Next Article in Journal
The Anatomy of a Good Concept: A Systematic Review on Cyber Supply Chain Risk Management
Previous Article in Journal
Impacts of Polycentric Spatial Structure of Chinese Megacity Clusters on Their Carbon Emission Intensity
 
 
Font Type:
Arial Georgia Verdana
Font Size:
Aa Aa Aa
Line Spacing:
Column Width:
Background:
Article

Research on a Dynamic Correction Model for Electricity Carbon Emission Factors Based on Lifecycle Analysis and Power Exchange Networks

1
School of Energy and Automotive Engineering, Shunde Polytechnic University, Foshan 528300, China
2
School of Mechanical and Automotive Engineering, South China University of Technology, Guangzhou 510640, China
3
Guangzhou Institute of Modern Industrial Technology, South China University of Technology, Guangzhou 510640, China
4
Guangdong Artificial Intelligence and Digital Economy Laboratory (Guangzhou), Pazhou Lab, Guangzhou 510330, China
*
Authors to whom correspondence should be addressed.
Sustainability 2026, 18(3), 1150; https://doi.org/10.3390/su18031150
Submission received: 25 November 2025 / Revised: 28 December 2025 / Accepted: 15 January 2026 / Published: 23 January 2026

Abstract

Accurate electricity carbon emission factors are crucial for assessing overall social carbon emissions and achieving China’s “dual carbon” goals. This paper proposes a dynamic correction model that integrates lifecycle extension, power exchange networks, and multi-time-scale decomposition to address the limitations of static carbon emission factors. The model considers factors such as power generation structure, cross-regional transmission, clean energy proportion, line losses, and non-CO2 greenhouse gas emissions, and achieves dynamic correction at quarterly and monthly scales, enhancing timeliness and regional adaptability. Results show that transmission losses, energy structure, and inter-provincial electricity exchange significantly impact carbon emission factors. For instance, in 2022, line losses in Xinjiang and Gansu raised the electricity carbon emission factor by over 0.06 kgCO2/kWh. Monthly factors exhibit significant seasonal fluctuations, with some regions showing variations of up to 105% of the annual average. Areas rich in hydropower, such as Yunnan, Sichuan, and Qinghai, experience pronounced fluctuations, highly sensitive to changes in water volume, offering more accurate reflections of carbon emission changes during electricity consumption. This study presents a refined dynamic correction method for electricity carbon emission accounting, providing theoretical support for carbon emission policy development and performance evaluation.

1. Introduction

The power industry is a key area of carbon emissions in China and a major player in achieving the “dual carbon” goals [1,2]. Globally, electricity generation remains one of the largest sources of energy-related CO2 emissions, accounting for around 40% of total emissions from fuel combustion for electricity production. This underscores the crucial role of accurate carbon accounting in shaping climate mitigation strategies and energy policies [3]. Meanwhile, according to the International Energy Agency, energy-related CO2 emissions—including those from electricity generation—reached record highs as recently as 2024, underlining the continued challenge of decarbonizing electricity systems worldwide [4]. With the continuous deepening of electrification of terminal energy consumption in China, the consumption of electricity has grown rapidly. From 1978 to 2020, the consumption of electricity increased from 249.8 billion kilowatt hours to 77,600 billion kilowatt hours, a growth of over 31 times [5]. In 2020, the carbon emissions of the power industry accounted for more than 40% of the overall social carbon emissions, which was a huge proportion [6,7]. Therefore, accurate measurement of electricity carbon emissions is crucial for supporting the development of global climate policies.
At present, carbon emissions from electricity are mainly measured via the emission factor method, where the product of the electricity carbon emission factor and electricity consumption is taken as total emissions. The grid carbon emission factor—defined as total emissions divided by total generated electricity—serves as a core parameter in this method. While conventional emission factor calculations consider annual or static averages, they frequently overlook temporal and regional variations that influence real carbon intensity, especially under conditions of high renewable penetration and power exchange flows. With the establishment of new power system construction goals, the power generation of new energy sources such as photovoltaics and wind power in China continues to increase, and changes in the power grid structure will have a huge impact on the carbon emission factor value of electricity. The current carbon emission factors for electricity are no longer sufficient to meet the demand for accurate measurement of electricity carbon emissions, and the development of related research work is urgent [8,9].
Developed Western countries attached great importance to energy conservation and environmental protection and had conducted relevant research earlier. They already had relatively complete laws, regulations, and management systems. In the United States, the eGRID database was widely used to calculate the indirect carbon emissions of companies purchasing electricity. The database divided the United States into 27 subregions and calculated the corresponding electricity carbon emission factors based on the reported data of all power plants in each subregion. The calculation process considered the impact of other greenhouse gas emissions and line losses, and the results are relatively accurate. There have been eight data updates in the past 10 years [10]. The UK took a more comprehensive approach in calculating carbon emission factors for electricity. In addition to considering the impact of other greenhouse gases and line losses, it also calculates the impact of France’s net electricity input and the carbon emissions generated by the fuel used in the production and transportation processes and updates the data annually [11]. Some scholars have also conducted refined research in order to obtain more accurate results. With the increasing share of renewable energy, the effects of cross-regional power exchanges and grid interconnection have become more significant, raising higher demands for the calculation of electricity carbon emission factors. For example, Chen et al. [12] proposed a new method for calculating the interconnected grid carbon emission factor, considering green electricity trading and cross-regional power flows, emphasizing the impact of power exchange on regional carbon intensity, and real-time electricity carbon emission factors. Wang et al. [13] proposed a dynamic flow network model that considers lifecycle emissions, addressing the issue of traditional static models that fail to reflect the interaction between power flow and lifecycle emissions, full lifecycle dynamic electricity carbon emission factors. Aryai and Goldsworthy [14] also proposed a method for calculating grid carbon intensity based on real-time high-resolution data, combining power flow simulations and flow tracing technology to assess the impact of power exchanges on carbon emission factors in real-time.
China has made significant progress in researching electricity carbon emission factors and has gradually established a tiered accounting system; starting in 2024, the Ministry of Ecology and Environment and the National Bureau of Statistics will release the ‘2021 Electricity Carbon Emission Factor’ and ‘2022 Electricity Carbon Emission Factor’ series standards [15,16]. However, the current standard system still has several limitations. First, the existing regional and provincial models for electricity carbon emission factors mainly focus on CO2 emissions and net electricity exchange. These models lack dynamic responses to critical factors such as the growth of new energy penetration, changes in the output structure of various generation units, and cross-regional electricity exchanges [17]. Second, the infrequent updates hinder the ability to reflect seasonal and temporal fluctuations within the power system. Lastly, as the share of renewable energy continues to grow rapidly, the lifecycle emissions of low-carbon energy sources like wind, solar, and nuclear power have not been systematically incorporated into the electricity carbon emission factor system.
Therefore, this paper presents a dynamic correction model that integrates lifecycle extension, power exchange networks, and multi-time-scale decomposition. The model comprehensively considers factors such as power generation structure, cross-regional transmission, the proportion of clean energy, line losses, and non-CO2 greenhouse gas emissions, achieving dynamic corrections at quarterly and monthly scales. This significantly improves the timeliness and regional adaptability of carbon accounting results. As the power system continues to optimize and the share of new energy increases, the new electricity carbon emission factor calculation model will play a more important role in achieving more accurate carbon emission accounting.

2. Methods

2.1. Data Sources

The dynamic correction model for electricity carbon emission factors developed by our research institute primarily relies on statistical yearbooks, official documents, and global databases to ensure the scientific validity of the model and the reliability of the results (as shown in Table 1). During the data-collection process, some data was provided as a range rather than an exact value. Using the average of range data is an established practice in energy modeling [18]. For example, if the low calorific value range of other washed coal is 8363~12,545 kJ/kg, the average value of 10,454 kJ/kg is used.

2.2. Overall Framework

This study proposes a dynamic correction method for power carbon emission factors to address issues such as inadequate system boundary setting, oversimplified power exchange processing, and coarse time-scale division in current power carbon emission factors. The method relies on energy balance data and grid operation data, integrating information from both power generation and consumption ends, and constructs a systematic correction framework that covers the entire power production, transmission, and consumption chain. This approach draws on recent advancements in power system modeling and carbon emission accounting [53,54], and enhances the precision of power carbon emission factors by incorporating lifecycle data, iterative networks of power exchange, and dynamic adjustments across multiple time scales, resulting in more efficient and accurate carbon emission accounting.
At the boundary expansion level, this study breaks through the traditional limitation of only considering CO2 emissions from thermal power fuel combustion by adopting a lifecycle perspective. It includes indirect carbon emissions from fuel extraction and processing, greenhouse gases without CO2 emissions such as CH4 and N2O emissions from new-energy power plants throughout their lifecycle, and transmission losses within the accounting boundary. This creates a more comprehensive calculation basis for power carbon emission factors. At the power network level, the network topology characteristics of power exchange are introduced. A carbon emission transmission path for cross-provincial power flow is constructed, achieving carbon trace tracking and attribution correction of power carbon emission factors. At the time-scale level, based on the annual electricity carbon emission factor, quarterly and monthly electricity carbon emission factors are decomposed and constructed, improving their responsiveness to seasonal fluctuations, energy structure adjustments, and load differences, and effectively solving the mismatch problem between carbon accounting demands at different statistical frequencies. Through the above correction path, the dynamic correction method for power carbon emission factors establishes closed-loop coupling between the power production and consumption ends. This not only improves the accuracy and applicability of power carbon emission factors but also meets the diverse needs of carbon accounting, performance evaluation, and policy evaluation at multiple time scales. The overall method framework is shown in Figure 1.

2.3. Establishment of Boundary Expansion Correction Model from the Perspective of Lifecycle

The current calculation of power carbon emission factors primarily focuses on the direct CO2 emissions generated during the combustion process of thermal power fuels. However, as electricity is an energy product heavily dependent on multi-link cooperation, carbon emissions are not only generated during the combustion stage but also span the entire process from fuel acquisition, energy conversion, transmission and distribution to consumption. If the accounting boundary is confined solely to the fuel combustion process, it will inevitably lead to an underestimation of the carbon emission factors.
To address these issues, a boundary expansion correction model was established based on the principles of Life Cycle Assessment (LCA) [55]. This model integrates all emission sources that significantly affect the carbon intensity of the power system into a unified accounting boundary. By using the power supply at the consumer end as the normalized benchmark, the model ensures complete and comparable calculation results. This approach allows for the closed-loop expansion of the power carbon emission factor across the entire production, transmission, and consumption chain. Due to the significant difficulty in obtaining carbon footprint data for the construction stages of thermal power plants and power lines, this study model does not consider these factors.

2.3.1. Indirect Carbon Emissions from Upstream Fuel Links

The boundary expansion correction model mainly included the following four correction steps, taking provincial power grid p as an example. For the indirect carbon emissions in the upstream process of fuel E m p p , fuel carbon emissions not only included the combustion process, but also the indirect emissions from mining, transportation, and processing processes. The upstream emissions of fuel are represented by Equation (1).
E m p p = m F C m , p × E F m u p
E F m u p is the emission factor (kgCO2/unit fuel) of fossil fuel m during mining, processing, and transportation.

2.3.2. Non-CO2 Greenhouse Gas Emissions

For non-CO2 greenhouse gas emissions E m g p , in the process of thermal power combustion, in addition to CO2, a small amount of CH4 and N2O emissions were accompanied. Their global warming potential (GWP) was much higher than that of CO2. To avoid underestimating the potential of the greenhouse effect, CH4 and N2O emissions during thermal power combustion were converted into CO2 equivalents based on global warming potential (GWP) and included. The correction term was represented by Equation (2).
E m g p = m h F C m , p × N C V m × E F m , h × G W P h
Among them, E F m , h is the emission factor of greenhouse gases h (CH4, N2O) emitted by fossil fuel m during combustion; G W P h is the global warming potential of greenhouse gas h.

2.3.3. Carbon Emissions Throughout the Entire Lifecycle of New Energy

For the full lifecycle carbon emissions E m r p of new energy, although the new energy power generation process had nearly zero emissions, there were still hidden carbon emissions in its equipment manufacturing, construction and installation, operation and maintenance, and retirement treatment. Therefore, the full lifecycle emissions of new energy generation would be converted and included in the model, with the correction term represented by Equation (3).
E m r p = t E r p , t × E F p , t
Among them, t refers to the types of new-energy power plants, including nuclear power, hydropower, photovoltaics, and wind power; E r p , t refers to the new energy generation of type t in the provincial power grid, kWh; E F p , t refers to the carbon footprint factor of type t new energy generation in provincial power grid p, k g C O 2 / k W h .
According to the “2023 National Electricity Carbon Footprint Factors” released by the Ministry of Ecology and Environment of China, the carbon footprint factors of various new energy generation types are detailed in Table 2. The carbon footprint factor data for new energy power generation types is sourced from sample calculation results from power generation enterprises nationwide. This data covers the carbon emissions footprint generated by new-energy power plants throughout their entire lifecycle, including equipment manufacturing, construction, operation and maintenance, and decommissioning. With this data, we are able to comprehensively assess the carbon emission contributions at different stages of the new energy generation process, allowing for a more accurate calculation of the carbon footprint of new energy.
However, it should be noted that there are certain discrepancies and uncertainties in the data sources. For example, different power generation enterprises may use varying calculation methods and assumptions, leading to discrepancies in the results. However, since the carbon footprint factor of new-energy power plants is relatively small, these discrepancies have a minimal impact on the final results.

