Marine Megafauna Interactions with Offshore Solar Infrastructure: First Ecological Observations from the North Sea
Abstract
1. Introduction
- (1)
- Was there any evidence of bird collisions with the solar farm during the study period?
- (2)
- Do marine birds and/or mammals visit the farm? If so, which species are observed?
- (3)
- Are juvenile birds present at the farm, and if so, when?
- (4)
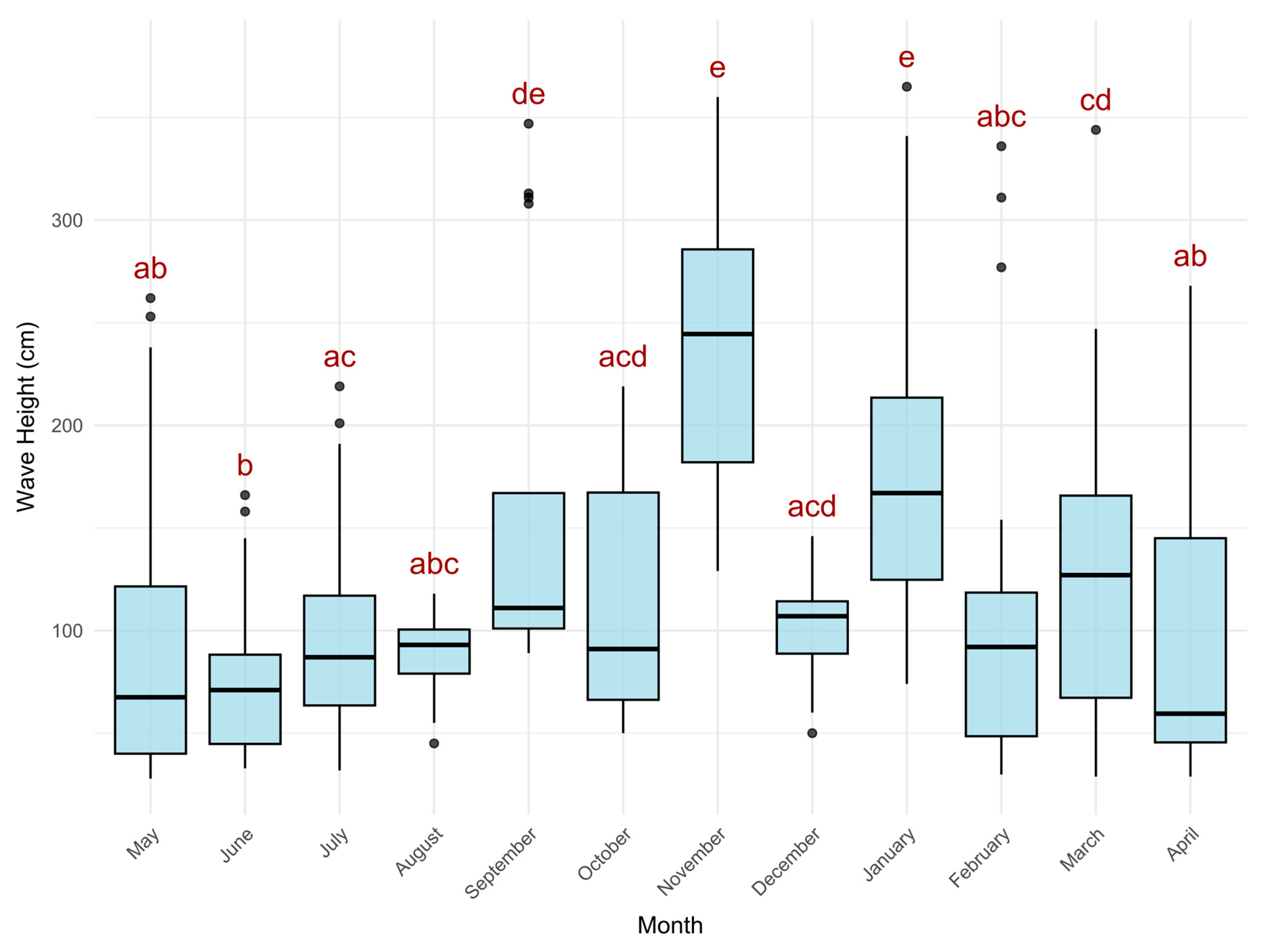
- How do season, time of day, daylight conditions and sea state (e.g., significant wave height) relate to observed platform use/visitation patterns?
