1. Introduction
The COVID-19 pandemic has profoundly reshaped innovation processes and accelerated digital transformation across European regions. In response to unprecedented disruptions, firms and institutions rapidly adopted digital technologies and new organizational practices to preserve productivity and operational continuity [
1]. While digital transformation has been extensively examined from managerial, technological, and strategic perspectives [
2], its implications for regional innovation capacity and territorial disparities remain insufficiently explored. In particular, whether European regions have become more similar (converged) or more unequal (diverged) in their innovation performance following the pandemic remains an open empirical question with important policy implications.
Regional innovation is widely recognized as a key determinant of economic growth and competitiveness [
3,
4]. Despite sustained efforts by the European Union to foster balanced territorial development through cohesion policy instruments and Smart Specialization Strategies [
5,
6], the European innovation landscape remains highly heterogeneous. Persistent gaps separate Northern and Western European regions, typically characterized by advanced industrial structures, strong human capital, and robust R&D ecosystems, from Southern and Eastern regions, where weaker institutional frameworks and limited financial capacity continue to constrain innovation [
7,
8,
9]. These differences suggest that long-standing structural heterogeneities and historical development paths continue to shape regional innovation outcomes [
10].
The COVID-19 shock appears to have magnified these pre-existing disparities. Regions endowed with strong digital infrastructure and established innovation and collaboration networks adapted more effectively, sustaining innovation activities during the crisis [
11,
12,
13]. In contrast, structurally weaker regions faced reductions in R&D investment, limited access to financial resources, and disruptions in knowledge transfer mechanisms [
14,
15]. Recent studies highlight both the transformative potential of the pandemic—through accelerated digitalization, new collaboration models, and innovation stimuli [
16,
17,
18,
19,
20,
21]—and its risk of reinforcing existing divides [
22,
23].
Moreover, existing research provides mixed evidence on convergence trends. Some studies argue that crises can trigger catch-up processes by accelerating technology diffusion and incentivizing adaptation in lagging regions [
17,
24]. Others find that unequal digital readiness, institutional rigidities, and heterogeneous innovation capacities reinforce divergence [
10,
23]. The pandemic, therefore, provides an opportunity to reassess convergence dynamics under an external shock of unprecedented magnitude.
Against this background, this study aims to examine the evolution of regional innovation performance and convergence dynamics across Europe in the context of the COVID-19 pandemic. Using data for 237 European NUTS 2 regions over the period 2016–2023, the analysis compares pre-pandemic and post-pandemic trajectories and addresses three research questions:
- (i)
Have European regions converged or diverged in their innovation performance following the COVID-19 shock?
- (ii)
How have regional innovation clusters evolved in response to accelerated digitization and changes in innovation activities?
- (iii)
Did regions more severely affected by COVID-19 exhibit different innovation dynamics compared to less exposed regions?
To answer these questions, the article adopts an integrated multi-method analytical framework combining Principal Component Analysis (PCA) to identify latent dimensions of regional innovation, Hierarchical Cluster Analysis (HCA) to classify regions into homogeneous groups, sigma-convergence measures to assess changes in regional disparities, and a Difference-in-Differences (DiD) approach to estimate the causal impact of the pandemic on innovation performance. By jointly applying these methods, the study contributes to the literature by providing new empirical evidence on how an exogenous shock reshapes regional innovation structures and convergence patterns in Europe.
The remainder of the article is organized as follows.
Section 2 reviews the relevant literature on regional innovation and convergence.
Section 3 presents stylized facts on European regional innovation.
Section 4 describes the dataset and variables.
Section 5 outlines the methodology.
Section 6 reports and discusses the empirical results.
Section 7 concludes.
2. Literature Review
Understanding the patterns of regional innovation and their convergence or divergence dynamics has long been a central theme in economic geography and regional economics [
4,
25,
26,
27,
28]. This section reviews the main strands of the literature on innovation-driven regional development, the role of external shocks in shaping innovation performance, and the methodological approaches commonly used to analyze regional innovation dynamics.
Innovation is widely recognized as a key driver of regional economic performance and long-term growth [
3,
4,
29]. The European innovation landscape is characterized by substantial spatial heterogeneity, with some regions exhibiting persistent technological leadership while others face enduring challenges in catching up [
6,
26,
30]. Empirical evidence consistently shows that regions endowed with strong human capital, high levels of R&D investment, and advanced digital infrastructure outperform others in terms of innovation output and economic resilience [
4,
7,
26,
30,
31]. These structural differences underpin the classification of regions into innovation leaders, moderate innovators, and lagging regions, as reflected in the European Innovation Scoreboard (EIS) [
9].
External shocks, such as financial crises or pandemics, play a significant role in reshaping regional innovation trajectories by affecting firms’ investment behaviour, knowledge diffusion, and institutional responses [
15,
30,
32]. The COVID-19 pandemic, in particular, has acted as a powerful accelerator of digital transformation across industries and regions, while simultaneously exposing and intensifying pre-existing innovation gaps [
11,
14,
33]. Several studies show that regions characterized by well-established innovation ecosystems, robust digital infrastructure, and dense collaboration networks exhibited greater resilience to the shock and were better able to sustain innovation activities [
11,
13,
34]. Conversely, regions characterized by weaker innovation structures experienced declines in R&D expenditure, reduced firm-level innovation activity, and significant disruptions in knowledge creation and transfer mechanisms following the shock [
14,
15,
35].
A central question in this literature concerns whether less innovative regions are able to catch up with more advanced ones over time. Convergence theories suggest that lagging regions may close the innovation gap if appropriate institutional, economic, and policy conditions are in place. However, persistent disparities in key innovation inputs, such as R&D intensity, digital readiness, and human capital, can hinder convergence processes and instead lead to sustained regional divergence [
4,
10,
23,
26,
30,
36]. While a substantial body of research has examined innovation dynamics at the national level [
3,
5,
21,
31], comparatively fewer studies have explicitly focused on convergence processes at the regional level, where local policies, industrial structures, and socio-economic contexts play a decisive role [
4,
37].
Recent contributions highlight that the impact of COVID-19 on regional innovation convergence remains empirically ambiguous. Some studies argue that crises may act as leveling forces by accelerating technology diffusion and fostering adaptive behaviour in lagging regions [
17,
24], while others suggest that the pandemic has reinforced disparities in innovation capacity and regional economic resilience [
23,
38,
39]. Emerging evidence suggests that the pandemic has reshaped innovation trajectories in complex ways, with digital transformation, innovation efficiency, and targeted policy interventions playing an increasingly important role in determining regional outcomes [
40,
41].
From a methodological perspective, a wide range of quantitative approaches has been employed to analyze regional innovation performance. Principal Component Analysis (PCA) is frequently used to reduce dimensionality and uncover latent structures in innovation indicators [
30,
42,
43,
44]. Hierarchical Cluster Analysis (HCA) has been applied to classify regions into distinct innovation profiles based on composite measures [
45,
46]. Additionally, convergence analyses, including sigma- and beta-convergence, are widely used to assess whether regional disparities in innovation are widening or narrowing over time [
6,
23,
47,
48]. However, relatively few studies integrate these methodological approaches within a unified framework that explicitly accounts for exogenous shocks such as the COVID-19 pandemic [
11,
14,
35,
38]. By combining these tools and focusing on the pandemic as an external shock, this study contributes to the literature by providing new empirical evidence on how regional innovation structures and convergence dynamics in Europe have evolved in the pre- and post-COVID period.
3. Stylized Facts
Detailed analyses of different European regions, based on the Regional Innovation Scoreboard (RIS), have uncovered persistent disparities in innovation performance. These differences are influenced not only by economic structure and levels of R&D investment but also by variations in digital skills and the quality of public–private collaboration [
6,
30,
49,
50,
51].
Regions classified as Innovation Leaders and Strong Innovators, mainly in Northern and Western Europe, such as Hovedstaden (Denmark), Helsinki-Uusimaa (Finland), and Oberbayern (Germany), consistently demonstrate superior innovation performance, largely due to advanced high-technology industrial bases, well-developed human capital, and robust digital ecosystems [
26,
45]. In contrast, Moderate and Emerging Innovator regions, predominantly in Southern and Eastern Europe, continue to face structural challenges related to weaker institutions, lower human capital levels, and limited innovation-support infrastructures [
41,
52].
Recent studies indicate that the impact of the COVID-19 pandemic on regional innovation has been highly heterogeneous [
14,
35,
53,
54]. The post-pandemic period shows increasing polarization, with high-performing regions consolidating their innovation leadership. At the same time, some moderate and emerging regions, often supported by targeted EU-funded programmes and regional policies, have demonstrated adaptive capacity and partial catch-up, resulting in so-called “pockets of resilience” [
38,
40,
53].
Convergence analyses based on dispersion measures of the Regional Innovation Index (RII) support these findings: while modest convergence occurred in the pre-pandemic period (2016–2019), the post-COVID phase (2020–2023) exhibits renewed divergence, particularly regarding digital transformation capabilities and investments in technologically advanced and sustainable sectors [
11,
45,
50,
51].
Recent literature increasingly emphasizes the need for differentiated policy approaches to address regional disparities. Scholars argue that customized innovation policies integrating digital and sustainability metrics are essential for bridging the widening innovation divide. Policy measures such as local capacity building, strengthened public–private partnerships, and targeted human capital development are considered critical for enhancing the resilience of moderate and emerging regions [
55,
56,
57]. Furthermore, incorporating performance efficiency metrics beyond traditional input–output ratios can help refine policy strategies and promote balanced regional development [
30,
40,
49].
The evolving European innovation landscape reflects a complex interplay of digital transformation, knowledge conversion efficiency, and policy interventions. Evidence suggests that the pandemic has accelerated innovation in advanced regions while exposing, and in some cases exacerbating, underlying structural disparities [
14,
35,
54]. This highlights the importance of region-specific policy responses that address immediate post-pandemic challenges and support long-term sustainable growth [
50,
54].
Figure 1 and
Figure 2 provide a descriptive visual representation of regional innovation clusters in the pre- and post-pandemic periods. The northern and western regions generally maintained or improved their innovative performance, while the eastern and southern regions display greater internal variation. These figures are intended to illustrate descriptive patterns and do not, by themselves, imply causal relationships.
