Next Article in Journal
Sustainable Techno-Economic Assessment of a Grid-Connected Wind–Solar Street-Lighting Microgrid for Land-Constrained Urban Regions: A Case Study of the Tokyo Bay Area
Previous Article in Journal
Efficiency and Mechanisms of Sunlight-Driven Photocatalytic Degradation of Total Petroleum Hydrocarbons Using Pyrolyzed Drilling Waste Residue
 
 
Font Type:
Arial Georgia Verdana
Font Size:
Aa Aa Aa
Line Spacing:
Column Width:
Background:
Article

Multi-Objective Optimal Scheduling of Integrated Energy Systems Considering Tiered Carbon Trading and Load-Side Demand Response

College of Information Science and Engineering, Huaqiao University, Xiamen 361021, China
*
Author to whom correspondence should be addressed.
Sustainability 2026, 18(6), 3073; https://doi.org/10.3390/su18063073
Submission received: 5 February 2026 / Revised: 13 March 2026 / Accepted: 18 March 2026 / Published: 20 March 2026

Abstract

This paper proposes a multi-objective optimal scheduling model for integrated energy systems (IESs) that incorporates a tiered carbon emissions trading mechanism and load-side demand response (LDR) to promote sustainability. First, a reward–penalty-based tiered carbon cost model is embedded within the IES scheduling framework, internalizing carbon constraints and providing differentiated carbon price signals for emission reduction. Second, a refined demand response model is introduced, categorizing electrical and thermal loads to enhance flexibility in system operation. The demand response strategy allows for temporal load shifting and load reduction, optimizing the overall energy management. Third, the augmented epsilon-constraint method (AUGMECON) is employed to minimize both total operating costs and carbon emissions. Scenario-based simulations are conducted to evaluate system performance under different configurations: the integrated carbon trading and LDR model, a carbon-trading-only approach, and a baseline scenario. The results show that the proposed model achieves the best performance, reducing operating costs by 13.6% and carbon emissions by 7.0% compared to the baseline. Additionally, the combined approach improves renewable energy utilization and reduces reliance on high-carbon energy sources, demonstrating the effectiveness of integrating carbon trading and demand response strategies for low-carbon and sustainable energy system management.

1. Introduction

Driven by rapid economic growth, the prevailing fossil-fuel-based energy consumption pattern has triggered multiple crises: the depletion of traditional energy sources, worsening global climate conditions, and escalating environmental pollution [1,2]. As a result, a worldwide energy transformation has become an imperative, with energy systems progressively pivoting toward sustainable and clean-energy-dominated configurations [3,4]. Therefore, actively advancing and wisely harnessing renewable energy is essential to confronting these issues [5]. An IES enables optimal resource utilization and improves overall energy-use efficiency, thus constituting a pivotal conduit for enhancing energy efficiency and curtailing carbon emissions [6]. An IES coordinates and optimizes the operation of multiple distributed resources, including distributed generation, distributed energy storage (ES), and end-use loads. By doing so, it can enhance energy utilization efficiency, strengthen wind power accommodation capability, and facilitate sustainable and efficient energy use [7].
It is widely acknowledged that IESs facilitate the coupling and complementarity of multiple energy carriers. Consequently, they are regarded as a highly effective approach for improving energy efficiency and facilitating the integration of renewable energy sources. Luo et al. integrated a refined LDR model and a tiered carbon trading mechanism into multi-objective IES dispatch with total operating cost and renewable curtailment as objectives, and the case studies showed that curtailment can be reduced while the overall system cost is simultaneously lowered [8]. From the perspective of thermal-side flexibility, Xu et al. incorporated flow regulation of district heating networks into combined heat–electricity dispatch to exploit thermal network inertia and verified its direct effect on mitigating wind curtailment and improving wind power accommodation [9]. In addition, Chen et al. took into consideration the uncertainty surrounding wind power and the coordination of multiple energy sources. They combined short-term wind forecasting with electrolysis-based hydrogen production and introduced adjustable integrated thermoelectric demand response, thereby improving both cost and emissions [10]. However, although the above studies considered overall economic performance, the environmental impacts associated with carbon emissions were not explicitly addressed. To internalize carbon constraints into IES scheduling decisions, recent studies have begun to incorporate carbon emission trading mechanisms and include the corresponding settlement cost in the operating-cost objective. Li et al. integrated carbon trading settlement expenses into IES scheduling under a bilevel robust programming framework to handle uncertainties in carbon-related source–load conditions [11]. Nonetheless, the calculation and modeling of carbon trading costs remain overly simplified. Moreover, device-level carbon emissions are not comprehensively modeled, and the contributions of certain devices to total emissions are not fully captured. In addition, demand response is not considered in these studies, which prevents demand-side flexibility from being fully exploited.
Demand response (DR) is widely regarded as an effective means to enhance load-side flexibility and to alleviate cost increases under low-carbon constraints. Focusing on the more readily implementable price-based DR, Zhang et al. embedded a time-of-use (TOU) pricing mechanism into park-level IES scheduling [12]. Meanwhile, Li et al. further extended price-based DR to energy hubs and integrated electricity–heat response modeling, enabling peak shifting and multi-energy coupling to be explicitly represented in the optimization model [13,14]. As research has evolved from focusing on shiftable electrical loads to coordinated demand response across multiple energy carriers, Zhang and Liu’s research incorporated DR with tiered carbon trading and refined hydrogen utilization, while also accounting for response uncertainty in low-carbon economic dispatch. This approach positions DR as a critical regulatory lever influencing the balance between carbon costs and emissions [2]. In studies on uncertainty and operational risk, Yang et al. started from risk-constrained scheduling of energy hubs and introduced risk measures such as conditional value-at-risk or bilevel strategies, improving the engineering interpretability of the trade-off between economy and emissions when DR participates [15]. When the research scope is extended to coordinated operation of multiple IESs, Xiong et al. combined an energy trading mechanism with integrated demand response and emphasized the marginal contribution boundary of demand-side flexibility to system-level optimality under multi-agent coordination [16]. Ma et al. developed a bilevel framework for incentive-based integrated DR that incorporates time-varying multi-energy carbon emission factors [17].
In scheduling optimization studies, single-objective formulations are still widely adopted for model tractability and practical deployment, and efficient online solution frameworks have been developed accordingly. Targeting discrete manufacturing and robotic workshop scheduling, Luo et al. modeled the job–resource coupling process using Petri nets and achieved online optimization by combining reinforcement learning or heuristic methods to minimize indicators such as the makespan [18,19]. In IES operational optimization, Wang et al. explicitly incorporated carbon trading costs into the total economic cost and implemented unified scheduling within a single-objective framework [20]. Furthermore, with the introduction of demand response, operational decisions often need to account for both economic and environmental performance, making it necessary to model and solve the problem in a multi-objective manner. In existing studies, Chang et al. and Nasir et al. converted multiple objectives into a single objective via weighted scalarization and then solved the resulting problem [21,22]. This type of method is concise and easy to implement; however, the obtained solutions are highly sensitive to weight settings, and the compromise solutions may be unevenly distributed when the problem is non-convex or the trade-offs are complex.
The present paper proposes a multi-objective optimal modeling approach for IESs, incorporating both tiered carbon emissions trading and LDR, with a view to addressing the aforementioned challenges. The primary contributions are outlined as follows:
  • A tiered mechanism for the trading of carbon is incorporated into the IES scheduling framework. A reward–penalty-based carbon cost model is developed, accounting for emission characteristics across conversion, storage, and transmission. Its purpose is to sharpen carbon cost signals and trim carbon trading expenditures.
  • An LDR model for adjustable loads is established using a matrix of price elasticities; the inclusion of electricity–heat load conversion on the demand side enables full utilization of the synergistic regulation potential of flexible load-side resources.
  • A multi-objective IES optimization model has been formulated with the aim of minimizing total operating cost and carbon emissions. Case studies have been conducted in order to confirm the system’s capability to support sustainable and economically efficient system operation.
The following sections provide a synopsis of the content. The Section 2 provides a detailed exposition of the IES structure and mathematical modeling. The Section 3 is concerned with the construction of the multi-objective optimization model and the delineation of the solution method. The Section 4 is dedicated to the performance of case studies, accompanied by a thorough analysis of the results. The Section 5 offers a forum for discussion, and the Section 6 offers concluding remarks that bring the paper to a close.