- (5)
- Which dietary components can be identified from collected pellets, and is there any evidence consistent with feeding on organisms associated with the underside of the solar farm?
2. Materials and Methods
3. Results
3.1. Birds
3.2. Seals
4. Discussion
4.1. Birds
4.2. Seals
5. Conclusions
Author Contributions
Funding
Institutional Review Board Statement
Informed Consent Statement
Data Availability Statement
Acknowledgments
Conflicts of Interest
Appendix A



References
- Golroodbari, S.Z.; Ayyad, A.W.A.; van Sark, W. Offshore Floating Photovoltaics System Assessment in Worldwide Perspective. Prog. Photovolt. Res. Appl. 2023, 31, 1061–1077. [Google Scholar] [CrossRef]
- Vasuki, S.S.; Levell, J.; Santbergen, R.; Isabella, O. A Technical Review on the Energy Yield Estimation of Offshore Floating Photovoltaic Systems. Renew. Sustain. Energy Rev. 2025, 216, 115596. [Google Scholar] [CrossRef]
- Meit, J.B.L.; Negri, A.; Van Der Pol Nguyen, R.; Van Es, L. Hybrid Offshore Solar & Wind Parks in the Mediterranean—Cost Sharings Accelerate Business Cases for Offshore Renewable Rollout in Mediterranean. In Proceedings of the 17th OMC Med Energy Conference and Exhibition, Ravenna, Italy, 8–10 April 2025. [Google Scholar]
- Mavraki, N.; Bos, O.G.; Vlaswinkel, B.M.; Roos, P.; de Groot, W.; van der Weide, B.; Bittner, O.; Coolen, J.W.P. Fouling Community Composition on a Pilot Floating Solar-Energy Installation in the Coastal Dutch North Sea. Front. Mar. Sci. 2023, 10, 1223766. [Google Scholar] [CrossRef]
- Nalmpanti, M.; Dinandra, T.; Maar, M.; Larsen, J.; Vlaswinkel, B. Offshore Solar Farms as Habitats for Mytilus Edulis: A Preliminary Modelling Study on Mussel Growth, Distribution, Chlorophyll-a Uptake and Bio-Deposition in the North Sea. Mar. Environ. Res. 2025, 211, 107372. [Google Scholar] [CrossRef]
- Mavraki, N.; Bos, O.G.; van der Weide, B.; Bittner, O.; Vlaswinkel, B.M.; Nalmpanti, M.; Coolen, J.W.P. Inventory of the Biofouling Community on the First Offshore Solar Energy Farm in the North Sea. J. Sea Res. 2025, 208, 102627. [Google Scholar] [CrossRef]
- Karpouzoglou, T.; Vlaswinkel, B.; Van Der Molen, J. Effects of Large-Scale Floating (Solar Photovoltaic) Platforms on Hydrodynamics and Primary Production in a Coastal Sea from a Water Column Model. Ocean Sci. 2020, 16, 195–208. [Google Scholar] [CrossRef]
- Whelan, C.J.; Wenny, D.G.; Marquis, R.J. Ecosystem Services Provided by Birds. Ann. N. Y. Acad. Sci. 2008, 1134, 25–60. [Google Scholar] [CrossRef] [PubMed]
- Mariyappan, M.; Rajendran, M.; Velu, S.; Johnson, A.D.; Dinesh, G.K.; Solaimuthu, K.; Kaliyappan, M.; Sankar, M. Ecological Role and Ecosystem Services of Birds: A Review. Int. J. Environ. Clim. Change 2023, 13, 76–87. [Google Scholar] [CrossRef]
- Plön, S.; Andra, K.; Auditore, L.; Gegout, C.; Hale, P.J.; Hampe, O.; Ramilo-Henry, M.; Burkhardt-Holm, P.; Jaigirdar, A.M.; Klein, L.; et al. Marine Mammals as Indicators of Anthropocene Ocean Health. NPJ Biodivers. 2024, 3, 24. [Google Scholar] [CrossRef] [PubMed]
- Mekonen, S. Birds as Biodiversity and Environmental Indicator. J. Nat. Sci. Res. 2017, 7, 27–34. [Google Scholar]