2.3.4. Line Transmission Loss Correction

In the process of power transmission, due to factors such as wire resistance, transformer losses, and equipment energy losses, there was a certain difference between the generated electricity and the power supply that could be obtained by the end user. If the generated electricity was used as a benchmark for calculation, it would underestimate the actual carbon emissions level borne by the user side. To ensure that the accounting results were consistent with the actual electricity situation on the user side, the power supply was used by the user side instead of the power generation as the accounting benchmark and distributed the carbon emissions corresponding to line losses to the consumer end. The correction term expression is shown in Equation (4).
E F p * = E m p E p × 1 μ p
μ p is the average line-loss rate of provincial power grid p (%).
Based on the above correction steps, the total carbon emissions of the regional power grid r after correction from a lifecycle perspective are represented in Equation (5).
E m p L C = E m h p + E m p p + E m r p + E m g p
E m h p represents the CO2 emissions generated by provincial-level thermal power generation ( k g C O 2 ).
Based on this, the carbon emission factor of electricity from a lifecycle perspective can be obtained as Equation (6).
E F p L C = E m p L C E p × 1 μ p

2.4. Establishment of Iterative Model for Power Exchange Based on Grid Topology Structure

The spatial attribution of power carbon emission factors not only depended on the energy structure and power generation carbon emissions of the region/province itself but also was significantly affected by cross-regional power flow. Currently, the methods published by Chinese official departments use net electricity exchange as the accounting basis [15,16], ignoring the complexity of bidirectional, multi-node, and multi-link power transmission. The carbon emission information it carried made it difficult to accurately reflect the dynamic carbon emission redistribution process under cross-domain power exchange. To this end, this section introduces the idea of modeling the topology structure of the power grid [56] and establishes an iterative algorithm-based calculation model for the correction of power carbon emission factors, in order to achieve dynamic tracking and reasonable allocation of carbon emissions in power flow.

2.4.1. Network Topology Modeling

From the perspective of network science, the regional power grid was abstracted as a directed weighted graph G = V E composed of nodes and transmission paths. Among them, the node set V represented the power grid of each region/province, and the edge set E represented the cross-domain power transmission path. If there was power transmission from region/province p to n, then a directed edge pn was defined, with the edge weight corresponding to the transmitted power amount E g r i d , p , n . Under this topology framework, electricity served as both a medium for transmitting physical energy and a carrier for carbon emission information, thereby achieving dynamic transmission of carbon emissions from the source domain to the receiving domain.

2.4.2. Cross-Regional Carbon Emission Balance Relationship

During a stable operating cycle (such as annual or monthly), the actual carbon emissions of the power grid consists of the following three parts: (1) Carbon emissions generated by local power generation (including thermal power combustion, non-CO2 greenhouse gas and new energy full lifecycle emissions, etc.); (2) Carbon emissions carried by external input electricity; (3) The carbon emission transfer associated with external power transmission. Taking the provincial power grid p as an example, its carbon emission balance equation could be represented by Equation (7).
E m p E m p × n E g r i d , p , n E p + n E g r i d , n , p × E F n + E g r i d , r , p × E F r = E p n E g r i d , p , n + n E g r i d , n , p + E g r i d , r , p × E F p
This balance equation reflected the energy conservation and carbon conservation constraints of the power grid system in carbon emission accounting. The carbon emission factor of each node not only depended on the local energy structure, but also closely related to its position, power exchange intensity, and direction in the topological network, forming a recursive relationship and laying a theoretical foundation for iterative modeling.

2.4.3. Provincial-Level Carbon Emission Factors for Electricity

Based on the above carbon emission balance relationship, an iterative update model for the carbon emission factors of provincial power grids could be established. At the s-th iteration, the provincial power carbon emission factor was updated to Equation (8).
E F p s = E m p × E p n E g r i d , p , n E p + n E g r i d , n , p × E F n s 1 + E g r i d , r , p × E F r + k E F k × E i m p , k , p ( E p n E g r i d , p , n ) × ( 1 μ p ) + n E g r i d , n , p + E g r i d , r , p + k E i m p , k , p
In the above formula, the average line-loss rate μ p is calculated based on the transmission gateway as the boundary. If the power exchange amount between provinces E g r i d , p , n is measured by the collected electricity amount E g r i d , o u t , p , n at the output gateway, the carbon emissions generated by the line loss between provinces would be included in the receiving province; if the input gateway collects electricity measurement of E g r i d , i n , p , n , the incoming domain would no longer be included in the line loss. This article adopted the input gateway caliber, so the input power did not include line loss, and the output power needs to be corrected according to the line-loss rate. In addition, the proportion of imported electricity E i m p , k , p was relatively small, and its corresponding electricity carbon emission factor was directly introduced as a fixed constant without participating in the iteration. The calculation logic of the regional power grid was consistent with that of the provincial power grid, and the iterative formula did not include the transmission volume from the regional power grid to the provincial power grid and its corresponding carbon emission factors.

2.4.4. Matrix Representation and Convergence Analysis

To facilitate the overall solution and discuss the convergence of the algorithm, it is assumed that the number of provinces is N, and the iterative formula was transformed into matrix form, as shown in Equation (9).
E F s = A · E F s 1 + b
Among them, E F s R N is the factor column vector of the s-th iteration; A R N × N is the transfer matrix of power carbon emission factors, whose elements are A p n = E g r i d , n , p E p n E g r i d , p , n × 1 μ p + n E g r i d , n , p + E g r i d , r , p + k E i m p , k , r j r ,     A p p = 0 ; element A p n represents the contribution weight of input power to power carbon emission factors; b = b 1 , b 2 , , b N T is the adjusted correction vector for self-produced carbon emissions, whose elements are b p = E m p × E p n E g r i d , p , n E p + E g r i d , r , p × E F r + k E F k × E i m p , k , p ( E p n E g r i d , p , n ) × ( 1 μ p ) + n E g r i d , n , p + E g r i d , r , p + k E i m p , k , p .
During the iteration process, when the condition E F p s E F n s 1 < P , p ϵ 1 , N is satisfied, the iteration converges and a steady-state solution is obtained. The specific iterative process is shown in Figure 2. To analyze the convergence of the iterative algorithm, we use the concept of spectral radius. For a transition matrix A, the spectral radius ρ A is defined as the maximum absolute value of all the eigenvalues of matrix A. The formula is:
ρ A = m a x λ i :     λ i   i s   a n   e i g e n v a l u e   o f   m a t r i x   A
The spectral radius is an important indicator for determining the convergence of the iterative algorithm. According to the properties of the spectral radius, if the spectral radius of A is less than 1, the iterative algorithm will converge, and the convergence speed is inversely proportional to the size of the spectral radius. The smaller the spectral radius, the faster the convergence. By calculating the spectral radius of the transition matrix A, we can theoretically verify the convergence condition of the iterative algorithm and ensure its stability.
As shown in Figure 3, the error between consecutive iterations decreases and approaches zero as the number of iterations increases, indicating that the iteration process has converged.

2.5. Establishment of a Multi-Time-Scale Adaptive Factor Dynamic Decomposition Model

The time resolution of carbon emission factors for electricity is directly constrained by the statistical and publication cycles of data. Currently, the “National Energy Statistics” and “Electricity Industry Yearbook” primarily provide annual energy consumption and electricity exchange data, which have a complete statistical scope but significant delays (12–24 months). These sources lack high-frequency data at the monthly or quarterly levels. If carbon accounting relies solely on annual electricity carbon emission factors, it may obscure emission differences caused by seasonal changes in energy structure, load fluctuations, and variations in renewable energy output within the power system. This results in time aggregation bias, where the variability within the year is not properly captured. Therefore, it is crucial to develop a factor decomposition model with multiple time scales. This model will allow for dynamic adaptation between annual, quarterly, and monthly electricity carbon emission factors, ensuring that variations at different time resolutions are properly accounted for.

2.5.1. Annual Constraints

The core of multi-time-scale factor decomposition is to maintain consistency with annual statistical data, while satisfying the dual constraints of power generation and carbon emissions. This constraint ensures that the decomposition results of monthly or quarterly factors are consistent with annual statistics in terms of total energy and carbon emissions, achieving additivity and comparability of multi-time-scale accounting results. The power constraint can be represented by Equation (11).
t = 1 T E r , t = E r , y
Among them, E r , t is the power generation of the t-th time unit (quarterly or monthly); E r , y is the annual power generation; T = 12 represents monthly decomposition, and T = 4 represents quarterly decomposition.
The carbon emission constraint is represented by Equation (12).
t = 1 T E m r , t = E m r , y
Among them, E m r , t is the carbon emissions of electricity in the t-th time unit (quarter or month); E m r , y is the annual carbon emissions from electricity.

2.5.2. Multi-Time-Scale Decomposition and Accounting

Given that the carbon emission coefficients of fossil fuels such as coal, oil, and natural gas were only released on an annual basis, and that unit efficiency and fuel structure remain relatively stable throughout the year, this article assumed that they remained consistent on a monthly and quarterly scale. The formula for estimating carbon emissions from thermal power plants is Equation (13).
E m c o a l , t = E c o a l , t × E F c o a l , y u p + E F c o a l , y C O 2 + E F c o a l , y C H 4 + E F c o a l , y N 2 O
Among them, E c o a l , t is the thermal power generation of the t-th time unit (quarterly or monthly), kWh; E F c o a l , y u p is the emission factor of the fuel extraction and processing process, kgCO2/kWh; E F c o a l , y C O 2 , E F c o a l , y C H 4 and E F c o a l , y N 2 O are the emission factors of CO2, CH4, and N2O in the annual average thermal power combustion process, respectively, kgCO2/kWh. This method could ensure that the time unit results are consistent with the statistical caliber when backtracking on an annual basis.
For new energy sources such as wind power, photovoltaics, hydropower, and nuclear power, their lifecycle carbon footprint factors were relatively stable. Therefore, the monthly power generation of various new energy sources was estimated by multiplying the lifecycle carbon footprint factors. The specific formula is shown in Equation (14).
E m r e , t = k E r e , k , t × E F r e , k
Among them, E m r e , t represents the carbon emissions generated by new energy generation in the t-th time unit (quarterly or monthly), kgCO2; E r e , k , t is the power generation of new energy type k in the t-th time unit (quarterly or monthly), kWh; E F r e , k is the lifecycle emission factor of new energy type k, kgCO2/kWh.
Due to the fact that electricity exchange data was only released on an annual basis, this article proposes a proportional decomposition method based on the proportion of electricity generation in time units, which decomposed the annual electricity exchange volume into each time unit. The specific formula is shown in Equation (15).
E g r i d , r , j , t = E r , t t E r , t × E g r i d , r , j , y
E g r i d , r , j , y is the annual transmission capacity of the regional/provincial power grid rj. This method ensured that the accumulated results after monthly decomposition were consistent with the annual electricity exchange volume and enhanced the temporal rationality by introducing the fluctuation characteristics of power generation.

2.5.3. Generation of Multiple Time-Scale Factors

Based on the above decomposition, the power carbon emission factor of the regional/provincial power grid in the t-th time unit (quarterly or monthly) is shown in Equation (16).
E F r , t = E m r , t E r , t × 1 μ r
E m r , t is the corrected total carbon emissions for the t-th time unit (quarter or month).