2. System Architecture and Modeling

It is imperative to note that an IES is a sophisticated system that facilitates the harmonization of electricity, heat, and gas supply. The integration of diverse energy carriers with intelligent dispatch facilitates the attainment of a reliable and sustainable energetic provision. The structure of the IES under consideration is illustrated in Figure 1. In terms of energy input, it is connected to the external power grid for electricity and the network of natural gas pipelines for fuel. In addition to electricity supplied by the power grid, electricity is also provided by wind turbines (WTs) and photovoltaics (PVs). On the output side, the system is connected to end-users to satisfy their electricity and heating demands. Within the energy conversion sector, equipment such as combined heat and power (CHP) units, gas boilers (GBs), and P2G systems are installed. The CHP unit comprises a micro gas turbine (MT), a waste heat boiler (WHB), and an organic Rankine cycle (ORC) subsystem. The CHP system uses the MT as the core power generation unit, and the exhaust heat from power generation is cascaded via the WHB and ORC for stepwise utilization. To enable efficient energy conversion and cascaded heat recovery, the flue-gas waste heat from the MT is divided into two streams: one powers the ORC for electricity generation, and the other is directed to the WHB for direct thermal supply.

2.1. System Equipment Modeling

2.1.1. CHP Unit

CHP technology contributes to improved energy efficiency and reduced carbon emissions in industrial facilities through the capture and reuse of waste heat from power generation as process heat [23,24].
P M T , e ( t ) = η M T e · P g , M T ( t )
P M T , h ( t ) = η M T h · P g , M T ( t )
P M T , h ( t ) = P h , W H B ( t ) + P h , O R C ( t )
P O R C , e ( t ) = η O R C · P h , O R C ( t )
P W H B , h ( t ) = ( 1 η W H B ) · P h , W H B ( t )
P C H P e ( t ) = P M T , e ( t ) + P O R C , e ( t )
P C H P h ( t ) = P W H B , h ( t )
In the equation, P g , M T ( t ) is the natural gas power input to the MT at time t , while P M T , e ( t ) and P M T , h ( t ) denote its electrical and recoverable thermal outputs. The MT conversion efficiencies are η M T e for gas-to-electric and η M T h for gas-to-thermal. In the downstream process, P h , W H B ( t ) and P h , O R C ( t ) are the thermal inputs to the WHB and ORC, yielding outputs P W H B , h ( t ) and P O R C , e ( t ) . The ORC operates with efficiency η O R C , while η W H B represents the WHB heat loss coefficient. Consequently, the CHP system’s total electrical and thermal outputs are P C H P e ( t ) and P C H P h ( t ) , respectively.

2.1.2. ES, HS and GS Units

ES, heat storage (HS), and gas storage (GS) provide a flexible solution that enhances the operational adaptability of CHP systems and facilitates the incorporation of renewable energy sources. In instances where the generation of energy surpasses the demand, the surplus energy can be stored in designated storage devices. These devices facilitate the subsequent release of energy during periods of peak demand, thereby facilitating the reliable and consistent operation of the system [25,26].
S O C E S ( t ) = S O C E S ( t 1 ) + η E S c h · P E S c h ( t ) · ( t ) P E S d i s ( t ) · ( t ) η E S d i s
S O C H S ( t ) = S O C H S ( t 1 ) + η H S c h · P H S c h ( t ) · ( t ) P H S d i s ( t ) · ( t ) η H S d i s
S O C G S ( t ) = S O C G S ( t 1 ) + η G S c h · P G S c h ( t ) · ( t ) P G S d i s ( t ) · ( t ) η G S d i s
P E S ( t ) = P E S c h ( t ) P E S d i s ( t )
P H S ( t ) = P H S c h ( t ) P H S d i s ( t )
P G S ( t ) = P G S c h ( t ) P G S d i s ( t )
In the equations, S O C E S ( t ) , S O C H S ( t ) and S O C G S ( t ) represent the stored energy levels in the ES, HS and GS, respectively, at time t . Their efficiencies are defined as: η E S c h and η E S d i s for ES charging/discharging; η H S c h and η H S d i s for HS heat storage/release; and η G S c h and η G S d i s for GS input/output. The corresponding power terms are P E S ( t ) , P E S c h ( t ) and P E S d i s ( t ) for ES net, charging, and discharging power; P H S ( t ) , P H S c h ( t ) and P H S d i s ( t ) for HS net, storage, and release power; and P G S ( t ) , P G S c h ( t ) and P G S d i s ( t ) for GS net, input, and output power at time t .

2.2. Carbon Trading Model

2.2.1. Carbon Emission Allowance

The analysis of the carbon emission sources of IESs reveals three principal contributors: electricity procured from external power grids, fuel utilization in CHP units, and heat generation from GBs [2].
E q = E G r i d q + E C H P q + E G B q
E G r i d q = μ g r i d · t = 1 T P G r i d ( t )
E C H P q = μ C H P · t = 1 T ( δ P C H P e ( t ) + P C H P h ( t ) )
E G B q = μ G B · t = 1 T P G B ( t )
In the equations, E q , E G r i d q , E C H P q and E G B q denote the total carbon emission allowance and the allowances allocated to grid-purchased electricity, CHP and GB, respectively. The time-dependent variables are P G r i d ( t ) for purchased power and P G B ( t ) for GB heat output. The corresponding allowance factors are μ g r i d , μ C H P and μ G B , with δ representing the electricity-to-heat conversion coefficient.

2.2.2. Actual Carbon Emissions

The actual carbon emissions generated during IES operation are calculated based on the carbon emission factor method commonly adopted in IES studies [27].
E a = E G r i d a + E C H P a + E G B a E P 2 G a
E G r i d a = κ g r i d · t = 1 T ( P G r i d ( t ) )
E C H P a = κ C H P · t = 1 T ( δ P C H P e ( t ) + P C H P h ( t ) )
E G B a = κ G B · t = 1 T ( P G B ( t ) )
E P 2 G a = κ P 2 G · t = 1 T ( P P 2 G ( t ) )
In the equations, E a , E G r i d a , E C H P a , E G B a and E P 2 G a denote the total carbon emissions of the system and the emissions attributed to grid-purchased electricity, CHP, GB and the C O 2 absorbed by P2G, respectively. The emission coefficients are κ g r i d , κ C H P and κ G B , while κ P 2 G characterizes the C O 2 absorption during the power-to-gas process.

2.2.3. Tiered Carbon Trading Model

The tiered carbon trading mechanism divides the difference between actual carbon emissions and emission allowances into intervals, each corresponding to a different carbon trading price. When emissions exceed the allowance, the price increases according to predefined tiers, and additional carbon credits must be purchased. The reverse also applies. The transition between tiers occurs when the emission difference exceeds a specific threshold, with the price increasing accordingly [28]. The carbon trading cost is determined as follows:
C C O 2 = λ ( 1 + 3 β ) ( ( E a E q ) + 2 l ) λ ( 2 + 3 β ) l , E a E q 2 l λ ( 1 + 2 β ) ( ( E a E q ) + l ) λ ( 1 + β ) l , 2 l < E a E q l λ ( 1 + β ) ( E a E q ) , l < E a E q 0 λ ( E a E q ) , 0 < E a E q l λ 1 + τ ( E a E q ) l + λ l , l < E a E q 2 l λ 1 + 2 τ ( E a E q ) 2 l + 2 + τ λ l , 2 l < E a E q 3 l λ 1 + 3 τ ( E a E q ) 3 l + 3 + 3 τ λ l , 3 l < E a E q 4 l λ 1 + 4 τ ( E a E q ) 4 l + 4 + 6 τ λ l , 4 l < E a E q
In the equation, C C O 2 is representative of the carbon trading cost, λ is the carbon trading price, l is the emission tier interval, τ   is the price growth rate, and β is the reward coefficient.

