How Can “New Infrastructure” Promote the Sustainable Development Level of a Low-Carbon Economy? Evidence from Provincial Panel Data in China
Abstract
1. Introduction
2. Literature Review
2.1. The Conceptualization of Low-Carbon Economy
2.2. Development Level of Low-Carbon Economy
2.3. Pathways to Achieving a Low-Carbon Economy
2.4. Research on Infrastructure and Low-Carbon Economy
3. Theoretical Analysis and Research Hypothesis
3.1. Direct Impact Effect Analysis
3.2. Indirect Impact Effect Analysis
3.3. Threshold Impact Effect Analysis
4. Materials and Methods
4.1. Model Design
4.1.1. Baseline Regression Model
4.1.2. Mediating Effect Model
4.1.3. Threshold Effect Model
4.2. Variable Settings
4.2.1. Dependent Variable
4.2.2. Independent Variable
4.2.3. Mediating Variable
4.2.4. Threshold Variable
4.2.5. Control Variables
4.3. Data Sources
5. Empirical Result Analysis
5.1. Baseline Test Results Analysis
5.2. Robustness and Endogeneity Tests Results Analysis
5.3. Heterogeneity Test Results Analysis
- Regional economic heterogeneity test. Table 5 shows that the coefficients of “new infrastructure” for low-carbon economic development across China’s three major regions are −0.2979, 0.3343, and 1.0609, respectively. Notably, the eastern region’s coefficient is significantly negative (in contrast to the other two regions), revealing regional variations in economic impacts. This can be attributed to the economically developed eastern region with a high concentration of manufacturing industries. After the introduction of new infrastructure, its mature production system can enhance energy efficiency and production capacity. However, improved energy efficiency also tends to spur greater energy demand scale, thereby inducing a “rebound effect” whereby aggregate energy usage and carbon emission levels rise rather than fall, ultimately hampering the advancement of low-carbon economic development. By contrast, central and western China feature comparatively underdeveloped industrial structures and substantial potential for industrial restructuring. Here, new infrastructure drives low-carbon growth by optimizing resource distribution, accelerating technology spread, and advancing industrial upgrading. Additionally, policy benefits (via institutional innovation, financial guidance, and market incentives) have sustained momentum for new infrastructure’s low-carbon transition.
- Regional policy heterogeneity test. Table 5 also documents the influence of regional policy disparities. The coefficients for pilot and non-pilot areas are 0.4628 and 0.3043, respectively, both positive and significant, but the pilot areas show stronger significance. These results indirectly validate that state-led pilot policies in designated regions have a marked promotional effect. The rationale is that pilot regions typically receive prioritized, targeted policy support (e.g., tax breaks, streamlined green approval processes, and dedicated financial subsidies), which optimizes resource allocation and thus amplifies new infrastructure’s energy efficiency contribution during low-carbon transformation. In contrast, non-pilot regions lack such policy preferences and institutional safeguards, leading to constrained resource distribution and underutilized development potential.
- System composition heterogeneity test. Table 6 reveals distinct variations in how different new infrastructure components affect low-carbon economic development. For information infrastructure (Info-inf), the coefficient is 0.3051 (significantly positive), reflecting its positive contributions to boosting data flow, elevating resource allocation efficiency, and advancing intelligent energy management. By contrast, integrated infrastructure (Inte-inf) has a coefficient of just 0.0230 and fails the significance test. This stems from weak coordination between new and traditional infrastructure, paired with insufficient system adaptability, factors that restrict resource integration efficiency and hinder the formation of a cohesive collaborative promotion mechanism. Innovative infrastructure (Inno-inf) yields a highly significant coefficient of 0.3546, highlighting its key role in driving green tech R & D, fostering low-carbon emerging industries, and strengthening independent innovation capacity.