4. Data
Data on regional innovation indicators for 237 European regions were sourced from the Regional Innovation Scoreboard (RIS 2023), which provides a harmonized assessment of innovation performance for the period 2016–2023. The dataset includes 21 indicators that capture four key dimensions of regional innovation capacity: Framework Conditions, Investments, Innovation Activities, and Impacts. These dimensions reflect both input- and output-related aspects of regional innovation systems. The indicators encompass educational attainment, digital skills, scientific output, R&D expenditures, SME innovation behaviour, intellectual property activity, and innovation-related employment, among others.
Table 1 summarises the variables included in the multivariate (PCA, HCA) and non-parametric convergence analyses, providing descriptions and units of measurement.
Descriptive statistics for the periods 2016–2019 and 2020–2023 are reported in
Table 2. The indicators are normalized between 0 and 1, which allows for straightforward cross-regional comparison and facilitates interpretation of changes in dispersion.
The descriptive statistics reveal several noteworthy trends. First, a general improvement in innovation-related indicators is visible in the post-pandemic period: indicators such as SMEs with product innovations, SMEs with process innovations, innovation expenditure per employee, and employment in innovative enterprises show increases in their mean values from 2016–2019 to 2020–2023. These descriptive patterns are consistent with existing evidence suggesting that the pandemic coincided with increased demand for digital solutions and new products and processes, although they do not, by themselves, imply causal effects.
Despite these improvements, substantial variability persists across regions, as reflected in the relatively high CV values for indicators such as lifelong learning, ICT specialists, and public and business R&D expenditures. In several cases, CV values remain above 0.60 in both periods, indicating entrenched disparities in human capital, digital workforce availability, and investment capacity. At the same time, indicators related to digital skills, tertiary education, and scientific output display modest improvements in mean values and slightly reduced dispersion in the post-pandemic period, suggesting incremental rather than uniform strengthening of foundational knowledge capacities across Europe.
Conversely, the indicator related to PM2.5 emissions (CO2) shows an increase in the mean value and a decrease in the CV, signaling a mild deterioration in environmental outcomes across regions, possibly linked to the rebound of industrial activity during the recovery phase.
These descriptive insights support the core hypotheses of the study. They reveal the emergence of distinct clusters of regions with relatively homogeneous characteristics (H1) and raise important questions regarding whether less advanced regions are effectively closing the gap with innovation leaders or whether divergence persists (H2). The empirical analyses that follow build on these stylized facts to provide a more detailed and methodologically grounded examination of these dynamics.
5. Methodology
5.1. Multivariate & Non-Parametric Convergence Analysis
The methodology adopted in this study integrates advanced multivariate statistical techniques with non-parametric convergence analyses to investigate patterns of convergence and divergence in regional innovation performance across European regions during the period 2016–2023, with particular emphasis on the structural changes associated with the COVID-19 pandemic. This integrated framework is designed to capture both the multidimensional nature of innovation systems and changes in dispersion across regions, while remaining primarily descriptive in this stage of the analysis.
Firstly, Principal Component Analysis (PCA) is employed to reduce the dimensionality of the dataset by synthesizing information contained in the 21 innovation indicators and identifying latent structures among them. PCA is particularly suited for handling large sets of correlated variables, as it transforms the original indicators
into a smaller set of uncorrelated variables, known as principal components (PCs), while retaining most of the original variance. Formally, each principal component
is defined as:
where
represent the loadings of the original variables on the principal components.
Prior to the analysis, all indicators were standardised to ensure comparability across regions. Components were retained based on the Kaiser criterion (eigenvalues greater than one) and confirmed using the scree plot. A Varimax rotation was applied to improve interpretability, and factor loadings above 0.30 were considered statistically and economically meaningful.
Secondly, Hierarchical Cluster Analysis (HCA) is conducted using Ward’s linkage method, which minimises within-cluster variance, and squared Euclidean distance computed on the PCA factor scores. Importantly, the cluster analysis is not applied to time-varying panel data. Instead, it is performed on cross-sectional representations of regional innovation profiles, obtained by aggregating indicators over two distinct sub-periods: the pre-pandemic period (2016–2019) and the post-pandemic period (2020–2023). This approach allows for a comparative assessment of regional innovation structures before and after the pandemic shock.
The agglomerative coefficient and silhouette analysis are used to determine the optimal number of clusters. The resulting dendrograms enable a clear visualization of homogeneous groups of regions with similar innovation characteristics (
Figure A1 and
Figure A2 in
Appendix A), and are intended to provide descriptive insights into changes in cluster composition rather than to trace dynamic trajectories over time.
Thirdly, non-parametric convergence analysis is conducted to assess changes in the dispersion of innovation performance across regions. Specifically,
-convergence is measured using the standard deviation (SD) of the Regional Innovation Index (RII), computed for two aggregated periods: pre-pandemic (2016–2019) and post-pandemic (2020–2023). Additionally, a synthetic convergence indicator (
) is calculated as the ratio between the standard deviation in the post-pandemic period and that of the pre-pandemic period:
Values of lower than one indicate convergence (declining disparities), while values greater than one indicate divergence (increasing disparities).
5.2. Difference-in-Differences (DiD) Analysis
A Difference-in-Differences (DiD) approach is employed to estimate the average causal effect of the COVID-19 pandemic on regional innovation performance across European regions.
Unlike the descriptive analyses presented earlier, this econometric framework explicitly addresses the attribution of observed changes in innovation performance to the pandemic shock. The identification strategy relies on comparing changes in the Regional Innovation Index (expressed in natural logarithms, ln(RII)) between the pre-pandemic period (2016–2019) and the post-pandemic period (2020–2023) for regions more severely affected by the pandemic (treatment group) and those less exposed (control group).
The empirical specification is given by:
where
denotes the innovation performance of region
i in year
t;
is a post-2019 dummy;
identifies regions with COVID-19-related mortality rates above a predefined threshold; and the interaction term
is the coefficient of interest, capturing the differential impact of the pandemic.
The identifying assumption underlying this specification is that, in the absence of the pandemic, treated and control regions would have followed parallel trends in innovation performance. The control vector includes 21 lagged regional innovation determinants (in logarithms), such as tertiary education, lifelong learning, R&D expenditures, and patent applications, thereby reducing potential confounding effects related to pre-existing structural differences across regions.
Region and year fixed effects (, ) are added to account for time-invariant heterogeneity and common shocks, while is the error term. Estimation is performed using a fixed-effects panel regression. The interpretation of the estimated parameters follows the standard Difference-in-Differences (DiD) framework. In particular, captures the baseline level of regional innovation performance for the control group in the pre-pandemic period. The coefficient measures the common time effect affecting all regions in the post-2019 period, independently of the intensity of exposure to the pandemic.
The parameter reflects time-invariant differences in innovation performance between treated and control regions prior to COVID-19. Finally, is the coefficient of primary interest, as it identifies the differential post-pandemic effect on regions more severely affected by COVID-19 relative to less exposed regions.
The parameter therefore captures whether the pandemic shock has contributed to convergence or divergence in regional innovation performance. Accordingly, any causal interpretation of the pandemic’s role is based on this interaction term rather than on descriptive comparisons or visual inspection of trends.
This parameterization is summarized in
Table 3, which illustrates the logic of the DiD estimator and the role of each coefficient in identifying the pandemic effect.
6. Results and Discussion
The empirical analysis is conducted through a multivariate framework combining PCA, HCA, and non-parametric convergence tests. Results are presented in a descriptive and exploratory manner, and are systematically reported in
Table 4 and
Table 5 and illustrated in
Figure 3,
Figure 4 and
Figure 5 to facilitate interpretation. Correlation matrices of all variables used in our analysis are reported in
Appendix A (
Table A1 and
Table A2).
6.1. Principal Component Analysis
Principal Component Analysis (PCA) is applied to reduce the original 21-dimensional dataset into a smaller set of uncorrelated components, capturing the main dimensions of regional innovation. Only components with eigenvalues greater than one are retained, resulting in five principal components for 2016–2019 and four for 2020–2023, jointly explaining approximately 78% and 73.6% of the total variance, respectively (
Table 4).
The first component (Comp1) dominates the variance structure, explaining 44.9% of the variance in 2016–2019 and 43.1% in 2020–2023. In the pre-pandemic period, Comp1 is strongly associated with knowledge-intensive and science-driven activities, including public–private co-publications, PCT patent applications, top 10% scientific publications, and digital skills (
Table 5). Regions scoring highly on Comp1 are therefore characterized by strong scientific capabilities and advanced digital competences, which provide a solid foundation for regional innovation performance.
The second component (Comp2) accounts for 13.1% of the variance in 2016–2019 and 15% in 2020–2023. In 2016–2019, Comp2 is dominated by non-R&D innovation expenditures, sales from innovative products, employment in innovative enterprises, and innovation expenditure per employee on the positive side, while trademarks, designs, and employment in knowledge-intensive activities load negatively. This configuration underlines the role of business-driven and market-oriented innovation dynamics, particularly those linked to firm-level spending and commercialization outcomes. In the post-pandemic period, Comp2 maintains a largely similar structure, with non-R&D innovation expenditures, sales of innovative products, employment in innovative enterprises, and innovation expenditure per employee remaining central, as well as trademarks and ICT specialists contributing negatively (
Table 5).
Components beyond the second (Comp3–Comp5) explain progressively smaller shares of the variance, reflecting more specific and localized innovation features, such as particular firm-level patterns, SME engagement, and knowledge transfer indicators. The slightly lower cumulative variance observed in 2020–2023 suggests a modest reconfiguration of the factor structure, indicating that while the core determinants of innovation remain persistent, some rebalancing across dimensions may have occurred in the post-pandemic period.