2.3. LDR Model

LDR is an operational mechanism that guides users to adjust their electricity consumption behavior through price signals. Power systems typically employ TOU or real-time pricing to encourage users to shift electricity demand from peak-load periods to off-peak periods. Depending on how loads respond to incentive signals, demand response can be further classified into price-driven load (PDL) and substitutable flexible load (SFL).

2.3.1. PDL Model

In PDL, the categorization of electrical loads can be further refined based on their regulatory modes. Such loads are typically classified into two categories: curtailable load (CL) and shiftable load (SL) [29,30].
(1)
CL model
CL determines whether to reduce its electricity demand by comparing the price change in the same time period before and after demand response implementation.
e t , j = Q L , t Q L , t 0 ρ j ρ j 0   ρ j 0 1
In the equation, e t , j is an element of the price–demand elasticity matrix E t , j , representing the elasticity of load at time t with respect to the price at time j . Q L , t 0 and Q L , t represent the initial load and the load variation at time t , respectively. ρ j 0 and ρ j refer to the initial price and the price at time j , respectively. The curtailable load change Q C L , t at time t after LDR is:
E C L t , j = e 11 C L 0 . . . 0 0 e 22 C L . . . 0 0 0 . . . e t j C L
Q C L , t = Q C L , t 0 j = 1 T E C L t , j ρ j ρ j 0 ρ j 0
In the equation, Q C L , t represents the load variation of CL at time t ; Q C L , t 0 represents the initial curtailable load at time t ; and E C L t , j represents the price–demand elasticity matrix for CL.
(2)
SL model
Shiftable load refers to user loads that have certain flexibility in adjusting their electricity consumption time under the influence of price incentives. The system generally employs peak, flat, and valley TOU electricity prices as control signals to encourage users to redistribute their electricity demand from peak periods to lower-priced flat or valley periods. The shiftable load change Q S L , t at time t after LDR is:
E S L t , j = e 11 S L e 12 S L . . . e 1 j S L e 21 S L e 22 S L . . . e 2 j S L e t 1 S L e t 2 S L . . . e t j S L
Q S L , t = Q S L , t 0 j = 1 T E S L t , j ρ j ρ j 0 ρ j 0
In the equations, Q S L , t represents the load variation of SL at time t , Q S L , t 0 is the initial shiftable load, and E S L t , j denotes the price–demand elasticity matrix for SL.

2.3.2. SFL Model

Some thermal loads have multi-energy supply characteristics during operation, where their thermal demand can be met either through electricity conversion or directly by thermal energy. This regulatory strategy facilitates the interchangeability of electricity and thermal energy without necessitating alterations to the thermal load demand level. The present study is predicated on the aforementioned decision-making mechanism, the objective of which is to establish a mathematical model for replaceable load (RL) [12,31].
Q R L , t e = ϕ e , h Q R L , t h
ϕ e , h = v e φ e v h φ h
In the equations, Q R L , t e and Q R L , t h denote the replaceable electrical load and the corresponding substituted thermal load, respectively; ϕ e , h denotes the electricity-to-heat substitution coefficient; v e and v h denote the unit calorific values of electricity and thermal energy, respectively; and φ e and φ h denote the energy utilization efficiencies of electricity and thermal energy, respectively. For such heating loads with electricity-to-heat conversion capability, the following constraints must be satisfied during operation optimization.
Q R L , t e , m i n Q R L , t e Q R L , t e , m a x
Q R L , t h , m i n Q R L , t h Q R L , t h , m a x
In the equations, Q R L , t e , m a x and Q R L , t e , m i n are the upper and lower limits of the substitutable electrical load, respectively, and Q R L , t h , m a x and Q R L , t h , m i n are the upper and lower limits of the substitutable thermal load, respectively.

3. Multi-Objective Optimization Model of IES

3.1. Objective Function

Drawing on the analysis above, this study establishes an optimization framework for an IES that integrates demand response and tiered carbon trading within its constraint set, aiming to balance multiple objectives. To reflect the inherent conflict between cost efficiency and emission reduction, the model incorporates both operating cost and carbon emissions as competing objectives. The mathematical formulation of this trade-off is given by:

3.1.1. The Total Operating Cost of IES

min f 1 = C G r i d + C o m + C e n + C W T P V + C C O 2
In the equation, the total operating cost is denoted as f 1 . The individual cost components are defined as follows: C G r i d for electricity purchase, C o m for equipment maintenance, C e n for fuel, C C O 2 for carbon trading, and C W T P V for wind and solar curtailment.
(1)
Energy purchase cost:
C b u y = t = 1 T ( c t b u y · m a x ( 0 , P G r i d ( t ) ) )
In the equation, c t b u y denotes the electricity purchase price at time t .
(2)
Equipment maintenance cost:
C o m = t = 1 T k = 1 N C k · P k ( t )
In the equation, C k is the per-unit maintenance cost, and P k ( t ) denotes the output power of unit k at time t . The index k = 1~8 corresponds to WT, PV, CHP, GB, P2G, HS, GS and ES, respectively.
(3)
Fuel cost:
C e n = c t g a s L H V · t = 1 T ( P g , M T ( t ) + P G B ( t ) η G B η P 2 G · P P 2 G ( t ) )
In the equation, c t g a s is defined as the natural gas price at time t ; η G B and η P 2 G are the efficiencies of the GB and P2G units, respectively.
(4)
Curtailment cost of renewable energy:
C W T P V = c t w t p v · t = 1 T ( ( P W T , m a x ( t ) P W T ( t ) ) + ( P W T , m i n ( t ) P P V ( t ) ) )
In the equation, P W T , m a x ( t ) and P W T , m i n ( t ) are the forecasted upper limits of wind and PV generation at time t , while P W T ( t ) and P P V ( t ) denote the actual wind and PV power integrated into the system. Additionally, c t w t p v represents the cost per unit of energy curtailed from PV and wind at time t .
(5)
Carbon trading cost:
Equation (23) provides the calculation for the carbon trading cost.

3.1.2. Carbon Emissions

min f 2 = E a
The carbon emissions are calculated in detail according to Equation (18).

3.2. Constraints

3.2.1. Constraints for Energy Balance

P W T ( t ) + P P V ( t ) + P G r i d ( t ) + P C H P e ( t ) + P E S ( t ) = P L o a d ( t ) + Q C L , t e + Q S L , t e + Q R L , t e
P C H P h ( t ) + P G B ( t ) + P H S ( t ) = P H L o a d ( t ) + Q C L , t h + Q S L , t h + Q R L , t h
F C H P ( t ) + F G B ( t ) + F G S ( t ) = F G a s ( t ) + F P 2 G ( t )
F C H P ( t ) = P g , M T ( t ) L H V
F G B ( t ) = P G B ( t ) η G B · L H V
F P 2 G ( t ) = P P 2 G ( t ) · η P 2 G L H V
In the equations, P L o a d ( t ) and P H L o a d ( t ) denote the users’ electricity and heat loads at time t , respectively. After demand response, Q C L , t h , Q S L , t h and Q R L , t h represent the heat load variation, heat load shifting amount, and heat load substitution amount at time t , respectively. The gas terms are F C H P ( t ) for CHP consumption, F G B ( t ) for GB consumption, F G a s ( t ) for purchased natural gas, and F P 2 G ( t ) for gas absorbed by P2G. Finally, L H V is the lower heating value of natural gas on a mass basis.