5.4. Mechanism Path Verification Results Analysis
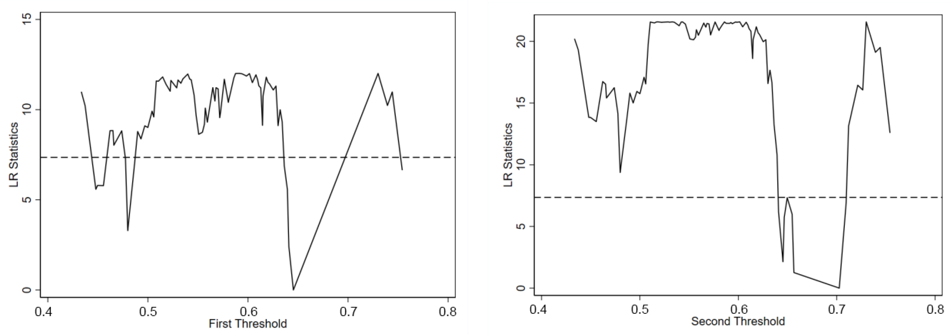
5.5. Threshold Effect Test Results Analysis
6. Conclusions
Supplementary Materials
Author Contributions
Funding
Institutional Review Board Statement
Informed Consent Statement
Data Availability Statement
Conflicts of Interest
References
- Gallagher, K.P.; Liu, R.L.; Lu, J.Q.; Yin, R.Y.; Yu, M.J.; Bandara, P. China’s low-carbon technology trade: Facts and implications. China Econ. Rev. 2025, 92, 102445. [Google Scholar] [CrossRef]
- Gou, F.; Liang, W.; Liu, Y.; Fu, B.J.; Wang, Z.G.; Zhang, W.B.; Chen, Z.G.; Yan, J.W.; Li, J.Y.; Lv, Y.H. Large-scale ecological infrastructures enhance the productivity of agro-socio-ecological systems by reducing soil erosion in the Loess Plateau. J. Environ. Manag. 2025, 373, 123751. [Google Scholar] [CrossRef]
- Zhang, Y.; Shen, L.Y.; Shuai, C.Y.; Tan, Y.T.; Ren, Y.T.; Wu, Y. Is the low-carbon economy efficient in terms of sustainable development? A global perspective. Sustain. Dev. 2019, 27, 130–152. [Google Scholar]
- Li, Q.G. Philosophical Analysis of Industrial Technology and the Construction of a “Two-Oriented Society”. Master’s Thesis, Hunan Normal University, Changsha, China, 2009. [Google Scholar]
- Ning, Y.D.; Chen, K.K.; Zhang, B.Y.; Ding, T.; Guo, F.; Zhang, M. Energy conservation and emission reduction path selection in China: A simulation based on Bi-level multi-objective optimization model. Energy Policy 2020, 137, 111116. [Google Scholar] [CrossRef]
- Ma, G.C.; Yang, X.Z.; Xu, J. Coordinated development of two-way FDI and green total factor productivity: Theoretical mechanism and Chinese experience. Inquiry Econ. Issues 2022, 43, 173–190. [Google Scholar]
- Price, L.; Zhou, N.; Fridley, D.; Ohshita, S.; Lu, H.Y.; Zheng, N.; Fino-Chen, C. Development of a low-carbon indicator system for China. Habitat Int. 2013, 37, 4–21. [Google Scholar] [CrossRef]
- Tao, F.; Zhang, H.; Liu, A.; Nee, A.Y.C. Digital twin in industry: State-of-the-art. IEEE Trans. Ind. Inform. 2019, 15, 2405–2415. [Google Scholar] [CrossRef]
- Wang, Y.N.; Fang, X.L.; Yin, S.W.; Chen, W. Low-carbon development quality of cities in China: Evaluation and obstacle analysis. Sustain. Cities Soc. 2020, 64, 102553. [Google Scholar] [CrossRef]
- Wu, W.W. Modern urban planning and design based on low-carbon economy concept. Open House Int. 2019, 44, 108–111. [Google Scholar] [CrossRef]
- Li, F.M.; Zhao, X.J.; Ma, S. A low-carbon economy and new energy. In Proceedings of the 2010 International Conference on Agricultural Engineering, Shanghai, China, 18 September 2010; pp. 154–157. [Google Scholar]
- Jia, J.S.; Fan, Y.; Guo, X.D. The low-carbon development (LCD) levels’ evaluation of the world’s 47 countries (areas) by combining the FAHP with the TOPSIS method. Expert Syst. Appl. 2012, 39, 6628–6640. [Google Scholar] [CrossRef]
- Department of Trade and Industry (DTI). Energy White Paper: Our Energy Future—Creating a Low-Carbon Economy; DTI: London, UK, 2003.