2.5.4. Key Assumptions and Rationale

In this study, several key assumptions were made in the model to simplify the calculations and enhance the model’s operability. The following is a detailed explanation of these assumptions and their rationale:
(1)
Annual Power Exchange Volume Decomposed to Monthly Levels Based on Power Generation Proportion
This assumption is based on the pattern that power exchange typically fluctuates in sync with power generation. Power exchange fluctuates seasonally, and power generation is influenced by seasonal demand, resource availability, and grid operations. Therefore, assuming that power exchange changes proportionally with power generation is reasonable.
(2)
Fixed Carbon Emission Factor for Imported Electricity
Since imported electricity represents a relatively small portion of total electricity consumption and the calculation methods for carbon emission factors vary significantly across countries or regions, dynamically adjusting the carbon emission factor for imported electricity would increase the model’s complexity. Therefore, assuming a fixed carbon emission factor for imported electricity helps simplify the model, reduce computational burden, and has a minimal impact on the model’s results.
(3)
Unified Annual Carbon Footprint Factor for New Energy
The carbon footprint factor for new energy (such as wind and solar power) is assumed to be uniform throughout the year in the model. This simplifies the calculation process. While the carbon footprint factor for new energy may vary slightly due to factors like equipment manufacturing, installation, and maintenance, these variations are small and do not exhibit significant seasonal patterns. Therefore, assuming a unified annual carbon footprint factor is reasonable.
(4)
Relative Stability of Thermal Power Plant Efficiency and Fuel Structure Within the Year
The efficiency and fuel structure of thermal power plants generally remain relatively stable throughout the year, especially when there are minimal changes in fuel supply, plant technology, and operating conditions. Assuming that thermal power plant efficiency and fuel structure remain stable simplifies the model’s calculations, avoiding frequent adjustments and more complex analyses of fuel types and efficiencies.

3. Results and Discussion

3.1. Consistency Verification of Current Method Calculation Results

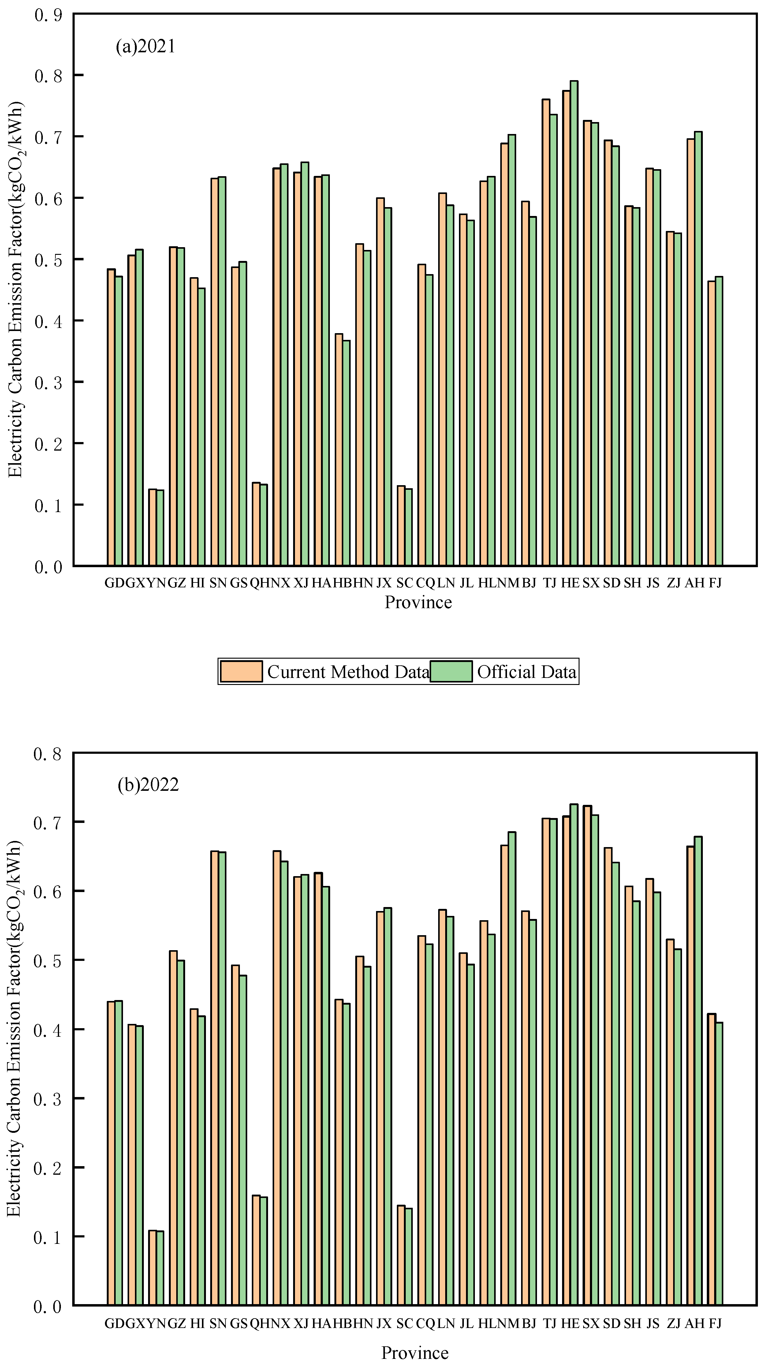
At present, the China Development and Reform Commission and the Ministry of Ecology and Environment has released provincial-level carbon emission factor data for five years, including 2010, 2012, 2016, 2021, and 2022. Given the accelerated pace of energy structure adjustment in recent years and the fact that the latest data better reflects the characteristics of the current power system, this article selected 2021 and 2022 as comparative samples to verify the consistency between the current method calculation results and official published data in order to evaluate their accuracy and reliability.
To avoid the cancelation of positive and negative biases in statistics, this article used the “absolute value of the difference ratio (i.e., the magnitude of the difference)” as a consistency measure. The results showed that the average difference in provincial power carbon emission factors between 2021 and 2022 was 1.91% and 2.17%, respectively, with an overall average of 2.04% over the two years, both significantly lower than 5% (as shown in Figure 4). This indicated that the current method’s calculation results were highly consistent with official data at the annual overall level.
In terms of inter provincial differences, this article selected the extreme and minimum values of the difference amplitude as typical examples for analysis. The results showed that Beijing had the largest difference in 2021 (4.37%), which narrowed to 2.23% in 2022. The difference in Shanghai was only 0.49% in 2021, rising to 3.7% in 2022. Guizhou was almost consistent with official data in 2021, with a difference of only 0.22%, and increased to 2.80% in 2022. Tianjin has shrunk from 3.33% in 2021 to 0.09% in 2022. The results indicated that although there are annual fluctuations in some provinces, the overall differences were relatively small and remain within a reasonable range. The stability of cross-year average levels was high, and the current methods were still highly consistent with official data.
Overall, the current method could effectively reproduce the officially announced carbon emission factors for electricity, showing high consistency in both the overall level and inter provincial distribution, and possessing strong reliability and reference value. This verification result provided data support and methodological foundation for introducing dynamic correction factors and conducting spatiotemporal evolution analysis in the future. It should be pointed out that a small number of differences were mainly due to some statistical data revisions, power-exchange processing methods, and individual data accuracy differences, but did not affect the overall consistency conclusion.

3.2. Analysis of the Influencing Factors and Current Limitations of Carbon Emission Factors in Electricity

Although China had established a multi-level power carbon emission factor system, the current calculation methods for regional and provincial power carbon emission factors took into account energy structure and net electricity exchange, which could accurately reflect the average power carbon emission intensity level at the regional and provincial levels. However, its applicability still had limitations. The carbon emission factor of electricity was the result of the coupling effect of multiple links and scales in the energy system, and its formation process ran through the entire process of power generation, transmission, distribution, and terminal consumption. Its value was influenced by multiple factors such as energy structure, power generation technology, transmission and distribution losses, and regional power exchange. However, current methods had insufficient coverage or simplified processing in these key areas, resulting in systematic biases in factor results and weakening the scientific and comparable nature of carbon emission accounting and policymaking. Therefore, this section will focus on the key links mentioned above, sort out the composition logic of power carbon emission factors, and reveal the shortcomings of current methods, providing theoretical support for subsequent factor correction and multi time scale construction.

3.2.1. Fuel-Related Influencing Factors

Fuel is the main source of carbon emissions in electricity production, and its extraction, processing, and combustion processes collectively determine the overall level of carbon emission factors in electricity. The existing accounting methods mostly focus on the direct emissions of thermal power combustion, ignoring the indirect carbon emissions of upstream links such as fuel extraction, transportation, and processing. At the same time, they did not fully consider the emissions of non-CO2 greenhouse gases such as CH4 and N2O, resulting in a systematic underestimation of the carbon emission factors of electricity, making it difficult to fully reflect the true carbon intensity of fuel utilization.
Fuel extraction and processing production are the early stages of electricity production, and their carbon emissions were often overlooked. However, in reality, the carbon emissions during this stage have a significant impact on the overall carbon footprint of the power grid. There are significant differences in the types and intensity of energy consumed during the extraction, transportation, and processing of different types of energy, resulting in significant differences in carbon emission levels. According to the “ISO 14067:2018 Greenhouse gases—Carbon footprint of products—Requirements and guidelines for quantification [48]” developed by the China Urban Greenhouse Gas Working Group, the greenhouse gas emission factors generated during the extraction and processing of various fuels could be calculated and determined as shown in Table 3. From the table, it can be seen that the greenhouse gas carbon emission coefficients of coal products and converter gas are relatively high, at 10.55 tCO2/t and 10.8 kgCO2/m3, respectively. The greenhouse gas carbon emission coefficients of other fuels were all within 3 tCO2/t (or 3 kgCO2/m3). This indicates that in the calculation of carbon emission factors for electricity, emissions from upstream fuel links should be included in the system boundary to avoid underestimating the actual carbon intensity of thermal power and coal to energy.
In the process of thermal power generation, the combustion of fossil fuels not only released a large amount of CO2, but also emitted small amounts of other greenhouse gases such as CH4 and N2O. Although these gases have relatively small emissions and were often overlooked in research, their greenhouse gas potential (GWP) was much higher than CO2, and they had an undeniable impact on the overall carbon emissions of the power system, as shown in Table 4. It could be seen that even if the emissions of CH4 and N2O were low, they would still have a certain impact on the accuracy of the power carbon emission factor.
At present, the power grid emission factors released by the United States, Australia, Canada, the United Kingdom, and New Zealand already include three greenhouse gases: CO2, CH4, and N2O. To improve measurement accuracy, CO2 equivalent emissions of other greenhouse gases such as CH4 and N2O should be introduced as a supplement to the total carbon emissions.

3.2.2. Lifecycle Impact of New-Energy Power Plants

With the continuous deepening of China’s “dual carbon” strategy, the proportion of new energy generation such as hydropower, wind energy, and solar energy continued to rise. As shown in Figure 5, the spiral chart illustrates the trend changes in the proportion of new energy in 30 provinces and cities across the country from 2009 to 2022. During this period, the proportion of new energy in provincial power grids had significantly increased. By 2022, the proportion of new energy in eight provinces and cities had exceeded 40%. With the continuous expansion of the installed capacity of new-energy power plants, almost zero emissions had been achieved during the operation phase, and the current carbon emission accounting methods usually considered their emissions as zero. However, from the perspective of the entire lifecycle, new-energy power plants still generate certain carbon emissions in equipment manufacturing, material processing, transportation and installation, and operation and maintenance. If these carbon emissions were ignored, it would lead to an underestimation of the power carbon emission factor. Therefore, when constructing the carbon-emission factor for electricity, the full lifecycle carbon emissions of new-energy power plants should be included in the accounting boundary to more accurately reflect the true carbon intensity and energy structure evolution characteristics of the power system.

3.2.3. The Impact of Power Transmission and Exchange

The current provincial electricity carbon emission factors were calculated based on the amount of electricity generated, but the electricity carbon emission factors were mainly used for indirect carbon emission accounting of user-side electricity consumption, so they should be considered more from the perspective of electricity consumption. The power generation referred to the total amount of electricity actually produced by the power plant, while the power supply referred to the actual electricity consumption transmitted to the user side. There was energy loss between the two due to line transmission and transformer processes. If the power generation was used as the calculation base for the carbon emission factor of electricity, the existence of line loss would be ignored, resulting in an overestimation of the power supply and a low calculation of the carbon emission factor of electricity. It would lead to a systematic underestimation of the carbon emission results of electricity on the user side. According to the compilation of statistical data on the power industry, the average line-loss rate of provincial power grids in China was 4.4%, with the highest reaching 7.4%. Its impact could not be ignored, as shown in Figure 6. Therefore, in factor calculation, this article used power supply rather than power generation as the calculation benchmark and distributed the carbon emissions contained in line loss electricity to the user side to more accurately reflect the true carbon emissions level of electricity consumption.
In the modern power grid system, the provincial power grids were closely coupled through cross regional transmission channels, which not only undertook local power consumption, but also performed dual functions of transmission and reception. The flow of electricity presented obvious bidirectional and dynamic balance characteristics. As shown in Figure 7, the power exchange between provincial power grids in 2022 presents a significant bidirectional pattern, with frequent and constantly changing power flows between different regions. However, the current method for calculating the carbon emission factor of provincial electricity did not fully consider this characteristic. It usually used the net electricity-exchange amount E i m p , n , p , which was calculated by subtracting the amount of electricity E g r i d , n , p transmitted from grid n to grid p from the amount of electricity E g r i d , p , n transmitted from grid p to grid n. It was assumed that the carbon emission factor of the net electricity-exchange amount was consistent with the target grid. Therefore, the estimated carbon emissions from net electricity exchange are shown in Equation (17).
E m n , p = E F n × E g r i d , n , p E g r i d , p , n
This simplification process had three logical limitations. Firstly, it ignored the differences in the sources of input and output electricity and failed to distinguish the differences in carbon emission intensity between different power grids. Secondly, it was to simplify the complex multi node bidirectional transmission process into a single net flow model, which could easily lead to systematic bias in carbon accounting results when the regional power grid structure is complex and carbon intensity differences were significant. Thirdly, the current methods did not take into account the topological structure characteristics of the power grid and their impact on carbon-flow paths, making it impossible to trace the carbon sources of power flow. Against the backdrop of rapid development of ultra-high voltage transmission in China, the scale and frequency of cross-regional transmission were becoming increasingly frequent. If the loop effect of power exchange was ignored, the actual power carbon emission factor would be further underestimated, weakening the spatiotemporal accuracy of carbon accounting results.