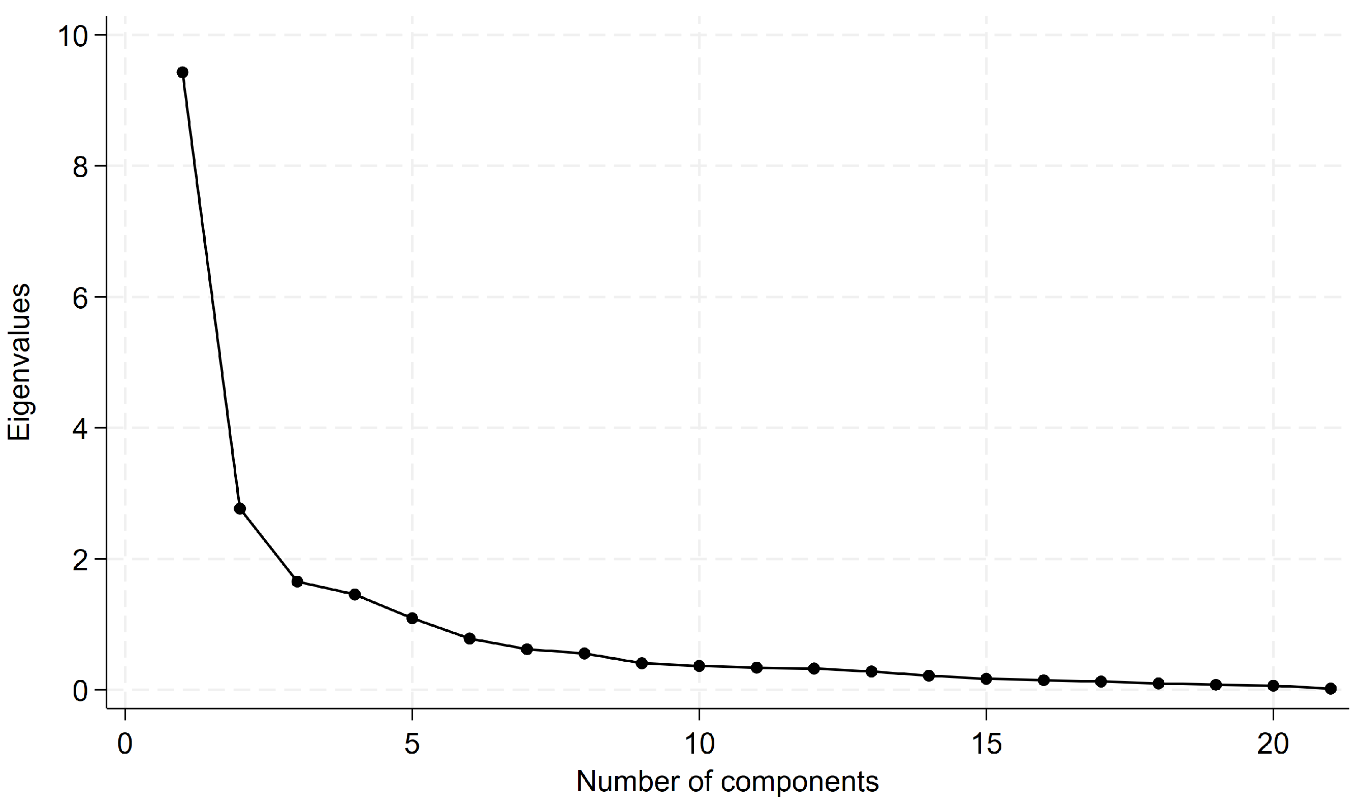
Scree plots (
Figure 3 and
Figure 4) illustrate a steep decline in eigenvalues after Comp2 for both periods, reinforcing the predominance of the first two components. This pattern suggests that the first two components capture the bulk of systematic variation in regional innovation, while the remaining components reflect more nuanced and secondary dimensions.
The PCA results highlight the combined importance of knowledge creation, scientific excellence, digital capabilities, and business-oriented innovation inputs as core dimensions of regional innovation systems. These findings point to a substantial degree of structural persistence over time, alongside moderate adjustments that are consistent with changes in digital adoption, research collaboration, and the allocation of innovation-related resources during and after the pandemic period.
6.2. Hierarchical Cluster Analysis
Hierarchical Cluster Analysis (HCA) provides a detailed and structured representation of regional innovation patterns across Europe, highlighting changes in the configuration of regional innovation profiles between the pre- and post-pandemic periods. In line with the methodological clarifications discussed above, HCA is used here as a descriptive and exploratory tool rather than a dynamic or causal method. To avoid any ambiguity, it is important to clarify that the hierarchical cluster analysis is not applied to time-varying panel data. Instead, clustering is performed on cross-sectional representations of regional innovation profiles, obtained by aggregating the indicators over two distinct sub-periods (2016–2019 and 2020–2023), corresponding to the pre- and post-COVID-19 phases.
In the pre-pandemic period (2016–2019), European regions are grouped into four distinct clusters, displaying a clear separation between highly innovative regions, mainly located in Northern and Western Europe, and lagging regions, largely concentrated in Eastern and Southern Europe. Clusters 1 and 2, corresponding to Innovation Leaders and Science-Driven Innovators, are characterized by strong innovation infrastructures, robust institutional frameworks, substantial R&D expenditures, and high engagement in knowledge-intensive activities. In contrast, Clusters 3 and 4 (Emerging Innovators and Traditional/Slow Adopters) exhibit systematically lower innovation performance and comparatively weaker innovation ecosystems (
Table 5 and
Table 6).
Table 5 reports the principal components (PC1 and PC2) used to characterize these clusters. Loadings with very small absolute values (e.g., close to zero) are not considered economically meaningful and are therefore not discussed in the interpretation of the principal components, which focuses on variables with higher contributions (absolute value ≥ 0.20).
For the 2016–2019 period, PC1 captures knowledge-intensive and science-based innovation activities, including public–private co-publications, patent applications, top 10% scientific publications, and digital skills. No relevant negative loadings emerge for PC1, indicating that this component predominantly reflects a single, coherent innovation dimension. PC2 primarily reflects business-driven and market-oriented innovation dynamics, with positive loadings on non-R&D innovation expenditure, sales from innovative products, employment in innovative enterprises, and innovation expenditure per employee, while trademarks, designs, and employment in knowledge-intensive activities load negatively.
In the post-pandemic period (2020–2023), the PCA structure underlying the clustering shows moderate adjustments. International scientific co-publications and business R&D expenditures gain relative importance within PC1, while PC2 continues to capture firm-level innovation dynamics centred on non-R&D innovation expenditures, sales of innovative products, and employment in innovative enterprises (
Table 5). These changes suggest a partial reconfiguration of innovation profiles rather than a complete structural break, pointing to continuity alongside adaptation in regional innovation systems.
The cluster-specific analysis (
Table 6 and
Table 7) provides further insights. In 2016–2019, Innovation Leaders (Cluster 1) excelled in tertiary education (0.406), digital skills (0.506), R&D expenditures in both public (0.434) and business sectors (0.388), and employment in innovative enterprises (0.679). Science-Driven Innovators (Cluster 2) outperformed Cluster 1 in research metrics, including international co-publications (0.763) and top 10% cited publications (0.733). Emerging Innovators (Cluster 3) and Traditional/Slow Adopters (Cluster 4) lagged across most indicators, particularly in business R&D (0.049 and 0.118) and employment in innovative enterprises (0.495 and 0.172).
Post-pandemic (2020–2023), the data show notable changes. Innovation Leaders (Cluster 1) maintained their strengths, with slight improvements in tertiary education (from 0.406 to 0.438) and robust digital skills (0.500), although they no longer display the highest digital performance among all clusters. Science-Driven Innovators (Cluster 2) experienced declines in several indicators, including tertiary education (from 0.680 to 0.365), lifelong learning (from 0.694 to 0.151), and international co-publications (from 0.763 to 0.209), suggesting some erosion of earlier advantages. Emerging Innovators (Cluster 3) recorded marked gains in business R&D (0.595), SMEs introducing product and process innovations (0.663 and 0.666), and employment in knowledge-intensive activities (0.640), as well as the highest levels of digital skills (0.733) and ICT specialists (0.663). Traditional/Slow Adopters (Cluster 4) exhibited mixed results: improvements were visible in business R&D (from 0.118 to 0.657) and SMEs introducing process innovations (0.808), but structural weaknesses remained, particularly in tertiary education (0.410) and digital skills (0.467) (
Table 7).
The distribution of regions across clusters (
Table 8) further illustrates these dynamics. The proportion of Innovation Leaders remained broadly stable (from 37.97% to 38.40%), Science-Driven Innovators decreased from 26.58% to 18.56%, and Emerging Innovators more than doubled from 10.13% to 28.27%. The share of Traditional/Slow Adopters dropped from 25.32% to 14.77%, suggesting patterns of convergence among previously lagging regions alongside the emergence of new high-performing regions. This pattern reflects a dual process: while Northern and Western Europe consolidated their innovation leadership, several previously lagging regions appear to have improved their relative positioning, potentially supported by targeted policies and EU-funded initiatives.
6.3. The -Convergence Analysis
The
-convergence analysis quantifies dispersion in regional innovation performance, complementing the cluster-based assessment.
Table 9 reports standard deviations and synthetic indices for selected innovation indicators, highlighting heterogeneous patterns across regions.
Indicators such as digital skills, lifelong learning, SMEs’ product innovation, and SMEs’ collaboration show relative stability or mild convergence, with values close to or slightly below 1. In contrast, indicators like international scientific co-publications and SMEs’ process innovation exhibit divergence, reflected by values clearly above 1. Public and business R&D expenditures display decreases in standard deviation and , indicating convergence in these investment-related dimensions.
The post-pandemic period is therefore characterized by a mixed pattern: while certain innovation dimensions, particularly those linked to R&D investment and selected human-capital indicators, show convergence, others diverge, leading to persistent and, in some cases, widening disparities across regions. In particular, the standard deviation of the Regional Innovation Index (RII) increased from 0.28 in the pre-pandemic period to 0.33 in the post-pandemic period, and the associated synthetic convergence indicator () points to a general widening of overall innovation gaps.
It is worth noting that the index captures absolute changes in dispersion, while the index provides a relative measure of convergence or divergence between the two sub-periods; the interpretation of regional innovation dynamics therefore primarily relies on the latter.
Figure 5 illustrates regional classifications before and after the pandemic, highlighting shifts within innovation groups. Regions previously classified as moderate innovators have followed diverse trajectories, with some converging toward higher performance clusters and others continuing to lag behind.
