2.3. Knowledge Gap and Research Design
3. Evolutionary Game Analysis
3.1. Model Description and Basic Assumptions
- (1)
- The participants in the evolutionary game model include the government, the owner, and the contractor. All three parties possess bounded rationality. They can independently select their own behavioral strategies and dynamically adjust them based on the pay-off situation.
- (2)
- Each participant has only two evolutionary strategies to choose from. Specifically, the government’s strategy set is (strict supervision, lenient supervision), the owner’s strategy set is (proactive investment, reactive investment), and the contractor’s strategy set is (active management, passive management). The probability that the government chooses strict supervision is x, and the probability of choosing lenient supervision is 1 − x. The probability that the owner chooses proactive investment is y, and the probability of choosing reactive investment is 1 − y. The probability that the contractor chooses active management is z, and the probability of choosing passive management is 1 − z. It is regarded as achieving collaborative governance when . In view of the strict current regulation on construction qualifications, this study excludes capacity-level issues and defines the simultaneous active participation of the three parties as the achievement of collaboration.
- (3)
- The cost of safety investment is set according to the “Measures for the Extraction and Use of Enterprise Production Safety Expenses.” Assuming the construction cost of the project is , the minimum extraction ratio of production safety expenses is [14]. Due to the complexity of the construction site, the actual safety investment may be higher than the minimum standard. It is not unreasonable to assume that under proactive safety investment, the extraction ratio of production safety expenses can reach [51,52].
3.2. Parameters and Pay-Off Calculation
3.3. Model Establishment
3.4. Stable Strategy Analysis
4. Numerical Simulation
4.1. Data and Parameters
4.2. The Impact of Construction Cost on System Evolution
4.3. Parameter Sensitivity Analysis and Optimization Under Different Cost Scenarios
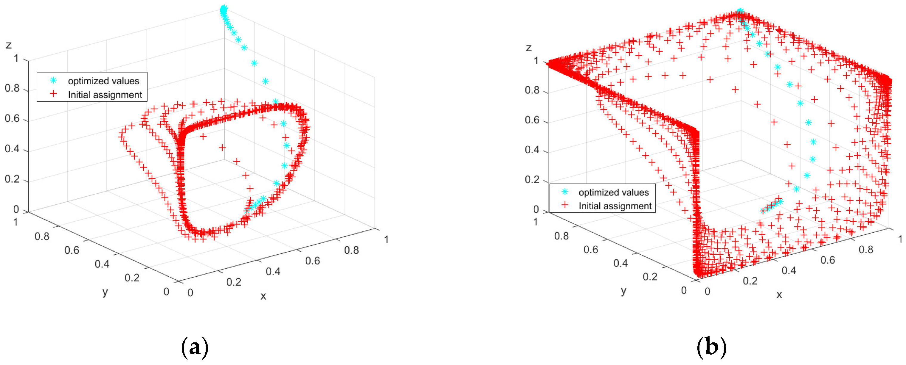
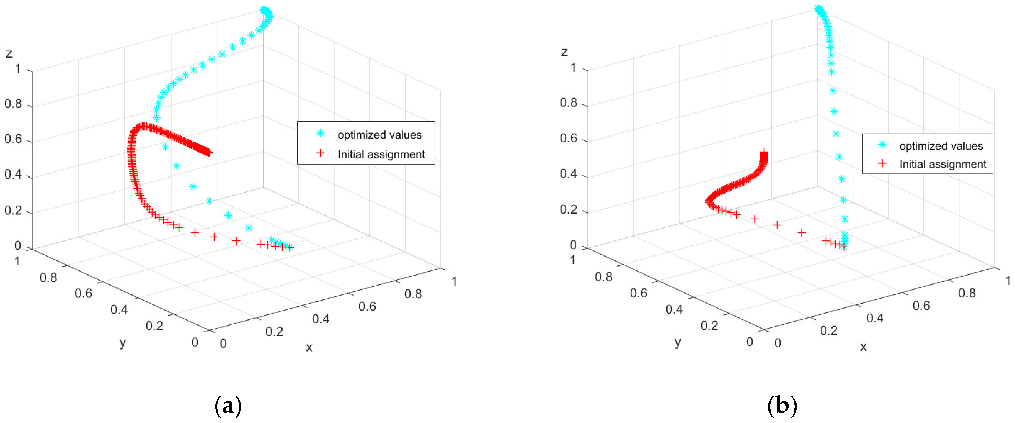
4.3.1. Scenario 1: Low Cost
4.3.2. Scenario 2: High Cost
5. Discussion
5.1. Results Overview
5.2. Collaborative Governance Realization Mechanism
5.3. Research Contributions and Limitations
6. Conclusions
Author Contributions
Funding
Institutional Review Board Statement
Informed Consent Statement
Data Availability Statement
Conflicts of Interest
Abbreviations
| ESS | Evolutionarily stable strategy |
References
- Zhang, Y.; Wang, W.; Mi, L.; Sun, G.; Qiao, L.; Tao, M.; Wang, L. Uncovering the Organizational Vulnerability toward Construction Project Accidents: BERTopic-Based Text Mining Analysis. J. Constr. Eng. Manag. 2025, 151, 04025179. [Google Scholar] [CrossRef]
