Insights into the Combustion and Emission Characteristics of the Diesel Engine in the Cold Start Stage
Abstract
1. Introduction
2. Materials and Methods
2.1. Experimental Apparatus
2.2. Experimental Method
2.3. Key Parameters
3. Simulation Model Establishment and Verification
4. Results and Discussion
4.1. Effects of Injection Timing on Cold Start Performance
4.2. Effects of CR on Cold Start Performance
4.3. Influence of Different Injection Timing and CR on Cold Start Emission
4.3.1. HC Emission
4.3.2. NOX Emission
4.4. Effects of High-Altitude and Low-Temperature Environments on Cold Start Emission
5. Conclusions
- Proper injection timing advance helps fuel and air mix more fully, thereby improving combustion efficiency. Delayed injection timing reduces NOX emissions but increases HC emissions.
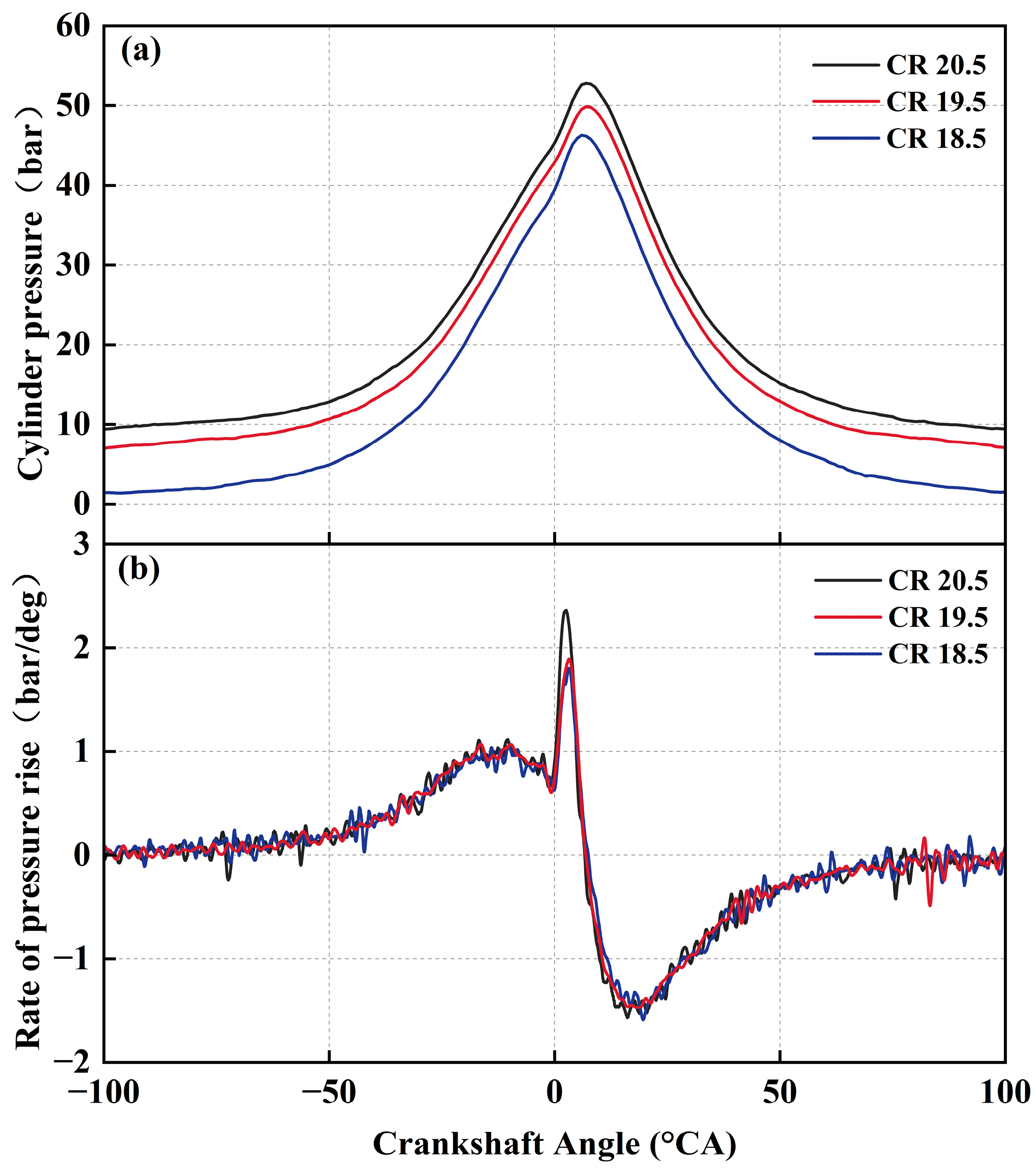
- Increasing the CR can effectively increase the cylinder pressure and cylinder temperature, shorten the combustion duration, and improve the energy release efficiency. However, increasing CR from 18.5 to 20.5 raised peak instantaneous NOX emissions by approximately 27.7%. Conversely, higher CR contributes to a reduction in HC emissions.