3.2.4. Time-Scale Factor

The current carbon emission factors for electricity were based on annual statistics, which could only reflect the average carbon emission intensity throughout the year and made it difficult to reveal the seasonal fluctuations and structural differences in the power system. For example, an increase in hydropower output during the wet season would significantly reduce the level of electricity carbon-emission factors, while an increase in the proportion of thermal power during the dry season would push up the level of electricity carbon-emission factors. If only the annual average was used, it would inevitably mask these dynamic fluctuations and lead to time aggregation bias.
Assuming that the electricity consumption of a certain building in the m-th month was E F m , the corresponding monthly electricity carbon emission factor was m E u m × E F m ; if calculated using the annual electricity carbon emission factor E F ¯ y , the estimated annual electricity carbon emissions were m E u m × E F ¯ y . The difference between the two essentially depends on the covariance relationship between the distribution of electricity load and factor fluctuations. When high-electricity-load months coincide with high-carbon-intensity electricity structures, using the annual average factor for accounting would lead to systematic underestimation. This mechanism indicated that under conditions of uneven temporal distribution, annual factors could not accurately reflect the true emission levels.
Due to the differences in energy-saving management models across various industries and sectors in different provinces (cities) of the country, the statistical frequency of energy resource consumption data for various types of buildings varies, including annual, quarterly, and monthly forms. If the annual electricity carbon emission factor is uniformly adopted, it would not only be difficult to match the different data submission frequencies but also weaken the authenticity and comparability of carbon-emission accounting results, affecting horizontal comparisons between different types of buildings within the same region and vertical tracking of time series. The fundamental reason is that the time resolution of electricity carbon-emission factors does not align with the statistical periods of building data, leading to inconsistencies in accounting results across different levels and periods.
Therefore, the electricity carbon-emission factor for a single year is difficult to meet the refined and dynamic needs of carbon accounting for buildings. It is necessary to establish a multi-time-scale electricity carbon-emission factor system covering monthly, quarterly, and annual periods. Monthly factors can reflect short-term fluctuations in the operation of the power system, providing a basis for optimizing the operation and energy-efficiency management of the energy-consumption system within the building. Quarterly factors are applicable for phased performance evaluation and process control. The annual factor serves long-term strategic planning and carbon-reduction target setting. By constructing multi-scale carbon-emission factors for electricity, the accuracy and statistical compatibility of carbon accounting can be effectively improved, achieving multi-level support for operation monitoring, performance evaluation, and strategic decision-making, providing data foundation and theoretical support for subsequent dynamic correction models.

3.3. Overall Changes and Spatial Differences on an Annual Scale

3.3.1. Analysis of Overall Annual Changes and Spatial Distribution Characteristics

Based on current methods and revised models, the power carbon emission factors of 30 provincial-level power grids in China from 2009 to 2022 have been calculated. The results of the two methods were compared, as shown in Figure 8 and Figure 9.
For the same research object, the carbon-emission factor calculated by the modified model was generally higher than the current method, and the differences were mainly concentrated in provinces and cities with a high proportion of thermal power and large external high carbon-power input. Specifically, as shown in Figure 9, Beijing, Shandong, Jilin, Hebei, Xinjiang, Heilongjiang, Anhui and other provinces and cities had the largest correction amplitude, with an average increase of over 0.12 kgCO2/kWh. These regions were mainly dominated by thermal power or have frequent inter-provincial power exchanges. The current methods systematically underestimated the flow of electricity and upstream fuel emissions. Relatively speaking, provinces and cities with a high proportion of new-energy electricity, such as Yunnan, Guangdong, Guangxi, Sichuan, Qinghai, etc., had smaller correction amplitudes, with an average correction amplitude of less than 0.06 kgCO2/kWh. Overall, the current methods generally underestimated the actual level of electricity carbon emissions, while the revised methods more comprehensively reflected the true level of electricity carbon emissions in different regions by introducing important factors such as upstream fuel emissions, electricity flow, transmission losses, and non-CO2 greenhouse gas emissions.
In 2022, the provincial power carbon-emission factors presented a spatial pattern of “high in the north and low in the south, low in the west and high in the east”. There were 10 provinces and cities in China with correction values higher than 0.7 kgCO2/kWh, mainly distributed in the northwest and north China regions. Among them, Hebei Province had the highest factor-correction value in the country, reaching 0.7918 kgCO2/kWh, and its power structure was mainly based on coal-fired power. Relatively speaking, there were seven provinces and cities with correction values below 0.5 kgCO2/kWh, mainly concentrated in the southwest and southern regions, especially in provinces such as Sichuan and Yunnan. Thanks to the advantages of clean energy such as hydropower, their electricity carbon emission factors were relatively low.
From 2009 to 2022, with the optimization of the power grid structure and the increase in the proportion of new-energy installed capacity, the overall correction value of provincial power carbon-emission factors showed a continuous downward trend. The average correction value of each province (city) in China had gradually decreased from 0.8166 kgCO2/kWh in 2009 to 0.5976 kgCO2/kWh in 2022, a decrease of 26.83%. Among them, the provincial power carbon emission factors in Yunnan and Sichuan have decreased by as much as 72.89% and 58.01%, respectively, mainly due to the operation of multiple large hydropower stations such as Xiluodu and Xiangjiaba, which had significantly increased the proportion of hydropower. The proportion of hydropower in the power generation structure of the two provinces has exceeded 80%, an increase of 20 percentage points compared to 2009. This trend indicated that the low-carbon transformation of the power system and the substitution effect of new energy played a decisive role in the reduction of carbon-emission factors, and timely updating factor parameters was of great significance for carbon accounting and policy evaluation.
In 2022, there were significant inter-provincial differences in the carbon-emission factors of provincial electricity. The difference between Hebei (0.7958 kgCO2/kWh) and Yunnan (0.1424 kgCO2/kWh) was as high as 5.59 times, with a range of 0.6534 kgCO2/kWh, reflecting the huge difference in power structure between coal-fired-power-dependent provinces and new-energy-dominated provinces. Provinces dominated by coal-fired power, such as Shanxi (0.7919 kgCO2/kWh) and Inner Mongolia (0.7577 kgCO2/kWh), had high carbon-emission intensity from coal-fired power and high carbon-emission factors from electricity; provinces in Central, East, and Northeast China, such as Jiangxi (0.6349 kgCO2/kWh), Jiangsu (0.6885 kgCO2/kWh), Heilongjiang (0.6570 kgCO2/kWh), etc., although they had a certain foundation in hydropower and new energy, the proportion of thermal power still exceeded 70%, especially during the winter heating period, leading to a further increase in carbon-emission intensity. Provinces such as Sichuan (0.1845 kgCO2/kWh), Yunnan (0.1424 kgCO2/kWh), and Qinghai (0.2264 kgCO2/kWh) rely on abundant clean energy resources, mainly using hydropower, wind power, and photovoltaic power generation, while also sending large-scale electricity to the outside world, forming a typical low-carbon-intensity power grid in China. Inter-provincial differences not only reflected significant differences in power structure and scheduling modes among regions, but also validated the effectiveness of the revised model in accurately collecting carbon-emission responsibilities and enhancing the scientific nature of carbon accounting.

3.3.2. Analysis of the Composition Characteristics of Power Carbon-Emission Factors with Boundary Expansion

The lifecycle carbon emissions had a significant impact on the calculation of carbon emissions in provincial power grids. Based on 2022 data, Figure 10 shows the contribution distribution of each lifecycle stage to provincial power grid carbon emissions. The results indicated that the fuel extraction and processing stage was the main indirect emission source, excluding the combustion process, with an average contribution rate of 6.05%. This stage had an undeniable impact on the overall carbon footprint; at the same time, the impact of the full lifecycle carbon emissions of new-energy power plants on different provinces varied significantly. In provinces with leading development in new energy, such as Qinghai, Yunnan, Sichuan, etc., the impact of carbon emissions throughout the lifecycle of new-energy power plants exceeded 8%. However, in East China and North China, where the power generation of new-energy power plants accounted for less than 5%, such as Tianjin, Shanghai, Beijing, etc., their contribution to carbon emissions throughout the llifecycle was usually less than 0.5%. This indicated that while new energy significantly reduces emissions during operation, the carbon footprint of its upstream manufacturing process still needed to be included in a comprehensive assessment to avoid systematic underestimation. In addition, although non-CO2 greenhouse gas emissions accounted for a limited proportion of the total amount, they still had a potential impact on the carbon-emission intensity of the power grid. In 2022, the average contribution rate of N2O emissions in provincial power grids ranged from 0.3% to 0.45%. Although the emissions were low, the greenhouse effect of N2O could not be ignored due to its global warming potential (GWP) being about 298 times that of CO2. The detailed data on the contribution ratio of each stage was shown in Table 5.
In summary, expanding the boundary of the power carbon emission factor allows for a more comprehensive representation of the full-chain carbon characteristics of the power system. As demonstrated in Appendix A (Table A1 and Figure A1), the analysis of different renewable energy carbon footprints further validates the rationality of this boundary expansion. This approach not only addresses the underestimation issue inherent in traditional methods that overlook indirect emissions, but also provides a more scientifically grounded parameter basis for assessing low-carbon pathways in the power system. The line loss in the process of power transmission did not directly generate carbon emissions, but it had a significant impact on the changes in power carbon-emission factors. Figure 11 shows the distribution of the impact of provincial power grid line losses on power carbon-emission factors in 2022. The results showed that the line loss in provinces such as Xinjiang and Gansu had a significant impact on the carbon-emission factor of electricity, exceeding 0.06 kgCO2/Wh. The main reason was that line losses caused energy loss during power transmission, and the system needed to compensate for it through additional power generation. When the power grid was dominated by thermal power and the carbon intensity per unit of power generation was high, compensatory power generation would further amplify the overall emission level, thereby pushing up the carbon-emission factor of electricity. On the contrary, in provinces with a high proportion of clean energy (such as Qinghai, Yunnan, Sichuan, etc.), despite some transmission losses, the overall carbon-emission factor of electricity remained at a relatively low level due to the dominance of low-carbon power sources such as hydropower, wind power, and photovoltaics. In addition, the amount of inter-provincial electricity exchange was also another key factor affecting the carbon-emission factors of electricity in the transmission process. In areas with high power input, where the input power came from high-carbon-emission regions (such as the northern power grid dominated by coal-fired power), the line loss effect would further amplify the increase in power carbon-emission factors, forming a cumulative effect of “high carbon-power input high line-loss high factor”.
Overall, the impact of power transmission on carbon emission factors was the result of multiple factors such as transmission losses, energy structure, and power flow patterns. To effectively reduce the carbon emission factor of electricity, the power transmission path and structure should be optimized at the system level, and low-carbon operation of the power system should be achieved through measures such as improving transmission efficiency, reducing line losses, optimizing cross-regional power dispatch structures, and increasing the proportion of new-energy generation.