- Chen, Q.; Long, D.; Yang, C.; Xu, H. Knowledge Graph Improved Dynamic Risk Analysis Method for Behavior-Based Safety Management on a Construction Site. J. Manag. Eng. 2023, 39, 04023023. [Google Scholar] [CrossRef]
- Kang, L. Examining Safety Conditions in the Construction Sector across Chinese Provinces: An Input-Output Analysis. Environ. Dev. Sustain. 2025, 15, 1–23. [Google Scholar] [CrossRef]
- Feng, R.; Zhang, Z.; Li, Z.; Meng, G.; Liu, J. Building a Sustainable Future: Enhancing Construction Safety through Macro-Level Analysis. Sustainability 2024, 16, 7706. [Google Scholar] [CrossRef]
- Kineber, A.F.; Antwi-Afari, M.F.; Elghaish, F.; Zamil, A.M.A.; Alhusban, M.; Qaralleh, T.J. Benefits of Implementing Occupational Health and Safety Management Systems for the Sustainable Construction Industry: A Systematic Literature Review. Sustainability 2023, 15, 12697. [Google Scholar] [CrossRef]
- Ju, C.; Rowlinson, S. The Evolution of Safety Legislation in Hong Kong: Actors, Structures and Institutions. Saf. Sci. 2020, 124, 104606. [Google Scholar] [CrossRef]
- Gondia, A.; Moussa, A.; Ezzeldin, M.; El-Dakhakhni, W. Machine Learning-Based Construction Site Dynamic Risk Models. Technol. Forecast. Soc. Change 2023, 189, 122347. [Google Scholar] [CrossRef]
- Fang, D.; Zhang, J.; Vickridge, I. Construction Safety Legislation Framework in China. Proc. Inst. Civ. Eng.-Munic. Eng. 2003, 156, 169–173. [Google Scholar] [CrossRef]
- Jiang, X.; Sun, H.; Lu, K.; Lyu, S.; Skitmore, M. Using Evolutionary Game Theory to Study Construction Safety Supervisory Mechanism in China. Eng. Constr. Archit. Manag. 2023, 30, 514–537. [Google Scholar] [CrossRef]
- Wu, F.; Xu, H.; Sun, K.; Hsu, W. Analysis of Behavioral Strategies of Construction Safety Subjects Based on the Evolutionary Game Theory. Buildings 2022, 12, 313. [Google Scholar] [CrossRef]
- Guo, F.; Wang, J.; Liu, D.; Song, Y. Evolutionary Process of Promoting Construction Safety Education to Avoid Construction Safety Accidents in China. Int. J. Environ. Res. Public Health 2021, 18, 10392. [Google Scholar] [CrossRef]
- Meng, X. Guarantees for Contractor’s Performance and Owner’s Payment in China. J. Constr. Eng. Manag. 2002, 128, 232–237. [Google Scholar] [CrossRef]
- Peters, E.; Subar, K.; Martin, H. Late Payment and Nonpayment within the Construction Industry: Causes, Effects, and Solutions. J. Leg. Aff. Dispute Resolut. Eng. Constr. 2019, 11, 04519013. [Google Scholar] [CrossRef]
- Ministry of Finance and Ministry of Emergency Management. “Measures for the Extraction and Use of Enterprise Production Safety Expenses”. 2022. Available online: https://www.gov.cn/zhengce/zhengceku/2022-12/14/content_5731902.htm (accessed on 10 January 2026).