3.2.2. Constraints for Equipment

(1)
Constraints for CHP
0 P g , M T ( t ) P g , M T m a x
γ M T P g , M T ( t ) P g , M T ( t 1 ) γ M T
0 P h , O R C ( t ) P h , O R C m a x
γ O R C P h , O R C ( t ) P h , O R C ( t 1 ) γ O R C
In the equations, the upper output limits for the MT and ORC are denoted as P g , M T m a x and P h , O R C m a x , respectively, while their maximum ramping rates are represented by γ M T and γ O R C .
(2)
Constraints for ES, HS and GS
S O C E S m i n S O C E S ( t ) S O C E S m a x
P E S m a x P E S ( t ) P E S m a x
S O C H S m i n S O C H S ( t ) S O C H S m a x
P H S m a x P H S ( t ) P H S m a x
S O C G S m i n S O C G S ( t ) S O C G S m a x
P G S m a x P G S ( t ) P G S m a x
P E S c h ( t ) + P E S d i s ( t ) = 1
P H S c h ( t ) + P H S d i s ( t ) = 1
P G S c h ( t ) + P G S d i s ( t ) = 1
In the equations, the maximum and minimum storage capacities are denoted as S O C E S m a x and S O C E S m i n for the ES, S O C H S m a x and S O C H S m i n for the HS, and S O C G S m a x and S O C G S m i n for the GS. The upper output limits for these units are P E S m a x , P H S m a x and P G S m a x , respectively. Moreover, the ES, HS and GS cannot charge and discharge simultaneously, and thus the constraints in (55)–(57) must also be satisfied.
(3)
GB constraints
0 P G B ( t ) P G B m a x
γ G B P G B ( t ) P G B ( t 1 ) γ G B
In the equations, P G B m a x is defined as the upper output limit of the GB, while γ G B refers to its maximum ramping rate.

3.2.3. Tie-Line Constraints

0 P G r i d ( t ) P G r i d m a x
In the equation, P G r i d m a x refers to the maximum amount of electricity that can be procured from the grid.

3.2.4. User Satisfaction of Constraints

s = 1 t = 1 T Q L , t 0 + Q C L , t + Q s L , t + Q R L , t t = 1 T Q L , t 0 s m i n
In the equation, s and s m i n represent the user’s satisfaction and the minimum satisfaction value, respectively.

3.3. Solution Algorithm

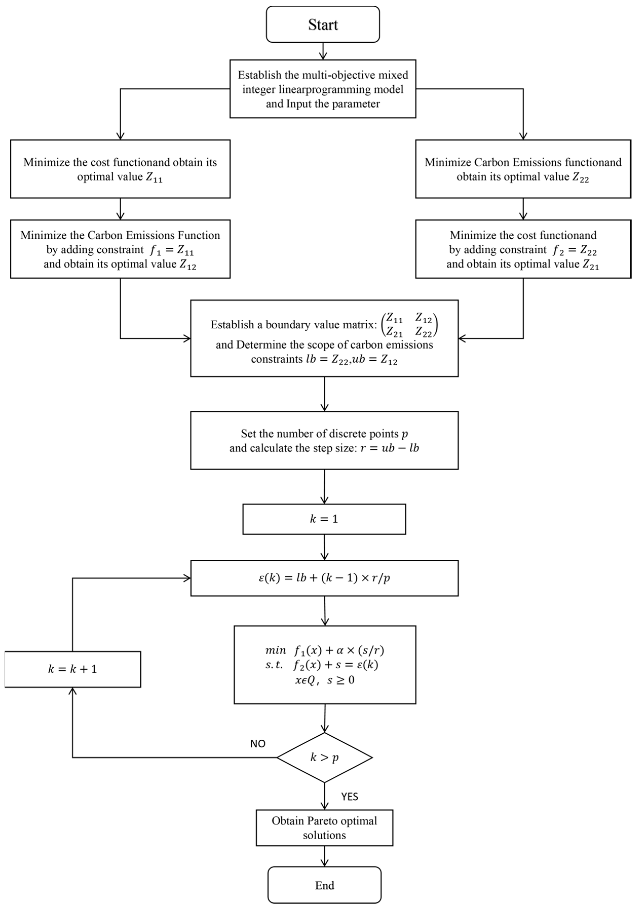
In engineering system optimization, multiple objectives often need to be considered simultaneously; however, these objectives are coupled and exhibit nonlinear relationships, making effective coordination difficult to achieve with single-objective optimization methods. Multi-objective optimization constructs a Pareto-optimal solution set, providing trade-offs between different objectives. The augmented ε -constraint method (AUGMECON) is utilized in this study to transform the multi-objective problem into a sequence of single-objective problems [32], thereby handling the dimensional disparities and opposing optimization directions of the objectives. Figure 2 illustrates the overall procedure, and the detailed steps are outlined as follows:
Step 1: Read the typical-day data, including the electricity and heat load profiles, forecasted renewable generation, equipment parameters, energy prices, and carbon-emission factors, and set the number of Pareto solutions p and the penalty coefficient α .
Step 2: Determine the objective bounds by solving two single-objective optimizations, i.e., minimizing f 1 and minimizing f 2 , to obtain the respective optima Z 11 and Z 22 ; then, fix one objective at its optimum and optimize the other to obtain Z 12 and Z 21 , construct the boundary matrix, and further determine the range of f 2 as l b , u b , where l b = Z 22 , u b = Z 12 .
Step 3: Choose f 1 as the primary objective and convert f 2 into a constraint; uniformly divide the interval l b , u b into p subintervals and generate the corresponding ε thresholds to scan the Pareto front.
Step 4: Iteratively solve the augmented ε -constraint model; for each ε threshold, formulate and solve the following augmented single-objective optimization subproblem:
m i n   f 1 ( x ) + α × ( s / r )
s . t .   f 2 ( x ) + s = ε ,   x ϵ Q ,   s 0
where s is a non-negative slack variable, r = l b u b is the range of f 2 used for normalization, and α is a very small positive penalty coefficient (typically 10 6 ) to ensure that the obtained solutions are Pareto-optimal.
Step 5: Collect the nondominated solutions obtained from the ε and update the Pareto solution set.
Step 6: If all preset ε thresholds have been traversed, the iteration terminates and the final Pareto front solution set is output; otherwise, proceed back to Step 4 for the subsequent ε .

3.4. TOPSIS Model

After obtaining the Pareto front solutions through the AUGMECON, the Technique of Order Preference by Similarity to Ideal Solution (TOPSIS) is utilized for the purpose of ranking and determining the most balanced solution. The methodology of the TOPSIS approach is outlined as follows:
1.
Standardization is applied to the decision matrix, ensuring that all objectives are comparable.
r i j = x i j i = 1 n x i j 2
2.
Given known criterion weights w j , the weighted normalized values are calculated.
v i j = w j · r i j
3.
From each column, the minimum value contributes to the ideal solution V + , and the maximum value contributes to the negative-ideal solution V .
V + = m a x v i 1 , m a x v i 2 , , m a x v i n
V = m i n r i 1 , m i n r i 2 , , m i n r i n
4.
Measurement of the Euclidean distances between each solution and the ideal/negative-ideal points is performed.
D i + = j = 1 m v i j v j + 2
D i = j = 1 m v i j v j 2
5.
Calculation of the closeness coefficient C i enables assessment of each solution’s relative proximity to the ideal one.
C i = D i D i + + D i
Through the aforementioned steps, the TOPSIS method effectively identifies the most optimal trade-off solution from the set of Pareto-optimal solutions, providing a robust basis for decision-making.

4. Experimental Analysis

4.1. Parameter Settings

Figure 3 presents the electricity and heat load profiles alongside the forecasted maximum output curves for wind and PV generation on a typical day in a southeastern coastal area. Figure 4 presents the TOU tariffs applied to electricity procurement from the grid and heat extraction from the gas network. Figure 5 displays the initial and TOU tariffs applied to energy sales from the IES to end-users, with and without the implementation of LDR. Parameters for energy conversion and storage equipment are given in Table 1 and Table 2, respectively, while parameters of carbon trading and operational cost are outlined in Table 3. Among the total load, CL, SL, RL, and UL account for 20%, 20%, 10%, and 50%, respectively. The demand elasticity matrix adopted in this study is based on the values provided in Ref. [33], which offers elasticity coefficients for different time periods. The CPLEX solves the optimization model under a MIP gap tolerance of 10−6. The simulation is conducted over a 24 h scheduling horizon with a time step of 1 h.