3.3.3. Analysis of the Impact of Power Exchange

In this study, we obtained the spectral radius by solving the eigenvalues of the transition matrix A, thus verifying the convergence condition of the iterative algorithm. Based on the 2022 power-exchange data, the spectral radius of the transition matrix A is 0.0806, which is less than 1, proving that the algorithm can effectively converge. Figure 12 shows the iterative convergence process of the power carbon emission factor, with the x-axis representing the number of iterations and the y-axis representing the change in the electricity carbon-emission factors. By observing these variation trajectories, we can see that the electricity carbon-emission factors of most provinces stabilize within four to five iterations, while a few provinces, such as Fujian, converge faster, stabilizing within two iterations. Table 6 lists the variation magnitude of the electricity carbon-emission factors and the number of iterations required to reach convergence for different provinces. The table shows the extent of change in the electricity carbon-emission factor from the initial value to the steady state, along with the number of iterations required to achieve stability.
From the graph, it can be seen that after the first iteration, the input and output carbon emissions of each provincial power grid have been included in the factor calculation, and the power carbon-emission factors of most provinces have increased. Specifically, the changes were most significant in Qinghai, Beijing, and Sichuan, with increases of 56.08%, 26.86%, and 22.8%, respectively, mainly due to the impact of high carbon electricity input from Gansu, Shanxi, Shaanxi, and other regions. In contrast, Guangdong had reduced its electricity carbon-emission factor by 10.52% after the first iteration due to a large amount of low-carbon electricity input from Yunnan. The changes in the remaining 20 provinces did not exceed ±10%, indicating that the power input in these provinces had relatively little variation during the iteration process.
After all provinces and cities completed the iteration, the factor error rate was within the range of 0–0.05%, indicating that the iterative algorithm had high numerical stability and calculation accuracy, and could effectively support the dynamic tracking and balance calculation of inter provincial power carbon emission factors.
The inter-provincial power-exchange network structure had a significant impact on the measurement accuracy of carbon-emission factors in electricity. Figure 13 compares the provincial electricity carbon-emission factor results obtained using the “net electricity exchange method” and the “electricity exchange network method”. Overall, about 83% of provinces had seen an increase in the revised electricity carbon-emission factor after considering electricity exchange compared to when electricity exchange was not taken into account. The net exchange method only calculated the net difference between the input and output of electricity, ignoring the dynamic changes in carbon-emission factors during inter-provincial transmission processes, and could not accurately reflect the true emission characteristics of inter-provincial electricity flow. The power exchange network method considered power flow as a time-varying multi-node topology system, and by introducing bidirectional transmission and carbon source tracing mechanisms, it could comprehensively capture the carbon-emission information carried by cross-regional power flow. For example, in the electricity exchange between Qinghai Province and Gansu Province, the initial carbon-emission factor for electricity in Qinghai Province was 0.1409 kgCO2/kWh, while in Gansu Province it is 0.5193 kgCO2/kWh, with a difference of nearly 3.7 times between the two provinces. In the net exchange calculation, the 4.21 million tons of CO2 transported from Gansu to Qinghai were not included, resulting in a significant increase in the revised electricity carbon-emission factor in Qinghai Province. On the other hand, due to receiving a large amount of low-carbon electricity input, Shanxi Province’s electricity carbon-emission factor had decreased by 12.04% in the network method, reflecting the dilution effect of low-carbon input on local carbon intensity.
Overall, the power exchange network method could more accurately characterize the carbon emission transmission and attribution relationship in cross-regional power flow, compensating for the structural bias of the net exchange method. With the construction of a unified national electricity market and the improvement of inter-provincial power grid interconnection, the carbon-emission calculation method considering the power-exchange network would play a more important role in the future carbon-emission assessment of the power system, providing a more scientific and accurate basis for regional carbon accounting and energy dispatch policies.

3.3.4. Analysis of the Composition and Structure of the Power Grid

The carbon-emission factors of provincial power grids are closely related to their energy structure. Figure 14 showed the corresponding relationship between the power composition and power carbon-emission factors of each provincial power grid in 2022. The results indicated that the proportion of thermal power generation was highly consistent with the trend of changes in the carbon-emission factor of electricity; the higher the proportion of thermal power generation, the greater the carbon emission factor of electricity. Taking provinces such as Shaanxi, Shanxi, and Shandong, which rely mainly on coal-fired power, as examples, their carbon-emission factors were significantly higher than the national average, reflecting the decisive impact of thermal power’s dominant position in the power structure on overall carbon intensity. On the other hand, regions with a high proportion of clean energy such as hydropower, wind power, and solar power exhibited obvious low-carbon characteristics. Yunnan, Qinghai and other provinces, with their abundant hydropower and photovoltaic resources, had significantly lower electricity carbon-emission factors than the national average, demonstrating the significant role of renewable energy in reducing the carbon intensity of the power grid. In addition, inter-provincial power exchange played an important role in regional carbon-emission regulation. The large-scale input of low-carbon electricity could effectively dilute the proportion of local high-carbon power sources, thereby suppressing the rise of carbon-emission factors in electricity. For example, the eastern provinces that receive clean electricity input from the southwest region had significantly reduced carbon-emission factors compared to the situation without input, reflecting the regulatory function of electricity flow in optimizing the national energy structure.
Overall, the carbon-emission factors of provincial power grids were influenced by both energy structure and power-flow characteristics. In the future, by continuously optimizing the power structure, increasing the proportion of renewable energy, and achieving efficient allocation of clean energy through cross-provincial transmission, the carbon-emission factor of electricity could be effectively reduced at the system level, providing important support for the green and low-carbon transformation of the national power system.

3.3.5. Correlation Analysis and Its Implications for Electricity Carbon-Emission Factors

This section explores the linear relationships between key factors—Line-Loss Rate (LLR), Renewable Energy Share (RES), Thermal Power Share (TPS), and External Grid Power Share (EGPS)—and the provincial electricity carbon-emission factor (EFP) using Pearson correlation analysis. The results are visualized in Figure 15 as a heatmap. The analysis reveals the following key findings: RES shows a strong negative correlation with EFP (r = −0.87). This indicates that an increase in renewable energy share significantly reduces the carbon-emission factor, highlighting the crucial role of renewable energy in reducing carbon intensity; TPS exhibits a strong positive correlation with EFP (r = 0.86). This suggests that regions with higher reliance on thermal power tend to have higher carbon-emission factors. Reducing the share of thermal power is therefore an effective strategy to lower carbon emissions; LLR shows a very weak negative correlation with EFP (r = −0.04), indicating that line losses have minimal impact on the carbon-emission factor. While reducing line losses can improve grid efficiency, its direct effect on carbon emissions is negligible. However, provinces with higher line losses should still consider addressing this issue for overall efficiency; EGPS demonstrates a weak positive correlation with EFP (r = 0.19). This suggests that cross-regional electricity exchange has a relatively small impact on the carbon-emission factor. Although electricity exchange can optimize the power supply structure, its influence on carbon emissions is limited due to regional differences in energy mix.

3.4. Dynamic Fluctuation Characteristics on a Monthly Scale

Based on multiple authoritative data sources, the monthly power generation data of provincial power grids in 2022 was collected, organized, and cleaned. Based on a comprehensive consideration of the efficiency of fuel extraction, processing, and combustion in thermal power generation, as well as the annual carbon footprint factor of new-energy generation, the monthly carbon emissions were calculated. Meanwhile, by combining annual electricity exchange data with monthly power generation, a monthly directed power transmission network was constructed. And based on the dynamic decomposition model established earlier, the monthly carbon-emission factors of each provincial power grid were estimated, providing a quantitative basis for characterizing the temporal changes and carbon-emission fluctuations of inter provincial power systems.

3.4.1. Monthly Power Generation Structure and Carbon-Emission Characteristics

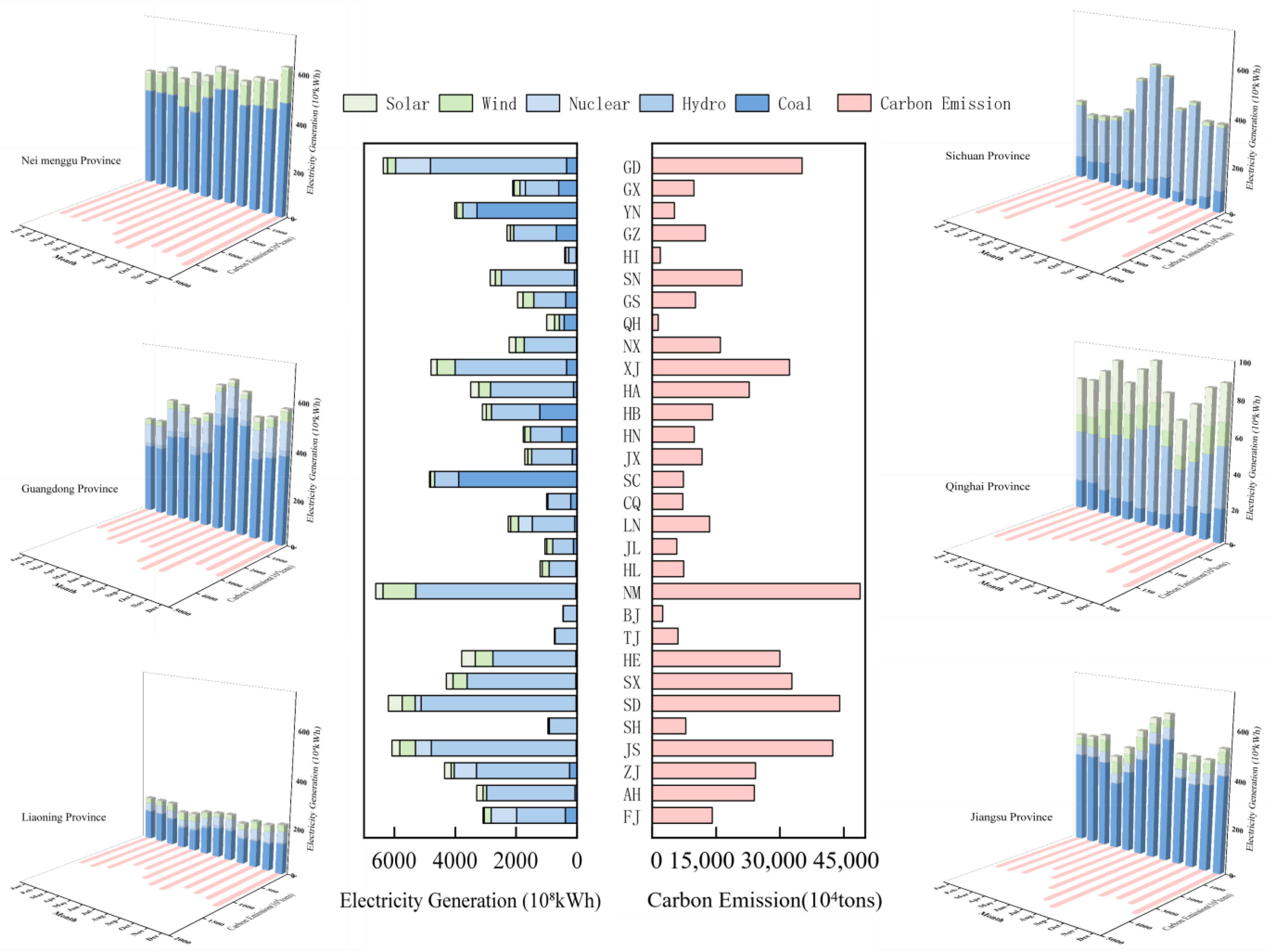
Figure 16 shows the variation characteristics of power generation and corresponding carbon emissions of different power-generation methods at the annual and monthly scales in each province. From an annual scale analysis, the electricity demand in North and East China had been consistently high, with provinces such as Inner Mongolia, Shandong, and Jiangsu mainly relying on coal-fired power plants, resulting in significantly higher carbon emissions. However, in the southwestern and southern regions (such as Sichuan and Yunnan), due to abundant hydropower resources and a high proportion of clean energy, carbon emissions were significantly lower. Overall, the national power-supply structure was still dominated by thermal power, and there was a significant positive correlation between thermal power generation and carbon emissions, indicating that thermal power, as the main source of electricity, constitutes the main contributor to carbon emissions.
From a monthly perspective, the power generation and carbon emissions of the power system exhibited significant seasonal fluctuations, which were closely related to regional load demand and energy structure. During the peak heating season in winter, the demand for electricity in northern regions rapidly increased, leading to a significant increase in thermal power output in provinces such as Inner Mongolia and Liaoning, resulting in a synchronous rise in carbon emissions. In contrast, during the peak period of summer electricity load, the southern region, especially provinces such as Yunnan and Sichuan with abundant hydropower resources, significantly increased hydropower output, forming a substitution effect on thermal power and effectively suppressing the increase in monthly carbon emissions. In addition, although Qinghai Province is located in the northwest region, it had resource and geographical advantages in the development of clean energy. Hydropower, wind power, and solar power had large installed capacity and high utilization rates, demonstrating strong low-carbon power-supply capabilities in summer. New-energy generation significantly reduced the proportion of thermal power during high load periods, further verifying the key role of renewable energy in regulating carbon-emissions fluctuations in the power system.
In summary, the dynamic changes in monthly power-generation structure and carbon-emission characteristics indicated that carbon emissions in the power system were driven by both seasonal load fluctuations and differences in energy structure. By improving the utilization rate of new energy and the level of cross-regional clean power dispatch, the peak carbon-emission intensity could be effectively reduced, and the low-carbon resilience of the power grid operation can be enhanced.