- Khalid, U.; Sagoo, A.; Benachir, M. Safety Management System (SMS) Framework Development—Mitigating the Critical Safety Factors Affecting Health and Safety Performance in Construction Projects. Saf. Sci. 2021, 143. [Google Scholar] [CrossRef]
- Guo, B.H.W.; Yiu, T.W.; González, V.A. Identifying Behaviour Patterns of Construction Safety Using System Archetypes. Accid. Anal. Prev. 2015, 80, 125–141. [Google Scholar] [CrossRef]
- Huo, X.; Du, S.; Jiao, L. Critical Causal Path Analysis of Subway Construction Safety Accidents Based on Text Mining. ASCE-ASME J. Risk Uncertain. Eng. Syst. Part Civ. Eng. 2025, 11, 04024075. [Google Scholar] [CrossRef]
- Li, S.; Li, J.; Wang, Y.; Xue, S. Study on the Evolution of Incentive Mechanisms for Multibody Collaborative Governance of Occupational Safety and Health in China. Saf. Sci. 2025, 187, 106867. [Google Scholar] [CrossRef]
- Shohet, I.M.; Luzi, M.; Tarshish, M. Optimal Allocation of Resources in Construction Safety: Analytical-Empirical Model. Saf. Sci. 2018, 104, 231–238. [Google Scholar] [CrossRef]
- Yue, H.; Ye, G.; Yang, J.; Yan, Y.; Chen, S.; Yang, L.; Chen, Y. Cost–Benefit Analysis of Four-Party Construction Safety Supervision. J. Constr. Eng. Manag. 2025, 151, 04024206. [Google Scholar] [CrossRef]
- Lu, L.; Huang, H.; Wei, J.; Xu, J. Safety Regulations and the Uncertainty of Work-Related Road Accident Loss: The Triple Identity of Chinese Local Governments under Principal-Agent Framework. Risk Anal. 2020, 40, 1168–1182. [Google Scholar] [CrossRef] [PubMed]
- Ning, X.; Qiu, Y.; Wu, C.; Jia, K. Developing a Decision-Making Model for Construction Safety Behavior Supervision: An Evolutionary Game Theory-Based Analysis. Front. Psychol. 2022, 13, 861828. [Google Scholar] [CrossRef]
- Zhang, Y.; Yi, X.; Li, S.; Qiu, H. Evolutionary Game of Government Safety Supervision for Prefabricated Building Construction Using System Dynamics. Eng. Constr. Archit. Manag. 2023, 30, 2947–2968. [Google Scholar] [CrossRef]
- Lu, Y.; Liu, S.; Li, C. Understanding the Effect of Management Factors on Construction Workers’ Unsafe Behaviors through Agent-Based Modeling. Iran. J. Sci. Technol. Trans. Civ. Eng. 2023, 47, 1251–1263. [Google Scholar] [CrossRef]
- Feng, Y.; Wu, P.; Jin, X. Safety Investments and Safety Climate in Construction Sites. In Proceedings of the 17th International Symposium on Advancement of Construction Management and Real Estate; Wang, J., Ding, Z., Zou, L., Zuo, J., Eds.; Springer: Berlin/Heidelberg, Germany, 2014; pp. 733–741. [Google Scholar]
- Gurcanli, G.E.; Bilir, S.; Sevim, M. Activity Based Risk Assessment and Safety Cost Estimation for Residential Building Construction Projects. Saf. Sci. 2015, 80, 1–12. [Google Scholar] [CrossRef]
- Pellicer, E.; Carvajal, G.; Rubio, M.; Catalá, J. A Method to Estimate Occupational Health and Safety Costs in Construction Projects. KSCE J. Civ. Eng. 2014, 18, 1955–1965. [Google Scholar] [CrossRef]