- The orthogonal experiment showed that during the starting stage of the diesel engine, the HC concentration reaches a peak instantaneously and then decreases and stabilizes: The advanced injection timing will increase HC emissions due to insufficient mixture; increasing the CR can raise the combustion temperature and cylinder pressure, but improper injection timing still increases HC. During the cold start, the NOX concentration surges sharply; advancing the injection timing or increasing the CR will raise the cylinder temperature, promoting the formation of NOX.
- At high-altitude and low-temperature conditions, as the altitude increases, the air density in the cylinder decreases, and the fuel and air mix is incomplete, resulting in increased HC emissions. At 0 m above sea level, the HC concentration after engine stabilization was 303.9 ppm. At 4000 m, the HC concentration rose to 388.7 ppm, an increase of 27.9%. However, when the altitude was raised to 5000 m, the HC concentration dropped to 366.7 ppm due to less air supply. NOX emissions decreased by 80.9% from 0 m to 5000 m above sea level, mainly due to reduced oxygen limiting the production of nitrogen oxides. In contrast, ambient temperature had a smaller impact on emissions.
Author Contributions
Funding
Institutional Review Board Statement
Informed Consent Statement
Data Availability Statement
Conflicts of Interest
Abbreviations
| BSFC | Brake Specific Fuel Consumption |
| CO | Carbon Monoxide |
| CR | Compression Ratio |
| DOC | Diesel Oxidation Catalysts |
| ECU | Electronic Control Unit |
| EGR | Exhaust Gas Recirculation |
| EHC | Electrically Heated Catalysts |
| GTL | Gas To Liquid |
| HC | Hydrocarbon |
| LNT | Lean Nitrogen oxide Traps |
| PM | Particulate Matter |
| SCR | Selective Catalytic Reduction |
| TDC | Top Dead Center |
| TIP | Turbine Inlet Pressure |
| TIT | Turbine Inlet Temperature |
| PM | maximum cylinder pressure |
| TM | maximum cylinder temperature |
| φPmax | maximum cylinder pressure |
| φTmax | maximum cylinder temperature |
References
- Liu, H.; Wang, Z.; Wang, J.; He, X. Improvement of emission characteristics and thermal efficiency in diesel engines by fueling gasoline/diesel/PODEn blends. Energy 2016, 97, 105–112. [Google Scholar] [CrossRef]
- Chen, Z.; He, J.; Chen, H.; Geng, L.; Zhang, P. Experimental study on cycle-to-cycle variations in natural gas/methanol bi-fueled engine under excess air/fuel ratio at 1.6. Energy 2021, 224, 120233. [Google Scholar] [CrossRef]
- Wang, X.; Gao, J.; Chen, Z.; Chen, H.; Zhao, Y.; Huang, Y.; Chen, Z. Evaluation of hydrous ethanol as a fuel for internal combustion engines: A review. Renew. Energy 2022, 194, 504–525. [Google Scholar] [CrossRef]
- Huang, Q.; Yang, R.; Liu, J.; Xie, T.; Liu, J. Investigation of the mechanism behind the surge in nitrogen dioxide emissions in engines transitioning from pure diesel operation to methanol/diesel dual-fuel operation. Fuel Process. Technol. 2024, 264, 108131. [Google Scholar] [CrossRef]
- Huang, Q.; Liu, J. Preliminary assessment of the potential for rapid combustion of pure ammonia in engine cylinders using the multiple spark ignition strategy. Int. J. Hydrogen Energy 2024, 55, 375–385. [Google Scholar] [CrossRef]