These findings underscore the importance of targeted, differentiated policy interventions to reduce regional disparities, strengthen innovation capabilities, and support sustainable growth in Europe’s post-pandemic landscape.
6.4. Difference-in-Differences Analysis
Table 10 presents the results of the DiD regression, which estimates the average causal effect of the COVID-19 pandemic on regional innovation performance. The coefficient of primary interest, the interaction term between the post-pandemic period dummy and the treatment group (regions with high COVID-19 mortality), is positive and statistically significant (0.0217). This result indicates that, after controlling for pre-existing regional characteristics and common temporal shocks, the most severely affected regions experienced a relative increase of approximately 2.17% in innovation performance compared to regions less exposed to the pandemic.
The post-pandemic period dummy is also positive and significant (0.0207), suggesting that innovation performance improved overall across European regions following 2020. In contrast, the treatment group dummy is negative and highly significant, reflecting lower baseline innovation levels in regions that ultimately exhibited high COVID-19 mortality. The inclusion of region and year fixed effects ensures that the estimates are not biased by unobserved time-invariant regional characteristics or by common shocks unrelated to the pandemic.
The positive and significant interaction term suggests that regions disproportionately affected by COVID-19 were able to adjust rapidly and, to some extent, narrow the innovation gap with less affected regions. Several mechanisms may explain this finding. First, the pandemic accelerated digital transformation processes, including the adoption of remote collaboration tools and digital R&D platforms, which may have particularly benefited innovation-intensive activities. Second, policy responses, including targeted R&D subsidies, emergency investment programs, and support for public–private collaboration, are likely to have been more intensively directed toward hard-hit regions, thereby stimulating their innovation output. Third, heightened disruption pressures may have induced more adaptive behaviour among firms and research institutions, prompting experimentation, rapid organizational change, and new collaborative networks.
Despite these relative gains, the results should be interpreted within the broader context of persistent structural differences. The negative coefficient of the treatment dummy indicates that heavily affected regions continue to display lower baseline innovation performance. This highlights the need for sustained policy support. In particular, regions classified as Traditional or Slow Adopters may require long-term investments in human capital, research infrastructure, and digital capabilities to transform short-term improvements into durable gains and support a more sustainable trajectory of innovation convergence across Europe.
7. Conclusions
This study provides a comprehensive assessment of regional innovation dynamics in Europe, with particular attention to the effects of the COVID-19 pandemic. The evidence reveals that European regions continue to exhibit substantial heterogeneity in innovation performance, with Northern and Western regions generally maintaining a leading position and many Eastern and Southern regions still lagging. The analysis highlights both persistent structural disparities and signs of adaptation and partial reconfiguration in the post-pandemic period.
The HCA and PCA results indicate that the four innovation clusters—Innovation Leaders, Science-Driven Innovators, Emerging Innovators, and Traditional/Slow Adopters—have followed distinct trajectories. Innovation Leaders broadly maintained their strong position, retaining relatively high levels of human capital, digital skills, and innovation-related investments. Science-Driven Innovators exhibited more mixed dynamics, with some erosion in indicators such as tertiary education, lifelong learning, and international co-publications, but continued strength in collaborative research outputs. Emerging Innovators displayed notable gains across multiple indicators, including business R&D, SME innovation activity, digital skills, and knowledge-intensive employment, reflecting adaptive catch-up processes often supported by EU initiatives and regionally targeted policies. Traditional/Slow Adopters, although showing improvements in business R&D and SME process innovations, continue to face structural challenges in human capital, digital skills, and innovation infrastructure (
Table 6 and
Table 7).
The
-convergence analysis complements these findings by quantifying regional disparities. While certain dimensions, such as lifelong learning, digital skills, and SME product innovation, show relative stability or mild convergence, other areas, including international scientific co-publications and SME process innovations, display divergence, contributing to a widening gap in overall innovation performance. The standard deviation of the Regional Innovation Index (RII) increased from 0.28 in the pre-pandemic period to 0.33 in the post-pandemic period, and the synthetic convergence indicator (
) points to a general increase in disparities (
Table 9). This mixed pattern suggests that the pandemic has tended to amplify pre-existing differences, reinforcing the importance of resilience and pre-existing capabilities in shaping regional outcomes.
The Difference-in-Differences (DiD) analysis adds further nuance by examining the causal impact of COVID-19 on innovation. Regions most affected by high COVID-19 mortality experienced a statistically significant relative increase in innovation performance (approximately 2.17%), suggesting adaptive responses and a partial post-crisis catch-up (
Table 10). This pattern may reflect accelerated digitalization, targeted policy support, and adaptive strategies adopted by firms and research institutions in the most affected regions. However, despite these relative gains, baseline disparities persist, particularly for regions historically categorized as Traditional/Slow Adopters, highlighting the need for sustained and long-term policy interventions.
This study underscores a dual dynamic in European regional innovation: on the one hand, strong regions continue to consolidate or maintain their advantages; on the other hand, some lagging regions demonstrate a capacity for adaptive growth and partial catch-up, even though structural imbalances remain. These findings carry important policy implications:
strengthening human capital, digital skills, and R&D investments in underperforming regions to build long-term innovation capacity;
supporting SME innovation and collaborative networks to enhance regional adaptability and resilience;
leveraging EU Smart Specialization Strategies to align innovation policies with regional strengths and to foster inter-regional knowledge-sharing;
maintaining targeted interventions in regions most affected by major shocks, to translate short-term adaptive gains into more durable convergence patterns.
Future research should explore in greater detail the specific mechanisms that enable catch-up in lagging regions, combining micro-level firm data, qualitative assessments of regional innovation ecosystems, and rigorous evaluations of policy interventions. A deeper understanding of these factors could inform more effective strategies to reduce disparities and foster inclusive, innovation-led growth across Europe.
Author Contributions
Conceptualization, M.C. and R.M.F.; methodology, M.C. and R.M.F.; software, M.C. and R.M.F.; validation, M.C. and R.M.F.; formal analysis, M.C. and R.M.F.; investigation, M.C. and R.M.F.; resources, M.C. and R.M.F.; data curation, R.M.F. and A.S.; writing—original draft preparation, R.M.F. and A.S.; writing—review and editing, M.C. and R.M.F.; visualization, M.C. and R.M.F.; supervision, M.C.; project administration, M.C.; funding acquisition, M.C. All authors have read and agreed to the published version of the manuscript.
Funding
This work was undertaken within the CLIMETransition project. The CLIMETransition project is funded by the European Union “Next Generation EU” through the Italian Ministry of University and Research within NRRP Mission 4 “Education and Research”–Component C2–Investment 1.1 “Fondo per il programma Nazionale di Ricerca e progetti di Rilevante Interesse Nazionale (PRIN)” approved by the Decree n. 1376, 1 September 2023, and running under the CUP Master F53D23009450001 [CUP Cipollina–H53D23008410001, CUP Scrocco–H53D23008410001]. Activities by Fanelli were carried out in the framework of the NextGenerationEU–National Recovery and Resilience Plan, Mission 4 Education and Research–Component 2 “From research to business”–Investment 1.5, ECS_00000041 VITALITY–Innovation, digitalisation and sustainability for the diffused economy in Central Italy–CUP H73C22000320001. The information and views set out in this publication are those of the authors only and do not necessarily reflect those of the European Union or the Italian Ministry of University and Research. Neither the European Union nor the granting authority can be held responsible for them.
Institutional Review Board Statement
Not applicable.
Informed Consent Statement
Not applicable.
Data Availability Statement
Data are available upon request to the authors.
Conflicts of Interest
The authors declare no conflicts of interest.
Abbreviations
The following abbreviations are used in this manuscript:
| COVID-19 | Coronavirus Disease 2019 |
| DiD | Difference-in-Differences |
| EU | European Union |
| HCA | Hierarchical Cluster Analysis |
| ICT | Information and Communication Technologies |
| NUTS 2 | Nomenclature of Territorial Units for Statistics, Level 2 |
| PCA | Principal Component Analysis |
| R&D | Research and Development |
| RII | Regional Innovation Index |
| SME | Small and Medium Enterprises |
Appendix A
Table A1.
Correlation Matrix (2016–2019).
Table A1.
Correlation Matrix (2016–2019).