- Muhammad, B.; Abdulateef, I.; Ladi, B. Assessment of Cost Impact in Health and Safety on Construction Projects. Am. J. Eng. Res. 2015, 4, 25–30. [Google Scholar] [CrossRef]
- Ansell, C.; Gash, A. Collaborative Governance in Theory and Practice. J. Public Adm. Res. Theory 2008, 18, 543–571. [Google Scholar] [CrossRef]
- Shen, L.; Zhang, Z.; Tang, L. Research on Determining Resource Utilization Rates of Regional Construction and Demolition Waste from the Perspective of Collaborative Governance. KSCE J. Civ. Eng. 2023, 27, 27–39. [Google Scholar] [CrossRef]
- Tang, L.; Wu, T.; Li, Q. Construction and Optimization Strategy for Collaborative Governance of Construction Waste Resource Utilization. KSCE J. Civ. Eng. 2025, 29, 100034. [Google Scholar] [CrossRef]
- Liu, G.; Fu, X.; Han, Q.; Huang, R.; Zhuang, T. Research on the Collaborative Governance of Urban Regeneration Based on a Bayesian Network: The Case of Chongqing. Land Use Policy 2021, 109, 105640. [Google Scholar] [CrossRef]
- Guo, X.; Li, X. A Study on Community Public Safety Collaborative Governance Regime in the Background of COVID-19: Empirical Analysis Based on China and South Korea. Sustainability 2022, 14, 14000. [Google Scholar] [CrossRef]
- Ma, X.; Zhang, J.; Du, Q.; Qiao, W. Multilateral Collaborative Governance of Arctic Shipping Safety: Examining the Impact of the Arctic Council via Collaborative Network Analysis. Ocean Coast. Manag. 2024, 258, 107363. [Google Scholar] [CrossRef]
- Yang, Y.; Shao, B.; Jin, L.; Zheng, X. Collaborative Governance of Tower Crane Safety in the Chinese Construction Industry: A Social Network Perspective. Buildings 2022, 12, 836. [Google Scholar] [CrossRef]
- Nan, R.; Chen, J.; Zhu, W. Evolutionary Game Analysis of Multiple Subjects in the Management of Major Public Health Emergencies. Heliyon 2024, 10, e29823. [Google Scholar] [CrossRef] [PubMed]
- Fang, D.; Wu, C.; Wu, H. Impact of the Supervisor on Worker Safety Behavior in Construction Projects. J. Manag. Eng. 2015, 31, 04015001. [Google Scholar] [CrossRef]
- Wang, X.; Wang, X.; Huang, Y. Chinese Construction Worker Reluctance toward Vocational Skill Training. J. Eng. Des. Technol. 2019, 17, 155–171. [Google Scholar] [CrossRef]
- Kumi, L.; Jeong, J.; Jeong, J. Systematic Review of Quantitative Risk Quantification Methods in Construction Accidents. Buildings 2024, 14, 3306. [Google Scholar] [CrossRef]
- Jin, R.; Zou, P.X.W.; Piroozfar, P.; Wood, H.; Yang, Y.; Yan, L.; Han, Y. A Science Mapping Approach Based Review of Construction Safety Research. Saf. Sci. 2019, 113, 285–297. [Google Scholar] [CrossRef]
- Luo, Q.; Sun, C.; Li, Y.; Qi, Z.; Zhang, G. Applications of Digital Twin Technology in Construction Safety Risk Management: A Literature Review. Eng. Constr. Archit. Manag. 2024, 32, 3587–3607. [Google Scholar] [CrossRef]