- Lin, B.Q.; Sun, C.W. How can China achieve its carbon reduction targets while ensuring sustained economic growth? Soc. Sci. China 2011, 32, 64–76+221. [Google Scholar]
- Chen, S.Y. Low-carbon economy. Econ. Res. J. 2022, 57, 12–18. [Google Scholar]
- Wu, C.X. Research on the synergistic effects of China’s low-carbon economic development. J. Manag. World 2021, 37, 105–117. [Google Scholar] [CrossRef]
- Pan, J.H.; Zhuang, G.Y.; Zheng, Y.; Zhu, S.X.; Xie, Q.Y. Concept identification and core element analysis of low-carbon economy. Int. Econ. Rev. 2010, 33, 88–101+5. [Google Scholar]
- Li, Y.N.; Zhu, S.L.; Luo, L.J.; Yang, D.P. Theoretical exploration of low-carbon development as a macroeconomic goal: Based on the Chinese situation. J. Manag. World 2017, 33, 1–8. [Google Scholar] [CrossRef]
- Lu, Z.R.; Shao, C.F.; Wang, F.; Dong, R.Y. Evaluation of green and low-carbon development level of Chinese provinces based on sustainable development goals. Sustainability 2023, 15, 15449. [Google Scholar] [CrossRef]
- Feng, B.M. Research on the construction of low-carbon economic evaluation index system in Hubei Province. China Popul. Resour. Environ. 2011, 21, 54–58. [Google Scholar]
- Fu, J.F.; Zhuang, G.Y.; Gao, Q.X. Concept identification of low-carbon economy and construction of evaluation index system. China Popul. Resour. Environ. 2010, 20, 38–43. [Google Scholar]
- Xie, Z.X.; Qin, Y.C.; Shen, W.; Rong, P.J. Evaluation of low-carbon economic development performance and influencing factors in China. Econ. Geogr. 2017, 37, 1–9. [Google Scholar] [CrossRef]
- Johnson, O.W.; Mete, G.; Sanchez, F.; Shawoo, Z.; Talebian, S. Toward climate-neutral heavy industry: An analysis of industry transition roadmaps. Appl. Sci. 2021, 11, 5375. [Google Scholar] [CrossRef]
- Grassetti, F.; Sanchez Carrera, E.J.; Seegmuller, T. The role of government intervention in balancing economic growth and environmental sustainability: A global dynamics approach across economies. Macroecon. Dyn. 2025, 29, 144. [Google Scholar] [CrossRef]
- Nordhaus, W. Climate change: The ultimate challenge for economics. Am. Econ. Rev. 2019, 109, 1991–2014. [Google Scholar] [CrossRef]
- Wu, X.F.; Xu, Y.C.; Lou, Y.T.; Chen, Y. Low-carbon transition in a distributed energy system regulated by localized energy markets. Energy Policy 2018, 122, 474–485. [Google Scholar] [CrossRef]
- Jia, L.F. Measures and suggestions for China’s low-carbon economic development. Rev. Econ. Res. 2017, 26, 20–22. [Google Scholar] [CrossRef]
- Liu, J.L.; Xiahou, Q.R.; Wang, K.; Kong, Y. Research on the medium and long-term low-carbon development path of China’s industrial sector. China Soft Sci. 2019, 34, 31–41+54. [Google Scholar]
- Ebadian, M.; Van Dyk, S.; Mcmillan, J.D.; Saddler, J. Biofuels policies that have encouraged their production and use: An international perspective. Energy Policy 2020, 147, 111906. [Google Scholar] [CrossRef]
- Xu, D.F. Enlightenment of international experience in low-carbon technology selection on China’s low-carbon technology route. Sci. Technol. Econ. 2010, 23, 73–75. [Google Scholar]
- Lei, M.; Yin, Z.H.; Yu, X.W.; Deng, S.J. Carbon-weighted economic development performance and driving force analysis: Evidence from China. Energy Policy 2017, 111, 179–192. [Google Scholar] [CrossRef]
