Next Article in Journal
Laying the Digital Foundation: Enforcing Minimum Industry 4.0 Standards for New SME Factories in Saudi Arabia
Previous Article in Journal
Increasing the Efficiency of CO2 Markets for Residentials Consumers with Blockchain Solutions: An Empirical Investigation
 
 
Font Type:
Arial Georgia Verdana
Font Size:
Aa Aa Aa
Line Spacing:
Column Width:
Background:
Article

Do Green Financial Policies Enhance Firms’ TFP? Evidence from China’s Green Finance Pilot Zones

1
School of Economics and Management, Ma’anshan University, Ma’anshan 243100, China
2
School of Business, Anhui University of Technology, Ma’anshan 243032, China
3
Department of Investment, School of Finance, Zhongnan University of Economics and Law, Wuhan 430073, China
*
Authors to whom correspondence should be addressed.
Sustainability 2026, 18(6), 3121; https://doi.org/10.3390/su18063121
Submission received: 9 February 2026 / Revised: 3 March 2026 / Accepted: 20 March 2026 / Published: 22 March 2026
(This article belongs to the Section Economic and Business Aspects of Sustainability)

Abstract

Green finance is an important policy for facilitating corporate environmental transformation and supporting sustainable economic development under China’s “dual-carbon” strategy. This study investigates how green financial policies influence a firm’s TFP. A DID framework is employed to estimate the policy effect and to further explore its transmission mechanisms and heterogeneous impacts across firms, applying the data of China’s A-share-listed companies from 2013 to 2024. It is found that green financial policies significantly improve a firm’s TFP. Specifically, firms located in pilot regions exhibit an average increase of 0.4509 in TFP. The results remain stable across multiple robustness checks. In addition, the policy improves TFP through three primary channels: alleviating financing constraints, stimulating green technological innovation, and promoting digital transformation. The mediation analysis based on Bootstrap resampling confirms the statistical significance of the identified transmission channels. Among them, digital transformation plays the most prominent role, contributing 20.62% to the overall mediating effect. Furthermore, the policy can enhance the TFP of non-state-owned enterprises and for firms operating in industries with lower pollution intensity. Finally, this study proposes further improving the green financial policy framework and strengthening support for green technological innovation and digital transformation, thereby better leveraging green finance to enhance firms’ TFP.

1. Introduction

In the context of accelerating global economic restructuring and the increasing emphasis on sustainable development, enhancing the quality of corporate development can drive economic growth [1]. However, a growth model that relies solely on the expansion of capital and labor inputs is becoming increasingly inadequate to support sustainable development. China’s sustainable development in modernization process depends fundamentally on the continuous improvement of TFP [2]. At present, the Chinese economy is undergoing a profound transition in its development stage, with an urgent need to shift growth drivers from traditional factor accumulation toward productivity-led growth [3]. In 2025, China’s expenditure on R&D reached 2.8% of the GDP, exceeding the average level recorded among member states of the OECD for the first time. During the same period, the value added of high-technology manufacturing enterprises above the designated size increased by 9.4% year on year, marking the highest growth rate since 2022. The sustained expansion of innovation investment drives the improvement in TFP, which reflects the efficiency gains arising from technological progress, improvements in management practices, and more effective resource allocation beyond traditional production inputs such as capital and labor. As such, it serves as an important indicator of a firm’s production efficiency, development quality, and overall competitiveness [4].
Enhancing TFP requires firms to adhere to an innovation-driven development strategy and to advance structural optimization and efficiency transformation through technological upgrading, refined management practices, industrial chain coordination, and the green and low-carbon transition. In this context, firms should pay attention to sustainable performance and capabilities that can keep growth in an increasingly complex and uncertain market environment. Therefore, enterprises constitute a key driver for achieving high-quality development. Given the importance of TFP, many research efforts have examined the measurement methods, determinants [5,6,7,8,9,10], and policy implications [11], spanning both firm-level characteristics [12] and regional or macro-level factors [13].
In recent years, low-carbon development is a central element of China’s national development strategy, making green development an important pathway for economic and social transformation. As key actors within the economic system, firm’s improvements in TFP are crucial for economic sustainable growth [14]. Green finance, recognized as an effective instrument for promoting carbon emission reduction [15], plays a critical role in deepening supply-side structural reform, optimizing industrial structure, and achieving sustainable development [16]. Green financial policies serve as an important bridge linking financial markets with green development. By employing a range of financial instruments, these policies channel financial resources toward environmentally friendly sectors and green manufacturing, while limiting credit support for industries characterized by high pollution and intensive energy consumption [17,18]. Consequently, green finance has emerged as an important institutional mechanism for promoting firms’ green transition and fostering economic development [19,20]. From the perspective of current development, China has made remarkable progress in establishing its green finance system. By June 2025, China’s outstanding green loan balance had risen to approximately RMB 42.4 trillion, while the scale of green bonds surpassed RMB 2.2 trillion, placing both indicators among the largest globally. In this process, large commercial banks have taken a key role in facilitating the transformation of the green economy. By July 2025, the green loan balance of the China Construction Bank had exceeded RMB 5.74 trillion, representing more than 20% of its total loan portfolio.
The introduction of green financial policies can lower firms’ financing costs while encouraging green technological innovation and promoting more efficient allocation of resources through a combination of policy guidance and market-based mechanisms, ultimately enhancing firm’s TFP. From a firm-level perspective, green finance can ease financing constraints by providing more accessible and lower-cost capital, thereby encouraging technological innovation and enhancing productivity. It has been reported that green financial policies significantly enhance green quality and incremental innovation [21]. At the macro-level, green finance can promote industrial upgrading and support low-carbon transition, thereby improving overall productivity. Empirical results derived from the GMM estimation suggest that green finance contributes to high-quality development by enhancing green innovation capacity, improving credit efficiency, and stimulating green consumption [22]. In this paper, green finance is defined as by the State Council in 2017. The first group of pilot zones was established in selected regions across five provinces (autonomous regions): Zhejiang, Guangdong, Guizhou, Jiangxi, and Xinjiang. The policy was formally introduced in June 2017 after being approved at an executive meeting of the State Council. Following this decision, seven central government departments jointly released the implementation plans for the pilot zones, which defined a common policy framework and a five-year development period. Regarding policy instruments, the framework combines the financial tools with coordinated governance across departments, market-based operational mechanisms, and ongoing institutional innovation. Together, these elements constitute a comprehensive institutional system designed to support an enterprise’s green transformation.
Although a substantial body of literature has examined green finance and TFP, relatively few studies have explored in depth how green financial policies influence a firm’s TFP. Several studies suggest that such policies can improve TFP by stimulating technological innovation and enhancing the efficiency of factor allocation, particularly among firms facing financing constraints [23]. The role of R&D incentives is emphasized, and green finance can increase firms’ R&D expenditure, which in turn contributes to productivity improvement, particularly among high-tech enterprises [24]. In addition, some studies investigate macro-level transmission mechanisms and provide evidence that green finance can foster high-quality development through carbon reduction effects while also generating spatial spillover effects [25]. From the perspective of corporate finance, prior studies suggest that green finance may improve a firm’s TFP by lowering agency costs from the standpoint of creditors [26]. More recent studies employing difference-in-differences and other micro-econometric methods confirm that green financial policies significantly improve a firm’s TFP by distinguishing a firm’s environmental attributes [27].
However, most existing studies focus on macro-level or single-industry analyses, with relatively limited attention given to firms’ micro-level behaviors and internal mechanisms. Moreover, prior research often emphasizes overall policy effects or single transmission channels, without systematically testing multiple mediating mechanisms. To fill this research gap, the present study examines the issue within a DID analytical framework by employing the data of Chinese A-share-listed companies from 2013 to 2024. It analyzes both the overall and heterogeneous impacts of green financial policies on a firm’s TFP and tests the potential transmission mechanisms using mediation analysis. By doing so, this research aims to propose green financial policy design and decision-making.
The subsequent sections of the paper are arranged as follows. Section 2 provides statements on the theoretical framework and formulates the hypotheses. Section 3 presents the econometric model specification, variable definitions, and data sources. Section 4 presents the baseline regression results and further discusses the treatment of endogeneity as well as a range of robustness checks. Section 5 explores the underlying mechanisms from three dimensions—financing constraints, green innovation, and digital transformation—and subsequently analyzes the heterogeneous effects of the policy. Finally, Section 6 summarizes the main conclusions and proposes corresponding policy implications.

2. Theoretical Framework and Hypotheses

2.1. Green Financial System and Firms’ TFP

In the past, the extensive development model characterized by high energy consumption and high pollution contributed to rapid economic growth in China to a certain extent. However, it also led to a series of problems, including excess capacity in certain industries, inefficient resource allocation and utilization, and aggravated environmental pollution. These issues have not only constrained firms’ green transformation but have also exerted negative effects on high-quality development indicators such as TFP [28,29].
TFP is widely regarded as an important measure of a firm’s production efficiency, and improvements in TFP are typically associated with better resource allocation, technological advancement, and more effective managerial practices [30]. Green finance can promote the reallocation of production factors toward environmentally friendly sectors and encourage green technological innovation, thereby supporting firm development and contributing to a more balanced adjustment of the economic structure [31]. Specifically, through differentiated credit policies, tax incentives, and other policy instruments, green finance directs capital toward low-carbon and environmentally friendly industries, encourages firms to implement green transformation strategies, and optimizes industrial structures [32].
Existing studies provide empirical support for this mechanism. Existing studies suggest that green finance can simultaneously support economic growth and environmental improvement [33]. At the firm level, green industrial policies help internalize environmental externalities and significantly improve corporate efficiency [34]. Recent evidence further indicates that green financial policies guide capital flows toward resource-saving and environmentally friendly industries, thereby promoting productivity growth in green firms [26]. In addition, green finance can improve a firm’s TFP by increasing information transparency and strengthening the effectiveness of green innovation, which in turn contributes to higher production efficiency [35].
H1. 
Green financial policies promote the improvement in firms’ TFP.