- Luo, Z.; Guo, J.; Han, J.; Wang, Y. Research on the Construction Safety Risk Assessment of Prefabricated Subway Stations in China. Eng. Constr. Archit. Manag. 2022, 31, 1751–1787. [Google Scholar] [CrossRef]
- Kou, Y.; Liu, K.; Liu, Y. Safety Resilience Assessment in Civil Construction Projects Based on Combined Empowerment and Extension Cloud Model. ASCE-ASME J. Risk Uncertain. Eng. Syst. Part Civ. Eng. 2025, 11, 04025049. [Google Scholar] [CrossRef]
- Mostofi, F.; Toğan, V. Construction Safety Predictions with Multi-Head Attention Graph and Sparse Accident Networks. Autom. Constr. 2023, 156, 105102. [Google Scholar] [CrossRef]
- Wang, G.; Chao, Y.; Cao, Y.; Jiang, T.; Han, W.; Chen, Z. A Comprehensive Review of Research Works Based on Evolutionary Game Theory for Sustainable Energy Development. Energy Rep. 2022, 8, 114–136. [Google Scholar] [CrossRef]
- Ding, S.; Hu, H.; Dai, L.; Wang, W. Blockchain Adoption among Multi-Stakeholders under Government Subsidy: From the Technology Diffusion Perspective. J. Constr. Eng. Manag. 2023, 149, 04023016. [Google Scholar] [CrossRef]
- Huang, Y.; Chen, R.; Guo, P.; Duan, Z. Research on Contractor Claim Strategy Based on the Principle of Maximizing Profits by Using Evolutionary Game Model. Eng. Constr. Archit. Manag. 2024, 32, 8423–8444. [Google Scholar] [CrossRef]
- Gong, S.; Gao, X.; Li, Z.; Chen, L. Developing a Dynamic Supervision Mechanism to Improve Construction Safety Investment Supervision Efficiency in China: Theoretical Simulation of Evolutionary Game Process. Int. J. Environ. Res. Public Health 2021, 18, 3549. [Google Scholar] [CrossRef] [PubMed]
- Zhang, S.; Yang, Q.; Yang, F. Research on Safety Input Behaviour Decision of Tower Crane from a Collaborative Perspective. Eng. Constr. Archit. Manag. 2025. Epub ahead of printing. [Google Scholar] [CrossRef]
- Huang, J.; Wu, Y.; Han, Y.; Yin, Y.; Gao, G.; Chen, H. An Evolutionary Game-Theoretic Analysis of Construction Workers’ Unsafe Behavior: Considering Incentive and Risk Loss. Front. Public Health 2022, 10, 991994. [Google Scholar] [CrossRef]
- Han, Y.; Li, J.; Cao, X.; Jin, R. Structural Equation Modeling Approach to Studying the Relationships among Safety Investment, Construction Employees’ Safety Cognition, and Behavioral Performance. J. Constr. Eng. Manag. 2020, 146, 04020065. [Google Scholar] [CrossRef]
- Yang, J.; Ye, G.; Zhang, Z.; Liu, X.; Liu, Y. Linking Construction Noise to Worker Safety Behavior: The Role of Negative Emotion and Regulatory Focus. Saf. Sci. 2023, 162, 106093. [Google Scholar] [CrossRef]
- Ministry of Emergency Management of People’s Republic of China. “People’s Republic of China Law on Safety in Production”. 2021. Available online: https://www.mem.gov.cn/fw/flfgbz/fg/202107/t20210716_416558.shtml (accessed on 11 January 2026).