| Indicators | Education | Lifelong Learning | Int. Sci. Co-Pub. | Top 10% Sci. Pub. | Digital Skills | R&D Exp. Public | R&D Exp. Business | Non-R&D Exp. | Inn. Exp. Emp. | ICT Specialists | SMEs Prod. Inn. | SMEs Proc. Inn. | SMEs Collab. | Public-Priv. Co-Pub. | PCT Patents | Trademarks | Designs | Emp. Know. Activ. | Emp. Inn. Ent. | Sales | CO2 |
|---|
| Education | 1.00 | | | | | | | | | | | | | | | | | | | | |
| Lifelong Learning | 0.46 | 1.00 | | | | | | | | | | | | | | | | | | | |
| Int. Sci. Co-Pub. | 0.55 | 0.53 | 1.00 | | | | | | | | | | | | | | | | | | |
| Top 10% Sci. Pub. | 0.27 | 0.61 | 0.70 | 1.00 | | | | | | | | | | | | | | | | | |
| Digital Skills | 0.36 | 0.75 | 0.55 | 0.71 | 1.00 | | | | | | | | | | | | | | | | |
| R&D Exp. Public | 0.32 | 0.44 | 0.73 | 0.52 | 0.48 | 1.00 | | | | | | | | | | | | | | | |
| R&D Exp. Business | 0.36 | 0.60 | 0.55 | 0.55 | 0.59 | 0.51 | 1.00 | | | | | | | | | | | | | | |
| Non-R&D Exp. | −0.24 | −0.28 | −0.07 | −0.09 | −0.16 | 0.05 | −0.13 | 1.00 | | | | | | | | | | | | | |
| Inn. Exp. Emp. | 0.27 | 0.21 | 0.38 | 0.38 | 0.30 | 0.29 | 0.27 | 0.42 | 1.00 | | | | | | | | | | | | |
| ICT Specialists | 0.55 | 0.50 | 0.65 | 0.44 | 0.49 | 0.46 | 0.56 | −0.21 | 0.31 | 1.00 | | | | | | | | | | | |
| SMEs Prod. Inn. | 0.09 | 0.53 | 0.51 | 0.69 | 0.64 | 0.53 | 0.62 | 0.14 | 0.38 | 0.41 | 1.00 | | | | | | | | | | |
| SMEs Proc. Inn. | 0.16 | 0.42 | 0.51 | 0.65 | 0.46 | 0.48 | 0.44 | 0.13 | 0.33 | 0.32 | 0.85 | 1.00 | | | | | | | | | |
| SMEs Collab. | 0.42 | 0.53 | 0.49 | 0.61 | 0.63 | 0.44 | 0.43 | 0.17 | 0.57 | 0.38 | 0.59 | 0.54 | 1.00 | | | | | | | | |
| Public-Priv. Co-Pub. | 0.48 | 0.57 | 0.95 | 0.74 | 0.63 | 0.73 | 0.70 | −0.06 | 0.39 | 0.67 | 0.62 | 0.52 | 0.52 | 1.00 | | | | | | | |
| PCT Patents | 0.24 | 0.64 | 0.54 | 0.66 | 0.69 | 0.49 | 0.85 | −0.04 | 0.33 | 0.46 | 0.71 | 0.48 | 0.44 | 0.70 | 1.00 | | | | | | |
| Trademarks | 0.33 | 0.42 | 0.44 | 0.44 | 0.46 | 0.31 | 0.55 | −0.37 | 0.03 | 0.54 | 0.39 | 0.33 | 0.12 | 0.48 | 0.57 | 1.00 | | | | | |
| Designs | 0.09 | 0.21 | 0.19 | 0.22 | 0.24 | 0.11 | 0.44 | −0.08 | 0.04 | 0.23 | 0.29 | 0.11 | −0.03 | 0.28 | 0.56 | 0.67 | 1.00 | | | | |
| Emp. Know. Activ. | 0.27 | 0.30 | 0.45 | 0.27 | 0.35 | 0.31 | 0.67 | −0.08 | 0.23 | 0.64 | 0.37 | 0.17 | 0.18 | 0.56 | 0.60 | 0.47 | 0.45 | 1.00 | | | |
| Emp. Inn. Ent. | 0.06 | 0.23 | 0.43 | 0.59 | 0.48 | 0.43 | 0.41 | 0.39 | 0.68 | 0.25 | 0.72 | 0.64 | 0.61 | 0.51 | 0.57 | 0.22 | 0.24 | 0.29 | 1.00 | | |
| Sales | 0.05 | 0.07 | 0.16 | 0.33 | 0.19 | 0.10 | 0.04 | 0.34 | 0.53 | 0.06 | 0.21 | 0.24 | 0.49 | 0.14 | 0.15 | 0.01 | 0.02 | 0.06 | 0.57 | 1.00 | |
| CO2 | 0.25 | 0.65 | 0.37 | 0.56 | 0.68 | 0.36 | 0.42 | −0.07 | 0.23 | 0.24 | 0.49 | 0.40 | 0.51 | 0.41 | 0.55 | 0.26 | 0.09 | 0.15 | 0.41 | 0.26 | 1.00 |
Table A2.
Correlation Matrix (2020–2023).
Table A2.
Correlation Matrix (2020–2023).
| Indicators | Education | Lifelong Learning | Int. Sci. Co-Pub. | Top 10% Sci. Pub. | Digital Skills | R&D Exp. Public | R&D Exp. Business | Non-R&D Exp. | Inn Exp. Emp. | ICT Specialists | SMEs Prod. Inn. | SMEs Proc. Inn. | SMEs Collab | Public-Priv Co-Pub. | PCT Patents | Trademarks | Designs | Emp. Know. Activ. | Emp. Inn. Ent. | Sales | CO2 |
|---|
| Education | 1 | | | | | | | | | | | | | | | | | | | | |
| Lifelong Learning | 0.52 | 1 | | | | | | | | | | | | | | | | | | | |
| Int. Sci. Co-Pub. | 0.60 | 0.58 | 1 | | | | | | | | | | | | | | | | | | |
| Top 10% Sci. Pub. | 0.32 | 0.61 | 0.63 | 1 | | | | | | | | | | | | | | | | | |
| Digital Skills | 0.56 | 0.84 | 0.54 | 0.68 | 1 | | | | | | | | | | | | | | | | |
| R&D Exp. Public | 0.37 | 0.39 | 0.75 | 0.47 | 0.38 | 1 | | | | | | | | | | | | | | | |
| R&D Exp. Business | 0.42 | 0.49 | 0.54 | 0.45 | 0.46 | 0.54 | 1 | | | | | | | | | | | | | | |
| Non-R&D Exp. | −0.23 | −0.29 | −0.07 | −0.06 | −0.15 | 0.10 | −0.09 | 1 | | | | | | | | | | | | | |
| Inn Exp. Emp | 0.29 | 0.28 | 0.42 | 0.44 | 0.37 | 0.39 | 0.39 | 0.48 | 1 | | | | | | | | | | | | |
| ICT Specialists | 0.63 | 0.49 | 0.65 | 0.38 | 0.42 | 0.47 | 0.61 | −0.17 | 0.36 | 1 | | | | | | | | | | | |
| SMEs Prod. Inn. | 0.20 | 0.32 | 0.49 | 0.54 | 0.32 | 0.54 | 0.49 | 0.34 | 0.52 | 0.33 | 1 | | | | | | | | | | |
| SMEs Proc. Inn. | 0.15 | 0.28 | 0.46 | 0.54 | 0.28 | 0.58 | 0.46 | 0.30 | 0.47 | 0.28 | 0.92 | 1 | | | | | | | | | |
| SMEs Collab. | 0.37 | 0.45 | 0.52 | 0.57 | 0.54 | 0.49 | 0.45 | 0.37 | 0.69 | 0.36 | 0.71 | 0.61 | 1 | | | | | | | | |
| Public-Priv. Co-Pub. | 0.52 | 0.54 | 0.94 | 0.67 | 0.52 | 0.78 | 0.68 | −0.04 | 0.45 | 0.66 | 0.56 | 0.55 | 0.54 | 1 | | | | | | | |
| PCT Patents | 0.29 | 0.59 | 0.54 | 0.59 | 0.55 | 0.53 | 0.82 | −0.06 | 0.42 | 0.47 | 0.55 | 0.53 | 0.44 | 0.69 | 1 | | | | | | |
| Trademarks | 0.39 | 0.38 | 0.46 | 0.37 | 0.30 | 0.33 | 0.48 | −0.23 | 0.09 | 0.53 | 0.30 | 0.34 | 0.11 | 0.51 | 0.50 | 1 | | | | | |
| Designs | 0.12 | 0.17 | 0.17 | 0.19 | 0.11 | 0.13 | 0.45 | −0.13 | 0.07 | 0.27 | 0.15 | 0.19 | 0.00 | 0.28 | 0.51 | 0.65 | 1 | | | | |
| Emp. Know. Activ. | 0.32 | 0.22 | 0.44 | 0.19 | 0.17 | 0.30 | 0.70 | −0.07 | 0.26 | 0.70 | 0.27 | 0.23 | 0.20 | 0.54 | 0.55 | 0.44 | 0.38 | 1 | | | |
| Emp. Inn. Ent. | 0.11 | 0.16 | 0.38 | 0.49 | 0.28 | 0.47 | 0.43 | 0.50 | 0.78 | 0.27 | 0.76 | 0.74 | 0.69 | 0.47 | 0.51 | 0.20 | 0.19 | 0.27 | 1 | | |
| Sales | 0.06 | −0.03 | 0.19 | 0.27 | 0.05 | 0.13 | −0.01 | 0.51 | 0.48 | 0.06 | 0.36 | 0.36 | 0.40 | 0.17 | −0.03 | 0.10 | −0.07 | −0.03 | 0.50 | 1 | |
| CO2 | 0.21 | 0.62 | 0.32 | 0.43 | 0.55 | 0.35 | 0.36 | −0.15 | 0.24 | 0.16 | 0.30 | 0.39 | 0.33 | 0.36 | 0.55 | 0.25 | 0.11 | 0.08 | 0.26 | 0.03 | 1 |
Figure A1.
Dendrogram for cluster analysis (2016–2019). Note: Authors’ elaboration on RIS 2023 data.
Figure A1.
Dendrogram for cluster analysis (2016–2019). Note: Authors’ elaboration on RIS 2023 data.
Figure A2.
Dendrogram for cluster analysis (2020–2023). Note: Authors’ elaboration on RIS 2023 data.
Figure A2.
Dendrogram for cluster analysis (2020–2023). Note: Authors’ elaboration on RIS 2023 data.