2.2. The Role of Corporate Financing Constraints

Firms would face financing constraints attempting to raise funds from external markets. When firms seek external financing, financing constraints may prevent them from obtaining the required capital or force them to access funds only at relatively high costs [36]. At the same time, firms under financing constraints often suffer from low credit ratings, which further restricts the liquidity and availability of internal funds and adversely affects firm development [37]. Under severe financing constraints, firms tend to prioritize liquidity preservation and allocate limited funds to projects with short payback periods and low risks, while underinvesting in long-term R&D and technological upgrading, which are essential for fundamentally improving production efficiency [38]. Such behavior alters firms’ capital structures and financing decisions, thereby hindering innovation capability and productivity enhancement [39].
In the presence of financing constraints, firms not only face unmet external financing needs but also bear higher investment costs and operational risks. Consequently, firms may postpone technological innovation activities or scale back productive investment, which can adversely affect their TFP [40]. This situation can weaken firms’ long-term competitiveness and may also cause them to miss potential market opportunities, ultimately hindering their overall development. This restraining effect becomes even more evident when firms are undergoing a green transformation, since activities such as green technology research and development, process innovation, and industrial upgrading often involve long development periods, substantial initial investment, and uncertain short-term returns [41]. Existing studies indicate that financing constraints have a substantial impact on firm’s production technology efficiency, while corporate TFP performance largely depends on improvements in such efficiency [42].
Green financial policies can systematically alleviate corporate financing constraints through a combination of institutional arrangements and market-based instruments, thereby creating favorable conditions for productivity improvement. The underlying mechanisms operate mainly through three channels. First, instruments such as targeted green credit support, incentives for green bond issuance, and fiscal interest subsidies directly increase the credit supply for green projects and reduce their risk premiums, providing firms with stable and low-cost financial support for long-term technological investment. Second, mandatory environmental information disclosure and green certification systems effectively signal a firm’s environmental performance and long-term development potential to the market, thereby attracting patient capital with green preferences. Third, through mechanisms such as guarantees and risk compensation schemes, green financial policies partially share the early-stage risks associated with green technological innovation, encouraging firms to reallocate resources from short-term, low-risk projects toward green technology R&D and equipment upgrading with long-term efficiency returns.
The alleviation of financing constraints lays a critical foundation for improving corporate TFP. It helps secure the long-term R&D investment necessary for improving technological efficiency, allowing firms to better cope with the extended time horizon and uncertainties associated with green innovation and to maintain continuous investment, thereby mitigating the constraints imposed by limited financing [43]. Meanwhile, reduced financing pressure facilitates the accumulation and upgrading of high-efficiency productive capital, allowing firms to phase out outdated capacity and introduce advanced and intelligent green equipment, thus directly improving the quality and technological composition of capital stock. In addition, eased financing constraints help firms optimize internal resource allocation and management processes, enabling greater investment in human capital development, digital management systems, and green supply chain coordination, which collectively enhance resource allocation efficiency and organizational effectiveness. In this process, green financial policies not only alleviate financing constraints but also convey clear environmental regulation signals, jointly motivating firms to undertake innovation activities that contribute to productivity improvement.
H2. 
Green financial policies enhance firms’ TFP by alleviating corporate financing constraints.

2.3. The Role of Green Innovation

Green innovation constitutes a core driving force for firms’ green transformation and efficiency improvement, encompassing green technology research and development, green process optimization, and green product innovation [44]. Green financial policies can support firms in green innovation activities. A growing body of research confirms that, by systematically guiding resource allocation, green finance can effectively stimulate firms’ green innovation activities. Firms undertake technological innovation under well-designed environmental regulations [45]. Empirical studies further indicate a positive association between regulatory pressure and green innovation capability [46]. A DID analysis indicates that green credit policies significantly raise a firm’s R&D intensity and the proportion of clean technology patents in heavily polluting industries facing regulatory pressure [47]. Additional spatial econometric analyses indicate that green finance policies increase local green invention patent applications. These applications also produce notable spatial spillover effects [48,49].
Through differentiated credit policies and dedicated green bonds, the green financial system channels capital toward clean technology sectors, providing essential financial support and risk sharing for firms’ green R&D activities and thereby activating innovation momentum. By stimulating green innovation, green finance further contributes to a significant improvement in TFP [50]. The underlying mechanism operates mainly through two pathways: cost reduction and competitive advantage enhancement. First, green innovation directly affects production processes. By improving production techniques and adopting energy-saving equipment or recycling technologies, firms can effectively reduce raw material consumption, thereby enhancing technological efficiency. Second, green products and services enable firms to explore emerging markets and gain differentiated competitive advantages, facilitating the upgrading of business structures toward higher value-added segments. Through these channels, green innovation exerts a pronounced positive effect on TFP.
H3. 
Green financial policies promote firms’ TFP by fostering corporate green innovation.

2.4. The Role of Corporate Digital Transformation

As digital technologies increasingly integrate with the real economy, digital transformation has become an important strategy for firms to reshape production processes and improve TFP. In this process, green financial policies effectively promote corporate digital transformation by providing targeted incentives, strengthening information constraints, and fostering technological complementarities—a set of mechanisms that have been increasingly supported by empirical evidence. In particular, green financial products can supply firms with funding for intelligent energy-saving upgrades and digital environmental management systems, which helps reduce the initial investment barriers and financial risks associated with technological integration [51]. Meanwhile, mandatory requirements for environmental information disclosure and carbon accounting compel firms to establish and improve internal data monitoring and management systems, laying a solid foundation for operational digitalization [52].
In addition, green finance can decrease firms’ financing constraints and increase the R&D on green technology, while the development and continuous improvement of green technologies increasingly depend on digital platforms. This interaction gives rise to an intermediary pathway whereby green innovation drives digital transformation [53]. Building on this foundation, firms’ deepened digital transformation further enhances TFP through multiple complementary channels. On one hand, data-driven governance models significantly optimize decision-making processes and internal resource allocation. Digital systems help reduce information asymmetry, streamline redundant organizational structures, and strengthen internal controls, thereby comprehensively improving managerial and operational efficiency [54]. On the other hand, as a general-purpose technology, digital technology can restructure R&D processes, expand innovation frontiers, and facilitate the attraction and cultivation of high-skilled human capital, thus reinforcing firms’ innovation capacity and human capital base [55,56]. Moreover, digital transformation enhances firms’ ability to cope with external uncertainties, enabling them to maintain strategic flexibility in production and supply chains within dynamic environments, which is conducive to the stability and sustained growth of productivity [57].
H4. 
Green financial policies enhance firms’ TFP by promoting corporate digital transformation.

3. Research Design

3.1. Model Construction

In this research, a DID framework is applied to evaluate the effect of green financial policies on a firm’s TFP. Firms located in pilot regions constitute the treatment group, while the rest forms the control group. The DID identification strategy estimates the net policy effect by comparing firms’ productivity under the assumption of parallel trends. Following this framework, the following empirical model is constructed:
T F P i t = α 0 + θ t r e a t × t i m e + γ X i t + μ i + λ t + ε i t
where T F P i t is firm-level TFP. The main explanatory variable is the interaction term t r e a t × t i m e , where t r e a t identifies firms located in green finance pilot regions, and t i m e represents the period of policy implementation. X i t is a set of control variables, μ i and λ t correspond to firm and time fixed effects, respectively, and ε i t is the stochastic error.
To further investigate the potential mechanisms through which green financial policies affect firms’ TFP, this study follows the mediation effect testing framework [58]. The mediation models are
Z i t = α + α 1 t r e a t × t i m e + α 2 X i t + μ i + λ t + ζ i t
T F P i t = φ + φ 1 t r e a t × t i m e + φ 2 Z i t + φ 3 X i t + μ i + λ t + ξ i t
where Z i t is the mediating variable. In mediation analysis, the Sobel test and the Bootstrap method are widely applied to evaluate indirect effects. It assumes that the product of the relevant coefficients follows a normal distribution, an assumption that is often difficult to meet in empirical applications. The Bootstrap method improves upon this limitation by repeatedly resampling the data to estimate standard errors. This approach improves the robustness and accuracy of the results and provides clearer confidence intervals, which enhances the interpretability of the findings. Therefore, this study employs the Bootstrap procedure with 500 resampling iterations to evaluate the mediation effects.

3.2. Sample Construction and the Data

This research selects Chinese A-share-listed firms as the sample. The period is from 2013 to 2024. The raw data are collected from the Wind and CSMAR databases, resulting in an initial sample of 33,547 observations. The sample period was selected based on comprehensive consideration of policy background and data availability. First, the green financial policies were identified in 2013. Since then, green financial products have been gradually introduced, accompanied by ongoing improvements in statistical frameworks and information disclosure systems. This has provided a stable institutional environment and reliable data foundation for academic research on green finance. Second, China’s Green Finance Reform and Innovation Pilot Zone was proposed in 2017. By 2024, a complete seven-year observation period following policy implementation had been formed, which helps mitigate the potential interference of short-term fluctuations in the empirical results. Moreover, given the time lag in annual report disclosures of listed companies and the fact that data collection for this study commenced in 2025—when some firms had not yet fully disclosed their 2025 financial and environmental information—the end year of the sample period is set at 2024. This ensures the completeness, consistency, and comparability of the dataset, as well as uniform statistical standards and data quality across all observation years. Subsequently, the original data are processed as follows: First, it excludes the financial firms from the sample to avoid potential interference from industry-specific characteristics. Second, firms with negative net assets are removed, as such firms that may exhibit abnormal operating conditions. Third, firms labeled as special treatment (ST or *ST) or receiving delisting risk warnings (PT) are removed from the sample due to their relatively high financial risk and the possibility of biased data. Fourth, samples with missing values are removed. Finally, continuous variables are winsorized at the 1% level at both tails. After these screening and processing steps, a balanced firm–year panel dataset suitable for empirical analysis is obtained. Following the above treatment, the balanced dataset contains 1419 firms, including 17,028 observations.