4.2. Simulation Results Analysis

4.2.1. Pareto-Optimal Solutions

Figure 6 shows that a continuous Pareto front is produced when the proposed multi-objective optimization model is solved using AUGMECON implemented in MATLAB R2018a. This front covers a range of feasible IES operating schemes, spanning from low-cost to low-carbon solutions under the dual objectives.
As shown in Figure 5, there is a strong inverse relationship between operating costs and carbon emissions, indicating a trade-off between financial and sustainability goals. Prioritizing the minimization of operating cost results in an optimal solution with an operating cost of approximately 3765.50 ¥, but carbon emissions reach 5232.67 kg. Conversely, minimizing carbon emissions results in emissions of 5082.46 kg, with the operating cost increasing to 5100.77 ¥. Although the optimization process reveals this trade-off, the differences in carbon emissions across the solutions remain relatively small. This phenomenon originates from operational limitations, including equipment output ceilings, storage capacity constraints, and the inherent intermittency of renewable sources. Given these constraints, carbon emissions are already near their minimum feasible level, and further reductions would significantly increase operating costs.
The TOPSIS method is adopted for decision analysis to extract representative operating schemes from the Pareto-optimal solution set. Assuming equal weights for both objectives, the closeness coefficients of each scheme are calculated and ranked, with the top five schemes listed in Table 4.

4.2.2. Analysis of Scheduling Results

To quantify the contribution of the proposed LDR model and carbon trading mechanism to IES operation, four comparative scenarios are set up for analysis. For each scenario, the corresponding Pareto front solution set is obtained by optimization, and TOPSIS is used to select a representative compromise operating scheme.
Scenario 1: The IES optimal scheduling adopts a uniform carbon-emission cost model, without considering LDR.
Scenario 2: The IES optimal scheduling adopts a uniform carbon-emission cost model while considering LDR.
Scenario 3: The IES optimal scheduling adopts a reward–penalty-based tiered carbon-emission cost model, without considering LDR.
Scenario 4: The IES optimal scheduling adopts a reward–penalty-based tiered carbon-emission cost model while considering LDR.
Table 5 presents the simulation results. both mechanisms contribute to lower operating costs and carbon emissions. Specifically, the integration of demand response under a uniform carbon-price framework leads to a noticeable reduction in both metrics. Compared to the baseline scenario, implementing LDR reshapes load patterns by encouraging the use of energy during periods of cheaper and lower-emission prices. This adjustment reduces reliance on carbon-intensive power generation, resulting in a 7.8% decrease in operating costs and a 5.6% reduction in emissions. In contrast, when only the tiered carbon trading mechanism is adopted, the system proactively adjusts its energy structure under carbon-emission constraints, leading to an operating-cost reduction of about 5.2% and an emission reduction of about 2.5%, while its improvement in load-side flexibility remains relatively limited. In the synergistic scenario, operating costs fall by 13.6% and carbon emissions by 7.0% compared to the baseline. These reductions surpass those achieved under either mechanism alone, validating the scheduling-level complementarity between the two approaches.
Figure 7 presents the electrical and thermal load profiles before and after incorporating LDR, along with the corresponding variations in each load category. Examination of these load profiles confirms that the integrated demand response scheme substantially optimizes the load pattern. During peak electricity pricing (09:00–11:00 and 19:00–22:00), flexible electrical loads are rescheduled to off-peak hours (00:00–06:00 and 12:00–18:00); likewise, thermal loads avoid high heat-price periods (11:00–14:00 and 20:00–22:00) by shifting to lower-cost time slots (08:00–10:00, 15:00–20:00, and 23:00–24:00). Meanwhile, the system reduces electrical loads during costly electricity intervals (09:00–11:00 and 19:00–22:00); thermal loads are likewise cut back during peak heat pricing (11:00–14:00). Further analysis incorporating the electricity–heat coupling effect indicates that RL primarily provides regulation during periods when the electricity and heat prices differ markedly. During night-time periods with low electricity prices but relatively high heat prices (00:00–06:00), the system tends to satisfy part of the thermal demand via power-to-heat (P2H), and RL takes positive values.
The electricity and heat balance for Scenario 4 during a representative day is illustrated in Figure 8. As observed, the system maintains supply–demand stability under varying load conditions and price signals through the coordinated use of energy storage and multi-energy complementarity. In off-peak hours (01:00–06:00 and 22:00–24:00), the system relies mainly on CHP, wind, and PV to cover electricity demand. Excess electricity is then directed to battery charging or P2G conversion, enabling temporal energy shifting. As electricity demand gradually rises between 13:00 and 21:00, the system’s operational strategy adjusts accordingly, with energy storage discharging and external electricity purchases jointly undertaking the peak shaving task, ensuring continuity of power supply. The thermal system exhibits a clear synergistic feature with the electricity side, with heating demand primarily met by the CHP waste heat and GB, while during periods of sufficient thermal output (08:00–11:00), excess heat is absorbed by the thermal storage device. During the early and late heat load rise phases (01:00–04:00 and 18:00–22:00), stored heat is released to compensate for insufficient conventional thermal output, demonstrating the thermal side’s capacity for peak shaving and valley filling.
Figure 9, Figure 10 and Figure 11 depict the electricity and heat balance for Scenarios 1, 2, and 3, respectively, during a typical day, providing a comparative view of power matching across the three scenarios. As can be observed from the figures, Scenarios 1–3 rely predominantly on CHP units and grid electricity for load satisfaction, while wind and PV power contribute only to a limited extent. Consequently, a larger amount of electricity needs to be supplied by fossil-fuel-based units or purchased from the grid, which leads to higher operating costs and increased carbon emissions. In contrast, Scenario 4 achieves higher renewable energy utilization and more effective coordination among different energy supply units. The energy storage system contributes to system flexibility by capturing excess renewable energy when demand is low and releasing it at peak times. This charge–discharge cycle boosts renewable utilization and minimizes energy waste. In addition, the heat supply structure becomes more balanced through better coordination between CHP units and heat storage devices, which improves the overall energy utilization efficiency.
Figure 12 shows the comparison of renewable energy absorption between Scenario 3 and Scenario 4 during the scheduling period, providing a more intuitive explanation of the differences in operating costs and carbon emissions between the two scenarios. In Scenario 4, renewable energy curtailment mainly occurs at 02:00 and 05:00, with a relatively limited magnitude, while in Scenario 3, curtailment is concentrated at 04:00 and shows a more pronounced decline. From the perspective of system operation, Scenario 4 achieves a closer alignment between energy demand and high-renewable periods through a flattened load curve resulting from LDR. In contrast, in Scenario 3, the load remains rigid, and when renewable energy generation does not match the load level, the system can only maintain balance by curtailing electricity or increasing conventional energy dispatch.