- Wei, J.X.; Song, Y.; Wang, Y.C.; Xiang, W.N. Construction of green infrastructure network in rapid urbanization areas based on spatial priority—A case study of Pukou District, Nanjing City. Acta Ecol. Sin. 2019, 39, 1178–1188. [Google Scholar]
- Chen, B.; Xu, H.G.; Ni, C.X. New infrastructure construction and urban green low-carbon development—Empirical evidence based on the “Broadband China” strategy. Lanzhou Acad. J. 2023, 44, 31–47. [Google Scholar]
- Wang, Y.Q.; Liu, C.K.; Wang, H. The employment creation effect of urban green transformation—Evidence from low-carbon city pilot projects. J. Zhongnan Univ. Econ. Law 2024, 68, 45–57. [Google Scholar] [CrossRef]
- Ma, R.Y.; Lin, B.Q. Digital infrastructure construction drives green economic transformation: Evidence from Chinese cities. Hum. Soc. Sci. Commun. 2023, 10, 460. [Google Scholar] [CrossRef]
- Rao, B.Y. Does digital infrastructure construction serve as a new engine for green sustainable innovation? A quasi-natural experiment based on the “Broadband China” pilot policy. Pol. J. Environ. Stud. 2025, 34, 4363–4376. [Google Scholar] [CrossRef]
- Wei, R.R.; Xia, Y.M.; Yu, Z.P. The impact of digital infrastructure on corporate carbon emissions: Evidence from the “Broadband China” pilot. Pol. J. Environ. Stud. 2024, 33, 6409–6421. [Google Scholar] [CrossRef]
- Dong, Y.M.; Zhou, Y.M. Exploring the coupling coordination of green transformation of industry and novel infrastructure in the context of low-carbon economy. Sustainability 2023, 15, 4872. [Google Scholar] [CrossRef]
- Liu, W.F.; Lu, X.F. Spatial effect and mechanism of the digital economy on carbon emission efficiency—A quasi-natural experiment based on the “Broadband China” pilot policy. Stat. Decis. 2024, 40, 28–33. [Google Scholar] [CrossRef]
- Wang, B.Z.; He, L.C.; Li, Z.M. Research on the optimization of regional industrial layout under the background of low-carbon economy. Econ. Rev. J. 2013, 29, 100–104. [Google Scholar] [CrossRef]
- Nie, Y.Y.; Yin, X.M.; Lin, Z.Y.; Zhang, C.J.; Chen, J. The dynamic process mechanism of data infrastructure empowering carbon peaking and carbon neutrality. Sci. Technol. Manag. Res. 2022, 42, 182–189. [Google Scholar]
- Zhan, Y.H. Research on the deepening impact of new infrastructure networks on energy consumption. Southeast Acad. Res. 2023, 36, 147–161. [Google Scholar] [CrossRef]
- Liu, J.M.; Ma, X.Y. Information infrastructure construction and digital intelligence innovation: “Empowerment” or “negative energy”—Empirical evidence from the “Broadband China” strategy. J. Technol. Econ. 2025, 44, 43–57. [Google Scholar]
- Hu, M.; Shao, X.F. The impact of new information infrastructure construction on China’s economic transformation: An analysis based on the dynamic recursive CGE model. On Econ. Probl. 2022, 44, 12–18. [Google Scholar] [CrossRef]
- Song, H.T.; Chen, W. A digital blueprint for sustainability: Can digital infrastructure policies promote renewable energy innovation? Renew. Energy 2025, 224, 122727. [Google Scholar] [CrossRef]
- Liu, Y.H.; Huang, X.T.; Shi, B.H. China’s “New Infrastructure”: Concept, current situation, and problems. J. Beijing Univ. Technol. (Soc. Sci. Ed.) 2020, 20, 1–12. [Google Scholar]
- Ma, D.L. Optimize the infrastructure structure and improve the infrastructure system. Macroecon. Manag. 2025, 41, 24–31. [Google Scholar] [CrossRef]