3.4.2. Carbon Emission Factors of Electricity on a Monthly Scale

The distribution of monthly electricity carbon-emission factors for each province (city) in China in 2022 is shown in Figure 17. From the heatmap, it can be seen that the carbon-emission factors of electricity in various provinces and cities exhibited seasonal fluctuations in the time dimension, and the spatial differences were significant. In regions with abundant hydropower resources, such as Yunnan, Sichuan, Qinghai, Hubei, Hunan, Guangxi, etc., factor fluctuations were particularly evident, showing high sensitivity to changes in incoming water volume. During the flood season (May–September), hydropower output and export scale significantly increased, thermal power replenishment decreased, and factors significantly decreased. The dry season (October to February of the following year) was the opposite, with factors rapidly increasing. According to the measurement of the monthly fluctuation amplitude based on the percentage of the difference between the highest and lowest months of the year to the annual average, the fluctuation amplitude in some provinces could reach up to 105%, indicating that power grids with a high proportion of clean energy had stronger volatility in seasonal regulation. In addition, in contrast, northern regions such as Hebei, Inner Mongolia, Xinjiang, etc., were mainly affected by winter heating loads. After entering the heating season, the load of thermal power units significantly increased, leading to a stepped upward trend in the carbon-emission factor of electricity, with a monthly difference of about 15–20%. This phenomenon reflected that the carbon-emission inertia of the power system in the northern region was relatively large under seasonal load changes, and the regulation flexibility was limited.
Overall, the national electricity carbon-emission factors exhibited two typical characteristics on a monthly scale: “cyclical fluctuations dominated by southern hydropower” and “seasonal increases dominated by northern thermal power”. This dual difference in space and time indicated that in future regional carbon accounting and policymaking, a multi-time-scale power carbon-emission factor system should be based on fully considering the temporal changes in energy structure, in order to improve the dynamic adaptability and accuracy of carbon-emission accounting.

3.5. Model Uncertainty Discussion

The dynamic correction model in this study relies on several assumptions and data sources, and the choice of these assumptions and data inevitably introduces some uncertainty, which may affect the accuracy and reliability of the results. The main sources of uncertainty can be summarized in the following points:
(1)
Uncertainty in Data Granularity
In order to calculate the monthly electricity carbon-emission factor, this study relies on monthly generation data. However, monthly generation data from each province is not uniformly managed and made publicly available by a single department, making it difficult to obtain, and there may be inconsistencies and incompleteness in the data across different provinces. This makes the availability and quality of the data a key source of uncertainty in the model. Despite efforts to use the available public data, the difficulty in acquiring province-level monthly data affects the precision of the model, particularly when regional differences are involved.
(2)
Uncertainty in Model Decomposition Assumptions
This study uses annual data as the primary basis for the model, and annual data is relatively stable and publicly available. However, the acquisition of monthly data depends on a series of simplifying assumptions, such as the simplified treatment of inter-provincial electricity exchange, assumptions regarding the carbon intensity of thermal power generation, and the use of national average lifecycle emission factors for renewable energy (LCA). These simplifying assumptions may not fully reflect the complexity of electricity dispatch and regional differences, especially since inter-provincial electricity exchange is influenced by various factors such as grid conditions, demand fluctuations, and operational constraints. Therefore, these assumptions may introduce biases in the estimation of carbon-emission factors, thus increasing the uncertainty of the model.
(3)
Impact of Data Lag on Model Results and Future Data Integration Potential
The statistical yearbooks, official documents, and global databases on which this study rely have a significant lag (typically 12–24 months). This data lag does not directly impact the model itself but results in the model’s outputs being delayed compared to actual conditions. For example, the model can only calculate the monthly or quarterly electricity carbon emission factors for the lagging year, and it cannot reflect the most up-to-date carbon-emission factors. This means that although the model accurately reflects the data for different years, due to the lag in data release the model’s output cannot reflect the latest changes in energy structure, seasonal fluctuations, and the rapid changes in power demand and supply in the short term.
To mitigate the impact of data lag on model results, future research could explore integrating more real-time and higher-frequency data sources. For example, real-time dispatch data from the power grid can provide more accurate information on power generation, demand, and cross-regional exchanges, while data from power trading platforms can better reflect interregional electricity flows and dispatch. This information would help improve the timeliness and regional adaptability of the model. Additionally, it is recommended to establish a real-time data streaming update mechanism to ensure that the model can regularly obtain the latest grid operation data and undergo rolling corrections.

4. Conclusions

This study proposes a dynamic correction model for electricity carbon-emission factors, combining multi-time-scale decomposition, power-exchange iteration, and lifecycle extension, providing valuable insights into the spatiotemporal variations of carbon-emission factors in provincial power grids in China. Unlike traditional methods that use static annual carbon factors, this model adjusts carbon-emission factors based on monthly data, offering a more detailed and adaptable approach to understanding carbon emissions in the electricity sector. Additionally, this study uniquely addresses the issue of inter-provincial electricity exchange, proposing a more precise methodology for calculating carbon emissions related to power transmission and cross-regional flows, a topic that has been overlooked in previous studies. By introducing this model, we are able to bridge the gap in the spatiotemporal variability of carbon emissions, providing better support for more accurate policymaking and carbon-management strategies.
The main conclusions are as follows:
(1)
The impact of power transmission on carbon-emission factors is the result of multiple factors such as transmission losses, energy structure, and power-flow patterns. Line losses in provinces such as Xinjiang and Gansu have a significant impact on the carbon-emission factor of electricity, exceeding 0.06 kgCO2/kWh.
(2)
The power-exchange network method can more accurately characterize the carbon emission transmission and attribution relationship in cross-regional power flow, compensating for the structural bias of the net exchange method. The initial carbon-emission factor for electricity exchange between Qinghai Province and Gansu Province was 0.1409 kgCO2/kWh, while Gansu Province’s was 0.5193 kgCO2/kWh, with a difference of nearly 3.7 times. In the net exchange calculation, the 4.21 million tons of CO2 transported from Gansu to Qinghai were ignored, resulting in a significant increase in Qinghai’s revised power carbon-emission factor.
(3)
The carbon-emission factor of provincial power grids was influenced by both energy structure and power-flow characteristics. The eastern provinces that accepted clean electricity input from the southwest region had significantly reduced carbon emission factors compared to the situation without input, reflecting the regulatory function of electricity flow in optimizing the national energy structure.
(4)
The national electricity carbon-emission factors exhibited two typical characteristics on a monthly scale: “cyclical fluctuations dominated by southern hydropower” and “seasonal increases dominated by northern thermal power”. In areas with abundant hydropower resources, such as Yunnan, Sichuan, Qinghai, Hubei, Hunan, Guangxi, etc., factor fluctuations were particularly evident, showing a high sensitivity to changes in incoming water volume.
Given these findings, several actionable policy recommendations are proposed to effectively leverage the model’s insights and promote more sustainable and efficient carbon management strategies in the electricity sector:
(1)
Incorporating Monthly Carbon-Emission Factors into Regional Carbon-Trading Markets: Future policies could integrate monthly carbon-emission factors into regional carbon-trading systems, allowing for flexible adjustments to carbon-trading caps based on seasonal variations in electricity production and consumption, ensuring more accurate carbon-emission accounting.
(2)
Accelerating Renewable Energy Development: Efforts should be made to accelerate the development of renewable energy by providing targeted incentives for renewable-energy infrastructure construction, generation, energy storage, and grid integration, facilitating the transition from fossil fuels to cleaner energy sources.
(3)
Increasing Power Exchange in Renewable-Rich Regions: The exchange of electricity between renewable-rich regions (such as Yunnan, Sichuan, and Qinghai) and high-carbon-emission regions should be strengthened. Future policies should focus on upgrading and expanding electricity-transmission infrastructure to optimize the national energy structure and reduce overall carbon emissions.

5. Outlook

The dynamic correction model constructed in this study made positive progress in improving the timeliness and regional adaptability of electricity carbon-emission factors, but it still had certain limitations that need to be further addressed in future research:
(1)
Regional Differences in Renewable Energy Lifecycle Emissions
When calculating the carbon emissions from renewable energy generation such as hydropower, wind power, and photovoltaics, this study adopted the average carbon footprint factors published at the national level (as shown in Table 2). While it ensured consistency with the latest national accounting standards and data availability, it did not fully account for the lifecycle emission differences among provinces due to variations in resource conditions, technology types, equipment manufacturing and transportation distances, and power plant operation modes. The use of national averages might introduce certain systematic biases at the provincial scale, especially in regions with diverse renewable energy structures and significant local characteristics. Future research should focus on collecting or constructing more granular regionalized LCA factor databases to further enhance the regional resolution and accuracy of the model.
(2)
Simplified Model for Inter-Provincial Electricity Exchange
The calculation of monthly inter-provincial electricity exchange has been simplified by distributing annual electricity exchange based on local monthly generation share. This approach does not fully reflect the actual electricity dispatch patterns. In reality, inter-provincial electricity exchange is influenced by various factors such as grid conditions, demand fluctuations, and operational constraints, which may cause deviations from the simplified method used in this study. Therefore, future work could consider incorporating more detailed dispatch models to improve the accuracy of electricity exchange and further enhance the regional adaptability and precision of the model.
(3)
Cross-Regional Applicability
While this model was developed based on China’s provincial power grids, its methodology can be adapted to other interconnected power systems. For example, regions with similar grid structures, such as the European Union or North America, can apply the model by adjusting the data inputs to reflect local energy mixes, transmission losses, and regional exchanges. Potential adaptations for other regions would involve calibrating the model using region-specific data on electricity generation, demand patterns, and power-flow characteristics. Additionally, regional factors such as grid connectivity, renewable energy penetration, and electricity exchange regulations would need to be considered to enhance the model’s applicability to other interconnected systems. Future research should focus on refining these adaptations to improve the model’s versatility and global relevance.

Author Contributions

Conceptualization, Z.G. and M.W.; methodology, C.C. and X.Z.; software, W.S.; formal analysis, C.C. and Z.G.; resources, J.Y.; writing—original draft preparation, M.W.; writing—review and editing, Z.G. and W.S.; visualization, W.S.; supervision, C.C. and J.Y.; funding acquisition, X.Z. and J.Y. All authors have read and agreed to the published version of the manuscript.

Funding

This work is supported by the Guangdong Natural Science Foundation (2022A1515011128 and 2023A1515140189).

Institutional Review Board Statement

Not applicable.

Informed Consent Statement

Not applicable.

Data Availability Statement

The data used in this study are publicly available and the sources have been clearly indicated in the manuscript. The processing code used in this research is not publicly available. However, interested researchers can contact the corresponding author for further information or clarification regarding the methodology.

Conflicts of Interest

The authors declare no conflicts of interest.

Abbreviations

The following abbreviations are used in this manuscript:
Full NameAbbreviationFull NameAbbreviation
Guangdong ProvinceGDChongqing MunicipalityCQ
Guangxi Zhuang Autonomous RegionGXLiaoning ProvinceLN
Yunnan ProvinceYNJilin ProvinceJL
Guizhou ProvinceGZHeilongjiang ProvinceHL
Hainan ProvinceHIInner Mongolia Autonomous RegionNM
Shanxi ProvinceSNBeijing MunicipalityBJ
Gansu ProvinceGSTianjin MunicipalityTJ
Qinghai ProvinceQHHebei ProvinceHE
Ningxia Hui Autonomous RegionNXShanxi ProvinceSX
Xinjiang Uyghur Autonomous RegionXJShandong ProvinceSD
Henan ProvinceHAShanghai MunicipalitySH
Hubei ProvinceHBJiangsu ProvinceJS
Hunan ProvinceHNZhejiang ProvinceZJ
Jiangxi ProvinceJXAnhui ProvinceAH
Sichuan ProvinceSCFujian ProvinceFJ