- Garthe, S.; Markones, N.; Corman, A.M. Possible Impacts of Offshore Wind Farms on Seabirds: A Pilot Study in Northern Gannets in the Southern North Sea. J. Ornithol. 2017, 158, 345–349. [Google Scholar] [CrossRef]
- Ward, M.P.; Benson, T.J.; Deppe, J.; Zenzal, T.J.; Diehl, R.H.; Celis-Murillo, A.; Bolus, R.; Moore, F.R. Estimating Apparent Survival of Songbirds Crossing the Gulf of Mexico during Autumn Migration. Proc. R. Soc. B Biol. Sci. 2018, 285, 20181747. [Google Scholar] [CrossRef]
- Croll, D.A.; Ellis, A.A.; Adams, J.; Cook, A.S.C.P.; Garthe, S.; Goodale, M.W.; Hall, C.S.; Hazen, E.; Keitt, B.S.; Kelsey, E.C.; et al. Framework for Assessing and Mitigating the Impacts of Offshore Wind Energy Development on Marine Birds. Biol. Conserv. 2022, 276, 109795. [Google Scholar] [CrossRef]
- Dierschke, V.; Garthe, S. Literature Review of Offshore Wind Farms with Regard to Seabirds. In Ecological Research on Offshore Wind Farms: International Exchange of Experiences. PART B: Literature Review of Ecological Impacts; Zucco, C., Wende, W., Merck, T., Köchling, I., Köppel, J., Dierschke, V., Garthe, S., Eds.; BfN Skripten 186: Bonn, Germany, 2006; pp. 131–198. [Google Scholar]
- Bergström, L.; Kautsky, L.; Malm, T.; Rosenberg, R.; Wahlberg, M.; Åstrand Capetillo, N.; Wilhelmsson, D. Effects of Offshore Wind Farms on Marine Wildlife—A Generalized Impact Assessment. Environ. Res. Lett. 2014, 9, 034012. [Google Scholar] [CrossRef]
- Russell, D.J.F.; Brasseur, S.M.J.M.; Thompson, D.; Hastie, G.D.; Janik, V.M.; Aarts, G.; McClintock, B.T.; Matthiopoulos, J.; Moss, S.E.W.; McConnell, V. Marine Mammals Anthropogenic at Sea. Curr. Biol. 2014, 24, R638–R639. [Google Scholar] [CrossRef]
- Bradarić, M.; Kranstauber, B.; Bouten, W.; van Gasteren, H.; Baranes, J.S. Drivers of Flight Altitude during Nocturnal Bird Migration over the North Sea and Implications for Offshore Wind Energy. Conserv. Sci. Pract. 2024, 6, e13114. [Google Scholar] [CrossRef]
- Exo, K.-M.; Hüppop, O.; Garthe, S. Birds and Offshore Wind Farms: A Hot Topic in Marine Ecology. Wader Study Group Bull. 2003, 100, 50–53. [Google Scholar]
- Geelhoed, S.C.V.; Janinhoff, N.; Lagerveld, S.; Verdaat, H. Marine Mammal Surveys in Dutch North Sea Waters in 2019; Wageningen Marine Research: Den Helder, The Netherlands, 2020. [Google Scholar]
- Blanchet, M.A.; Vincent, C.; Womble, J.N.; Steingass, S.M.; Desportes, G. Harbour Seals: Population Structure, Status, and Threats in a Rapidly Changing Environment. Oceans 2021, 2, 41–63. [Google Scholar] [CrossRef]
- Phillips, R.A.; Fort, J.; Dias, M.P. Chapter 2—Conservation Status and Overview of Threats to Seabirds. In Conservation of Marine Birds; Young, L., VanderWerf, E., Eds.; Academic Press: Cambridge, MA, USA, 2023; pp. 33–56. [Google Scholar]
- Barrett, R.T.; Camphuysen, K.; Anker-Nilssen, T.; Chardine, J.W.; Furness, R.W.; Garthe, S.; Hüppop, O.; Leopold, M.F.; Montevecchi, W.A.; Veit Barrett, R.R. Diet Studies of Seabirds: A Review and Recommendations. ICES J. Mar. Sci. 2007, 64, 1675–1691. [Google Scholar] [CrossRef]
- Hunt, V. Larus fuscus and Larus argentatus: Pellet and Bolus Analysis Guide. 2006. Available online: https://gull-research.org/papers/papers3/Larus%20fuscus%20and%20Larus%20argentatus%20Pellet%20and%20Bolus%20Analysis%20Guide.pdf (accessed on 30 January 2026).