3.3. Variable Definitions

(1)
Dependent Variable
In the existing literature, two mainstream approaches are widely used to estimate firm-level TFP. One is the OP method, which imposes relatively strict requirements on the completeness of firms’ investment data and is susceptible to sample selection bias. The other is the LP method, which improves the selection mechanism of intermediate input variables and provides a more robust solution to endogeneity issues in production function estimation. Specifically, it can reduce the bias caused by the correlation of input variables and the error term, a problem that often affects conventional ordinary least squares (OLS) estimation [9]. Based on these considerations, it uses the LP method to estimate firms’ TFP, while the OP method is used for the robustness test. The LP production function is specified as follows:
ln Y i t = β 0 + β 1 ln L i t + β 2 ln K i t + β 3 ln M i t + ϵ i t
In Equation (4), Y i t is proxied by operating revenue, L i t is measured by the total number of employees, K i t is represented by the net value of fixed assets, and M i t is captured by operating costs. All variables are transformed by adding one and then taking natural logarithms. Accordingly, the TFP is calculated as follows:
T F P i t = ln Y i t β 1 ln L i t + β 2 ln K i t + β 3 ln M i t
(2)
Independent Variable
The primary independent variable is a DID term constructed as the interaction, i.e., t r e a t × t i m e . The variable t r e a t indicates whether a firm’s registered location is in a Green Finance Reform and Innovation Pilot Zone. It equals 1 if a firm is within a pilot zone and 0 otherwise. The variable t i m e is defined based on the policy implementation year of 2017. Observations from 2017 and thereafter take a value of 1, while those prior to 2017 are 0. The term of t r e a t × t i m e therefore reflects the policy effect.
(3)
Mediating Variable
In the mechanism analysis, this study explores how green financial policies influence a firm’s TFP through three potential channels: corporate financing behavior, green innovation, and digital transformation.
In measuring corporate financing constraints, prior studies typically rely on several firm-level indicators, including the Kaplan–Zingales (KZ) index, the SA index, the Whited–Wu (WW) index, and the FC index [38,59,60]. Among these measures, the KZ index requires the inclusion of Tobin’s q, which is often subject to substantial measurement error in empirical applications and may significantly reduce the accuracy of financing constraint estimation. Therefore, this study focuses on the WW index and the FC index, neither of which rely on Tobin’s q. From the perspective of index construction, the FC index is designed solely based on firms’ internal financial characteristics, whereas the WW index incorporates external industry characteristics in addition to firm-level financial attributes. By contrast, the SA index is measured based on a firm’s size and age. Taking into account measurement precision, index design, and endogeneity considerations, and following the approach of Hadlock and Pierce (2010) [61], the SA and WW indices are ultimately adopted in this study to measure firms’ financing constraints.
To quantify a firm’s green innovation, this study adopts green patent applications as the primary indicator [62]. Specifically, patent application data for A-share-listed firms are compiled and then matched with the International Patent Classification (IPC) Green Inventory to identify patents related to green technologies. Based on this classification, the annual counts of green invention patents and green utility model patents are combined to measure firms’ overall green innovation output. Because green patent counts may include zero values, applying a logarithmic transformation directly could lead to the loss of observations and may introduce bias into the empirical analysis. Therefore, the green patent count should add one before logarithmic transformation. The resulting variable is the firms’ green innovation level and is denoted as green innovation performance (GIP).
To measure digital transformation, it follows the approach of Wu et al. (2021) [63]. Annual reports of A-share-listed firms are gathered using web-scraping techniques implemented in Python 3.9.12. A total of 76 keywords are selected across five dimensions, as presented in Table 1: artificial intelligence (AI), blockchain (BD), cloud computing (CC), big data (DT), and the application of digital technologies (ADT). Based on these feature words, the annual report texts are systematically searched and matched, and word frequencies are calculated. The frequencies corresponding to each technological dimension are aggregated and subsequently summed to obtain the total keyword frequency. Given that the original word frequency data exhibit a typical right-skewed distribution, a logarithmic transformation is applied. The overall level of corporate digital transformation is the resulting variable, i.e., the digital transformation index (DIG).
(4)
Control Variables
In addition to green financial policies, various firm-level characteristics may affect firms’ TFP. Consistent with Li et al. (2026) [64], several control variables are introduced into the empirical model to mitigate the influence of potential confounding factors, including the leverage ratio (Lev), return on assets (Roa), cash flow ratio (Cashflow), the proportion of fixed assets (Fixed), growth rate of operating revenue (Growth), and CEO duality (Dual). Table 2 reports the definitions and calculation approaches for all control variables.

4. Empirical Results

4.1. Summary Statistics

Table 3 summarizes the descriptive statistics of the main variables. The mean value of TFP estimated using the Levinsohn–Petrin method (TFP_LP) is 8.9805, with a standard deviation of 1.0883, indicating that it exhibits a relatively concentrated distribution. However, the range reaches 7.8630, suggesting that there remain noticeable differences in production efficiency across firms.
Regarding financing constraints, the average values of both the SA index and the WW index are negative, suggesting that firms in the sample generally experience financing constraints, although the extent of these constraints differs across firms. The mean values of green innovation performance (GIP) and the digital transformation index (DIG) are 1.6060 and 1.9123, respectively, both exceeding zero. This indicates that, on average, firms possess a certain foundation in green innovation and digital transformation. Meanwhile, the standard deviations of both variables exceed 1.1, reflecting substantial heterogeneity among firms in terms of green innovation activities and levels of digital transformation.

4.2. Results of the Benchmark Regression Models

Table 4 summarizes the estimation results of the models. In column (1), the coefficient of DID is positive at the 1% level, suggesting that green financial policies contribute to an improvement in firms’ TFP. In column (2), the policy effect remains significantly positive and robust.
To control for unobserved firm-level heterogeneity and common time effects, column (3) includes both firm and time fixed effects. The coefficient of DID is estimated at 0.4509 and remains statistically significant at the 1% level, suggesting that green financial policies positively affect a firm’s TFP even after accounting for firm- and time-specific factors. From an economic perspective, compared with firms located in non-pilot regions, enterprises within the green finance pilot zones experienced a significant increase of 0.4509 units in TFP following policy implementation. This result suggests that green financial policies contribute to meaningful improvements in firm-level TFP by facilitating more efficient resource allocation, encouraging green technological innovation, and supporting structural upgrading. The findings are the same as those of Zhang et al. (2025) [35].
All control variables show positive and statistically significant associations with TFP. In contrast, the proportion of fixed assets (Fixed) and CEO duality (Dual) are negatively associated with TFP. These results suggest that firms’ financial soundness, profitability, cash flow adequacy, and growth capacity constitute key drivers of productivity improvement, whereas an overly rigid asset structure and excessive concentration of managerial authority may hinder productivity enhancement.
In summary, the results of the baseline regressions lend empirical support to Hypothesis H1, suggesting that green financial policies are associated with higher levels of firm-level TFP.

4.3. Endogeneity Analysis

To mitigate potential endogeneity bias caused by reverse causality and omitted variables, an instrumental variable (IV) approach within a panel data framework is employed. Following the present methodological insights [31,65], this study selects the lagged level of green finance development as the IV. Meanwhile, the model is estimated using the two-stage least squares (2SLS) approach, and an exclusion restriction test is performed to test the IV’s exogeneity.
First, the lagged level of green finance development has a strong correlation with its current level, indicating a valid instrumental variable. Second, the lagged indicator reflects the accumulated development of regional green finance in the past and captures the overall maturity of the local green financial market in the previous year. In contrast, a firm’s current TFP primarily depends on its own technological choices, managerial efficiency, and factor allocation. There is no direct and significant economic transmission mechanism linking the macro-level financial structure of the previous year to a firm’s current TFP. Consequently, the lagged level of green finance development could indirectly influence a contemporaneous firm’s TFP, thereby meeting the exogeneity condition required for a valid IV.
Table 5 reports the estimation results of the instrumental variable estimation. In the first stage, it is significantly positive at the 1% level, indicating a strong association with the endogenous variable. According to the Kleibergen–Paap rk LM test, it rejects the null hypothesis at the 1% level, indicating the validity of the IV.
The second-stage regression results indicate that the coefficient remains positive significant at the 5% level, suggesting an enhancing effect of green finance on a firm’s TFP after potential endogeneity has been addressed. In column (3), the coefficient of L.DID is not statistically significant. These results suggest that the instrument does not directly affect the dependent variable, thereby supporting the validity of the exclusion restriction.
Overall, the selected instrument demonstrates sufficient explanatory power and effectively alleviates endogeneity bias in the model. These findings suggest that Hypothesis H1 continues to hold after accounting for potential endogeneity.