- Sun, P.; Sun, Y. The spatial pattern and influencing factors of the coordinated development of information infrastructure and converged infrastructure. Inquiry Econ. Issues 2022, 43, 94–104. [Google Scholar]
- Chen, G.B.; Shen, Y.Y. How can new infrastructure empower the improvement of new quality productivity? Mod. Econ. Res. 2025, 32, 1–13. [Google Scholar] [CrossRef]
- Huang, J.; Zheng, B.B.; Liu, N.; Chen, X. Unveiling the dynamic coupling and driving mechanisms among digital infrastructure, economic resilience and carbon productivity. PLoS ONE 2025, 20, 333309. [Google Scholar] [CrossRef]
- Huang, M.Y.; Wang, H.Y. The construction of digital infrastructure and the formation of a unified national market: Also on the synergistic effects of the expansion of transportation networks. Public Financ. Res. 2024, 45, 53–68. [Google Scholar] [CrossRef]
- Xue, Z.X.; Chao, X.J.; Du, Y. Digital infrastructure construction and cross-regional capital flow: Empirical evidence based on cross-regional mergers and acquisitions of enterprises. J. Bus. Econ. 2024, 44, 32–51. [Google Scholar]
- Tian, X.X.; Guo, K.S. The impact of green manufacturing technology innovation on the green development of the manufacturing industry. Econ. Theory Bus. Manag. 2023, 43, 4–17. [Google Scholar]
- Chen, J.W.; Jiang, N.P. The impact of capital factor market distortions on enterprise technological innovation: Mechanism, heterogeneity, and sustainability. Econ. Perspect. 2020, 61, 106–124. [Google Scholar]
- Hu, X.Z.; Liu, H.J. Inclusive and prudent regulation: On the transitional and open nature of the regulatory framework construction for new infrastructure. J. Manag. World 2022, 38, 116–128+168+8. [Google Scholar] [CrossRef]
- Wang, Y.F.; Wang, R.; Xu, L.X. Measurement of the economic effects of the consumption potential of the floating population in the background of the domestic large circulation. Chin. J. Popul. Sci. 2022, 36, 74–87+127–128. [Google Scholar]
- Lun, Y.C.; Liu, T.B.; Han, Z.L. Analysis of the spatio-temporal interactive coupling relationship between urbanization and basic public services in China and its driving forces. Geogr. Geo-Info. Sci. 2022, 38, 124–132. [Google Scholar]
- Wen, Z.L.; Zhang, L.; Hou, J.T.; Liu, H.Y. The mediating effect test procedure and its application. Acta Psychol. Sin. 2004, 49, 614–620. [Google Scholar]
- Yu, T.T.; Wei, F.L.; Zhang, H. Integration of digital economy and real economy and the transition toward a low-carbon economy: The case of Chinese provincial regions, 2006–2023. Sustainability 2026, 18, 202. [Google Scholar] [CrossRef]
- Wu, X.F.; Huang, J.; Zhong, P. Measurement of the coupled and coordinated development of new infrastructure construction and strategic emerging industries and its coupling mechanism. Geogr. Sci. 2021, 41, 1969–1979. [Google Scholar] [CrossRef]
- Bai, J.H.; Liu, Y.Y. Can outward direct investment improve China’s resource misallocation? China Ind. Econ. 2018, 35, 60–78. [Google Scholar] [CrossRef]
- Chen, Y.W.; Hu, W.M. Price distortion, factor misallocation and efficiency loss: Theory and application. China Econ. Q. 2011, 10, 1401–1422. [Google Scholar] [CrossRef]
- Sun, G.L.; Fang, J.M.; Li, J.N.; Wang, X.L. Research on the impact of the integration of digital economy and real economy on enterprise green innovation. Technol. Forecast. Soc. Change 2024, 200, 123097. [Google Scholar] [CrossRef]