- Camphuysen, K.; Henderson, P. North Sea Fish and Their Remains; Pisces Conservation Ltd. & NIOZ: Texel, The Netherlands, 2017. [Google Scholar]
- R Core Team. R: A Language and Environment for Statistical Computing; R Foundation for Statistical Computing: Vienna, Austria, 2024; Available online: https://www.R-project.org/ (accessed on 30 January 2026).
- Delefosse, M.; Rahbek, M.L.; Roesen, L.; Clausen, K.T. Marine Mammal Sightings around Oil and Gas Installations in the Central North Sea. J. Mar. Biol. Assoc. U. K. 2017, 98, 993–1001. [Google Scholar] [CrossRef]
- Wiese, F.; Montevecchi, W. Marine Bird and Mammal Surveys on the Newfoundland Grand Banks from Offshore Supply Boats 1999–2000; Unpublished Husky Oil Contract Report: Newfoundland, NF, Canada, 2000. [Google Scholar]
- Goodale, W.M.; Stenhouse, I.J. A Conceptual Model to Determine Vulnerability of Wildlife Populations to Offshore Wind Energy Development. Hum.-Wildl. Interact. 2016, 10, 53–61. [Google Scholar] [CrossRef]
- Ronconi, R.A.; Allard, K.A.; Taylor, P.D. Bird Interactions with Offshore Oil and Gas Platforms: Review of Impacts and Monitoring Techniques. J. Environ. Manage. 2015, 147, 34–45. [Google Scholar] [CrossRef] [PubMed]
- Vlaswinkel, B.; Roos, P.; Nelissen, M. Environmental Observations at the First Offshore Solar Farm in the North Sea. Sustainability 2023, 15, 6533. [Google Scholar] [CrossRef]
- Band, B. Using a Collision Risk Model to Assess Bird Collision Risks for Offshore Windfarms; British Trust for Ornithology: Norfolk, UK, 2012. [Google Scholar]
- Masden, E.A.; Haydon, D.T.; Fox, A.D.; Furness, R.W.; Bullman, R.; Masden, M.D.; Haydon, E.A.; Fox, D.T.; Bullman, R.W.; Masden, E.A.; et al. Barriers to Movement: Impacts of Wind Farms on Migrating Birds. ICES J. Mar. Sci. 2009, 4, 746–753. [Google Scholar] [CrossRef]
- Marques, A.T.; Batalha, H.; Rodrigues, S.; Costa, H.; Pereira, M.J.R.; Fonseca, C.; Mascarenhas, M.; Bernardino, J. Understanding Bird Collisions at Wind Farms: An Updated Review on the Causes and Possible Mitigation Strategies. Biol. Conserv. 2014, 179, 40–52. [Google Scholar] [CrossRef]
- Martin, G.R. Understanding Bird Collisions with Man-Made Objects: A Sensory Ecology Approach. IBIS 2011, 153, 239–254. [Google Scholar] [CrossRef]
- Walston, L.J.; Rollins, K.E.; LaGory, K.E.; Smith, K.P.; Meyers, S.A. A Preliminary Assessment of Avian Mortality at Utility-Scale Solar Energy Facilities in the United States. Renew. Energy 2016, 92, 405–414. [Google Scholar] [CrossRef]
- Kosciuch, K.; Riser-Espinoza, D.; Moqtaderi, C.; Erickson, W. Aquatic Habitat Bird Occurrences at Photovoltaic Solar Energy Development in Southern California, USA. Diversity 2021, 13, 524. [Google Scholar] [CrossRef]
- Dierschke, V.; Furness, R.W.; Garthe, S. Seabirds and Offshore Wind Farms in European Waters: Avoidance and Attraction. Biol. Conserv. 2016, 202, 59–68. [Google Scholar] [CrossRef]
- Orians, G.; Pearson, N. On the Theory of Central Place Foraging. In Analysis of Ecological Systems; Horn, D., Mitchell, R., Stairs, G., Eds.; Ohio State University Press: Columbus, OH, USA, 1979. [Google Scholar]