4.4. Robustness Checks

(1)
Test of the Parallel Trend Assumption
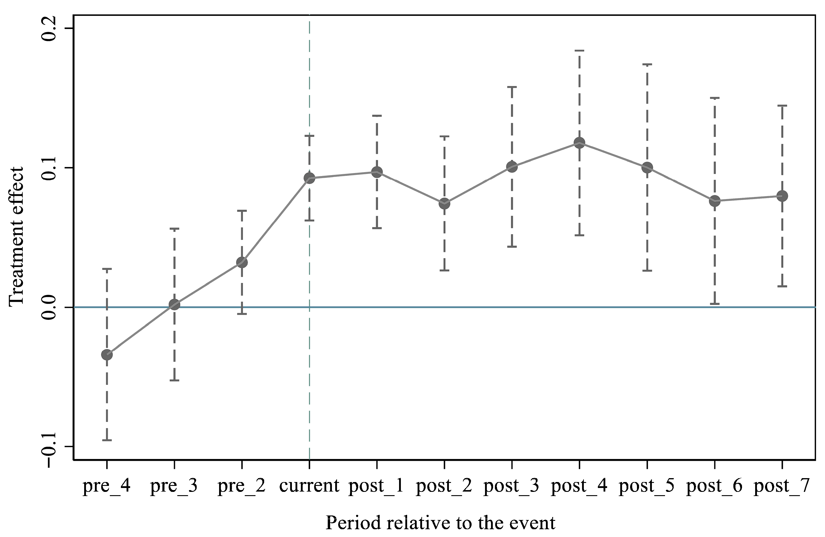
Figure 1 presents the results of the parallel trend analysis. Before the implementation of the green financial policy, the estimated treatment effects in all pre-policy periods remain close to zero, and their corresponding 95% confidence intervals encompass zero. These findings indicate that no statistically significant differences exist in TFP between the treatment and control groups prior to the policy. From a theoretical perspective, if firms had formed anticipatory expectations prior to policy implementation, such pre-treatment responses might bias the estimated results. Nevertheless, the estimated coefficients are not statistically significant in all pre-policy periods, suggesting that any potential anticipatory responses are minimal and do not affect the identification strategy. Following the introduction of the policy, the estimated treatment effects remain positive across subsequent periods, indicating that the beneficial influence of green financial policies on a firm’s TFP persists over time.
Further, we conduct a joint significance test of the pre- and post-policy coefficients [66] (see Table 6). Before the policy was introduced, the F-statistic is 1.57 (p = 0.1959), indicating that the null hypothesis that all pre-policy coefficients are jointly equal to zero cannot be rejected. The estimated pre-treatment coefficients are not jointly significant, indicating no systematic differences existing in TFP. In contrast, after the policy implementation, the F-statistic increases to 2.56 (p = 0.0126), which does not accept the null hypothesis at the 5% level and indicates that the post-policy treatment effects are jointly significant. Therefore, these results are robust.
(2)
Placebo Test
To further verify the reliability of the estimated policy effects and mitigate potential biases arising from model misspecification, omitted variables, or random disturbances, a placebo test is implemented. Specifically, the timing of policy implementation is randomly reassigned, and the regression procedure is repeated 500 times to generate the distributions of the estimated coefficients. The details are presented in Figure 2.
The kernel density distribution indicates that the coefficients obtained from the randomly assigned policy timings are clustered around zero, and most of the corresponding p-values are greater than 0.10. By contrast, the actual coefficient estimated from the baseline regression lies well outside this distribution and is more than three standard deviations away from the mean of the simulated coefficients. These results suggest that the randomly generated policy timings do not produce a significant effect on a firm’s TFP.
(3)
PSM Analysis
To test endogeneity and improve the reliability of the policy evaluation, it adopts a PSM-DID framework as an additional robustness test. The pre-policy characteristics are used to match the treatment group with the control group, ensuring greater similarity between the two groups before the policy takes effect. Following Liang and Dong (2023) [67], both one-to-one nearest-neighbor matching and caliper matching techniques are employed in this study.
The matching results are presented in Figure 3 and Figure 4. After the matching procedure, the standardized biases of all covariates decrease to below 10%, and it does not reject the null hypothesis, indicating that there are no systematic differences. The observable characteristics of firms in the two groups become well balanced following the matching process, indicating robust results.
Table 7 presents the results after the matching procedure. Under two methods, the estimated coefficients of DID are 0.4500 and 0.4499, respectively, and both remain statistically significant at the 1% level. These estimates are closely aligned with those obtained from the baseline regression, suggesting that green financial policies positively affect a firm’s TFP even after accounting for potential sample selection bias.
(4)
Replacement of Dependent Variable
This study follows Lu and Lian (2012) [6] and re-estimates firm-level TFP using the Olley–Pakes (OP) method, denoted as TFP_OP. The alternative TFP measure is then used in the DID regression framework. The estimation results are presented in Table 8.
In column (1), the coefficient of DID is significantly positive at the 1% level. In column (2), the estimated policy effect remains significant. In column (3), the DID coefficient is 0.4267 and significant at the 1% level. These findings suggest that the positive influence of green financial policies on a firm’s TFP persists even when an alternative measure of TFP is employed.

5. Additional Analysis

5.1. Analysis of Transmission Mechanisms

(1)
Mechanism Analysis: Financing Constraint
This study further explores the mechanism through which green financial policies affect a firm’s TFP by focusing on the financing constraint channel. The SA index and the Whited–Wu (WW) index are respectively used to measure corporate financing constraints, and mediation models are applied to conduct the empirical analysis. The corresponding results are presented in Table 9.
The coefficients of DID are negative and significant at the 1% level, suggesting that the green financial policies effectively ease firms’ financing constraints. In addition, the coefficients of financing constraints in the TFP regressions are also significantly negative at the 1% level, implying that the relaxation of financing constraints contributes positively to firms’ TFP. These results suggest that green financial policies enhance a firm’s productivity, thereby supporting Hypothesis H2.
It should be noted that financing constraints, as a mediating variable, are inherently intertwined with firms’ operating conditions and investment opportunities. This interdependence makes it difficult to fully eliminate endogeneity concerns such as reverse causality and omitted variables, which may, in turn, affect the reliability of the mediation analysis. To further verify the mediation effect of financing constraints, the Bootstrap method is employed as an additional robustness test. It shows that the mediation effect exists. Specifically, the mediating effect calculated using the SA index represents 20.11% of the total effect, whereas it is 3.05% of the total effect calculated using the WW index.
(2)
Mechanism Analysis: Green Innovation
To examine Hypothesis H3, a mediation analysis is conducted. The corresponding estimation results can be seen in Table 10. In column (1), the coefficient of DID is 0.2842 and remains significant at the 1% level, suggesting that the policies promote firms’ green innovation. This effect can be attributed to the provision of low-cost and long-term financial support under green finance initiatives, which alleviates firms’ financing constraints and enables greater investment in green technology R&D and process upgrading. Meanwhile, the combined influence of policy pressure and financial incentives encourages firms to increase green technology R&D, adopt more efficient and cleaner production methods, and reduce energy consumption and resource waste, thereby contributing to productivity enhancement.
In column (2), the coefficient of GIP is significantly positive at the 1% level, indicating that green innovation contributes positively to a firm’s TFP. However, green innovation itself may not be entirely exogenous. Firms’ green innovation decisions are often associated with factors such as managerial capability and market expectations, which may introduce potential endogeneity concerns. Further, the Bootstrap method is employed as an additional robustness test. The estimated confidence interval for the indirect effect excludes zero, indicating that green innovation has significant mediation effect. Quantitatively, it is 20.48% of the total effect. These results support Hypothesis H3 and suggest that green financial policies improve firms’ TFP by promoting corporate green innovation.
(3)
Mechanism Analysis: Digital Transformation
In column (1) of Table 11, the coefficient of DID is 0.4057 and remains significant at the 1% level, suggesting that green financial policies contribute to firms’ digital transformation. In column (2), the coefficients of DID and DIG are estimated at 0.3825 and 0.1685, respectively, both significant at the 1% level. It indicates that green financial policies enhance firms’ TFP directly and also indirectly by promoting digital transformation.
In terms of economic transmission mechanisms, green financial policies lower the cost of financing investments in environmentally friendly technologies, which in turn improves a firm’s resource allocation efficiency and enhances the marginal productivity of green production inputs. The digitally driven transformation induced by these policies further enhances information processing efficiency, enables intelligent production processes, and optimizes organizational coordination. Through these channels, firms can reduce internal transaction costs and energy consumption, ultimately contributing to sustained growth in TFP. This process highlights a virtuous mechanism through which green financial policies simultaneously encourage green transformation and accelerate the transition toward digitalized and intelligent production modes, achieving a synergistic improvement in environmental performance and economic efficiency.
Given that the digital transformation variable may be endogenous due to its potential association with factors such as managerial capability and firms’ technological absorptive capacity, this study further applies the Bootstrap procedure to obtain interval estimates and improve the reliability of the mediation analysis. The confidence intervals for the indirect and direct effects are (0.0260, 0.0369) and (0.0886, 0.1495), respectively, both of which exclude zero. It indicates that the mediating role of digital transformation is 20.62% of the total effect and statistically significant. It suggests that green financial policies encourage firms to advance digital transformation, which subsequently contributes to improvements in TFP. Therefore, Hypothesis H4 is supported.
To assess whether the measurement of corporate digital transformation may be affected by potential bias arising from subjective keyword selection, it conducts an additional robustness analysis. Specifically, the overall digital transformation index (DIG) is replaced with five sub-dimensions: artificial intelligence technology (AI), blockchain technology (BD), cloud computing technology (CC), big data technology (DT), and digital technology application (ADT). Each sub-dimension is introduced separately into the baseline regression model. The estimation results, reported in Table 12, show that the coefficients corresponding to all five indicators are significantly positive at the 1% level. These findings indicate that the mechanism through which green financial policies enhance firms’ TFP by promoting digital transformation remains robust under alternative measurement specifications. The consistent significance of the coefficients across all sub-dimensions effectively rules out potential measurement bias caused by subjective keyword selection. Overall, the results confirm that corporate digital transformation serves as a significant mediating channel linking green finance policies to improvements in TFP.

5.2. Analysis of Heterogeneous Effects

To test the various impacts of green financial policies on firms’ TFP, we conduct heterogeneity analyses along two dimensions: ownership structure, including state-owned enterprises (SOEs) and non-state-owned enterprises (non-SOEs), and industry pollution intensity, including heavily and non-heavily polluting industries.
The testing results based on ownership heterogeneity are reported in the first two columns of Table 13. The coefficients of the policy variable are significantly positive at the 1% level, indicating that green financial policies can promote firms’ TFP. Compared with SOEs, the estimated policy effect is stronger for non-SOEs. This finding is consistent with Liu and Zhou (2025) [3], who, based on listed companies in the Yangtze River Economic Belt, similarly reported that green financial policies exert a more pronounced effect on non-SOEs. On one hand, green financial policies, through targeted credit support, improved financing conditions, and reduced financing costs, can effectively alleviate their liquidity pressures, enabling firms to undertake technological upgrading and efficiency enhancement more flexibly. In addition, complementary measures such as tax incentives and green performance-based rewards further reduce the investment cost in green R&D, thereby encouraging non-SOEs to proactively adopt environmentally friendly practices to improve economic performance. Supported by green finance, non-SOEs—characterized by more flexible decision-making mechanisms, stronger market responsiveness, and a clearer efficiency orientation—are better positioned to channel financial resources into green innovation and production optimization, ultimately achieving more substantial productivity gains. On the other hand, although SOEs generally enjoy easier access to green financial resources, their decision-making processes are often more complex and involve multiple policy objectives. Combined with potential soft budget constraints, this may reduce the efficiency of fund allocation and utilization. Moreover, relatively rigid internal governance structures can pose additional challenges for SOEs in technological innovation, equipment upgrading, and process reform. Given their relatively abundant resource endowments and stronger capacity to comply with environmental regulations, SOEs may also face weaker external pressures to pursue green transformation, thereby diminishing their incentives to shift toward cleaner production. Consequently, the enhancing effect of green financial policies is more significant among non-state-owned enterprises.
The testing results based on industry pollution heterogeneity are in columns (3) and (4) of Table 13. The coefficients of policy variable are significantly positive at the 1% level for polluting industries, indicating that green financial policies robustly enhance TFP across firms with different pollution characteristics. This finding is consistent with Hao et al. (2024) [68], while the incentive effect on heavily polluting firms is relatively limited. A plausible explanation for this heterogeneity is that heavily polluting industries face substantially higher compliance costs and technological adjustment pressures during the process of green transformation. In order to meet increasingly stringent environmental regulations, these firms often allocate green financial resources primarily to end-of-pipe pollution control and environmental protection equipment upgrades. Such compliance-oriented investments may crowd out resources that could otherwise be devoted to process innovation and efficiency-enhancing activities, thereby limiting improvements in TFP. In contrast, non-heavily polluting industries typically exhibit greater compatibility between their production activities and environmental objectives. As a result, they are better positioned to translate green financial support into endogenous improvements, such as process optimization and enhanced resource use efficiency. This facilitates a more effective conversion of green finance into productivity gains, leading to more pronounced improvements in TFP.