- Yuan, H.; Zhu, C.L. Has the National High-Tech Zone promoted the transformation and upgrading of China’s industrial structure? China Ind. Econ. 2018, 35, 60–77. [Google Scholar] [CrossRef]
- Li, Y.Y.; Zhang, F. The formation mechanism and incentive effect of vertical fiscal imbalance. J. Manag. World 2019, 35, 43–59. [Google Scholar] [CrossRef]
- Zhang, X.; Yang, Y.L.; Wen, J. Are ICT and CO2; emissions always a win-win situation? Evidence from universal telecommunication service in China. J. Clean. Prod. 2023, 428, 139262. [Google Scholar] [CrossRef]


| First-Level Indicator | Second-Level Indicator | Third-Level Indicator/Units | Attribute | Weight |
|---|---|---|---|---|
| Development level of “new infrastructure” | Information infrastructure | 1. Optical fiber cable length per square kilometer (10,000 km) | + | 0.1010 |
| 2. Per capita Internet ports (10,000/10,000) | + | 0.0785 | ||
| 3. Mobile phone base stations per square kilometer (10,000/m2) | + | 0.3409 | ||
| 4. Mobile internet penetration rate (%) | + | 0.0516 | ||
| 5. Proportion of Internet access users (%) | + | 0.0806 | ||
| 6. Per capita domain names (ten thousand/ten thousand people) | + | 0.3474 | ||
| Integrated infrastructure | 7. Per capita operation length of public trams (10,000 km/10,000 people) | + | 0.2520 | |
| 8. Per capita railway business mileage (10,000 km/10,000 people) | + | 0.3368 | ||
| 9. Per capita road length (10,000 km/10,000 people) | + | 0.1251 | ||
| 10. Per capita expressway mileage (10,000 km/10,000 people) | + | 0.2861 | ||
| 11. Proportion of e-commerce enterprises (%) | + | 0.0615 | ||
| 12. Proportion of information industry personnel (%) | + | 0.1924 | ||
| 13. Per capita sales volume of e-commerce (10,000 yuan/10,000 people) | + | 0.3168 | ||
| 14. Per capita software business revenue (10,000 yuan/10,000 people) | + | 0.4293 | ||
| Innovative infrastructure | 15. Proportion of R & D personnel (%) | + | 0.2589 | |
| 16. Share of spending allocated to scientific and technological initiatives (%) | + | 0.2250 | ||
| 17. R & D expenditure intensity (/) | + | 0.1587 | ||
| 18. Patent applications per individual (units per person) | + | 0.3574 |
| Variable Definition | Variable Name | N | Mean | Std | Min | Max |
|---|---|---|---|---|---|---|
| Dependent variable | Low-car | 390 | 0.5200 | 0.2810 | 0.0892 | 1.0140 |
| Independent variable | New-inf | 390 | 0.1930 | 0.1460 | 0.0281 | 0.7700 |
| Mediating variable | Capi | 390 | 0.3150 | 0.2340 | 0.0035 | 1.2220 |
| Threshold variable | Popu | 390 | 0.6060 | 0.1200 | 0.3720 | 0.8930 |
| Control variable | Econ | 390 | 9.3360 | 0.4630 | 8.6600 | 10.7600 |
| Fisc | 390 | 8.4660 | 0.6000 | 6.8150 | 9.7660 | |
| Envi | 390 | 11.7400 | 1.0740 | 7.9710 | 13.9400 | |
| Cons | 390 | 8.9410 | 0.9660 | 6.3090 | 10.7000 | |
| Stru | 390 | 2.4030 | 0.1230 | 2.1640 | 2.8340 |
| Variable Name | Low-Carbon Economy | |||
|---|---|---|---|---|
| Random Effects Model | Fixed Effect Model | |||
| New-inf | 1.1126 *** (0.0754) | 0.2856 (0.1609) | 0.4013 *** (0.0918) | 0.3726 *** (0.0967) |
| Econ | 0.2536 *** (0.0313) | 0.0151 (0.0458) | ||
| Fisc | −0.2148 *** (0.0383) | 0.0989 * (0.0400) | ||
| Envi | −0.0687 *** (0.0102) | 0.0026 (0.0048) | ||
| Cons | 0.3046 *** (0.0224) | −0.0456 * (0.0191) | ||