- Thaxter, C.B.; Ross-Smith, V.H.; Bouten, W.; Clark, N.A.; Conway, G.J.; Rehfisch, M.M.; Burton, N.H. Seabird-Wind Farm Interactions during the Breeding Season Vary within and between Years: A Case Study of Lesser Black-Backed Gull Larus fuscus in the UK. Biol. Conserv. 2015, 186, 347–358. [Google Scholar] [CrossRef]
- Schwemmer, P.; Garthe, S. At-Sea Distribution and Behaviour of a Surface-Feeding Seabird, the Lesser Black-Backed Gull Larus fuscus, and Its Association with Different Prey. Mar. Ecol. Prog. Ser. 2005, 285, 245–258. [Google Scholar] [CrossRef]
- Klaassen, R.H.G.; Ens, B.J.; Shamoun-Baranes, J.; Exo, K.M.; Bairlein, F. Migration Strategy of a Flight Generalist, the Lesser Black-Backed Gull Larus fuscus. Behav. Ecol. 2012, 23, 58–68. [Google Scholar] [CrossRef]
- Garthe, S.; Hüppop, O. Nocturnal Scavenging by Gulls in the Southern North Sea. Waterbirds 1996, 19, 232–241. [Google Scholar] [CrossRef]
- Fijn, R.; Govers, L.; Lutterop, D.; Middelveld, R.; van Bemmelen, R. Evidence of Nocturnal Migration over Sea and Sex-Specific Migration Distance of Dutch Black-Headed Gulls. Ardea 2022, 110, 15–29. [Google Scholar] [CrossRef]
- Hüppop, O.; Wurm, S. Effects of Winter Fishery Activities on Resting Numbers, Food and Body Condition of Large Gulls Larus argentatus and L. marinus in the South-Eastern North Sea. Mar. Ecol. Prog. Ser. 2000, 194, 241–247. [Google Scholar] [CrossRef]
- Liechti, F. Birds: Blowin’ by the Wind? J. Ornithol. 2006, 147, 202–211. [Google Scholar] [CrossRef]
- Fijn, R.; van Bemmelen, R.; de Jong, J.; Arts, F.; Beuker, D.; Bravo Rebolledo, E.; Engels, B.; Hoekstein, M.; Jonkvorst, R.J.; Lilipaly, S.; et al. Verspreiding, Abundantie En Trends van Zeevogels En Zeezoogdieren Op Het Nederlands Continentaal Plat in 2019–2020; RWS-Centrale Informatievoorziening BM 20.22. Bureau Waardenburg Rapportnr. 20-324; Bureau Waardenburg & Deltamilieu Projecten, Culemborg: Culemborg, The Netherlands, 2020. [Google Scholar]
- Camphuysen, K.; van Donk, S.C.; Shamoun-Baranes, J.; Kentie, R. The Annual Cycle, Breeding Biology and Feeding Ecology of the Lesser Black-Backed Gull Larus fuscus. Ardea 2023, 112, 31–61. [Google Scholar] [CrossRef]
- Camphuysen, C.J.; van Dijk, J.; Witte, H.; Spaans, N. De Voedselkeuze van Kleine Mantelmeeuwen En Zilvermeeuwen En Andere Indicaties Die Aanwijzingen Geven over Het Ruimtegebruik van Deze Vogelsoorten in de Noord Hollandse Kustwateren; NIOZ: Texel, The Netherlands, 2008. [Google Scholar]
- Skov, H.; Durinck, J.; Leopold, M.; Tasker, M. Important Bird Areas for Seabirds in the North Sea, Including the Channel and the Kattegat; BirdLife International: Cambridge, UK, 1995. [Google Scholar]
- Bergman, M.J.N.; Leopold, M.F. De Ecologie van de Kustzone van Vlieland En Terschelling; NIOZ: Texel, The Netherlands, 1992. [Google Scholar]
- Mcgill, P.A.; Richmond, M.E. Hatching Success of Great Black-Backed Gull Eggs Treated with Oil. Bird Band. 1979, 50, 108–113. [Google Scholar] [CrossRef]