References
- Calvino, F.; Criscuolo, C.; Ughi, A. Digital Adoption During COVID-19: Cross-Country Evidence from Microdata; Technical Report; OECD Publishing: Paris, France, 2024. [Google Scholar]
- Verhoef, P.C.; Broekhuizen, T.; Bart, Y.; Bhattacharya, A.; Dong, J.Q.; Fabian, N.; Haenlein, M. Digital transformation: A multidisciplinary reflection and research agenda. J. Bus. Res. 2021, 122, 889–901. [Google Scholar] [CrossRef]
- Acs, Z.J.; Audretsch, D.B.; Feldman, M.P. Innovation and Regional Growth; Springer: Berlin/Heidelberg, Germany, 2002. [Google Scholar]
- Rodríguez-Pose, A.; Crescenzi, R. Research and Development, Spillovers, Innovation Systems, and the Genesis of Regional Growth in Europe. Reg. Stud. 2008, 42, 51–67. [Google Scholar] [CrossRef]
- Fagerberg, J.; Srholec, M.; Verspagen, B. The Role of Innovation in Development. Oxf. Rev. Econ. Policy 2017, 33, 2–36. [Google Scholar]
- Rodríguez-Pose, A. Do Institutions Matter for Regional Development? Reg. Stud. 2013, 47, 1034–1047. [Google Scholar] [CrossRef]
- Audretsch, D.B.; Feldman, M.P. Knowledge Spillovers and the Geography of Innovation. In Handbook of Regional and Urban Economics; Elsevier: Amsterdam, The Netherlands, 2004; Volume 4, pp. 2713–2739. [Google Scholar]
- Cirillo, V.; Martinelli, A.; Nuvolari, A.; Tranchero, M. Only one way to skin a cat? Heterogeneity and equifinality in European national innovation systems. Res. Policy 2019, 48, 905–922. [Google Scholar] [CrossRef]
- Hollanders, H.; Es-Sadki, N. European Innovation Scoreboard 2019; Technical Report; European Commission: Brussels, Belgium, 2019. [Google Scholar]
- Zabala-Iturriagagoitia, J.M.; Aparicio, J.; Ortiz, L.; Carayannis, E.G.; Grigoroudis, E. The productivity of national innovation systems in Europe: Catching up or falling behind? Technovation 2021, 102, 102215. [Google Scholar] [CrossRef]
- Crescenzi, R.; De Angelis, V.; Nathan, M. The Geography of Innovation During COVID-19. Reg. Stud. 2022, 56, 654–672. [Google Scholar]
- Dyba, W.; Di Maria, E. Assessment and support of the digitalization of businesses in Europe during and after the COVID-19 pandemic. Reg. Sci. Policy Pract. 2024, 16, 12717. [Google Scholar] [CrossRef]
- Roper, S.; Turner, J. R&D and Innovation After COVID-19. Int. Small Bus. J. 2020, 38, 504–514. [Google Scholar]
- Archibugi, D.; Filippetti, A.; Frenz, M. Investment in Innovation for European Recovery: A Public Policy Priority. Sci. Public Policy 2021, 48, 673–685. [Google Scholar] [CrossRef]
- Filippetti, A.; Archibugi, D. Innovation in Times of Crisis: National Systems of Innovation, Structure, and Demand. Res. Policy 2011, 40, 179–192. [Google Scholar] [CrossRef]
- Agarwal, R.; Gaule, P. What drives innovation? Lessons from COVID-19 R&D. J. Health Econ. 2022, 82, 102591. [Google Scholar]
- Caballero-Morales, S.O. Innovation as recovery strategy for SMEs in emerging economies during the COVID-19 pandemic. Res. Int. Bus. Financ. 2021, 57, 101396. [Google Scholar] [CrossRef]
- Kotsopoulos, D.; Karagianaki, A.; Baloutsos, S. The effect of human capital, innovation capacity, and COVID-19 crisis on Knowledge-Intensive Enterprises’ growth within a VC-driven innovation ecosystem. J. Bus. Res. 2022, 139, 1177–1191. [Google Scholar] [CrossRef]
- Markovic, S.; Koporcic, N.; Arslanagic-Kalajdzic, M.; Kadic-Maglajlic, S.; Bagherzadeh, M.; Islam, N. Business-to-business open innovation: COVID-19 lessons for small and medium-sized enterprises from emerging markets. Technol. Forecast. Soc. Change 2021, 170, 120883. [Google Scholar] [CrossRef]
- Wang, X.; Qin, Y.; Xu, Z.; Škare, M. A look at the focus shift in innovation literature due to COVID-19 pandemic. J. Bus. Res. 2022, 145, 1–20. [Google Scholar] [CrossRef]
- Yan, T.; Yu, W.; Zhao, Z. The Impact of the COVID-19 Crisis on EU Income Convergence Patterns. In Proceedings of the 2022 2nd International Conference on Enterprise Management and Economic Development (ICEMED 2022), Dalian, China, 27–29 May 2022; pp. 1033–1039. [Google Scholar] [CrossRef]
- Aumeboonsuke, V. Digital convergence and divergence in EU and ASEAN economies. Economics 2024, 13, 153–177. [Google Scholar] [CrossRef]
- Vratimos, A. Digital transformation and COVID-19: The case of Greece. Eur. Sci. J. 2023, 19, 55. [Google Scholar] [CrossRef]
- Marques, J.; Santos, C.; Oliveira, M. A quest for innovation drivers with autometrics: Do these differ before and after the COVID-19 pandemic for European economies? Economies 2025, 13, 110. [Google Scholar] [CrossRef]
- Camagni, R.; Capello, R. Regional competitiveness and territorial capital: A conceptual approach and empirical evidence from the European Union. Reg. Stud. 2013, 47, 1383–1402. [Google Scholar] [CrossRef]
- Capello, R.; Lenzi, C. Territorial patterns of innovation and economic growth in European regions. Growth Change 2013, 44, 195–227. [Google Scholar] [CrossRef]
- Guastella, G.; Timpano, F. Knowledge, innovation, agglomeration and regional convergence in the EU: Motivating place-based regional intervention. Rev. Reg. Res. 2016, 36, 121–143. [Google Scholar] [CrossRef]
- Moreno, R.; Paci, R.; Usai, S. Spatial spillovers and innovation activity in European regions. Environ. Plan. A 2005, 37, 1793–1812. [Google Scholar] [CrossRef]
- Marrocu, E.; Paci, R.; Usai, S. Proximity, networking and knowledge production in Europe: What lessons for innovation policy? Technol. Forecast. Soc. Change 2013, 80, 1484–1498. [Google Scholar] [CrossRef]
- Crescenzi, R.; Gagliardi, L.; Percoco, M. Human capital and regional development in Europe. Reg. Stud. 2016, 50, 157–176. [Google Scholar]
- McCann, P.; Ortega-Argilés, R. Smart Specialization, Regional Growth and Applications to EU Cohesion Policy. Reg. Stud. 2015, 49, 1291–1302. [Google Scholar] [CrossRef]
- Antonelli, C.; Crespi, F. The “Matthew effect” in R&D public subsidies: The Italian evidence. Technol. Forecast. Soc. Change 2013, 80, 1523–1534. [Google Scholar]
- Katz, R.; Jung, J. The Economic Impact of Broadband and Digitization Through the COVID-19 Pandemic: Econometric Modelling; Technical Report; International Telecommunication Union: Geneva, Switzerland, 2021. [Google Scholar]
- Boschma, R. Towards an evolutionary perspective on regional resilience. Reg. Stud. 2015, 49, 733–751. [Google Scholar] [CrossRef]
- Gifford, J.; Thomas, D.; Snijders, T. Regional Innovation and the COVID-19 Shock: Evidence from European Firms. Technovation 2022, 102, 102157. [Google Scholar]
- Boschma, R. Relatedness as driver of regional diversification: A research agenda. Reg. Stud. 2017, 51, 351–364. [Google Scholar] [CrossRef]
- Kolupaieva, I.; Tiesheva, L. Asymmetry and convergence in the development of digital technologies in the EU countries. Equilib. Q. J. Econ. Econ. Policy 2023, 18, 687–716. [Google Scholar] [CrossRef]
- Abrhám, J.; Vošta, M. Impact of the COVID-19 Pandemic on EU Convergence. J. Risk Financ. Manag. 2022, 15, 384. [Google Scholar] [CrossRef]
- D’Aloia, F.; Gugler, P. Impact of COVID-19 on the economic growth of ASEAN countries: Convergence or divergence? Int. J. Glob. Bus. Compet. 2024, 19, 83–95. [Google Scholar] [CrossRef]
- Teirlinck, P.; Spithoven, A. Improving the regional innovation scoreboard for policy: How about innovation efficiency? Sci. Public Policy 2023, 50, 1001–1017. [Google Scholar] [CrossRef]
- Singer-Coudoux, K.; Buxmann, H.N.; Will, M. Empowering Future Entrepreneurs: Developing an Online Entrepreneurial Mentoring Program Across Diverse EU Regions. In Proceedings of the European Conference on Innovation and Entrepreneurship, Paris, France, 26–27 September 2024; pp. 721–728. [Google Scholar] [CrossRef]
- Jaffe, A.B.; Trajtenberg, M.; Henderson, R. Geographic Localization of Knowledge Spillovers as Evidenced by Patent Citations. Q. J. Econ. 1993, 108, 577–598. [Google Scholar] [CrossRef]
- Jolliffe, I.T.; Cadima, J. Principal component analysis: A review and recent developments. Philos. Trans. R. Soc. A Math. Phys. Eng. Sci. 2016, 374, 20150202. [Google Scholar] [CrossRef] [PubMed]
- Sterlacchini, A. R&D, Higher Education and Regional Growth: Uneven Linkages Among European Regions. Res. Policy 2008, 37, 1096–1107. [Google Scholar] [CrossRef]
- Balland, P.A.; Boschma, R.; Crespo, J.; Rigby, D.L. Smart specialization policy in the European Union: Relatedness, knowledge complexity and regional diversification. Reg. Stud. 2019, 53, 1252–1268. [Google Scholar] [CrossRef]
- D’Este, P.; Guy, F.; Iammarino, S. Shaping the Formation of University–Industry Research Collaborations: What Type of Proximity Does Really Matter? J. Econ. Geogr. 2013, 13, 537–558. [Google Scholar] [CrossRef]
- Barrios, C.; Flores, E.; Martínez, M.Á. Club convergence in innovation activity across European regions. Pap. Reg. Sci. 2019, 98, 1545–1566. [Google Scholar] [CrossRef]
- Barro, R.J.; Sala-i Martin, X. Convergence. J. Political Econ. 1992, 100, 223–251. [Google Scholar] [CrossRef]
- Silva, P.; Pires, S.; Teles, F. Explanatory models of regional innovation performance in Europe: Policy implications for regions. Innov. Eur. J. Soc. Sci. Res. 2021, 34, 609–631. [Google Scholar] [CrossRef]
- Takala, M.; Tukiainen, T.; Salminen, V.; Sarkkinen, J. Impacts and Indicators of Regional Innovation Ecosystems Supporting Sustainable Development. In Proceedings of the Human Factors, Business Management and Society; AHFE International: New York, NY, USA, 2023. [Google Scholar] [CrossRef]
- Kijek, T.; Kijek, A.; Matras-Bolibok, A. Club convergence in R&D expenditure across European regions. Sustainability 2022, 14, 832. [Google Scholar] [CrossRef]
- Tödtling, F.; Trippl, M. One size fits all?: Towards a differentiated regional innovation policy approach. Res. Policy 2005, 34, 1203–1219. [Google Scholar] [CrossRef]
- Coca, A.; Gabor, M.; Susanu, I. Do innovation metrics reflect sustainable policy making in Europe? A comparative study case on the Carpathian and Alpine mountain regions. Mathematics 2023, 11, 1558. [Google Scholar] [CrossRef]
- Dworak, E. Assessment of innovativeness of the EU candidate countries based on the European innovation scoreboard. Ekon. Międzynar. 2024, 41, 22–37. [Google Scholar] [CrossRef]
- Barca, F.; McCann, P.; Rodríguez-Pose, A. The case for regional development intervention: Place-based versus place-neutral approaches. J. Reg. Sci. 2012, 52, 134–152. [Google Scholar] [CrossRef]
- Jiwantara, F.; Nasaruddin, N. Post-COVID-19 pandemic, innovation of local government policy perspective of state administration law. Devot. J. Res. Community Serv. 2022, 3, 1922–1931. [Google Scholar] [CrossRef]
- Tánczos, T.; Csugány, J. Regional differences in the human resource conditions in the European Union. Balk. J. Emerg. Trends Soc. Sci. 2024, 7, 1–10. [Google Scholar] [CrossRef]
Figure 1.