- Yan, Y.; Liu, Z.; Liu, J. Computational analysis of ammonia-hydrogen blends in homogeneous charge compression ignition engine operation. Process Saf. Environ. Prot. 2024, 190, 1263–1272. [Google Scholar] [CrossRef]
- Lajunen, A.; Sainio, P.; Laurila, L.; Pippuri-Mäkeläinen, J.; Tammi, K. Overview of powertrain electrification and future scenarios for non-road mobile machinery. Energies 2018, 11, 1184. [Google Scholar] [CrossRef]
- Ju, K.; Kim, J.; Park, J. Numerical prediction of the performance and emission of downsized two-cylinder diesel engine for range extender considering high boosting, heavy exhaust gas recirculation, and advanced injection timing. Fuel 2021, 302, 121216. [Google Scholar] [CrossRef]
- Feng, R.; Chen, K.; Sun, Z.; Hu, X.; Li, G.; Wang, S.; Deng, B.; Sun, W. A comparative study on the energy flow of a hybrid heavy truck between AMT and MT shift mode under local driving test cycle. Energy Convers. Manag. 2022, 256, 115359. [Google Scholar] [CrossRef]
- Ou, J.; Zhang, Z.; Liu, Z.; Liu, J. Effect of ammonia reaction kinetics on the two-stage ignition mechanism of dimethyl ether. Fuel Process. Technol. 2024, 261, 108112. [Google Scholar] [CrossRef]
- Gao, J.; Huang, J.; Wang, S.; Wang, X.; Liu, J.; Li, D.; Tian, G.; Chen, H. The effect of deposit morphology on soot oxidation in non-catalytic and catalytic processes. J. Energy Inst. 2024, 116, 101754. [Google Scholar] [CrossRef]
- Meng, Z.; Bao, Z.; Wang, W.; Ou, J.; Liu, J. An assessment of the application of catalyst preheating prior to engine cold start to improve the filtration performance of CDPF on particulate emissions. Process Saf. Environ. Prot. 2024, 182, 345–356. [Google Scholar] [CrossRef]
- Liu, D. Combustion and Emissions of an Automotive Diesel Engine Using Biodiesel Fuels Under Steady and Start Conditions; University of Birmingham: Birmingham, UK, 2015. [Google Scholar]
- Fang, L.; Lou, D.; Hu, Z.; Tan, P.; Zhang, Y.; Yang, R. Study on the First-Firing-Cycle combustion characteristics of high-altitude and low-temperature environments during diesel engine cold start. Fuel 2022, 322, 124186. [Google Scholar] [CrossRef]
- Meng, Z.; Liu, Z.; Liu, J. Investigation of in-cylinder combustion deterioration of diesel engines in plateau regions. Fuel 2022, 324, 124824. [Google Scholar] [CrossRef]
- Jiao, Y.; Liu, R.; Zhang, Z.; Yang, C.; Zhou, G.; Dong, S.; Liu, W. Comparison of combustion and emission characteristics of a diesel engine fueled with diesel and methanol-Fischer-Tropsch diesel-biodiesel-diesel blends at various altitudes. Fuel 2019, 243, 52–59. [Google Scholar] [CrossRef]
- Liu, J.; Wang, B.; Meng, Z.; Liu, Z. An examination of performance deterioration indicators of diesel engines on the plateau. Energy 2023, 262, 125587. [Google Scholar] [CrossRef]
- John, D.; Gajarlawar, N. Experiences in cold start optimization of a multi-purpose vehicle equipped with 2.2 L common rail diesel engine. In SAE Technical Paper; SAE International: Warrendale, PA, USA, 2011. [Google Scholar]