6. Conclusions

6.1. Main Results

A DID framework is used here to analyze the impact of green financial policies on firms’ TFP. This is first study to estimate TFP using the Levinsohn–Petrin (LP) method. Then, it explores the underlying mechanisms through mediation tests and investigates heterogeneity across ownership structures and industry pollution characteristics.
The main conclusions include the following three aspects. First, green financial policies have a significant and robust positive effect on a firm’s TFP. Following policy implementation, firms located in pilot regions experience a significant increase of 0.4509 units in TFP. It remains valid after following robustness checks, i.e., an instrumental variable approach to address endogeneity, parallel trend tests, placebo tests, PSM-DID, and replacing the dependent variable with alternative measures.
Second, this study moves beyond the limitation of existing studies in that they predominantly focused on a single mediating channel. For the first time, financing constraints, green innovation, and corporate digital transformation are incorporated into one analytical framework, thereby systematically identifying three parallel transmission mechanisms through which green finance policies enhance firm-level TFP. Specifically, (i) green finance alleviates financing constraints, providing financial support for long-term technological investment and green transformation; (ii) it stimulates green technological innovation, enabling firms to improve production efficiency through process upgrading and product innovation; and (iii) it promotes digital transformation, leveraging data-driven empowerment to optimize internal management, resource allocation, and innovation efficiency. Further analysis quantifies the relative contribution of each pathway, revealing that digital transformation plays the most prominent role. Moreover, Bootstrap tests confirm the statistical robustness of all mediating effects.
Third, green financial policies have a strong effect on non-state-owned enterprises and are effective in non-heavily polluting firms. These findings suggest that policy effectiveness is moderated by ownership structure and industry pollution characteristics, indicating the presence of structural differences in policy transmission.

6.2. Policy Implications

Three aspects of policy implications are proposed. First, it is essential to further deepen the development of the green financial policy system by promoting coordinated progress in standardization and market-oriented mechanisms. Policymakers should continue to expand the coverage and sectoral penetration of Green Finance Reform while summarizing and disseminating replicable institutional experiences. Meanwhile, establishing unified and transparent green financial standards and information disclosure frameworks can encourage financial institutions to innovate diversified green financial products, thereby enhancing policy coherence and sustainability and providing firms with stable, long-term green financing channels.
Second, efforts in the realm of policy should be concentrated on core financial instruments, strengthening targeted empowerment, and enhancing the efficiency of policy implementation. In the field of green credit, greater emphasis should be placed on providing a targeted financing policy for firms’ green R&D and digital transformation projects. Differentiated interest rate policies may be introduced, and credit approval procedures should be streamlined to shorten processing cycles, thereby alleviating an enterprise’s financing constraints. In the green bond market, policymakers should encourage firms to issue special-purpose bonds dedicated to green innovation and digital transformation, expand the issuance scale, and lower entry thresholds. Such measures would enable enterprises to obtain long-term and stable financing through bond markets, supporting investments in green process upgrading and digital technology applications. Regarding risk-sharing mechanisms, the establishment of a green finance risk compensation fund is recommended. This fund should prioritize credit and bond financing related to green innovation and digital transformation and provide partial compensation for non-performing loans incurred by financial institutions. By reducing the risk exposure of financial intermediaries, such arrangements would enhance their willingness to support firms’ green transformation and foster a more sustainable financial ecosystem.
Third, policy guidance should be implemented in a more targeted and differentiated manner based on firms’ ownership structures and industry characteristics. For state-owned enterprises, where governance mechanisms tend to be relatively rigid and the efficiency of green fund utilization may be lower, green transformation outcomes should be incorporated into performance evaluation systems to strengthen incentives for green investment and efficiency improvement. For heavily polluting industries, specialized support instruments—such as technical assistance, equipment upgrading subsidies, and medium- to long-term green loans—should be designed to reduce compliance costs associated with environmental transformation and promote steady productivity growth while meeting environmental standards. Policymakers should further promote green financing policies to support non-state-owned enterprises and non-heavily polluting industries. By leveraging the advantages—such as flexible decision-making structures and rapid market responsiveness—these enterprises can be more effectively supported in achieving accelerated green transformation and efficiency enhancement. Strengthening targeted policy support for these groups would help maximize the firm’s TFP.

6.3. Limitations and Future Research

Although our present research offers a new perspective on the impact of green financial policies on firms’ TFP, there are several limitations. First, in terms of sample selection, the present research only selects Chinese A-share-listed firms for empirical research; non-listed firms are not included, which might to some extent affect the empirical results. Second, from the perspective of the industrial divisions, different enterprises occupy different positions in the industrial chains, and the influence of green financial policies on firms’ TFP also varies. The present work has not distinguished firms by their positions in the industrial chain. Third, from a methodological perspective, the estimated effects may still be confounded by contemporaneous regional reform policies—such as environmental regulation adjustments, industrial upgrading initiatives, or digital economy pilot programs—implemented during the same period. Moreover, the baseline difference-in-differences framework primarily captures local average treatment effects and does not explicitly model potential indirect or spillover effects between regions, such as capital reallocation, industrial transfer, or competitive responses across neighboring areas. Further research is to apply a new sample including non-listed firms, introduce industrial chain positioning into the analytical framework, and adopt multi-period DID models, spatial econometric approaches, or multi-policy interaction designs to more comprehensively identify dynamic, heterogeneous, and cross-regional transmission mechanisms of green finance policies.

Author Contributions

Conceptualization, T.G. and G.H.; Methodology, J.Y. and Y.H.; Software, J.Y. and Y.W.; Validation, Y.H. and Y.W.; Formal analysis, T.Z. and G.H.; Resources, T.G. and T.Z.; Data curation, J.Y. and Y.H.; Investigate, Y.W.; Writing—original draft, T.G. and J.Y.; Writing—review & editing, T.Z.; Visualization, Y.W.; Project administration, T.G., T.Z. and G.H.; Funding acquisition, T.G., T.Z. and G.H. All authors have read and agreed to the published version of the manuscript.

Funding

This research was supported by grants from Major Scientific Research Project of Universities in Anhui Province (2024AH040371), National Social Science Foundation of China (25CKX007), Science Foundation of Ministry of Education of China (21YJCZH252), Science Foundation for the Excellent Youth Scholars of Universities in Anhui Province (2024AH030066, 2023AH030033).

Institutional Review Board Statement

Not applicable.

Informed Consent Statement

Not applicable.

Data Availability Statement

The data presented in this study are available on request from the corresponding author.

Conflicts of Interest

The authors declare no conffict of interest.