Hierarchical cluster analysis of regional innovation profiles (cross-sectional aggregation, 2016–2019). Note: The figure reports the results of a hierarchical cluster analysis applied to cross-sectional regional innovation profiles, obtained by averaging the innovation indicators over the pre-COVID-19 period (2016–2019). Clustering is performed on PCA factor scores using Ward’s linkage and squared Euclidean distance. White areas indicate regions with no available data. Authors’ elaboration on RIS 2023 data.
Figure 1.
Hierarchical cluster analysis of regional innovation profiles (cross-sectional aggregation, 2016–2019). Note: The figure reports the results of a hierarchical cluster analysis applied to cross-sectional regional innovation profiles, obtained by averaging the innovation indicators over the pre-COVID-19 period (2016–2019). Clustering is performed on PCA factor scores using Ward’s linkage and squared Euclidean distance. White areas indicate regions with no available data. Authors’ elaboration on RIS 2023 data.
Figure 2.
Hierarchical cluster analysis of regional innovation profiles (cross-sectional aggregation, 2020–2023). Note: The figure reports the results of a hierarchical cluster analysis applied to cross-sectional regional innovation profiles, obtained by averaging the innovation indicators over the pre-COVID-19 period (2020–2023). Clustering is performed on PCA factor scores using Ward’s linkage and squared Euclidean distance. White areas indicate regions with no available data. Authors’ elaboration on RIS 2023 data.
Figure 2.
Hierarchical cluster analysis of regional innovation profiles (cross-sectional aggregation, 2020–2023). Note: The figure reports the results of a hierarchical cluster analysis applied to cross-sectional regional innovation profiles, obtained by averaging the innovation indicators over the pre-COVID-19 period (2020–2023). Clustering is performed on PCA factor scores using Ward’s linkage and squared Euclidean distance. White areas indicate regions with no available data. Authors’ elaboration on RIS 2023 data.
Figure 3.
Scree plot of principal components (2016–2019). Note: Authors’ elaboration on RIS 2023 data.
Figure 3.
Scree plot of principal components (2016–2019). Note: Authors’ elaboration on RIS 2023 data.
Figure 4.
Scree plot of principal components (2020–2023). Note: Authors’ elaboration on RIS 2023 data.
Figure 4.
Scree plot of principal components (2020–2023). Note: Authors’ elaboration on RIS 2023 data.
Figure 5.
Innovation trends in European regions (2016–2023). Note: White areas indicate regions with no available data. Authors’ elaboration on RIS 2023 data.
Figure 5.
Innovation trends in European regions (2016–2023). Note: White areas indicate regions with no available data. Authors’ elaboration on RIS 2023 data.
Table 1.
List and description of the innovation indicators used in PCA and HCA analyses.
Table 1.
List and description of the innovation indicators used in PCA and HCA analyses.
| Variable | Description | Unit |
|---|
| Framework Conditions |
| Education | Population with tertiary education | % pop. 25–34 |
| Lifelong Learning | Population in lifelong learning | % pop. 25–64 in education/training |
| Int. Sci. Co-Pub. | International scientific co-publications | Per million pop. |
| Top 10% Sci. Pub. | Publications in top 10% cited | % of publications |
| Digital Skills | Individuals with above-basic digital skills | % individuals |
| Investments |
| R&D Exp. Public | R&D expenditure, public sector | % GDP |
| R&D Exp. Business | R&D expenditure, business sector | % GDP |
| Non-R&D Exp. | Non-R&D innovation expenditure | % turnover |
| Inn. Exp. Emp. | Innovation expenditure per employee | Per employee |
| ICT Specialists | Employed ICT specialists | % employment |
| Innovation Activities |
| SMEs Prod. Inn. | SMEs with product innovations | % SMEs |
| SMEs Proc. Inn. | SMEs with process innovations | % SMEs |
| SMEs Collab. | SMEs collaborating in innovation | % SMEs |
| Public–Priv. Co-Pub. | Public–private co-publications | Per million pop. |
| PCT Patents | PCT patent applications | Per bn GDP (PPS) |
| Trademarks | Trademark applications | Per bn GDP (PPS) |
| Designs | Design applications | Per bn GDP (PPS) |
| Impacts |
| Emp. Know. Activ. | Employment in knowledge-intensive sectors | % employment |
| Emp. Inn. Ent. | Employment in innovative enterprises | % enterprise empl. |
| Sales | Sales from innovative products | % turnover |
| CO2 | PM2.5 air emissions | PM2.5 in industry |
Table 2.
Descriptive statistics of regional innovation indicators (2016–2023).
Table 2.
Descriptive statistics of regional innovation indicators (2016–2023).
| Variables | 2016–2019 | 2020–2023 |
|---|
| Max | Mean | SD | CV | Max | Mean | SD | CV |
|---|
| Tertiary Education | 1.000 | 0.483 | 0.234 | 0.485 | 1.000 | 0.507 | 0.239 | 0.473 |
| Lifelong Learning | 1.000 | 0.405 | 0.270 | 0.666 | 1.000 | 0.400 | 0.267 | 0.668 |
| Int. Sci. Co-Pub. | 1.000 | 0.516 | 0.240 | 0.466 | 1.000 | 0.475 | 0.263 | 0.554 |
| Top 10% Sci. Pub. | 0.981 | 0.499 | 0.242 | 0.484 | 0.953 | 0.507 | 0.207 | 0.408 |
| Digital Skills | 0.956 | 0.483 | 0.237 | 0.491 | 0.970 | 0.520 | 0.233 | 0.447 |
| R&D Exp. Public | 1.000 | 0.405 | 0.251 | 0.619 | 1.000 | 0.439 | 0.225 | 0.512 |
| R&D Exp. Business | 1.000 | 0.334 | 0.278 | 0.832 | 1.000 | 0.436 | 0.239 | 0.547 |
| Non-R&D Exp. | 0.885 | 0.412 | 0.150 | 0.364 | 1.000 | 0.401 | 0.159 | 0.396 |
| Inn. Exp. Emp. | 1.000 | 0.489 | 0.205 | 0.420 | 1.000 | 0.510 | 0.218 | 0.428 |
| ICT Specialists | 1.000 | 0.384 | 0.257 | 0.669 | 1.000 | 0.406 | 0.273 | 0.672 |
| SMEs Prod. Inn. | 1.000 | 0.488 | 0.232 | 0.474 | 1.000 | 0.555 | 0.228 | 0.411 |
| SMEs Proc. Inn. | 0.986 | 0.485 | 0.222 | 0.457 | 1.000 | 0.581 | 0.262 | 0.450 |
| SMEs Collab. | 1.000 | 0.429 | 0.246 | 0.574 | 1.000 | 0.493 | 0.245 | 0.498 |
| Public-Priv. Co-Pub. | 1.000 | 0.508 | 0.251 | 0.495 | 1.000 | 0.541 | 0.246 | 0.454 |
| PCT Patents | 1.000 | 0.478 | 0.266 | 0.556 | 1.000 | 0.464 | 0.262 | 0.566 |
| Trademarks | 1.000 | 0.346 | 0.212 | 0.612 | 1.000 | 0.383 | 0.216 | 0.563 |
| Designs | 1.000 | 0.475 | 0.250 | 0.526 | 1.000 | 0.457 | 0.228 | 0.499 |
| Emp. Know. Activ. | 1.000 | 0.503 | 0.241 | 0.480 | 1.000 | 0.508 | 0.245 | 0.483 |
| Emp. Inn. Ent. | 0.913 | 0.522 | 0.280 | 0.537 | 0.951 | 0.537 | 0.268 | 0.498 |
| Sales | 1.000 | 0.533 | 0.192 | 0.361 | 0.900 | 0.497 | 0.191 | 0.385 |
| CO2 | 0.988 | 0.487 | 0.245 | 0.503 | 0.992 | 0.543 | 0.227 | 0.418 |
Table 3.
Difference-in-Differences (DiD) structure.
Table 3.
Difference-in-Differences (DiD) structure.
| | Period 0 | Period 1 | Difference |
|---|
| Control Group | | | |
| Treated Group | | | |
| DiD Effect | | | |
Table 4.
Variance explained by the principal components.
Table 4.
Variance explained by the principal components.
| 2016–2019 | 2020–2023 |
|---|
| Components | Proportion | Cumulative | Components | Proportion | Cumulative |
|---|
| Comp1 | 0.449 | 0.449 | Comp1 | 0.431 | 0.431 |
| Comp2 | 0.131 | 0.580 | Comp2 | 0.150 | 0.582 |
| Comp3 | 0.078 | 0.659 | Comp3 | 0.087 | 0.669 |
| Comp4 | 0.069 | 0.729 | Comp4 | 0.066 | 0.736 |
| Comp5 | 0.052 | 0.781 | | | |
Table 5.
Innovation variables characterizing the first two principal components.
Table 5.