- Park, Y.; Hwang, J.; Bae, C.; Kim, K.; Lee, J.; Pyo, S. Effects of diesel fuel temperature on fuel flow and spray characteristics. Fuel 2015, 162, 1–7. [Google Scholar] [CrossRef]
- Zhang, H.; Shi, L.; Deng, K.; Liu, S.; Yang, Z. Experiment investigation on the performance and regulation rule of two-stage turbocharged diesel engine for various altitudes operation. Energy 2020, 192, 116653. [Google Scholar] [CrossRef]
- Wu, M.; Zhao, Z.; Zhang, P.; Wan, M.; Lei, J.; Pan, B.; Xing, B. Environmental persistent free radicals in diesel engine exhaust particles at different altitudes and engine speeds. Sci. Total Environ. 2021, 796, 148963. [Google Scholar] [CrossRef]
- Pourhoseini, S.H.; Ghodrat, M.; Baghban, M.; Shams, Z. Effects of blending energetic iron nanoparticles in B20 fuel on lower CO and UHC emissions of the diesel engine in cold start condition. Case Stud. Therm. Eng. 2023, 41, 102658. [Google Scholar] [CrossRef]
- Tinprabath, P.; Hespel, C.; Chanchaona, S.; Foucher, F. Influence of biodiesel and diesel fuel blends on the injection rate under cold conditions. Fuel 2015, 144, 80–89. [Google Scholar] [CrossRef]
- Park, H.; Shin, J.; Bae, C. Spray and combustion of diesel fuel under simulated cold-start conditions at various ambient temperatures. In SAE Technical Paper; SAE International: Warrendale, PA, USA, 2017. [Google Scholar]
- Demirbas, A. Progress and recent trends in biodiesel fuels. Energy Convers. Manag. 2009, 50, 14–34. [Google Scholar] [CrossRef]
- Xu, Z.; Duan, X.; Liu, Y.; Deng, B.; Liu, J. Spray combustion and soot formation characteristics of the acetone-butanol-ethanol/diesel blends under diesel engine-relevant conditions. Fuel 2020, 280, 118483. [Google Scholar] [CrossRef]
- Yang, R.; Shang, T.; Li, L.; Liu, J.; Xie, T.; Liu, Z.; Liu, J. The mechanism of the increased ratio of nitrogen dioxide to nitrogen oxides in methanol/diesel dual fuel engines. Energy 2024, 312, 133701. [Google Scholar] [CrossRef]
- Liu, J.; Yang, R.; Liu, Z.; Liu, J. A CFD-assisted investigation into the mechanism behind the surge in NO2 emissions from methanol/diesel dual fuel engines. J. Clean. Prod. 2025, 489, 144750. [Google Scholar] [CrossRef]
- Li, Y.; Wang, D.; Shi, Z.; Chen, H.; Liu, F. Environment-adaptive method to control intake preheating for diesel engines at cold-start conditions. Energy 2021, 227, 120423. [Google Scholar] [CrossRef]
- Broatch, A.; Luján, J.M.; Serrano, J.R.; Pla, B. A procedure to reduce pollutant gases from Diesel combustion during European MVEG-A cycle by using electrical intake air-heaters. Fuel 2008, 87, 2760–2778. [Google Scholar] [CrossRef]
- Ramadhas, A.S.; Xu, H. Intake air heating strategy to reduce cold-start emissions from diesel engines. Biofuels 2018, 9, 405–414. [Google Scholar] [CrossRef]
- Bora, B.J.; Saha, U.K.; Chatterjee, S.; Veer, V. Effect of compression ratio on performance, combustion and emission characteristics of a dual fuel diesel engine run on raw biogas. Energy Convers. Manag. 2014, 87, 1000–1009. [Google Scholar] [CrossRef]