Appendix A

Table A1. Electricity Carbon-Emission Factors After Excluding Different New-Energy Carbon Footprints.
Table A1. Electricity Carbon-Emission Factors After Excluding Different New-Energy Carbon Footprints.
ProvinceElectricity Carbon-Emission Factor Considering All New-Energy Carbon FootprintsElectricity Carbon-Emission Factor After Excluding Hydropower Carbon FootprintElectricity Carbon-Emission Factor After Excluding Nuclear Power Carbon FootprintElectricity Carbon-Emission Factor After Excluding Wind Power Carbon FootprintElectricity Carbon-Emission Factor After Excluding Optoelectronics Carbon FootprintElectricity Carbon-Emission Factor After Excluding All New-Energy Carbon Footprints
GD0.4987 0.4957 0.4978 0.4971 0.4974 0.4919
GX0.4693 0.4648 0.4687 0.4662 0.4681 0.4601
YN0.1424 0.1304 0.1424 0.1406 0.1417 0.1279
GZ0.5680 0.5637 0.5680 0.5664 0.5653 0.5593
HI0.4861 0.4848 0.4844 0.4857 0.4831 0.4796
SN0.7072 0.7064 0.7071 0.7048 0.7043 0.7012
GS0.5532 0.5505 0.5532 0.5473 0.5476 0.5391
QH0.2264 0.2208 0.2264 0.2209 0.2138 0.2027
NX0.7284 0.7281 0.7284 0.7240 0.7229 0.7181
XJ0.7183 0.7172 0.7183 0.7139 0.7159 0.7104
HA0.7131 0.7118 0.7131 0.7090 0.7118 0.7066
HB0.5027 0.4965 0.5018 0.4999 0.4994 0.4920
HN0.5866 0.5826 0.5866 0.5830 0.5843 0.5766
JX0.6349 0.6321 0.6349 0.6326 0.6319 0.6269
SC0.1845 0.1727 0.1845 0.1833 0.1840 0.1711
CQ0.6003 0.5950 0.6002 0.5989 0.5995 0.5931
LN0.6414 0.6409 0.6404 0.6370 0.6394 0.6335
JL0.5942 0.5927 0.5942 0.5875 0.5910 0.5829
HL0.6570 0.6565 0.6570 0.6506 0.6538 0.6469
NM0.7577 0.7575 0.7577 0.7520 0.7554 0.7496
BJ0.6808 0.6807 0.6808 0.6799 0.6798 0.6787
TJ0.7883 0.7883 0.7883 0.7870 0.7879 0.7866
HE0.7958 0.7955 0.7958 0.7910 0.7907 0.7857
SX0.7919 0.7917 0.7919 0.7880 0.7890 0.7850
SD0.7350 0.7349 0.7348 0.7325 0.7312 0.7285
SH0.6578 0.6549 0.6575 0.6563 0.6562 0.6519
JS0.6885 0.6876 0.6881 0.6856 0.6862 0.6819
ZJ0.5882 0.5869 0.5873 0.5869 0.5853 0.5818
AH0.7568 0.7563 0.7568 0.7548 0.7534 0.7510
FJ0.4739 0.4721 0.4721 0.4713 0.4732 0.4670
Figure A1. Variation in Electricity Carbon Emission Factors After Excluding Different New-Energy Carbon Footprints.
Figure A1. Variation in Electricity Carbon Emission Factors After Excluding Different New-Energy Carbon Footprints.
Sustainability 18 01150 g0a1