References

  1. Zheng, W.; Yin, T.; Gao, J. The Effect of the Social Credit System on China’s Green Economic Development: Evidence from a Quasi-Natural Experiment. Sustainability 2025, 17, 9958. [Google Scholar] [CrossRef]
  2. Liu, Z.; Ling, Y. Structural transformation, TFP and high-quality development. J. Manag. World 2020, 36, 15–29. [Google Scholar]
  3. Liu, T.; Zhou, B. Green finance policy and enterprise total factor productivity: The role of corporate environmental social responsibility and financing constraints. J. Clean. Prod. 2025, 493, 144953. [Google Scholar] [CrossRef]
  4. Li, G.; Wu, H.; Jiang, J.; Zong, Q. Digital finance and the low-carbon energy transition (LCET) from the perspective of capital-biased technical progress. Energy Econ. 2023, 120, 106623. [Google Scholar] [CrossRef]
  5. Aigner, D.; Lovell, C.A.K.; Schmidt, P. Formulation and estimation of stochastic frontier production function models. J. Econom. 1977, 6, 21–37. [Google Scholar] [CrossRef]
  6. Lu, X.; Lian, Y. Estimation of total factor productivity of industrial enterprise in China: 1999–2007. China Econ. Q. 2012, 11, 541–558. [Google Scholar]
  7. Solow, R.M. Technical change and the aggregate production function. Rev. Econ. Stat. 1957, 39, 312–320. [Google Scholar] [CrossRef]
  8. Charnes, A.; Cooper, W.W.; Rhodes, E. Measuring the efficiency of decision making units. Eur. J. Oper. Res. 1978, 2, 429–444. [Google Scholar] [CrossRef]
  9. Levinsohn, J.; Petrin, A. Estimating production functions using inputs to control for unobservables. Rev. Econ. Stud. 2003, 70, 317–341. [Google Scholar] [CrossRef]
  10. Ackerberg, D.; Caves, K.; Frazer, G. Structural identification of production functions. MPRA Pap. 2006, 88, 411–425. [Google Scholar]
  11. Qian, X.; Kang, J.; Tang, Y.; Cao, X. Industrial policy, efficiency of capital allocation and firm’s total factor productivity-Evidence from a natural experiment in China. China Ind. Econ. 2018, 5, 42–59. [Google Scholar]
  12. Zhao, C.; Wang, W.; Li, X. How does digital transformation affect the total factor productivity of enterprises? Financ. Trade Econ. 2021, 42, 114–129. [Google Scholar]
  13. Song, M.; Zhou, P.; Si, H. Financial technology and enterprise total factor productivity—Perspective of “enabling” and credit rationing. China Ind. Econ. 2021, 4, 138–155. [Google Scholar]
  14. Fan, D.; Fu, J.; Wang, W. How does carbon emission trading influence firm’s total factor productivity? Syst. Eng.-Theory Pract. 2022, 42, 591–603. [Google Scholar]
  15. Saeed Meo, M.; Karim, M.Z.A. The role of green finance in reducing CO2 emissions: An empirical analysis. Borsa Istanb. Rev. 2022, 22, 169–178. [Google Scholar] [CrossRef]
  16. He, D.; Cheng, G. Green finance. Econ. Res. J. 2022, 57, 10–17. [Google Scholar]
  17. Liu, J.; Xia, Y.; Lin, S.; Fan, Y. The short-, medium- and long-term effects of green credit policy in China based on a financial CGE model. Chin. J. Manag. Sci. 2015, 23, 46–52. [Google Scholar]
  18. Liu, X.; Wen, S. Should financial institutions be environmentally responsible in China? Facts, theory and evidence. Econ. Res. J. 2019, 54, 38–54. [Google Scholar]
  19. Sun, J.; Wang, F.; Yin, H.; Zhang, B. Money talks: The environmental impact of China’s green credit policy. J. Policy Anal. Manag. 2019, 38, 653–680. [Google Scholar] [CrossRef]
  20. Li, Z.; Liao, G.; Wang, Z.; Huang, Z. Green loan and subsidy for promoting clean production innovation. J. Clean. Prod. 2018, 187, 421–431. [Google Scholar] [CrossRef]
  21. Chang, K.; Luo, D.; Dong, Y.; Xiong, C. The impact of green finance policy on green innovation performance: Evidence from Chinese heavily polluting enterprises. J. Environ. Manag. 2024, 352, 119961. [Google Scholar] [CrossRef]
  22. Guo, J.; Liu, W.; Wang, J. How green finance promotes high-quality economic development? J. Financ. Dev. Res. 2024, 7, 56–64. [Google Scholar]
  23. Ai, H.; Hu, S.; Li, K.; Shao, S. Environmental regulation, total factor productivity, and enterprise duration: Evidence from China. Bus. Strategy Environ. 2020, 29, 2284–2296. [Google Scholar] [CrossRef]
  24. Cui, Y.; Peng, L. Green financial development, green R&D investment and growth of enterprise total factor productivity. J. Ind. Technol. Econ. 2023, 42, 28–36. [Google Scholar]
  25. Zeng, S.; Fu, Q.; Haleem, F.; Zhang, J. Carbon-reduction, green finance, and high-quality economic development: A case of China. Sustainability 2023, 15, 13999. [Google Scholar] [CrossRef]
  26. Chen, X.; Huang, W. Green finance policy and total factor productivity of green enterprises: Evidence from implementation of green credit guidelines. Collect. Essays Financ. Econ. 2024, 40, 60–69. [Google Scholar]
  27. He, Y.; Zhang, Y.; Zheng, H. The influence of the guidance on building a green financial system on environmentally friendly firms’ total factor productivity in China. J. Clean. Prod. 2024, 434, 140516. [Google Scholar] [CrossRef]
  28. Luo, J.; Wu, Y. Does air pollution stimulate corporate green innovation? Syst. Eng.-Theory Pract. 2023, 43, 321–349. [Google Scholar]
  29. Zhu, B.; Deng, Y.; Wang, P.; Dai, Y.; Zhang, S. Does air pollution suppress firm’s total factor productivity? Syst. Eng.-Theory Pract. 2023, 43, 2906–2927. [Google Scholar]
  30. Lyu, H.; Wang, K. The impact of data assetization on enterprise resource allocation efficiency. Sci. Technol. Manag. Res. 2026, 46, 231–244. [Google Scholar]
  31. Wen, S.; Liu, H.; Wang, H. Green finance, green innovation, and high-quality economic development. J. Financ. Res. 2022, 506, 1–17. [Google Scholar]
  32. Zhang, H.; Wei, S.; He, X. The green credit policy and the total factor productivity of “double high” enterprises. Econ. Theory Bus. Manag. 2023, 43, 99–111. [Google Scholar]
  33. Zhou, X.; Tang, X.; Zhang, R. Impact of green finance on economic development and environmental quality: A study based on provincial panel data from China. Environ. Sci. Pollut. Res. 2020, 27, 19915–19932. [Google Scholar] [CrossRef]
  34. Li, X.; Zhang, Y.; Jiang, F. Green industrial policy: Theory evolution and Chinese practice. J. Financ. Econ. 2019, 45, 4–27. [Google Scholar]
  35. Zhang, Z.; Zhang, H.; Xiong, A. Research on the influence mechanism of green finance on the total factor productivity of enterprises. Sci. Res. Manag. 2025, 46, 135–144. [Google Scholar]
  36. Altaf, N.; Ahmad, F. Working capital financing, firm performance and financial constraints: Empirical evidence from India. Int. J. Manag. Financ. 2019, 15, 464–477. [Google Scholar] [CrossRef]
  37. Kladakis, G.; Chen, L.; Bellos, S. Multiple credit ratings and liquidity creation. Financ. Res. Lett. 2021, 46, 1–7. [Google Scholar] [CrossRef]
  38. Xie, W.; Fang, H. Financial development, financing constraints, and corporate R&D investment. J. Financ. Res. 2011, 5, 171–183. [Google Scholar]
  39. Yu, M.; Zhong, H.; Fan, R. Privatization, financial constraints, and corporate innovation: Evidence from China’s industrial enterprises. J. Financ. Res. 2019, 466, 75–91. [Google Scholar]
  40. Chen, S.; Zhang, J.; Liu, J. Environmental regulation, financing constraints, and enterprise emission reduction: Evidence from pollution levy standards adjustment. J. Financ. Res. 2021, 495, 51–71. [Google Scholar]
  41. Ma, J.; An, G.; Liu, J. Building a financial service system to support green technological innovation. Financ. Theory Pract. 2020, 5, 1–8. [Google Scholar]
  42. Xia, K. How human capital and R&D investments influence TFP. J. Quant. Technol. Econ. 2010, 27, 78–94. [Google Scholar]
  43. Chen, H.; Han, Q.; Wu, K. Does financial constraints impede technical efficiency improvement? An empirical study based on micro data of manufacturing firms. J. Financ. Res. 2015, 424, 148–162. [Google Scholar]
  44. Fu, Q.; Zhao, S. Influence of green finance on new-quality productivity of enterprises: Evidence from Chinese A-share listed companies. Int. Rev. Financ. Anal. 2025, 105, 104356. [Google Scholar] [CrossRef]
  45. Porter, M.E.; Van Der Linde, C. Toward a new conception of the environment competitiveness relationship. J. Econ. Perspect. 1995, 9, 97–118. [Google Scholar] [CrossRef]
  46. Wu, L.; Chen, W.; Lin, L.; Feng, Q. The impact of innovation and green innovation on corporate total factor productivity. J. Appl. Stat. Manag. 2021, 40, 319–333. [Google Scholar]
  47. Tian, C.; Xiao, L. Will green credit promote technological innovation in heavy polluting enterprises? A quasi-natural experiment based on the green credit guidelines. Chin. J. Environ. Manag. 2021, 13, 90–97. [Google Scholar]
  48. Qi, H.; Liu, S. Does green financial policy promote corporate green innovations? Evidences from the green financial reform and innovation pilot zones. Contemp. Financ. Econ. 2023, 3, 94–105. [Google Scholar]
  49. Shi, X.; Zhang, Y. Impact of green finance policy on green technological innovation and the mechanism underlying the impact -A quasi-natural experiment based on reform and innovation pilot zone. Manag. Rev. 2024, 36, 107–118. [Google Scholar]
  50. Wan, D. The impact of green technology innovation on green total factor productivity: An empirical study based on listed enterprises in heavy pollution industry. Front. Sci. Technol. Eng. Manag. 2025, 44, 69–75. [Google Scholar]
  51. Li, C.; Hu, C. The impact of green finance on firms’ digital transformation. Stat. Manag. 2024, 39, 69–78. [Google Scholar]
  52. Qiang, Y.; Xu, Z. Effects of green finance on the digitalization of high-polluting enterprises. China Popul. Resour. Environ. 2024, 34, 93–102. [Google Scholar]
  53. Wang, J.; Liu, Z.; Liu, X. Digital transformation and enterprise total factor productivity: A mechanism test based on resource allocation efficiency. Sci. Technol. Prog. Policy 2024, 41, 23–33. [Google Scholar]
  54. Ren, Z.; Deng, M. The impact of digital transformation on firms’ total factor productivity. Econ. Dev. Stud. 2024, 4, 39–52. [Google Scholar]
  55. Cao, A.; Liu, X. Digital transformation, human capital, and firms’ total factor productivity. Stat. Decis. 2024, 40, 167–172. [Google Scholar]
  56. Han, S.; Yang, J.; Yang, L. The impact of digital transformation on firms’ total factor productivity. Mod. Manag. Sci. 2024, 2, 133–142. [Google Scholar]
  57. Sun, Z. The impact of digital transformation on firms’ total factor productivity. Enterp. Reform Manag. 2024, 19, 16–18. [Google Scholar]
  58. Wen, Z.; Ye, B. Analyses of mediating effects: The development of methods and models. Adv. Psychol. Sci. 2014, 22, 731–745. [Google Scholar] [CrossRef]
  59. Ju, X.; Lo, D.; Yu, Y. Financing constraints, working capital management and the persistence of firm innovation. Econ. Res. J. 2013, 48, 4–16. [Google Scholar]
  60. Wang, H.; Cao, Y.; Yang, Q.; Yang, Z. Does the financialization of non-financial enterprises promote or inhibit corporate innovation. Nankai Bus. Rev. 2017, 20, 155–166. [Google Scholar]
  61. Hadlock, C.J.; Pierce, J.R. New evidence on measuring financial constraints: Moving beyond the KZ index. Rev. Financ. Stud. 2010, 23, 1909–1940. [Google Scholar] [CrossRef]
  62. Wang, X.; Wang, Y. Research on the green innovation promoted by green credit policies. J. Manag. World 2021, 37, 173–188. [Google Scholar]
  63. Wu, F.; Hu, H.; Lin, H.; Ren, X. Enterprise digital transformation and capital market performance: Empirical evidence from stock liquidity. J. Manag. World 2021, 37, 130–144. [Google Scholar]
  64. Li, B.; Yang, Z.; Zhang, M. The impact of the stock issuance registration reform on corporate investment efficiency. Friends Account. 2026, 4, 79–87. [Google Scholar]
  65. Chen, A.; Chen, F.; He, C. Industry chain linkage and firm’s innovation. China Ind. Econ. 2021, 9, 80–98. [Google Scholar]
  66. He, S.; Du, S.; Huang, G. Traditional finance and early industrialisation: Evidence from piaohao and modern private corporate establishment. J. World Econ. 2025, 48, 90–121. [Google Scholar]
  67. Liang, S.; Dong, Q. Management’s macroeconomic cognition and corporate default risk. J. Quant. Technol. Econ. 2023, 9, 200–220. [Google Scholar]
  68. Hao, X.; He, A.; Xue, L. Impact mechanisms of green financial reform and innovation pilot zones on corporate green transformation. China Popul. Resour. Environ. 2024, 34, 124–135. [Google Scholar]
Figure 1. The parallel trend test. Note: The results reveal no significant pre-policy differences existing in TFP, suggesting that the parallel trend condition is satisfied. Black dots represent the coefficients of point estimates. The vertical light-blue dashed line indicates the timing of policy implementation. The horizontal blue solid line denotes the zero baseline of treatment effect. Vertical dashed bars correspond to 95% confidence intervals. The gray polyline connecting the dots depicts the dynamic trajectory of the treatment effect over time.
Figure 1. The parallel trend test. Note: The results reveal no significant pre-policy differences existing in TFP, suggesting that the parallel trend condition is satisfied. Black dots represent the coefficients of point estimates. The vertical light-blue dashed line indicates the timing of policy implementation. The horizontal blue solid line denotes the zero baseline of treatment effect. Vertical dashed bars correspond to 95% confidence intervals. The gray polyline connecting the dots depicts the dynamic trajectory of the treatment effect over time.
Sustainability 18 03121 g001