4.2.3. The Impact of Demand Response from Different Load Types and Forms on IES Operation

In the previous analysis, all loads were assumed to have fixed LDR participation rates. However, in practice, user behavior regarding electricity and heat consumption differs, leading to variable effects on IES operation. Three scenarios are established below to examine this influence:
Scenario 5: Demand response is executed by PDL.
Scenario 6: Demand response is executed solely by SFL.
Scenario 7: Demand response is executed jointly by PDL and SFL.
As can be seen in Table 6, the improvement in system performance is relatively limited when a load of only one type engages in demand response. When only price-driven loads participate in demand response, the system mainly adjusts the timing of electricity consumption through load curtailment and load shifting, thereby reducing peak demand and lowering electricity purchase costs to a certain extent. Energy substitution between electricity and heat is realized when only substitutable flexible loads are engaged in LDR. This allows portions of the thermal load to be supplied by different energy sources in response to variations in electricity and heat prices. However, due to the absence of temporal load-shifting capability, the smoothing effect on the overall load profile remains limited. When both load categories are engaged in demand response concurrently, the system gains operational flexibility by leveraging temporal load shifting alongside electricity–heat substitution, leading to improved alignment between energy supply and demand.
To further examine the influence of electricity and heat LDR on IES, three additional scenarios are designed as follows:
Scenario 8: LDR is only applied to the electricity load.
Scenario 9: LDR is only applied to the heat load.
Scenario 10: LDR is applied jointly to both electricity and heat loads.
As shown in Table 7, when demand response is applied to only a single type of load, the improvement in system performance remains limited. When demand response is applied only to electrical loads, the system can adjust electricity consumption timing to achieve a certain level of load shifting. However, since thermal loads remain relatively rigid, the overall regulation capability of the IES is constrained. By restricting demand response to thermal loads, additional operational flexibility is gained on the heating side. This enables improved coordination between CHP and GB units during heat supply, leading to modest reductions in both operating costs and carbon emissions. The optimization potential of the system remains constrained without the participation of electrical loads in LDR, whereas engaging both loads simultaneously unlocks the coupling characteristics between electricity and heat, allowing for coordinated scheduling of energy usage timing and conversion pathways.

5. Discussion

The findings of this research confirm that integrating LDR with tiered carbon trading mechanisms markedly boosts IES performance. The observed synergy between these two strategies underscores their collective contribution to sustaining IES operations. Specifically, the LDR smooths the load curve, reducing dependence on expensive, high-carbon peak power generation and lowering system operating costs. It also allows renewable energy to be absorbed during peak demand periods. The tiered carbon trading mechanism further reduces carbon emissions by imposing higher carbon prices during periods of high carbon usage. This creates economic incentives for energy conversion units to switch to low-carbon energy sources. The complementary effect of these two mechanisms is evident: LDR actively reduces load demand during high-carbon periods, while the carbon pricing mechanism drives a cleaner energy structure from the supply side. This interaction creates a positive feedback loop, strengthening the dual optimization effect on both cost and emissions.
This result is consistent with previous studies on IES optimization. For example, the study by Wang [34], which applied a regional IES model incorporating multi-load demand response, demonstrated a reduction in both operating costs and carbon emissions through the synergistic effect of comprehensive demand response and carbon trading mechanisms. Ma [35] emphasized the importance of demand-side flexibility in economic and environmental performance, showing that the introduction of demand response has a positive impact on IESs. Unlike these single-objective or simplified models, this study integrates demand response with tiered carbon trading mechanisms into a multi-objective optimization framework, providing a more comprehensive strategy for balancing economic and low-carbon goals, further promoting optimization in the actual operation of IESs.

6. Conclusions

This study contributes to the development of a low-carbon economy and the adoption of clean energy in multi-energy systems by establishing a multi-objective optimization model for IESs, based on the preceding analysis and findings. This model integrates a tiered carbon emission trading mechanism and DR strategy, aiming to balance energy efficiency, cost reduction, and carbon emission control, thereby contributing to the sustainable operation of IESs. The study draws the following main conclusions:
(1)
Integrating a carbon emission trading mechanism into IES optimization scheduling yields a 7.0% decrease in emissions and a 13.6% cut in associated costs over baseline scenarios; meanwhile, the adoption of a tiered carbon pricing model with reward–punishment features further improves economic operational efficiency while lowering carbon trading expenses.
(2)
The proposed LDR strategy optimizes the flexibility of different load types, improving load consumption patterns. The effectiveness of LDR in enhancing IES performance is evidenced by simulation results: compared to the baseline, it achieves a 6.8% cost saving and a 5.2% emission reduction, underscoring its dual benefits for economic and environmental goals.
(3)
The established multi-objective optimization model aims to minimize operating and carbon trading costs, thereby balancing economic performance with low-carbon objectives. The proposed model’s practical applicability in IES operations is validated by simulation results achieving a 6.8% cost reduction and 5.2% lower carbon emissions compared to conventional models.
The incorporation of source-load uncertainty factors will be prioritized in future work, with daily scheduling models and real-time dynamic adjustments serving as crucial means to enhance IES operational resilience. Future research will focus on exploring more refined load response strategies and applying the model to larger and more complex systems, with the aim of further deepening the understanding of optimizing energy systems in a low-carbon context and providing significant insights for the sustainable energy management of future power grids.

Author Contributions

Conceptualization, S.L. and Y.L.; methodology, S.L. and Y.L.; software, S.L.; validation, S.L. and X.G.; formal analysis, S.L.; investigation, S.L.; resources, Y.X.; data curation, X.G.; writing—original draft preparation, S.L.; writing—review and editing, Y.L. and S.L.; visualization, S.L. and B.L.; supervision, Y.X. and B.L.; project administration, Y.X. and B.L.; funding acquisition, Y.X. and B.L. All authors have read and agreed to the published version of the manuscript.

Funding

This research was funded by the External Cooperation Program of Science and Technology Planning of Fujian Province (Grant No. 2022I0015).

Institutional Review Board Statement

Not applicable.

Informed Consent Statement

Not applicable.

Data Availability Statement

The research data underlying these findings may be accessed by contacting yyxu@hqu.edu.cn with a reasonable request.

Conflicts of Interest

The authors declare no conflicts of interest.

Abbreviations

The following abbreviations are used in this manuscript:
IESsIntegrated Energy Systems
LDRLoad-Side Demand Response
DRDemand Response
CHPCombined Heat and Power
ESEnergy Storage
GBsGas Boilers
P2GPower-to-Gas
MTMicro Gas Turbine
WHBWaste Heat Boiler
ORCOrganic Rankine Cycle
HSHeat Storage
GSGas Storage
WTsWind Turbines
PVsPhotovoltaics
CLCurtailable Load
SLShiftable Load
PDLPrice-Driven Load
SFLSubstitutable Flexible Load
RLReplaceable Load
ULUncontrollable Load
AUGMECONAugmented ε-Constraint Method
TOPSISTechnique for Order Preference by Similarity to an Ideal Solution
P2HPower-to-Heat
TOUTime-of-use