| Stru | −0.5470 *** (0.1614) | 0.1965 * (0.0975) | ||
| Intercept term | 0.3054 *** (0.0190) | −0.6860 (0.5034) | 0.5939 *** (0.0508) | −0.5155 (0.4717) |
| Obs | 390 | |||
| Variable Name | Eliminate the Sample | Lag Period | GMM | IV | Quantile (25%, 50%, 75%) | |||
|---|---|---|---|---|---|---|---|---|
| Low-Car | Low-Car | L. Low-Car | Low-Car | Low-Car | ||||
| New-inf | 0.6588 *** (0.1643) | 0.3623 *** (0.1044) | 0.8193 * (0.4053) | 0.3978 *** (0.1125) | 0.4215 *** (0.0996) | 0.6456 *** (0.0934) | 0.5461 *** (0.1040) | |
| L. New-inf | 0.2901 ** (0.0934) | |||||||
| L. Low-car | 0.8813 *** (0.1113) | |||||||
| Econ | 0.0004 (0.0452) | 0.0301 (0.0489) | −0.0372 (0.0490) | −0.0320 (0.1580) | 0.0280 (0.0451) | 0.0540 (0.0555) | 0.0230 (0.0494) | −0.0072 (0.0572) |
| Fisc | 0.1271 ** (0.0481) | 0.1015 * (0.0444) | 0.1386 ** (0.0456) | 0.3315 (0.3127) | 0.0853 * (0.0405) | 0.0839 ** (0.0291) | 0.0358 (0.0301) | 0.0271 (0.0362) |
| Envi | 0.0006 (0.0054) | 0.0019 (0.0052) | 0.0034 (0.0050) | 0.0043 (0.0401) | 0.0014 (0.0046) | −0.0031 (0.0049) | 0.0005 (0.0056) | −0.0001 (0.0066) |
| Cons | −0.0748 *** (0.0199) | −0.0481 * (0.0201) | −0.0345 (0.0210) | −0.1315 (0.1029) | −0.0499 ** (0.0187) | −0.0516 * (0.0236) | −0.0448 (0.0235) | −0.0403 (0.0270) |
| Stru | 0.2109 * (0.1013) | 0.1316 (0.1143) | 0.3379 ** (0.1143) | −0.9634 (0.6335) | 0.1518 (0.1030) | 0.2217 (0.1214) | 0.0698 (0.0991) | 0.2434 (0.1439) |
| Intercept term | −0.2765 (0.4747) | −0.4424 (0.5124) | −0.7979 (0.5183) | 0.8968 (1.2917) | −0.4061 (0.4874) | −0.8341 (0.7093) | 0.1377 (0.5955) | 0.1056 (0.6911) |
| Obs | 338 | 360 | 360 | 360 | 360 | 390 | 390 | 390 |
| Variable Name | Regional Economic Heterogeneity Test | Regional Policy Heterogeneity Test | |||
|---|---|---|---|---|---|
| Eastern | Central | Western | Pilot | Non-Pilot | |
| New-inf | −0.2979 * (0.1348) | 0.3343 ** (0.1027) | 1.0609 ** (0.3346) | 0.4682 ** (0.1752) | 0.3043 * (0.1204) |
| Econ | 0.1320 (0.0803) | 0.0523 (0.0562) | 0.0704 (0.0674) | 0.0682 (0.0738) | −0.0353 (0.0558) |
| Fisc | 0.0873 (0.0547) | 0.0707 (0.0417) | −0.0007 (0.0493) | 0.0741 (0.0584) | 0.1364 * (0.0596) |
| Envi | 0.0038 (0.0079) | 0.0016 (0.0050) | −0.0033 (0.0058) | 0.0064 (0.0081) | 0.0011 (0.0057) |
| Cons | −0.0673 (0.0507) | −0.0444 (0.0227) | −0.0294 (0.0245) | −0.0865 * (0.0338) | −0.0429 (0.0226) |
| Stru | −0.4162 (0.2738) | 0.4042 *** (0.1095) | 0.1989 (0.1450) | 0.3164 * (0.1547) | 0.0352 (0.1382) |
| Intercept term | 0.4998 (1.0541) | −1.2316 * (0.5934) | −0.7817 (0.6319) | −0.9552 (0.7668) | −0.1469 (0.5984) |
| Obs | 143 | 286 | 143 | 208 | 182 |
| Variable Name | System Composition Heterogeneity Test | ||
|---|---|---|---|
| Low-Carbon Economy | |||
| Info-inf | 0.3051 ** (0.0945) | ||
| Inte-inf | 0.0230 (0.1504) | ||
| Inno-inf | 0.3546 *** (0.1014) | ||
| Econ | 0.0207 (0.0464) | 0.0527 (0.0453) | 0.0275 (0.0448) |
| Fisc | 0.1112 ** (0.0410) | 0.1049 * (0.0420) | 0.0912 * (0.0401) |
| Envi | 0.0025 (0.0049) | 0.0033 (0.0052) | 0.0032 (0.0049) |
| Cons | −0.0507 ** (0.0193) | −0.0532 ** (0.0197) | −0.0431 * (0.0190) |
| Stru | 0.2384 * (0.0985) | 0.2313 * (0.1005) | 0.1799 (0.0977) |
| Intercept term | −0.6566 (0.4686) | −0.8130 (0.4790) | −0.5286 (0.4740) |
| Obs | 390 | ||
| Variable Name | (1) | (2) |
|---|---|---|
| Capi | Low-Car | |