Figure 2. Placebo test based on random reassignment of policy timing. Note: The simulated results show that randomly allocated policy timing has no statistically significant effect on a firm’s TFP. The baseline estimation results are unlikely to be explained by random disturbances, thereby confirming the robustness of the main findings. The dashed line represents the true regression coefficients.
Figure 2. Placebo test based on random reassignment of policy timing. Note: The simulated results show that randomly allocated policy timing has no statistically significant effect on a firm’s TFP. The baseline estimation results are unlikely to be explained by random disturbances, thereby confirming the robustness of the main findings. The dashed line represents the true regression coefficients.
Sustainability 18 03121 g002
Figure 3. Nearest-neighbor matching results for estimating the net effects of green financial policies. Note: The results suggest that the characteristics in two groups are effectively balanced after the matching procedure, indicating robust results. The solid line represents the baseline of standardized percentage bias across covariates.
Figure 3. Nearest-neighbor matching results for estimating the net effects of green financial policies. Note: The results suggest that the characteristics in two groups are effectively balanced after the matching procedure, indicating robust results. The solid line represents the baseline of standardized percentage bias across covariates.
Sustainability 18 03121 g003
Figure 4. Caliper matching results for estimating the net effects of green financial policies. Note: The results indicate that the matching procedure effectively balances the covariates between two groups, indicating robust results. The solid line represents the baseline of standardized percentage bias across covariates.
Figure 4. Caliper matching results for estimating the net effects of green financial policies. Note: The results indicate that the matching procedure effectively balances the covariates between two groups, indicating robust results. The solid line represents the baseline of standardized percentage bias across covariates.
Sustainability 18 03121 g004
Table 1. Structured feature keywords for digital transformation.
Table 1. Structured feature keywords for digital transformation.
Core DimensionFeature Keywords
Artificial Intelligence TechnologyArtificial intelligence; business intelligence; image understanding; investment decision support systems; intelligent data analysis; intelligent robots; machine learning; deep learning; semantic search; biometric technology; facial recognition; speech recognition; identity authentication; autonomous driving; natural language processing
Big Data TechnologyBig data; data mining; text mining; data visualization; heterogeneous data; credit investigation; augmented reality; mixed reality; virtual reality
Cloud Computing TechnologyCloud computing; stream computing; graph computing; in-memory computing; secure multi-party computation; brain-inspired computing; green computing; cognitive computing; converged architecture; billion-level concurrency; EB-level storage; Internet of Things; cyber–physical systems
Blockchain TechnologyBlockchain; digital currency; distributed computing; differential privacy technology; smart financial contracts
Digital Technology ApplicationMobile internet; industrial internet; mobile connectivity; internet healthcare; e-commerce; mobile payment; third-party payment; NFC payment; smart energy; B2B; B2C; C2B; C2C; O2O; online banking; smart wearables; smart agriculture; intelligent transportation; smart healthcare; intelligent customer service; smart home; robo-advisory; smart cultural tourism; smart environmental protection; smart grid; intelligent marketing; digital marketing; unmanned retail; internet finance; digital finance; fintech; financial technology; quantitative finance; open banking
Table 2. Description and measurement of control variables.
Table 2. Description and measurement of control variables.
VariableDefinition
Leverage ratio (Lev)Total liabilities/total assets
Return on assets (Roa)Net profit/total assets
Cash flow ratio (Cashflow)Net operating cash flow/total assets
Fixed asset ratio (Fixed)Net fixed assets/total assets
Growth rate of operating revenue (Growth)Percentage change in operating revenue relative to the previous year
CEO duality (Dual)Indicator equal to 1 when the chairman of the board simultaneously serves as the general manager, and 0 otherwise
Table 3. Descriptive Statistics.
Table 3. Descriptive Statistics.
VariableCountMeanS.d.MinMax
TFP_LP17,0288.98051.08835.315713.1787
DID17,0280.19780.39830.00001.0000
SA17,028−3.92040.2609−5.8345−2.3439
WW17,028−1.03650.0908−4.3328−0.5340
GIP17,0281.60601.13660.00005.3181
DIG17,0281.91231.13560.03046.3063
Lev17,0280.43690.19570.04620.9347
Roa17,0280.03790.0584−0.37500.2552
Cashflow17,0280.05160.0638−0.19890.2656
Fixed17,0280.21340.15580.00160.7211
Growth17,0280.12240.3461−0.65443.8082
Dual17,0280.21760.41270.00001.0000
Table 4. Baseline regression results.
Table 4. Baseline regression results.
VariableTFP_LPTFP_LPTFP_LP
DID0.4824 ***0.4305 ***0.4509 ***
(0.0122)(0.0114)(0.0113)
Lev 1.3940 ***1.1666 ***
(0.0335)(0.0342)
Roa 1.5757 ***1.3585 ***
(0.0753)(0.0743)
Cashflow 1.1081 ***1.0660 ***
(0.0604)(0.0593)
Fixed −1.3673 ***−1.4591 ***
(0.0456)(0.0472)
Growth 0.1248 ***0.1348 ***
(0.0093)(0.0092)
Dual −0.0524 ***−0.0381 ***
(0.0106)(0.0105)
Constant8.8851 ***8.4573 ***8.5783 ***
(0.0269)(0.0271)(0.0195)
Observations17,02817,02817,028
R-squared0.09330.24890.2511
Firm fixed effectNoNoYES
Time fixed effectNoNoYES
Note: *** denotes significant at the 1% level.
Table 5. Endogeneity test results.
Table 5. Endogeneity test results.
VariableFirst StageSecond StageExclusion Restriction Test
L.DID0.7488 *** 0.0152
(0.0009) (0.0219)
DID 0.5223 ***0.0541 ***
(0.0264)(0.0188)
Lev0.0434 ***1.0478 ***0.8662 ***
(0.01418)(0.1048)(0.1002)
Roa0.0571 **1.4268 ***1.9088 ***
(0.0290)(0.1284)(0.1315)
Cashflow−0.1242 ***0.9299 ***0.6456 ***
(0.0257)(0.0961)(0.0891)
Fixed−0.1061 ***−1.3496 ***−0.8764 ***
(0.0188)(0.1582)(0.1549)
Growth0.0088 **0.1419 ***0.1778 ***
(0.0041)(0.0144)(0.0137)
Dual0.0039−0.0350 *−0.0331 *
(0.0043)(0.0197)(0.0181)
Observations15,60915,60915,609
R-squared0.38200.23140.926
Firm fixed effectYESYESYES
Time fixed effectYESYESYES
Kleibergen–Paap rk LM statistic435.228 ***
Kleibergen–Paap rk Wald F statistic6.2 × 105 [16.38]
Note: ***, **, and * represent significant at the 1%, 5%, and 10% levels, respectively.
Table 6. Joint significance test results.
Table 6. Joint significance test results.
PeriodF-Statisticp-Value
Pre-Policy Period1.570.1959
Post-Policy Period2.560.0126
Table 7. PSM-DID regression results.
Table 7. PSM-DID regression results.
VariableNearest-Neighbor MatchingCaliper Matching
DID0.4500 ***0.4499 ***
(0.0113)(0.0113)
Lev1.1721 ***1.1722 ***
(0.0342)(0.0342)
Roa1.3444 ***1.3437 ***
(0.0742)(0.0742)
Cashflow1.0607 ***1.0623 ***
(0.0593)(0.0593)
Fixed−1.4702 ***−1.4722 ***
(0.0474)(0.0474)
Growth0.1335 ***0.1348 ***
(0.0091)(0.0092)
Dual−0.0393 ***−0.0391 ***
(0.0105)(0.0105)
Constant8.5794 ***8.5796 ***
(0.0195)(0.0195)
Observations17,01717,015
R-squared0.25130.2513
Firm fixed effectYESYES
Time fixed effectYESYES
Note: Statistical significance is indicated by *** at the 1% level.
Table 8. Regression results with a replaced dependent variable.
Table 8. Regression results with a replaced dependent variable.
VariableTFP_OPTFP_OPTFP_OP
DID0.4400 ***0.4015 ***0.4267 ***
(0.0113)(0.0107)(0.0107)
Lev 1.0883 ***0.8691 ***
(0.0313)(0.0324)
Roa 1.4016 ***1.2231 ***
(0.0709)(0.0703)
Cashflow 1.0314 ***1.0137 ***
(0.0569)(0.0561)
Fixed −1.1049 ***−1.1592 ***
(0.0425)(0.0447)
Growth 0.1185 ***0.1268 ***
(0.0088)(0.0087)
Dual −0.0460 ***−0.0317 ***
(0.0099)(0.0099)
Constant6.9784 ***6.6354 ***6.7413 ***
(0.0221)(0.0243)(0.0185)
Observations17,02817,02817,028
R-squared0.09190.21750.2200
Firm fixed effectNoNoYES
Time fixed effectNoNoNo
Note: Statistical significance is indicated by *** at the 1% level.
Table 9. Results of the financing constraint mechanism analysis.
Table 9. Results of the financing constraint mechanism analysis.
SA IndexWW Index
VariableSATFP_LPWWTFP_LP
DID−0.1836 ***0.2218 ***−0.0147 ***0.4475 ***
(0.0036)(0.0112)(0.0020)(0.0113)
SA −1.2477 ***
(0.0229)
WW −0.2260 ***
(0.0444)
Lev−0.1245 ***1.0112 ***−0.00401.1657 ***
(0.0110)(0.0315)(0.0062)(0.0342)
Roa0.2980 ***1.7303 ***0.0280 **1.3649 ***
(0.0238)(0.0685)(0.0134)(0.0743)
Cashflow−0.1962 ***0.8213 ***−0.00261.0654 ***
(0.0190)(0.0545)(0.0107)(0.0592)
Fixed0.3057 ***−1.0776 ***−0.0018−1.4595 ***
(0.0151)(0.0439)(0.0085)(0.0472)
Growth0.0199 ***0.1596 ***−0.00160.1344 ***
(0.0029)(0.0084)(0.0016)(0.0091)
Dual−0.0003−0.0384 ***0.0006−0.0379 ***
(0.0034)(0.0096)(0.0019)(0.0105)
Constant−3.8985 ***3.7141 ***−1.0323 ***8.3450 ***
(0.0063)(0.0911)(0.0035)(0.0498)
Observations17,02817,02817,02817,028
R-squared0.20510.37070.00400.2524
Firm fixed effectYESYESYESYES
Time fixed effectYESYESYESYES
Bootstrap testIndirect effect: (0.0248, 0.0360)Indirect effect: (0.0017, 0.0075)
Direct effect: (0.0855, 0.1520)Direct effect: (0.1146, 0.1770)
Note: statistical significance is indicated by *** and ** at the 1% and 5% levels, respectively.
Table 10. Results of the green innovation mechanism test.
Table 10. Results of the green innovation mechanism test.
VariableGIPTFP_LP
DID0.2842 ***0.4138 ***
(0.0178)(0.0112)
GIP 0.1304 ***
(0.0050)
Lev0.2952 ***1.1281 ***
(0.0538)(0.0335)
Roa0.02011.3559 ***
(0.1167)(0.0727)
Cashflow−0.04171.0715 ***
(0.0931)(0.0580)
Fixed−0.6278 ***−1.3772 ***
(0.0742)(0.0463)
Growth−0.02240.1377 ***
(0.0144)(0.0090)
Dual0.0398 **−0.0433 ***
(0.0165)(0.0103)
Constant1.5503 ***8.3761 ***
(0.0307)(0.0206)
Observations17,02817,028
R-squared0.02660.2825
Firm fixed effectYESYES
Time fixed effectYESYES
Bootstrap testIndirect effect: (0.0208, 0.0408)
Direct effect: (0.0887, 0.1499)
Note: statistical significance is indicated by *** and ** at the 1% and 5% levels, respectively.
Table 11. Results of the digital transformation mechanism test.
Table 11. Results of the digital transformation mechanism test.
VariableDIGTFP_LP
DID0.4057 ***0.3825 ***
(0.0169)(0.0112)
DIG 0.1685 ***
(0.0052)
Lev0.3808 ***1.1024 ***
(0.0510)(0.0332)
Roa−0.7020 ***1.4769 ***
(0.1107)(0.0720)
Cashflow0.2087 **1.0309 ***
(0.0883)(0.0574)
Fixed−0.9354 ***−1.3014 ***
(0.0704)(0.0460)
Growth−0.0327 **0.1403 ***
(0.0136)(0.0089)
Dual−0.0321 **−0.0327 ***
(0.0156)(0.0102)
Constant1.8921 ***8.2594 ***
(0.0291)(0.0213)
Observations17,02817,028
R-squared0.06320.2983
Firm fixed effectYESYES
Time fixed effectYESYES
Bootstrap testIndirect effect: (0.0260, 0.0369)
Direct effect: (0.0886, 0.1495)
Note: statistical significance is indicated by *** and ** at the 1% and 5% levels, respectively.
Table 12. Decomposition test results based on alternative measures of corporate digital transformation.
Table 12. Decomposition test results based on alternative measures of corporate digital transformation.
VariableTFP_LPTFP_LPTFP_LPTFP_LPTFP_LP
DID0.3568 ***0.4308 ***0.3926 ***0.3961 ***0.4130 ***
(0.0112)(0.0113)(0.0113)(0.0112)(0.0112)
AI0.1994 ***
(0.0055)
BD 0.1877 ***
(0.0109)
CC 0.1570 ***
(0.0061)
DT 0.1527 ***
(0.0054)
ADT 0.1113 ***
(0.0045)
Lev1.0706 ***1.1505 ***1.1322 ***1.1021 ***1.1319 ***
(0.0330)(0.0339)(0.0336)(0.0335)(0.0336)
Roa1.5905 ***1.4747 ***1.4390 ***1.4287 ***1.4318 ***
(0.0717)(0.0739)(0.0728)(0.0725)(0.0730)
Cashflow0.9884 ***1.0410 ***1.0466 ***1.0315 ***1.0379 ***
(0.0570)(0.0588)(0.0581)(0.0578)(0.0582)
Fixed−1.3161 ***−1.4231 ***−1.3938 ***−1.3379 ***−1.3691 ***
(0.0456)(0.0468)(0.0463)(0.0463)(0.0465)
Growth0.1585 ***0.1401 ***0.1398 ***0.1377 ***0.1351 ***
(0.0088)(0.0091)(0.0090)(0.0089)(0.0090)
Dual−0.0351 ***−0.0369 ***−0.0390 ***−0.0374 ***−0.0363 ***
(0.0101)(0.0104)(0.0103)(0.0102)(0.0103)
Constant8.5178 ***8.5601 ***8.4982 ***8.4973 ***8.4544 ***
(0.0189)(0.0194)(0.0194)(0.0193)(0.0198)
Observations17,02817,02817,02817,02817,028
R-squared0.30880.26510.28170.28770.2792
Number of id14191419141914191419
Date FEYESYESYESYESYES
St FEYESYESYESYESYES
Note: statistical significance is indicated by *** at the 1% level.
Table 13. Heterogeneous effect analysis results.
Table 13. Heterogeneous effect analysis results.
VariableSOENon-SOEHeavily Polluting IndustryNon-Heavily Polluting Industry
DID0.3725 ***0.4808 ***0.4375 ***0.4547 ***
(0.0182)(0.0147)(0.0200)(0.0137)
Lev0.8406 ***1.3773 ***0.7992 ***1.3262 ***
(0.0513)(0.0462)(0.0568)(0.0424)
Roa1.4891 ***1.3099 ***1.5882 ***1.3175 ***
(0.1235)(0.0946)(0.1290)(0.0904)
Cashflow0.8626 ***1.2212 ***1.1911 ***0.9920 ***
(0.0825)(0.0841)(0.1044)(0.0715)
Fixed−1.5642 ***−1.4021 ***−1.1614 ***−1.6167 ***
(0.0638)(0.0690)(0.0665)(0.0647)
Growth0.1668 ***0.1130 ***0.0735 ***0.1556 ***
(0.0131)(0.0127)(0.0167)(0.0108)
Dual−0.0345 **−0.0422 ***−0.0368 **−0.0323 **
(0.0167)(0.0136)(0.0173)(0.0130)
Constant9.0233 ***8.2586 ***8.7931 ***8.4651 ***
(0.0318)(0.0247)(0.0323)(0.0243)
Observations79209108560411,424
R-squared0.21220.28640.22580.2686
Firm fixed effectYESYESYESYES
Time fixed effectYESYESYESYES
Note: statistical significance is indicated by *** and ** at the 1% and 5% levels, respectively.
Disclaimer/Publisher’s Note: The statements, opinions and data contained in all publications are solely those of the individual author(s) and contributor(s) and not of MDPI and/or the editor(s). MDPI and/or the editor(s) disclaim responsibility for any injury to people or property resulting from any ideas, methods, instructions or products referred to in the content.