- Butler, R.G.; Trivelpiece, W. Nest Spacing, Reproductive Success, and Behavior of the Great Black-Backed Gull (Larus marinus). Auk 1981, 98, 99–107. [Google Scholar]
- Camphuysen, C. A Historical Ecology of Two Closely Related Gull Species (Laridae): Multiple Adaptations to a Man-Made Environment. Ph.D. Thesis, University of Groningen, Groningen, the Netherlands, 2013. [Google Scholar]
- Callaway, R.; Engelhard, G.H.; Dann, J.; Cotter, J.; Rumohr, H. A Century of North Sea Epibenthos and Trawling: Comparison between 1902–1912, 1982–1985 and 2000. Mar. Ecol. Prog. Ser. 2007, 346, 27–43. [Google Scholar] [CrossRef]
- Schwemmer, H.; Schwemmer, P.; Ehrich, S.; Garthe, S. Lesser Black-Backed Gulls (Larus fuscus) Consuming Swimming Crabs: An Important Link in the Food Web of the Southern North Sea. Estuar. Coast. Shelf Sci. 2013, 119, 71–78. [Google Scholar] [CrossRef]
- Enners, L.; Schwemmer, P.; Corman, A.M.; Voigt, C.C.; Garthe, S. Intercolony Variations in Movement Patterns and Foraging Behaviors among Herring Gulls (Larus argentatus) Breeding in the Eastern Wadden Sea. Ecol. Evol. 2018, 8, 7529–7542. [Google Scholar] [CrossRef] [PubMed]
- van Donk, S.; Camphuysen, K.C.J.; Shamoun-Baranes, J.; van der Meer, J. The Most Common Diet Results in Low Reproduction in a Generalist Seabird. Ecol. Evol. 2017, 7, 4620–4629. [Google Scholar] [CrossRef]
- Tyson, C.; Shamoun-Baranes, J.; Van Loon, E.E.; Camphuysen, K.C.J.; Hintzen, N.T. Individual Specialization on Fishery Discards by Lesser Black-Backed Gulls (Larus fuscus). ICES J. Mar. Sci. 2015, 72, 1882–1891. [Google Scholar] [CrossRef]
- Walter, U.; Becker, P. Occurrence and Consumption of Seabirds Scavenging on Shrimp Trawler Discards in the Wadden Sea. ICES J. Mar. Sci. 1997, 54, 684–694. [Google Scholar] [CrossRef][Green Version]
- Camphuysen, C.J. Fourageermogelijkheden Voor Zeevogels in de Boomkorvisserij: Een Verkennend Onderzoek. Sula 1993, 7, 81–104. [Google Scholar]
- Camphuysen, C.J.; Leopold, M.F. Atlas of Seabirds in the Southern North Sea; IBN research report 94/6, NIOZ report 1994–1998; INB, NIOZ & NZG: Texel, The Netherlands, 1994. [Google Scholar]
- Camphuysen, C.J.; Vercruijsse, H.J.P.; Spaans, A.L. Colony- and Age-Specific Seasonal Dispersal of Herring Gulls Larus argentatus Breeding in The Netherlands. J. Ornithol. 2011, 152, 849–868. [Google Scholar] [CrossRef]
- Lamb, J.; Gulka, J.; Adams, E.; Cook, A.; Williams, K.A. A Synthetic Analysis of Post-Construction Displacement and Attraction of Marine Birds at Offshore Wind Energy Installations. Environ. Impact Assess. Rev. 2024, 108, 107611. [Google Scholar] [CrossRef]
- Hayward, J.L.; Henson, S.M.; Logan, C.J.; Parris, C.R.; Meyer, M.W.; Dennis, B. Predicting Numbers of Hauled-out Harbour Seals: A Mathematical Model. J. Appl. Ecol. 2005, 42, 108–117. [Google Scholar] [CrossRef]
- Watts, P. The Diel Hauling-out Cycle of Harbour Seals in an Open Marine Environment: Correlates and Constraints. J. Zool. 1996, 240, 175–200. [Google Scholar] [CrossRef]