- Laguitton, O.; Crua, C.; Cowell, T.; Heikal, M.R.; Gold, M.R. The effect of compression ratio on exhaust emissions from a PCCI diesel engine. Energy Convers. Manag. 2007, 48, 2918–2924. [Google Scholar] [CrossRef]
- Rinaldini, C.A.; Mattarelli, E.; Golovitchev, V.I. Potential of the Miller cycle on a HSDI diesel automotive engine. Appl. Energy 2013, 112, 102–119. [Google Scholar] [CrossRef]
- Chen, H.; He, J.; Zhong, X. Engine combustion and emission fuelled with natural gas: A review. J. Energy Inst. 2019, 92, 1123–1136. [Google Scholar] [CrossRef]
- Liu, R.; Wei, M.; Yang, H. Cold start control strategy for a two-stroke spark ignition diesel-fuelled engine with air-assisted direct injection. Appl. Therm. Eng. 2016, 108, 414–426. [Google Scholar] [CrossRef]
- Zhao, L.; Lei, J.; Liu, Y.; Deng, W.; Yang, L. Energy-based cold-start strategies for diesel engines at extreme low temperature. Therm. Sci. Eng. Prog. 2024, 47, 102274. [Google Scholar] [CrossRef]
- Zhang, X.; Huang, X.; Ni, P.; Li, X. Strategies to reduce emissions from diesel engines under cold start conditions: A review. Energies 2023, 16, 5192. [Google Scholar] [CrossRef]
- Meng, Z.; Bao, Z.; Wu, D.; Deng, M.; Deng, H. Emission characteristics and microstructural changes of particulate matter from diesel engine after catalyst preheating under cold start conditions. Process Saf. Environ. Prot. 2024, 184, 1389–1399. [Google Scholar] [CrossRef]
- Huang, Y.; Liu, S.; Pei, M.M.; Li, J.Y.; Xu, H.D.; Chen, Y.Q. Unveiling H2O2-optimized NOX adsorption-selective catalytic reduction (AdSCR) performance of WO3/CeZrO2 catalyst. Rare Met. 2023, 42, 3755–3765. [Google Scholar] [CrossRef]
- Kim, H.; Lee, K.B. Enhanced low-temperature NOX storage and reduction performance using Cu-loaded lean NOX trap catalysts. Chem. Eng. J. 2023, 470, 143895. [Google Scholar] [CrossRef]
- Horng, R.F.; Chou, H.M.; Hsu, T.C. Reaction of the electrically-heated catalyst of a four-stroke motorcycle engine under cold-start conditions with additional enrichment of the intake mixture. Proc. Inst. Mech. Eng. Part D J. Automob. Eng. 2003, 217, 1117–1124. [Google Scholar] [CrossRef]
- Pacaud, P.; Perrin, H.; Laget, O. Cold Start on Diesel Engine: Is Low Compression Ratio Compatible with Cold Start Requirements? SAE Int. J. Engines 2008, 1, 831–849. [Google Scholar] [CrossRef]
- Zare, A.; Bodisco, T.A.; Jafari, M.; Verma, P.; Yang, L.; Babaie, M.; Rahman, M.M.; Banks, A.; Ristovski, Z.D.; Brown, R.J.; et al. Cold-start NOx emissions: Diesel and waste lubricating oil as a fuel additive. Fuel 2021, 286, 119430. [Google Scholar] [CrossRef]
- Lu, K.; Qiu, H.; Chen, Z.; Shi, L.; Deng, K. Environmental adaptability method for improving the cold start performance of the diesel engine based on pilot injection strategy. Energy 2023, 281, 128215. [Google Scholar] [CrossRef]
- Hu, Y.; Sun, Y.; Zhang, Q.; Ma, Q. Experimental analysis on the combustion performance of aftertreatment diesel burner under cold start and warm-up conditions. Appl. Therm. Eng. 2024, 253, 123783. [Google Scholar] [CrossRef]
- Kan, Z.; Hu, Z.; Lou, D.; Tan, P.; Cao, Z.; Yang, Z. Effects of altitude on combustion and ignition characteristics of speed-up period during cold start in a diesel engine. Energy 2018, 150, 164–175. [Google Scholar] [CrossRef]