Innovation variables characterizing the first two principal components.
| 2016–2019 |
| | Variables with Negative Sign | Variables with Positive Sign |
| Comp1 | Non-R&D Exp. | −0.012 | Public-Priv. Co-Pub. | 0.286 |
| | | | PCT Patents | 0.275 |
| | | | Top 10% Sci. Pub. | 0.270 |
| | | | Digital Skills | 0.264 |
| Comp2 | Trademarks | −0.308 | Non-R&D Exp. | 0.441 |
| | Designs | −0.225 | Sales | 0.379 |
| | Emp. Know. Activ. | −0.205 | Emp. Inn. Ent. | 0.340 |
| | ICT Specialists | −0.196 | Inn. Exp. Emp. | 0.337 |
| 2020–2023 |
| | Variables with Negative Sign | Variables with Positive Sign |
| Comp1 | | | Public-Priv. Co-Pub. | 0.293 |
| | | | Int. Sci. Co-Pub. | 0.273 |
| | | | PCT Patents | 0.269 |
| | | | R&D Exp. Business | 0.259 |
| Comp2 | Trademarks | −0.217 | Non-R&D Exp. | 0.468 |
| | Lifelong Learning | −0.205 | Sales | 0.357 |
| | Education | −0.196 | Emp. Inn. Ent. | 0.338 |
| | ICT Specialists | −0.189 | Inn. Exp. Emp. | 0.280 |
Table 6.
Cluster means for innovation indicators (2016–2019).
Table 6.
Cluster means for innovation indicators (2016–2019).
| Indicator | 2016–2019 |
|---|
| | CL1 | CL2 | CL3 | CL4 | Global |
|---|
| Education (tertiary) | 0.406 | 0.680 | 0.370 | 0.436 | 0.483 |
| Lifelong learning | 0.398 | 0.694 | 0.171 | 0.205 | 0.405 |
| Int. sci. co-pub. | 0.525 | 0.763 | 0.387 | 0.296 | 0.516 |
| Top 10% sci. pub. | 0.538 | 0.733 | 0.435 | 0.221 | 0.499 |
| Digital skills | 0.506 | 0.716 | 0.257 | 0.292 | 0.483 |
| R&D exp. public | 0.434 | 0.597 | 0.346 | 0.184 | 0.405 |
| R&D exp. business | 0.388 | 0.569 | 0.049 | 0.118 | 0.334 |
| Non-R&D exp. | 0.455 | 0.368 | 0.519 | 0.352 | 0.412 |
| Inn. exp. per emp. | 0.526 | 0.603 | 0.475 | 0.319 | 0.489 |
| ICT specialists | 0.417 | 0.576 | 0.147 | 0.226 | 0.384 |
| SMEs prod. inn. | 0.581 | 0.669 | 0.456 | 0.172 | 0.488 |
| SMEs proc. inn. | 0.554 | 0.633 | 0.608 | 0.177 | 0.485 |
| SMEs collab. | 0.422 | 0.681 | 0.406 | 0.185 | 0.429 |
| Public–priv. co-pub. | 0.539 | 0.772 | 0.313 | 0.260 | 0.508 |
| PCT patents | 0.561 | 0.694 | 0.180 | 0.247 | 0.478 |
| Trademarks | 0.394 | 0.436 | 0.152 | 0.258 | 0.346 |
| Designs | 0.576 | 0.500 | 0.137 | 0.432 | 0.475 |
| Emp. know. activ. | 0.611 | 0.595 | 0.146 | 0.387 | 0.503 |
| Emp. inn. ent. | 0.679 | 0.642 | 0.495 | 0.172 | 0.522 |
| Sales innov. | 0.583 | 0.570 | 0.533 | 0.418 | 0.533 |
| CO2 (PM2.5) | 0.501 | 0.686 | 0.311 | 0.329 | 0.487 |
Table 7.
Cluster means for innovation indicators (2020–2023).
Table 7.
Cluster means for innovation indicators (2020–2023).
| Indicator | 2020–2023 |
|---|
| | CL1 | CL2 | CL3 | CL4 | Global |
|---|
| Education (tertiary) | 0.438 | 0.365 | 0.744 | 0.410 | 0.507 |
| Lifelong learning | 0.369 | 0.151 | 0.651 | 0.317 | 0.400 |
| Int. sci. co-pub. | 0.363 | 0.209 | 0.766 | 0.539 | 0.475 |
| Top 10% sci. pub. | 0.495 | 0.239 | 0.657 | 0.590 | 0.507 |
| Digital skills | 0.500 | 0.280 | 0.733 | 0.467 | 0.520 |
| R&D exp. public | 0.403 | 0.207 | 0.583 | 0.547 | 0.439 |
| R&D exp. business | 0.331 | 0.238 | 0.595 | 0.657 | 0.436 |
| Non-R&D exp. | 0.454 | 0.311 | 0.365 | 0.446 | 0.401 |
| Inn. exp. per emp. | 0.513 | 0.263 | 0.626 | 0.594 | 0.510 |
| ICT specialists | 0.273 | 0.235 | 0.663 | 0.475 | 0.406 |
| SMEs prod. inn. | 0.571 | 0.221 | 0.663 | 0.725 | 0.555 |
| SMEs proc. inn. | 0.626 | 0.180 | 0.666 | 0.808 | 0.581 |
| SMEs collab. | 0.489 | 0.187 | 0.693 | 0.501 | 0.493 |
| Public–priv. co-pub. | 0.433 | 0.271 | 0.781 | 0.703 | 0.541 |
| PCT patents | 0.371 | 0.193 | 0.616 | 0.755 | 0.464 |
| Trademarks | 0.308 | 0.253 | 0.476 | 0.562 | 0.383 |
| Designs | 0.353 | 0.432 | 0.469 | 0.740 | 0.457 |
| Emp. know. activ. | 0.377 | 0.403 | 0.640 | 0.726 | 0.508 |
| Emp. inn. ent. | 0.554 | 0.184 | 0.603 | 0.814 | 0.537 |
| Sales innov. | 0.556 | 0.317 | 0.515 | 0.532 | 0.497 |
| CO2 (PM2.5) | 0.571 | 0.326 | 0.630 | 0.577 | 0.543 |
Table 8.
Distribution of European regions across innovation clusters based on HCA (2016–2023).
Table 8.
Distribution of European regions across innovation clusters based on HCA (2016–2023).
| Clusters | 2016–2019 | 2020–2023 |
|---|
| Freq. | % | Cum.% | Freq. | % | Cum.% |
|---|
| Innovation Leaders (CL1) | 90 | 37.97 | 37.97 | 91 | 38.40 | 38.40 |
| Science-Driven Innovators (CL2) | 63 | 26.58 | 64.56 | 44 | 18.56 | 56.96 |
| Emerging Innovators (CL3) | 24 | 10.13 | 74.68 | 67 | 28.27 | 85.23 |
| Traditional/Slow Adopters (CL4) | 60 | 25.32 | 100.00 | 35 | 14.77 | 100.00 |
| Total | 237 | 100.00 | – | 237 | 100.00 | – |
Table 9.
Standard deviation and synthetic index.
Table 9.
Standard deviation and synthetic index.
| Variables | Std. Dev. 2016–2019 | Std. Dev. 2020–2023 | | Conv/Div | | Conv/Div |
|---|
| Tertiary Education | 0.234 | 0.239 | 0.005 | Convergence | 1.023 | Divergence |
| Lifelong Learning | 0.270 | 0.267 | −0.002 | Stability | 0.992 | Convergence |
| Int. Sci. Co-Pub. | 0.240 | 0.263 | 0.022 | Convergence | 1.093 | Divergence |
| Top 10% Sci. Pub. | 0.242 | 0.207 | −0.035 | Divergence | 0.856 | Convergence |
| Digital Skills | 0.237 | 0.233 | −0.004 | Stability | 0.981 | Convergence |
| R&D Exp. Public | 0.251 | 0.225 | −0.026 | Divergence | 0.895 | Convergence |
| R&D Exp. Business | 0.278 | 0.239 | −0.039 | Divergence | 0.860 | Convergence |
| Non-R&D Exp. | 0.150 | 0.159 | 0.008 | Convergence | 1.057 | Divergence |
| Inn. Exp. Emp. | 0.205 | 0.218 | 0.013 | Convergence | 1.065 | Divergence |
| ICT Specialists | 0.257 | 0.273 | 0.016 | Convergence | 1.063 | Divergence |
| SMEs Prod. Inn. | 0.232 | 0.228 | −0.004 | Stability | 0.985 | Convergence |
| SMEs Proc. Inn. | 0.222 | 0.262 | 0.040 | Convergence | 1.182 | Divergence |
| SMEs Collab. | 0.246 | 0.245 | −0.001 | Stability | 0.997 | Stability |
| Public-Priv. Co-Pub. | 0.251 | 0.246 | −0.006 | Divergence | 0.977 | Convergence |
| PCT Patents | 0.266 | 0.262 | −0.003 | Stability | 0.988 | Convergence |
| Trademarks | 0.212 | 0.216 | 0.004 | Stability | 1.017 | Divergence |
| Designs | 0.250 | 0.228 | −0.021 | Divergence | 0.914 | Convergence |
| Emp. Know. Activ. | 0.241 | 0.245 | 0.004 | Stability | 1.016 | Divergence |
| Emp. Inn. Ent. | 0.280 | 0.268 | −0.013 | Divergence | 0.955 | Convergence |
| Sales | 0.192 | 0.191 | −0.001 | Stability | 0.996 | Stability |
| CO2 | 0.245 | 0.227 | −0.018 | Divergence | 0.927 | Convergence |
Table 10.
Difference-in-Differences (DiD) Analysis Results.
Table 10.
Difference-in-Differences (DiD) Analysis Results.
| Variables | Coefficient | Robust Std. Err. | p-Value |
|---|
| Post-pandemic period () | 0.0207 | 0.0091 | 0.023 |
| Treatment group (Treated) | −0.7389 | 0.0052 | 0.000 |
| Interaction () | 0.0217 | 0.0103 | 0.037 |
| Year fixed effects | Yes | | |
| Region fixed effects | Yes | | |
| Observations | 1728 | | |
| Number of regions | 216 | | |
| R-squared | 0.985 | | |
| Disclaimer/Publisher’s Note: The statements, opinions and data contained in all publications are solely those of the individual author(s) and contributor(s) and not of MDPI and/or the editor(s). MDPI and/or the editor(s) disclaim responsibility for any injury to people or property resulting from any ideas, methods, instructions or products referred to in the content. |