- Thompson, P.M.; Fedak, M.A.; McConnell, B.J.; Nicholas, K.S. Seasonal and Sex-Related Variation in the Activity Patterns of Common Seals (Phoca vitulina). J. Appl. Ecol. 1989, 26, 521. [Google Scholar] [CrossRef]
- Arnould, J.P.Y.; Monk, J.; Ierodiaconou, D.; Hindell, M.A.; Semmens, J.; Hoskins, A.J.; Costa, D.P.; Abernathy, K.; Marshall, G.J. Use of Anthropogenic Sea Floor Structures by Australian Fur Seals: Potential Positive Ecological Impacts of Marine Industrial Development? PLoS ONE 2015, 10, e0130581. [Google Scholar] [CrossRef]
- Dannheim, J.; Beermann, J.; Coolen, J.W.P.; Vanaverbeke, J.; Degraer, S.; Birchenough, S.N.R.; Garcia, C.; Lacroix, G.; Fiorentino, D.; Lindeboom, H.; et al. Offshore Wind Turbines Constitute Benthic Secondary Production Hotspots on and around Constructions. J. Environ. Manag. 2025, 393, 126922. [Google Scholar] [CrossRef]
- Kappa, F.; Härkönen, T.; Freitas, C.; Carroll, D.; Harding, K.C. Shifting Harbor Seal (Phoca vitulina) Diet May Reflect Ecosystem Changes in Skagerrak. Mar. Mammal Sci. 2026, 42, e70069. [Google Scholar] [CrossRef]
- Skeate, E.R.; Perrow, M.R.; Gilroy, J.J. Likely Effects of Construction of Scroby Sands Offshore Wind Farm on a Mixed Population of Harbour Phoca vitulina and Grey Halichoerus grypus Seals. Mar. Pollut. Bull. 2012, 64, 872–881. [Google Scholar] [CrossRef]
- Edrén, S.M.C.; Andersen, S.M.; Teilmann, J.; Carstensen, J.; Harders, P.B.; Dietz, R.; Miller, L.A. The Effect of a Large Danish Offshore Wind Farm on Harbor and Gray Seal Haul-out Behavior. Mar. Mammal Sci. 2010, 26, 614–634. [Google Scholar] [CrossRef]
- Russell, D.J.F.; Hastie, G.D.; Thompson, D.; Janik, V.M.; Hammond, P.S.; Scott-Hayward, L.A.S.; Matthiopoulos, J.; Jones, E.L.; McConnell, B.J. Avoidance of Wind Farms by Harbour Seals Is Limited to Pile Driving Activities. J. Appl. Ecol. 2016, 53, 1642–1652. [Google Scholar] [CrossRef]
- Granquist, S.M.; Hauksson, E. Seasonal, Meteorological, Tidal and Diurnal Effects on Haul-out Patterns of Harbour Seals (Phoca vitulina) in Iceland. Polar Biol. 2016, 39, 2347–2359. [Google Scholar] [CrossRef]
- Huber, H.R.; Jeffries, S.J.; Brown, R.F.; Delong, R.L.; Vanblaricom, G. Correcting Aerial Survey Counts of Harbor Seals (Phoca vitulina richardsi) in Washington and Oregon. Mar. Mammal Sci. 2001, 17, 276–293. [Google Scholar] [CrossRef]
- Renouf, D.; Noseworthy, E. Feeding Cycles in Captive Harbour Seals (Phoca vitulina): Weight Gain in Spite of Reduced Food Intake and Increased Thermal Demands. Mar. Behav. Physiol. 1990, 17, 203–212. [Google Scholar] [CrossRef]
- Vincent, C.; Huon, M.; Caurant, F.; Dabin, W.; Deniau, A.; Dixneuf, S.; Dupuis, L.; Elder, J.F.; Fremau, M.H.; Hassani, S.; et al. Grey and Harbour Seals in France: Distribution at Sea, Connectivity and Trends in Abundance at Haulout Sites. Deep Sea Res. 2 Top. Stud. Oceanogr. 2017, 141, 294–305. [Google Scholar] [CrossRef]