References

  1. Raza, S.; Ghasali, E.; Raza, M.; Chen, C.; Li, B.; Orooji, Y.; Lin, H.; Karaman, C.; Maleh, H.K.; Erk, N. Advances in technology and utilization of natural resources for achieving carbon neutrality and a sustainable solution to neutral environment. Environ. Res. 2023, 220, 115135. [Google Scholar] [CrossRef]
  2. Xu, Y.; Yang, G.; Luo, J.; He, J.; Sun, H. A multi-location short-term wind speed prediction model based on spatiotemporal joint learning. Renew. Energy 2022, 183, 148–159. [Google Scholar] [CrossRef]
  3. Zhang, J.; Liu, Z. Low carbon economic scheduling model for a park integrated energy system considering integrated demand response, ladder-type carbon trading and fine utilization of hydrogen. Energy 2024, 290, 130311. [Google Scholar] [CrossRef]
  4. Xu, Y.; Yang, G. A Short-Term Wind Speed Forecasting Hybrid Model Based on Empirical Mode Decomposition and Multiple Kernel Learning. Complexity 2020, 2020, 8811407. [Google Scholar] [CrossRef]
  5. Xu, Y.; Lin, Y.; Li, S.; Gao, X. Prediction Model of Offshore Wind Power Based on Multi-Level Attention Mechanism and Multi-Source Data Fusion. Electronics 2025, 14, 3183. [Google Scholar] [CrossRef]
  6. Huan, J.; Ding, Q.; Yu, T.; Cheng, Y. Multi-stage low-carbon planning of an integrated energy system considering demand response. Front. Energy Res. 2023, 11, 1259067. [Google Scholar] [CrossRef]
  7. Pan, C.; Jin, T.; Li, N.; Wang, G.; Hou, X.; Gu, Y. Multi-objective and two-stage optimization study of integrated energy systems considering P2G and integrated demand responses. Energy 2023, 270, 126846. [Google Scholar] [CrossRef]
  8. Luo, Y.; Hao, H.; Yang, D.; Zhou, B. Multi-Objective Optimization of Integrated Energy Systems Considering Ladder-Type Carbon Emission Trading and Refined Load Demand Response. J. Mod. Power Syst. Clean Energy 2024, 12, 828–839. [Google Scholar] [CrossRef]
  9. Xu, F.; Hao, L.; Chen, L.; Chen, Q.; Wei, M.; Min, Y. Integrated heat and power optimal dispatch method considering the district heating networks flow rate regulation for wind power accommodation. Energy 2023, 263, 125656. [Google Scholar] [CrossRef]
  10. Chen, H.; Wu, H.; Kan, T.; Zhang, J.; Li, H. Low-carbon economic dispatch of integrated energy system containing electric hydrogen production based on VMD-GRU short-term wind power prediction. Int. J. Electr. Power Energy Syst. 2023, 154, 109420. [Google Scholar] [CrossRef]
  11. Li, N.; Zheng, B.; Wang, G.; Liu, W.; Guo, D.; Zou, L.; Pan, C. Two-Stage Robust Optimization of Integrated Energy Systems Considering Uncertainty in Carbon Source Load. Processes 2024, 12, 1921. [Google Scholar] [CrossRef]
  12. Zhang, Y.; Liu, Z.; Wu, Y.; Li, L. Research on Optimal Operation of Regional Integrated Energy Systems in View of Demand Response and Improved Carbon Trading. Appl. Sci. 2023, 13, 6561. [Google Scholar] [CrossRef]
  13. Li, H.; Li, X.; Chen, S.; Li, S.; Kang, Y.; Ma, X. Low-Carbon Optimal Scheduling of Integrated Energy System Considering Multiple Uncertainties and Electricity–Heat Integrated Demand Response. Energies 2024, 17, 245. [Google Scholar] [CrossRef]
  14. Li, G. Revolutionizing energy management: A two-step optimal day-ahead scheduling approach for advanced distribution systems with enhanced transactional efficiency. Comput. Electr. Eng. 2024, 117, 109291. [Google Scholar] [CrossRef]
  15. Yang, C.; Wu, Z.; Li, X.; Fars, A. Risk-constrained stochastic scheduling for energy hub: Integrating renewables, demand response, and electric vehicles. Energy 2024, 288, 129680. [Google Scholar] [CrossRef]
  16. Xiong, Z.; Zhang, D.; Wang, Y. Optimal operation of integrated energy systems considering energy trading and integrated demand response. Energy Rep. 2024, 11, 3307–3316. [Google Scholar] [CrossRef]
  17. Ma, S.; Liu, H.; Wang, N.; Huang, L.; Su, J.; Zhao, T. Incentive-based integrated demand response with multi-energy time-varying carbon emission factors. Appl. Energy 2024, 359, 122763. [Google Scholar] [CrossRef]
  18. Yi, S.; Luo, J. Deep reinforcement learning driven by heuristics with Petri nets for enhancing real-time scheduling in robotic job shops. Robot. Comput. Integr. Manuf. 2026, 97, 103097. [Google Scholar] [CrossRef]
  19. Luo, J.; Yi, S.; Lin, Z.; Zhang, H.; Zhou, J. Petri-net-based deep reinforcement learning for real-time scheduling of automated manufacturing systems. J. Manuf. Syst. 2024, 74, 995–1008. [Google Scholar] [CrossRef]
  20. Wang, R.; Wen, X.; Wang, X.; Fu, Y.; Zhang, Y. Low carbon optimal operation of integrated energy system based on carbon capture technology, LCA carbon emissions and ladder-type carbon trading. Appl. Energy 2022, 311, 118664. [Google Scholar] [CrossRef]
  21. Chang, P.; Li, C.; Zhu, Q.; Zhu, T.; Shi, J. Optimal scheduling of electricity and hydrogen integrated energy system considering multiple uncertainties. iScience 2024, 27, 109654. [Google Scholar] [CrossRef]
  22. Nasir, M.; Rezaee Jordehi, A.; Tostado-Véliz, M.; Mansouri, S.A.; Sanseverino, E.R.; Marzband, M. Two-stage stochastic-based scheduling of multi-energy microgrids with electric and hydrogen vehicles charging stations, considering transactions through pool market and bilateral contracts. Int. J. Hydrogen Energy 2023, 48, 23459–23497. [Google Scholar] [CrossRef]
  23. Guo, W.; Wang, Q.; Liu, H.; Desire, W.A. Multi-energy collaborative optimization of park integrated energy system considering carbon emission and demand response. Energy Rep. 2023, 9, 3683–3694. [Google Scholar] [CrossRef]
  24. Dong, J.; Nie, S.; Huang, H.; Yang, P.; Fu, A.; Lin, J. Research on Economic Operation Strategy of CHP Microgrid Considering Renewable Energy Sources and Integrated Energy Demand Response. Sustainability 2019, 11, 4825. [Google Scholar] [CrossRef]
  25. Zhang, W.; Shi, J.; Wang, J.; Jiang, Y. Dynamic economic dispatch of integrated energy system based on generative adversarial imitation learning. Energy Rep. 2024, 11, 5733–5743. [Google Scholar] [CrossRef]
  26. Yuan, J.; Wu, J.; Gao, Y.; Fu, Y.; Bu, Y.; Chen, T.; Yu, H. An Electricity-Carbon Synergy-Driven Optimization Method for Low-Carbon Operation of Multi-Energy Parks. Energy Eng. 2026, 123, 2. [Google Scholar] [CrossRef]
  27. Li, F.; Wang, D.; Guo, H.; Zhang, J. Distributionally Robust Optimization for integrated energy system accounting for refinement utilization of hydrogen and ladder-type carbon trading mechanism. Appl. Energy 2024, 367, 123391. [Google Scholar] [CrossRef]
  28. Huang, L.; Zhong, F.; Lai, C.S.; Zhong, B.; Xiao, Q.; Hsu, W. A Ladder-Type Carbon Trading-Based Low-Carbon Economic Dispatch Model for Integrated Energy Systems with Flexible Load and Hybrid Energy Storage Optimization. Energies 2025, 18, 3679. [Google Scholar] [CrossRef]
  29. Dai, X. Low-carbon optimal dispatch of integrated energy systems taking into account the ladder-type carbon trading mechanism and electricity-heat demand response. Electric. Eng. 2024. [Google Scholar] [CrossRef]
  30. Gao, L.; Yang, S.; Chen, N.; Gao, J. Integrated Energy System Dispatch Considering Carbon Trading Mechanisms and Refined Demand Response for Electricity, Heat, and Gas. Energies 2024, 17, 4705. [Google Scholar] [CrossRef]
  31. Pang, J.; Wang, S.; Chen, H.; Jia, X.; Guo, Y.; Cheng, L.; Zhang, X.; Li, J. Optimal Allocation of Multiple Energy Storage Capacity in Industrial Park Considering Demand Response and Laddered Carbon Trading. Energy Eng. 2025, 123, 1. [Google Scholar] [CrossRef]
  32. Yang, X.; Leng, Z.; Xu, S.; Yang, C.; Yang, L.; Liu, K.; Song, Y.; Zhang, L. Multi-objective optimal scheduling for CCHP microgrids considering peak-load reduction by augmented ε-constraint method. Renew. Energy 2021, 172, 408–423. [Google Scholar] [CrossRef]
  33. Liu, H.; Chen, J.; Zhu, X.; Liu, S.; Deng, K. An incentive strategy of residential peak-valley price based on price elasticity matrix of demand. Power Syst. Prot. Control. 2021, V49, 116–123. [Google Scholar]
  34. Wang, Q.; Zhou, Y.; Li, N.; Jiao, Y.; Dong, J.; Wei, X. Optimal scheduling of regional integrated energy systems considering multi-loads demand response. Electr. Power Syst. Res. 2025, 253, 112569. [Google Scholar] [CrossRef]
  35. Gao, C.; Lin, J.; Zeng, J.; Han, F. Wind-photovoltaic co-generation prediction and energy scheduling of low-carbon complex regional integrated energy system with hydrogen industry chain based on copula-MILP. Appl. Energy 2022, 328, 120205. [Google Scholar] [CrossRef]
Figure 1. Structure of the IES under consideration.
Figure 1. Structure of the IES under consideration.
Sustainability 18 03073 g001
Figure 2. Flow chart of AUGMECON.
Figure 2. Flow chart of AUGMECON.
Sustainability 18 03073 g002
Figure 3. Electric and heating load forecasts with maximum WT and PV power outputs.
Figure 3. Electric and heating load forecasts with maximum WT and PV power outputs.
Sustainability 18 03073 g003
Figure 4. TOU electricity tariffs from the power grid.
Figure 4. TOU electricity tariffs from the power grid.
Sustainability 18 03073 g004
Figure 5. Initial price and TOU price for purchasing energy.
Figure 5. Initial price and TOU price for purchasing energy.
Sustainability 18 03073 g005
Figure 6. Pareto frontier solution set.
Figure 6. Pareto frontier solution set.
Sustainability 18 03073 g006
Figure 7. Changes in load before and after demand response. (a) changes in electric load before and after demand response; (b) changes in heat load before and after demand response.
Figure 7. Changes in load before and after demand response. (a) changes in electric load before and after demand response; (b) changes in heat load before and after demand response.
Sustainability 18 03073 g007
Figure 8. Electricity and heat load matching in Scenario 4 (a) electricity load matching in Scenario 4; (b) heat load matching in Scenario 4.
Figure 8. Electricity and heat load matching in Scenario 4 (a) electricity load matching in Scenario 4; (b) heat load matching in Scenario 4.
Sustainability 18 03073 g008aSustainability 18 03073 g008b
Figure 9. Electricity and heat load matching in Scenario 1. (a) electricity load matching in Scenario 1; (b) heat load matching in Scenario 1.
Figure 9. Electricity and heat load matching in Scenario 1. (a) electricity load matching in Scenario 1; (b) heat load matching in Scenario 1.
Sustainability 18 03073 g009aSustainability 18 03073 g009b
Figure 10. Electricity and heat load matching in Scenario 2. (a) electricity load matching in Scenario 2; (b) heat load matching in Scenario 2.
Figure 10. Electricity and heat load matching in Scenario 2. (a) electricity load matching in Scenario 2; (b) heat load matching in Scenario 2.
Sustainability 18 03073 g010
Figure 11. Electricity and heat load matching in Scenario 3. (a) electricity load matching in Scenario 3; (b) heat load matching in Scenario 3.
Figure 11. Electricity and heat load matching in Scenario 3. (a) electricity load matching in Scenario 3; (b) heat load matching in Scenario 3.
Sustainability 18 03073 g011
Figure 12. Comparison of new energy consumption between Scenario 3 and Scenario 4.
Figure 12. Comparison of new energy consumption between Scenario 3 and Scenario 4.
Sustainability 18 03073 g012
Table 1. Parameters of energy conversion devices.
Table 1. Parameters of energy conversion devices.
EquipmentPower Operating Range (kW)Energy Conversion EfficacyRamp Limit (%)
MT[0, 1000]Electric: 0.22
Heat: 0.72
10
ORC[0, 600] 0.8 10
WHB 0.05
GB[0, 1000]0.8210
P2G[0, 500]0.610
Table 2. Parameters of energy storage devices.
Table 2. Parameters of energy storage devices.
EquipmentCapacity Operating Range (kWh)Charging and Discharging EfficacyRamp Limit (%)
ES[100, 500]0.9520
HS[100, 450]0.9520
GS[50, 300]0.9520
Table 3. Parameters of carbon trading and operational cost.
Table 3. Parameters of carbon trading and operational cost.
ParameterValueParameterValue
μ g r i d 0.728 kg/kWh κ g r i d 1.05 kg/kWh
μ C H P 0.102 kg/kWh κ C H P 0.35 kg/kWh
μ G B 0.102 kg/kWh κ G B 0.35 kg/kWh
δ 1.67 κ P 2 G 0.69 kg/kWh
λ 0.25 ¥/kg l 1000 kg
β 0.05 ¥/kg τ 0.1 ¥/kg
C W T 0.002 ¥/kW C C H P 0.02 ¥/kW
C P V 0.002 ¥/kW C E S 0.005 ¥/kW
C G B 0.02 ¥/kW C H S 0.005 ¥/kW
C P 2 G 0.01 ¥/kW C W T P V 0.2 ¥/kW
C G S 0.005 ¥/kW
Table 4. The top five solutions in the Pareto set were selected using the TOPSIS process.
Table 4. The top five solutions in the Pareto set were selected using the TOPSIS process.
Solution f 1 (¥) f 2 (kg)Proximity Index
14117.255159.090.6295
24095.715162.160.6284
34143.655156.030.6283
44170.055152.960.6267
54077.705165.230.6259
Table 5. Simulation results of the four scenarios.
Table 5. Simulation results of the four scenarios.
Scenario f 1 (¥) C o m (¥) C G r i d (¥) C e n (¥) C W T P V (¥) C C O 2 (¥) f 2 (kg)
14767.47668.27131.751067.88125.902773.675547.34
24395.80628.28105.061002.7442.592617.135234.26
34520.89671.39232.381059.0443.002515.095407.83
44117.25629.70136.86996.920.372353.415159.09
Table 6. The influence of LDR on IES performance across various load types.
Table 6. The influence of LDR on IES performance across various load types.
Scenario f 1 (¥) f 2 (kg) C C O 2 (¥)
54414.605409.642516.27
64487.025494.372571.34
74117.255159.092353.41
Table 7. The effect of LDR on IES performance across varying load conditions.
Table 7. The effect of LDR on IES performance across varying load conditions.
Scenario f 1 (¥) f 2 (kg) C C O 2 (¥)
84767.475547.342773.67
94140.075268.292424.39
104110.725159.872353.91
Disclaimer/Publisher’s Note: The statements, opinions and data contained in all publications are solely those of the individual author(s) and contributor(s) and not of MDPI and/or the editor(s). MDPI and/or the editor(s) disclaim responsibility for any injury to people or property resulting from any ideas, methods, instructions or products referred to in the content.