References

  1. Demetriou, E.; Hadjistassou, C. Can China decarbonize its electricity sector? Energy Policy 2021, 148, 111917. [Google Scholar] [CrossRef]
  2. Wen, L.; Diao, P. Simulation study on carbon emission of China’s electricity supply and demand under the dual-carbon target. J. Clean. Prod. 2022, 379, 134654. [Google Scholar] [CrossRef]
  3. World Nuclear Association. Carbon Dioxide Emissions from Electricity; World Nuclear Association: London, UK, 2024; Available online: https://www.world-nuclear.org/information-library/energy-and-the-environment/carbon-dioxide-emissions-from-electricity (accessed on 3 September 2024).
  4. International Energy Agency (IEA). Global Energy Review 2025: CO2 Emissions; International Energy Agency: Paris, France, 2025; Available online: https://www.iea.org/reports/global-energy-review-2025/co2-emissions (accessed on 24 March 2025).
  5. China Bureau of Statistics Energy Statistics Bureau. China Energy Statistical Yearbook; China Bureau of Statistics Energy Statistics Bureau: Beijing, China, 2023. [Google Scholar]
  6. Yang, L.; Lin, B. Carbon dioxide-emission in China’s power industry: Evidence and policy implications. Renew. Sustain. Energy Rev. 2016, 60, 258–267. [Google Scholar] [CrossRef]
  7. Zhao, X.; Cai, Q.; Zhang, S.; Luo, K. The substitution of wind power for coal-fired power to realize China’s CO2 emissions reduction targets in 2020 and 2030. Energy 2017, 120, 164–178. [Google Scholar] [CrossRef]
  8. Yan, Z.; Li, Y.; Liu, Y.; Zhang, S.; Du, E.; Zhang, N.; Lu, Z.; Leng, Y. A Short-Term Forecast Method for Electricity Carbon Emission Factor with High Temporal and Spatial Resolution. J. Clean. Prod. 2025, 533, 147018. [Google Scholar] [CrossRef]
  9. Bertolini, M.; Duttilo, P.; Lisi, F. Accounting carbon emissions from electricity generation: A review and comparison of emission factor-based methods. Appl. Energy 2025, 392, 125992. [Google Scholar] [CrossRef]
  10. Environmental Protection Agency (EPA). Emissions & Generation Resource Integrated Database (eGRID)[EB/OL]. Available online: https://www.epa.gov/system/files/documents/2022-01/egrid2020_technical_guide.pdf (accessed on 27 January 2022).
  11. GOV.UK. Environmental Reporting Guidelines: Including Streamlined Energy and Carbon Reporting Requirements. 2019. Available online: https://assets.publishing.service.gov.uk/media/67161e8696def6d27a4c9ab3/environmental-reporting-guidance-secr-march-2019.pdf (accessed on 11 March 2019).
  12. Chen, X.; Ge, J.; Huang, J.; Lai, Y.; Xue, F. A method for calculating the average carbon emission factor of interconnected power grids considering green electricity trading. In Proceedings of the Second International Conference on Energy, Power, and Electrical Technology (ICEPET 2023), Kuala Lumpur, Malaysia, 10–12 March 2023; pp. 1172–1179. [Google Scholar]
  13. Wang, C.; Li, P.; Yang, Z.; Wang, H. Dynamic tracking of life cycle carbon emissions in power grids based on a flow network model. Sci. Rep. 2025, 15, 26990. [Google Scholar] [CrossRef] [PubMed]
  14. Aryai, V.; Goldsworthy, M. Real-time high-resolution modelling of grid carbon emissions intensity. Sustain. Cities Soc. 2024, 104, 105316. [Google Scholar] [CrossRef]
  15. Ministry of Ecology and Environment; National Bureau of Statistics. Announcement on the Release of the 2021 Electricity Carbon Dioxide Emission Factor [EB/OL]. Available online: https://www.mee.gov.cn/xxgk2018/xxgk/xxgk01/202404/t20240412_1070565.html (accessed on 12 April 2024).
  16. Ministry of Ecology and Environment; National Bureau of Statistics. Announcement on the Release of the 2022 Electricity Carbon Dioxide Emission Factor [EB/OL]. Available online: https://www.mee.gov.cn/xxgk2018/xxgk/xxgk01/202412/t20241226_1099413.html (accessed on 26 December 2024).
  17. Yang, Y.; Zhou, P.; Wang, H. Carbon emissions from electricity consumption in interprovincial grids of China: An electricity-extended input-output analysis. Energy Policy 2026, 208, 114907. [Google Scholar]
  18. World Resources Institute; World Business Council for Sustainable Development. Technical Guidance for Calculating Scope 3 Emissions, GHG P Rotocol 2013. Available online: https://ghgprotocol.org/sites/default/files/standards/Scope3_Calculation_Guidance_0.pdf (accessed on 1 April 2013).
  19. China electric power press. China Electric Power YearBook; China Electric Power Press: Beijing, China, 2023. [Google Scholar]
  20. China Electricity Council. Compilation of Statistical Data for the Power Industry; China Electricity Council: Beijing, China, 2010. [Google Scholar]
  21. China Electricity Council. Compilation of Statistical Data for the Power Industry; China Electricity Council: Beijing, China, 2011. [Google Scholar]
  22. China Electricity Council. Compilation of Statistical Data for the Power Industry; China Electricity Council: Beijing, China, 2012. [Google Scholar]
  23. China Electricity Council. Compilation of Statistical Data for the Power Industry; China Electricity Council: Beijing, China, 2013. [Google Scholar]
  24. China Electricity Council. Compilation of Statistical Data for the Power Industry; China Electricity Council: Beijing, China, 2014. [Google Scholar]
  25. China Electricity Council. Compilation of Statistical Data for the Power Industry; China Electricity Council: Beijing, China, 2015. [Google Scholar]
  26. China Electricity Council. Compilation of Statistical Data for the Power Industry; China Electricity Council: Beijing, China, 2016. [Google Scholar]
  27. China Electricity Council. Compilation of Statistical Data for the Power Industry; China Electricity Council: Beijing, China, 2017. [Google Scholar]
  28. China Electricity Council. Compilation of Statistical Data for the Power Industry; China Electricity Council: Beijing, China, 2018. [Google Scholar]
  29. China Electricity Council. Compilation of Statistical Data for the Power Industry; China Electricity Council: Beijing, China, 2019. [Google Scholar]
  30. China Electricity Council. Compilation of Statistical Data for the Power Industry; China Electricity Council: Beijing, China, 2020. [Google Scholar]
  31. China Electricity Council. Compilation of Statistical Data for the Power Industry; China Electricity Council: Beijing, China, 2021. [Google Scholar]
  32. China Electricity Council. Compilation of Statistical Data for the Power Industry; China Electricity Council: Beijing, China, 2022. [Google Scholar]
  33. China Electricity Council. Compilation of Statistical Data for the Power Industry; China Electricity Council: Beijing, China, 2023. [Google Scholar]
  34. China Bureau of Statistics Energy Statistics Bureau. China Energy Statistical Yearbook; China Bureau of Statistics Energy Statistics Bureau: Beijing, China, 2010. [Google Scholar]
  35. China Bureau of Statistics Energy Statistics Bureau. China Energy Statistical Yearbook; China Bureau of Statistics Energy Statistics Bureau: Beijing, China, 2011. [Google Scholar]
  36. China Bureau of Statistics Energy Statistics Bureau. China Energy Statistical Yearbook; China Bureau of Statistics Energy Statistics Bureau: Beijing, China, 2012. [Google Scholar]
  37. China Bureau of Statistics Energy Statistics Bureau. China Energy Statistical Yearbook; China Bureau of Statistics Energy Statistics Bureau: Beijing, China, 2013. [Google Scholar]
  38. China Bureau of Statistics Energy Statistics Bureau. China Energy Statistical Yearbook; China Bureau of Statistics Energy Statistics Bureau: Beijing, China, 2014. [Google Scholar]
  39. China Bureau of Statistics Energy Statistics Bureau. China Energy Statistical Yearbook; China Bureau of Statistics Energy Statistics Bureau: Beijing, China, 2015. [Google Scholar]
  40. China Bureau of Statistics Energy Statistics Bureau. China Energy Statistical Yearbook; China Bureau of Statistics Energy Statistics Bureau: Beijing, China, 2016. [Google Scholar]
  41. China Bureau of Statistics Energy Statistics Bureau. China Energy Statistical Yearbook; China Bureau of Statistics Energy Statistics Bureau: Beijing, China, 2017. [Google Scholar]
  42. China Bureau of Statistics Energy Statistics Bureau. China Energy Statistical Yearbook; China Bureau of Statistics Energy Statistics Bureau: Beijing, China, 2018. [Google Scholar]
  43. China Bureau of Statistics Energy Statistics Bureau. China Energy Statistical Yearbook; China Bureau of Statistics Energy Statistics Bureau: Beijing, China, 2019. [Google Scholar]
  44. China Bureau of Statistics Energy Statistics Bureau. China Energy Statistical Yearbook; China Bureau of Statistics Energy Statistics Bureau: Beijing, China, 2020. [Google Scholar]
  45. China Bureau of Statistics Energy Statistics Bureau. China Energy Statistical Yearbook; China Bureau of Statistics Energy Statistics Bureau: Beijing, China, 2021. [Google Scholar]
  46. China Bureau of Statistics Energy Statistics Bureau. China Energy Statistical Yearbook; China Bureau of Statistics Energy Statistics Bureau: Beijing, China, 2022. [Google Scholar]
  47. General Administration of the State Organs Affairs. National Bureau of Statistics. Statistical Survey System for Energy and Resource Consumption of Public Institutions; General Administration of the State Organs Affairs: Beijing, China, 2022. [Google Scholar]
  48. General Office of the National Development and Reform Commission. Provincial Greenhouse Gas Inventory Compilation Guide (Trial); National Development and Reform Commission: Beijing, China, 2015. [Google Scholar]
  49. Ministry of Ecology and Environment; Environmental Planning Institute; Beijing Normal University; Sun Yat-sen University; China Urban Greenhouse Gas Working Group. China Product Life Cycle Greenhouse Gas Emission Factor Collection (2022); Chinese Academy of Environmental Planning: Beijing, China, 2022. [Google Scholar]
  50. Intergovernmental Panel on Climate Change (IPCC). 2006 IPCC Guidelines for National Greenhouse Gas Inventories; Intergovernmental Panel on Climate Change: Geneva, Switzerland, 2006; Volume 2 Energy. [Google Scholar]
  51. Intergovernmental Panel on Climate Change (IPCC). 2019 Refinement to the 2006 IPCC Guidelines for National Greenhouse Gas Inventories. Available online: https://www.ipcc-nggip.iges.or.jp/public/2019rf/index.html (accessed on 12 May 2019).
  52. China Ministry of Ecology and Environment. 2023 National Power Carbon Footprint Factors of China; China Ministry of Ecology and Environment: Beijing, China, 2025. [Google Scholar]
  53. International Energy Agency (IEA). CO2 Emissions from Fuel Combustion Highlights, 2012 Edition; IEA Publication: Paris, France, 2013. [Google Scholar]
  54. Ling, C.; Yang, Q.; Wang, Q.-R.; Bartocci, P.; Jiang, L.; Xu, Z.; Wang, L. A comprehensive consumption-based carbon accounting for electricity grid emission factors. Renew. Sustain. Energy Rev. 2024, 206, 114866. [Google Scholar] [CrossRef]
  55. Chen, X.; Chao, H.; Shi, W.; Li, N. Towards carbon-free electricity: A flow-based framework for power grid carbon accounting and decarbonization. Energy Convers. Econ. 2023, 2308, 03268. [Google Scholar] [CrossRef]
  56. Ning, L.; Ren, J.; Zhang, Z.; Cai, B. 2020 Study on the Carbon Footprint of China’s Regional and Provincial Power Grids. Environ. Eng. 2023, 41, 229–236. [Google Scholar]
Figure 1. Flow chart of dynamic correction method for multi-time-scale power carbon emission factors.
Figure 1. Flow chart of dynamic correction method for multi-time-scale power carbon emission factors.
Sustainability 18 01150 g001
Figure 2. Calculation process of provincial power carbon emission factors.
Figure 2. Calculation process of provincial power carbon emission factors.
Sustainability 18 01150 g002
Figure 3. Convergence of Iteration Error.
Figure 3. Convergence of Iteration Error.
Sustainability 18 01150 g003
Figure 4. Comparison chart of current method calculation data and official data for provincial power carbon emission factors in 2021 and 2022.
Figure 4. Comparison chart of current method calculation data and official data for provincial power carbon emission factors in 2021 and 2022.
Sustainability 18 01150 g004
Figure 5. Proportion of new-energy generation in provincial power grids from 2009 to 2022.
Figure 5. Proportion of new-energy generation in provincial power grids from 2009 to 2022.
Sustainability 18 01150 g005
Figure 6. Provincial power grid line-loss rate in 2022.
Figure 6. Provincial power grid line-loss rate in 2022.
Sustainability 18 01150 g006
Figure 7. Electricity exchange between the seven major regional power grids in 2022 (104 kWh).
Figure 7. Electricity exchange between the seven major regional power grids in 2022 (104 kWh).
Sustainability 18 01150 g007
Figure 8. Comparison of current and revised values of provincial power carbon-emission factors from 2009 to 2022.
Figure 8. Comparison of current and revised values of provincial power carbon-emission factors from 2009 to 2022.
Sustainability 18 01150 g008
Figure 9. Average correction range of provincial power carbon-emission factors from 2009 to 2022 (kgCO2/kWh).
Figure 9. Average correction range of provincial power carbon-emission factors from 2009 to 2022 (kgCO2/kWh).
Sustainability 18 01150 g009
Figure 10. The proportion of carbon emissions contributed by the expansion of provincial power grid boundaries in 2022.
Figure 10. The proportion of carbon emissions contributed by the expansion of provincial power grid boundaries in 2022.
Sustainability 18 01150 g010
Figure 11. Distribution map of power carbon-emission factors under provincial power transmission in 2022 (kgCO2/kWh).
Figure 11. Distribution map of power carbon-emission factors under provincial power transmission in 2022 (kgCO2/kWh).
Sustainability 18 01150 g011
Figure 12. Iterative calculation results of power carbon-emission factors.
Figure 12. Iterative calculation results of power carbon-emission factors.
Sustainability 18 01150 g012
Figure 13. Comparison of carbon-emission factors of different power-exchange methods in provincial power grids in 2022.
Figure 13. Comparison of carbon-emission factors of different power-exchange methods in provincial power grids in 2022.
Sustainability 18 01150 g013
Figure 14. Analysis of the composition structure of provincial power grid in 2022.
Figure 14. Analysis of the composition structure of provincial power grid in 2022.
Sustainability 18 01150 g014
Figure 15. Heatmap of Correlation Between Electricity Carbon-Emission Factor and Contributing Factors in 2022.
Figure 15. Heatmap of Correlation Between Electricity Carbon-Emission Factor and Contributing Factors in 2022.
Sustainability 18 01150 g015
Figure 16. Energy structure and carbon emissions of provincial power grids in 2022.
Figure 16. Energy structure and carbon emissions of provincial power grids in 2022.
Sustainability 18 01150 g016
Figure 17. Thermal map of provincial power carbon-emission factors in 2022.
Figure 17. Thermal map of provincial power carbon-emission factors in 2022.
Sustainability 18 01150 g017
Table 1. Source of correction data for power carbon emission factors.
Table 1. Source of correction data for power carbon emission factors.
File NameData Type
China Electric Power Yearbook 2010–2023 [19]Annual power generation of thermal power, hydropower, wind power, nuclear power, and solar energy
Electric Power Industry Statistics Compendium 2010–2023 [20,21,22,23,24,25,26,27,28,29,30,31,32,33]Cross-domain power exchange capacity, import and export electricity consumption, electricity consumption of the whole society, heating value of raw coal consumed for power generation and average line-loss rate
China Energy Statistical Yearbook 2010–2023 [5,34,35,36,37,38,39,40,41,42,43,44,45,46]Consumption of various fossil fuels for thermal power generation, average net calorific value of some power generation fuels
Public Institution Energy and Resource Consumption Statistical System (2022) [46]Average net calorific value of some power generation fuels
Provincial Greenhouse Gas Inventory Compilation Guide (Trial) (2015) [47]Carbon content of some power generation fuels, carbon oxidation rate of power generation fuels
China Products Carbon Footprint Factor Database (CPCD) [48]Fuel mining and production emission factors
2006 IPCC Guidelines for National Greenhouse Gas Inventories [49], 2019 IPCC Guidelines for National Greenhouse Gas Inventories [50]Carbon content of some power generation fuels and emission factors for other greenhouse gases and their corresponding GWP values
2023 National Power Carbon Footprint Factors of China [51]Carbon footprint factors for hydropower, wind power, nuclear power, solar power, and other new energy sources
CO2 Emissions from Fuel Combustion Highlights 2012 Edition [52]Electricity carbon emission factors for importing countries
Provincial statistical yearbooks, data released by relevant government departments, provincial power industry associationsMonthly electricity generation from thermal power, hydropower, wind power, nuclear power, and solar power
Table 2. Carbon footprint factor of new energy generation.
Table 2. Carbon footprint factor of new energy generation.
TypeNuclear PowerHydropowerOptoelectronicsWind Power
Carbon footprint factor (gCO2/kWh)6.514.354.533.6
Table 3. Greenhouse gas carbon emission coefficients for various types of fuel extraction and processing production.
Table 3. Greenhouse gas carbon emission coefficients for various types of fuel extraction and processing production.
Fuel TypeProduction Process, Greenhouse Gas Emission FactorUnit (CO2 Equivalent)
Raw coal0.11(tCO2/t)
Washed clean coal0.33(tCO2/t)
Other coal washing average0.11(tCO2/t)
Coal to oil average10.55(tCO2/t)
Coal gangue0.62(tCO2/t)
Coke0.54(tCO2/t)
Coking furnace gas0.32(kgCO2/m3)
Producer gas0.3(kgCO2/m3)
Coal to natural gas10.8(kgCO2/m3)
Crude oil0.27(tCO2/t)
Automotive gasoline0.81(tCO2/t)
Lamp kerosene1.26(tCO2/t)
Diesel0.67(tCO2/t)
Industrial fuel oil2.2(tCO2/t)
Naphtha1.57(tCO2/t)
Lubricating oil2.31(tCO2/t)
Paraffin1.92(tCO2/t)
Asphalt0.39(tCO2/t)
Petroleum coke0.88(tCO2/t)
Liquefied petroleum gas2.01(tCO2/t)
Natural gas0.64(kgCO2/m3)
Table 4. Emission factors and global warming potential [18,48].
Table 4. Emission factors and global warming potential [18,48].
Greenhouse GasEmission Factor (kg/TJ)GWP Value for 100 Year
Raw CoalCrude OilNatural Gas
CO294,60073,30056,1001
CH413125
N2O1.50.60.1298
Table 5. Greenhouse gas emission factors during thermal power generation in provincial power grids in 2022 (the table displays the top 10 provinces with N2O emission factors).
Table 5. Greenhouse gas emission factors during thermal power generation in provincial power grids in 2022 (the table displays the top 10 provinces with N2O emission factors).
Grid NameCO2 Emissions Factor (kg/MWh)CH4 Emissions Factor (g/MWh)N2O Emissions Factor (g/MWh)CH4 Equivalent Emission Factor (kgCO2e/MWh)N2O Equivalent Emission Factor (kgCO2e/MWh)
Gansu878.55 8.74 13.09 0.22 3.90
Inner Mongolia847.62 8.41 12.60 0.21 3.76
Ningxia856.55 8.44 12.55 0.21 3.74
Chongqing897.18 8.46 12.28 0.21 3.66
Guizhou810.46 8.33 12.22 0.21 3.64
Xinjiang810.76 8.18 12.20 0.20 3.64
Shanxi839.23 8.22 12.00 0.21 3.58
Shaanxi810.49 7.89 11.78 0.20 3.51
Hunan891.44 7.85 11.67 0.20 3.48
Shandong806.16 7.69 11.42 0.19 3.40
Table 6. Iterations to Convergence and Variation Magnitude of Electricity Carbon-Emission Factors for Different Provinces in 2022.
Table 6. Iterations to Convergence and Variation Magnitude of Electricity Carbon-Emission Factors for Different Provinces in 2022.
ProvinceIterations to ConvergenceChange in Electricity Carbon-Emission Factor (kgCO2/kWh)
GD40.0537
GX4−0.0044
YN5−0.0121
GZ3−0.0244
HI4−0.0183
SN50.0326
GS5−0.0338
QH5−0.0854
NX4−0.0123
XJ3−0.0459
HA5−0.0162
HB5−0.0467
HN5−0.0299
JX50.0454
SC4−0.0331
CQ50.1184
LN5−0.0438
JL4−0.0448
HL4−0.0481
NM4−0.0205
BJ4−0.1484
TJ40.0231
HE5−0.0052
SX4−0.0281
SD5−0.0258
SH50.1699
JS50.0084
ZJ5−0.0305
AH3−0.0301
FJ2−0.0174
Disclaimer/Publisher’s Note: The statements, opinions and data contained in all publications are solely those of the individual author(s) and contributor(s) and not of MDPI and/or the editor(s). MDPI and/or the editor(s) disclaim responsibility for any injury to people or property resulting from any ideas, methods, instructions or products referred to in the content.

Share and Cite

MDPI and ACS Style

Gao, Z.; Chen, C.; Wang, M.; Zhou, X.; Sun, W.; Yan, J. Research on a Dynamic Correction Model for Electricity Carbon Emission Factors Based on Lifecycle Analysis and Power Exchange Networks. Sustainability 2026, 18, 1150. https://doi.org/10.3390/su18031150

AMA Style

Gao Z, Chen C, Wang M, Zhou X, Sun W, Yan J. Research on a Dynamic Correction Model for Electricity Carbon Emission Factors Based on Lifecycle Analysis and Power Exchange Networks. Sustainability. 2026; 18(3):1150. https://doi.org/10.3390/su18031150

Chicago/Turabian Style

Gao, Zhiming, Cheng Chen, Miao Wang, Xuan Zhou, Wanchun Sun, and Junwei Yan. 2026. "Research on a Dynamic Correction Model for Electricity Carbon Emission Factors Based on Lifecycle Analysis and Power Exchange Networks" Sustainability 18, no. 3: 1150. https://doi.org/10.3390/su18031150

APA Style

Gao, Z., Chen, C., Wang, M., Zhou, X., Sun, W., & Yan, J. (2026). Research on a Dynamic Correction Model for Electricity Carbon Emission Factors Based on Lifecycle Analysis and Power Exchange Networks. Sustainability, 18(3), 1150. https://doi.org/10.3390/su18031150

Note that from the first issue of 2016, this journal uses article numbers instead of page numbers. See further details here.

Article Metrics

Back to TopTop