- Armas, O.; Gomez, A.; Ramos, A. Comparative study of pollutant emissions from engine starting with animal fat biodiesel and GTL fuels. Fuel 2013, 113, 560–570. [Google Scholar] [CrossRef]
- Van, T.C.; Zare, A.; Jafari, M.; Bodisco, T.A.; Surawski, N.; Verma, P.; Suara, K.; Ristovski, Z.; Rainey, T.; Stevanovic, S.; et al. Effect of cold start on engine performance and emissions from diesel engines using IMO-Compliant distillate fuels. Environ. Pollut. 2019, 255, 113260. [Google Scholar] [CrossRef]
- He, C.; Ge, Y.; Ma, C.; Tan, J.; Liu, Z.; Wang, C.; Yu, L.; Ding, Y. Emission characteristics of a heavy-duty diesel engine at simulated high altitudes. Sci. Total Environ. 2011, 409, 3138–3143. [Google Scholar] [CrossRef]
- Fang, L.; Lou, D.; Hu, Z.; Tan, P. The emission characteristics of a diesel engine during start-up process at different altitudes. Energies 2019, 12, 3556. [Google Scholar] [CrossRef]


























| Parameters | Value |
|---|---|
| Engine type | Two-cylinder, in-line, air-cooled, turbocharged |
| Fuel injector type | Single-plunger injection pump |
| Bore (mm) × Stroke (mm) | 94 × 77 |
| Displacement (L) | 1.069 |
| Compression ratio | 18.5 |
| Fuel injection pressure (MPa) | 70 |
| Rated speed (rpm) | 3000 |
| Rated power (kW) | 19 |
| Maximum power (kW) | 21 |
| Category | Experiment | Simulation | Error |
|---|---|---|---|
| BSFC (g/kW·h) | 601 | 622 | 3.5% |
| TIP (bar) | 24.56 | 25.73 | 4.8% |
| TIT (°C) | 155.48 | 160.39 | 3.2% |
Disclaimer/Publisher’s Note: The statements, opinions and data contained in all publications are solely those of the individual author(s) and contributor(s) and not of MDPI and/or the editor(s). MDPI and/or the editor(s) disclaim responsibility for any injury to people or property resulting from any ideas, methods, instructions or products referred to in the content. |
© 2026 by the authors. Licensee MDPI, Basel, Switzerland. This article is an open access article distributed under the terms and conditions of the Creative Commons Attribution (CC BY) license.
Share and Cite
Zhang, X.; Jing, H.; Qiu, H.; Ni, P.; Zhong, Z.; Li, X. Insights into the Combustion and Emission Characteristics of the Diesel Engine in the Cold Start Stage. Sustainability 2026, 18, 1680. https://doi.org/10.3390/su18031680
Zhang X, Jing H, Qiu H, Ni P, Zhong Z, Li X. Insights into the Combustion and Emission Characteristics of the Diesel Engine in the Cold Start Stage. Sustainability. 2026; 18(3):1680. https://doi.org/10.3390/su18031680
Chicago/Turabian StyleZhang, Xuewen, Hongrui Jing, Hongling Qiu, Peiyong Ni, Zexin Zhong, and Xiang Li. 2026. "Insights into the Combustion and Emission Characteristics of the Diesel Engine in the Cold Start Stage" Sustainability 18, no. 3: 1680. https://doi.org/10.3390/su18031680
APA StyleZhang, X., Jing, H., Qiu, H., Ni, P., Zhong, Z., & Li, X. (2026). Insights into the Combustion and Emission Characteristics of the Diesel Engine in the Cold Start Stage. Sustainability, 18(3), 1680. https://doi.org/10.3390/su18031680