Share and Cite

MDPI and ACS Style

Ge, T.; Yang, J.; Hu, Y.; Zhu, T.; Wu, Y.; Hu, G. Do Green Financial Policies Enhance Firms’ TFP? Evidence from China’s Green Finance Pilot Zones. Sustainability 2026, 18, 3121. https://doi.org/10.3390/su18063121

AMA Style

Ge T, Yang J, Hu Y, Zhu T, Wu Y, Hu G. Do Green Financial Policies Enhance Firms’ TFP? Evidence from China’s Green Finance Pilot Zones. Sustainability. 2026; 18(6):3121. https://doi.org/10.3390/su18063121

Chicago/Turabian Style

Ge, Tengfei, Jing Yang, Yueyue Hu, Tingting Zhu, Yutong Wu, and Genhua Hu. 2026. "Do Green Financial Policies Enhance Firms’ TFP? Evidence from China’s Green Finance Pilot Zones" Sustainability 18, no. 6: 3121. https://doi.org/10.3390/su18063121

APA Style

Ge, T., Yang, J., Hu, Y., Zhu, T., Wu, Y., & Hu, G. (2026). Do Green Financial Policies Enhance Firms’ TFP? Evidence from China’s Green Finance Pilot Zones. Sustainability, 18(6), 3121. https://doi.org/10.3390/su18063121

Note that from the first issue of 2016, this journal uses article numbers instead of page numbers. See further details here.

Article Metrics

Back to TopTop