| New-inf | −0.5389 ** (0.1882) | 0.3325 *** (0.0966) |
| Capi | −0.0745 * (0.0327) | |
| Econ | −0.0904 (0.0714) | 0.0083 (0.0474) |
| Fisc | −0.0016 (0.0583) | 0.0988 * (0.0392) |
| Envi | −0.0092 (0.0094) | 0.0019 (0.0048) |
| Cons | −0.0168 (0.0220) | −0.0469 * (0.0191) |
| Stru | 0.0425 (0.1238) | 0.1996 * (0.0968) |
| Intercept term | 1.7843 * (0.7119) | 0.3825 (0.4894) |
| Obs | 390 | |
| Variable Name | Threshold Value | F Value | p Value | Critical Value | |||
|---|---|---|---|---|---|---|---|
| 10% | 5% | 1% | |||||
| Popu | the first threshold | 0.6454 | 12.7200 | 0.0350 | 10.7700 | 11.7749 | 16.0975 |
| the second threshold | 0.7026 | 30.9500 | 0.0000 | 12.5152 | 14.4186 | 17.4163 | |
| Variable Name | Low-Car | Std | 95% CI | |
|---|---|---|---|---|
| Popu < 0.6454 | 0.1319 | (0.1356) | −0.1347 | 0.3986 |
| 0.6454 ≤ Popu < 0.7026 | 0.2979 * | (0.1179) | 0.0661 | 0.5298 |
| Popu > 0.7026 | 0.4725 *** | (0.1153) | 0.2457 | 0.6994 |
| Intercept term | −0.9931 * | (0.4478) | −1.8739 | −0.1123 |
| Obs | 390 | |||
| Variable Name | Densely Populated Areas | Variable Name | Sparsely Populated Areas | ||
|---|---|---|---|---|---|
| Low-Car | Std | Low-Car | Std | ||
| Popu < 0.5727 | 0.0579 | (0.1388) | Popu < 0.5874 | 0.0275 | (0.4017) |
| Popu ≥ 0.5727 | 0.3061 * | (0.1227) | Popu ≥ 0.5874 | 0.4382 | (0.3468) |
| Econ | 0.0100 | (0.0520) | Econ | −0.1291 | (0.0880) |
| Fisc | 0.1150 ** | (0.0430) | Fisc | 0.0848 | (0.0723) |
| Envi | −0.0009 | (0.0054) | Envi | 0.0006 | (0.0070) |
| Cons | −0.0410 | (0.0245) | Cons | 0.0188 | (0.0393) |
| Stru | 0.0589 | (0.1318) | Stru | −0.1628 | (0.1573) |
| Intercept term | −0.2688 | (0.5476) | Intercept term | 0.8342 | (0.6554) |
| Obs | 299 | Obs | 91 | ||
Disclaimer/Publisher’s Note: The statements, opinions and data contained in all publications are solely those of the individual author(s) and contributor(s) and not of MDPI and/or the editor(s). MDPI and/or the editor(s) disclaim responsibility for any injury to people or property resulting from any ideas, methods, instructions or products referred to in the content. |
© 2026 by the authors. Licensee MDPI, Basel, Switzerland. This article is an open access article distributed under the terms and conditions of the Creative Commons Attribution (CC BY) license.
Share and Cite
Zhang, H.; Li, Y.; Wei, F.; Li, K. How Can “New Infrastructure” Promote the Sustainable Development Level of a Low-Carbon Economy? Evidence from Provincial Panel Data in China. Sustainability 2026, 18, 1164. https://doi.org/10.3390/su18031164
Zhang H, Li Y, Wei F, Li K. How Can “New Infrastructure” Promote the Sustainable Development Level of a Low-Carbon Economy? Evidence from Provincial Panel Data in China. Sustainability. 2026; 18(3):1164. https://doi.org/10.3390/su18031164
Chicago/Turabian StyleZhang, Hong, Yiming Li, Fulin Wei, and Kuan Li. 2026. "How Can “New Infrastructure” Promote the Sustainable Development Level of a Low-Carbon Economy? Evidence from Provincial Panel Data in China" Sustainability 18, no. 3: 1164. https://doi.org/10.3390/su18031164
APA StyleZhang, H., Li, Y., Wei, F., & Li, K. (2026). How Can “New Infrastructure” Promote the Sustainable Development Level of a Low-Carbon Economy? Evidence from Provincial Panel Data in China. Sustainability, 18(3), 1164. https://doi.org/10.3390/su18031164