- Friedman, D. Evolutionary Games in Economics. Econometrica 1991, 59, 637–666. [Google Scholar] [CrossRef]
- Lyapunov, A.M. The General Problem of the Stability of Motion. Int. J. Control 1992, 55, 531–534. [Google Scholar] [CrossRef]
- Su, W.; Gao, X.; Jiang, Y.; Li, J. Developing a Construction Safety Standard System to Enhance Safety Supervision Efficiency in China: A Theoretical Simulation of the Evolutionary Game Process. Sustainability 2021, 13, 13364. [Google Scholar] [CrossRef]
- Wang, D.; Jia, Q.; Zhang, R. Evolutionary Game and Simulation of Subject Risk Management Behavior in Construction Stage of Engineering Project Based on Strong Reciprocity and Prospect Theory. IEEE Access 2021, 9, 74789–74801. [Google Scholar] [CrossRef]
- Ministry of Housing and Urban-Rural Development of the People’s Republic of China. “Accident Situation in Housing and Municipal Engineering Production Safety”. 2025. Available online: https://zlaq.mohurd.gov.cn/fwmh/bjxcjgl/fwmh/pages/default/index.html (accessed on 11 January 2026).
- Haiyirete, X.; Gan, X.; Wang, J. Research on Safety Decision-Making Behavior in Megaprojects. Systems 2024, 12, 315. [Google Scholar] [CrossRef]
- Liu, J.; Wang, X.; Liu, T. Behavior Choice Mechanisms and Tax Incentive Mechanisms in the Game of Construction Safety. Buildings 2022, 12, 1078. [Google Scholar] [CrossRef]








| Owner | Contractor | |||
|---|---|---|---|---|
| Active Management z | Passive Management 1 − z | |||
| Government | Strict Supervision x | Proactive Investment y | ||
| Reactive Investment 1 − y | ||||
| Lenient Supervision 1 − x | Proactive Investment y | |||
| Reactive Investment 1 − y | ||||
| Equilibrium Point | Eigenvalues | ||
|---|---|---|---|
| (0, 0, 0) | |||
| (1, 0, 0) | |||
| (0, 1, 0) | |||
| (0, 0, 1) | |||
| (1, 1, 0) | |||
| (1, 0, 1) | |||
| (0, 1, 1) | |||
| (1, 1, 1) | |||
Disclaimer/Publisher’s Note: The statements, opinions and data contained in all publications are solely those of the individual author(s) and contributor(s) and not of MDPI and/or the editor(s). MDPI and/or the editor(s) disclaim responsibility for any injury to people or property resulting from any ideas, methods, instructions or products referred to in the content. |
© 2026 by the authors. Licensee MDPI, Basel, Switzerland. This article is an open access article distributed under the terms and conditions of the Creative Commons Attribution (CC BY) license.
Share and Cite
Chang, B.; Liu, Y. Promoting Multi-Agent Collaborative Governance of Construction Safety Risks: Considering Strategic Heterogeneities of Projects with Different Costs. Sustainability 2026, 18, 3160. https://doi.org/10.3390/su18073160
Chang B, Liu Y. Promoting Multi-Agent Collaborative Governance of Construction Safety Risks: Considering Strategic Heterogeneities of Projects with Different Costs. Sustainability. 2026; 18(7):3160. https://doi.org/10.3390/su18073160
Chicago/Turabian StyleChang, Beining, and Yachen Liu. 2026. "Promoting Multi-Agent Collaborative Governance of Construction Safety Risks: Considering Strategic Heterogeneities of Projects with Different Costs" Sustainability 18, no. 7: 3160. https://doi.org/10.3390/su18073160
APA StyleChang, B., & Liu, Y. (2026). Promoting Multi-Agent Collaborative Governance of Construction Safety Risks: Considering Strategic Heterogeneities of Projects with Different Costs. Sustainability, 18(7), 3160. https://doi.org/10.3390/su18073160