Share and Cite

MDPI and ACS Style

Li, S.; Lin, Y.; Gao, X.; Lin, B.; Xu, Y. Multi-Objective Optimal Scheduling of Integrated Energy Systems Considering Tiered Carbon Trading and Load-Side Demand Response. Sustainability 2026, 18, 3073. https://doi.org/10.3390/su18063073

AMA Style

Li S, Lin Y, Gao X, Lin B, Xu Y. Multi-Objective Optimal Scheduling of Integrated Energy Systems Considering Tiered Carbon Trading and Load-Side Demand Response. Sustainability. 2026; 18(6):3073. https://doi.org/10.3390/su18063073

Chicago/Turabian Style

Li, Shuhao, Yixin Lin, Xiutao Gao, Baoqing Lin, and Yuanyuan Xu. 2026. "Multi-Objective Optimal Scheduling of Integrated Energy Systems Considering Tiered Carbon Trading and Load-Side Demand Response" Sustainability 18, no. 6: 3073. https://doi.org/10.3390/su18063073

APA Style

Li, S., Lin, Y., Gao, X., Lin, B., & Xu, Y. (2026). Multi-Objective Optimal Scheduling of Integrated Energy Systems Considering Tiered Carbon Trading and Load-Side Demand Response. Sustainability, 18(6), 3073. https://doi.org/10.3390/su18063073

Note that from the first issue of 2016, this journal uses article numbers instead of page numbers. See further details here.

Article Metrics

Back to TopTop