- Leeney, R.H.; Broderick, A.C.; Mills, C.; Sayer, S.; Witt, M.J.; Godley, B.J. Abundance, Distribution and Haul-out Behaviour of Grey Seals (Halichoerus grypus) in Cornwall and the Isles of Scilly, UK. J. Mar. Biol. Assoc. U. K. 2010, 90, 1033–1040. [Google Scholar] [CrossRef]
- Sjöberg, M.; McConnell, B.; Fedak, M. Haulout Patterns of Grey Seals Halichoerus grypus in the Baltic Sea. Wildl. Biol. 1999, 5, 37–47. [Google Scholar] [CrossRef]
- Patterson, J.; Acevedo-Gutiérrez, A. Tidal Influence On the Haul-Out Behavior of Harbor Seals (Phoca vitulina) At A Site Available At All Tide Levels. Northwestern Nat. 2008, 89, 17. [Google Scholar] [CrossRef]
- Aarts, G.; Cremer, J.; Kirkwood, R.; van der Wal, J.T.; Matthiopoulos, J.; Brasseur, S. Spatial Distribution and Habitat Preference of Harbour Seals (Phoca vitulina) in the Dutch North Sea; Wageningen Marine Research: Den Helder, The Netherlands, 2016. [Google Scholar]
- McElwee, P.; Smith, P.; Ballal, V.; Cherubini, F.; Harrison, P.A. The Trade-Offs between Needed Renewable Energy Transitions and Biodiversity Can Be Overcome. Nat. Rev. Biodivers. 2025, 1, 561–562. [Google Scholar] [CrossRef]






| Species Name | Common Name | Found in Number of Samples |
|---|---|---|
| Polybius holsatus | Flying crab | 19 |
| Pleuronectes platessa | European plaice | 5 |
| Merlangius merlangus | Whiting | 4 |
| Limanda limanda | Common dab | 2 |
| Plaice/dab | 1 | |
| Mytilus edulis | Blue mussel | 1 |
Disclaimer/Publisher’s Note: The statements, opinions and data contained in all publications are solely those of the individual author(s) and contributor(s) and not of MDPI and/or the editor(s). MDPI and/or the editor(s) disclaim responsibility for any injury to people or property resulting from any ideas, methods, instructions or products referred to in the content. |
© 2026 by the authors. Licensee MDPI, Basel, Switzerland. This article is an open access article distributed under the terms and conditions of the Creative Commons Attribution (CC BY) license.
Share and Cite
Nalmpanti, M.; Heuvel, L.v.d.; Helvert, F.v.; Vlaswinkel, B. Marine Megafauna Interactions with Offshore Solar Infrastructure: First Ecological Observations from the North Sea. Sustainability 2026, 18, 1646. https://doi.org/10.3390/su18031646
Nalmpanti M, Heuvel Lvd, Helvert Fv, Vlaswinkel B. Marine Megafauna Interactions with Offshore Solar Infrastructure: First Ecological Observations from the North Sea. Sustainability. 2026; 18(3):1646. https://doi.org/10.3390/su18031646
Chicago/Turabian StyleNalmpanti, Melina, Laura van den Heuvel, Frans van Helvert, and Brigitte Vlaswinkel. 2026. "Marine Megafauna Interactions with Offshore Solar Infrastructure: First Ecological Observations from the North Sea" Sustainability 18, no. 3: 1646. https://doi.org/10.3390/su18031646
APA StyleNalmpanti, M., Heuvel, L. v. d., Helvert, F. v., & Vlaswinkel, B. (2026). Marine Megafauna Interactions with Offshore Solar Infrastructure: First Ecological Observations from the North Sea. Sustainability, 18(3), 1646. https://doi.org/10.3390/su18031646

