Nanosilver Modified Concrete as a Sustainable Strategy for Enhancing Structural Resilience to Flooding
Abstract
1. Introduction
1.1. The Impact of Flooding on Concrete Infrastructure
1.2. The Role of Microorganisms in Concrete Degradation Under Flooding Conditions
1.3. The Use of Nanosilver and Natural Plasticizers in the Protection of Concrete Exposed to Flooding
2. Materials and Methods
2.1. Portland Cement
2.2. Production of Nanostructured Silver and Its Characteristics
2.3. Production of Beams from Cement Mortar
2.4. Analysis of Antimicrobial Properties
3. Results
3.1. Testing the Mechanical Properties of Cement Composites
Statistical Analysis of Compressive Strength Results
3.2. Evaluation of Antimicrobial Activity
4. Discussion
Impact of Silver Nanoparticles on The Environment
5. Conclusions
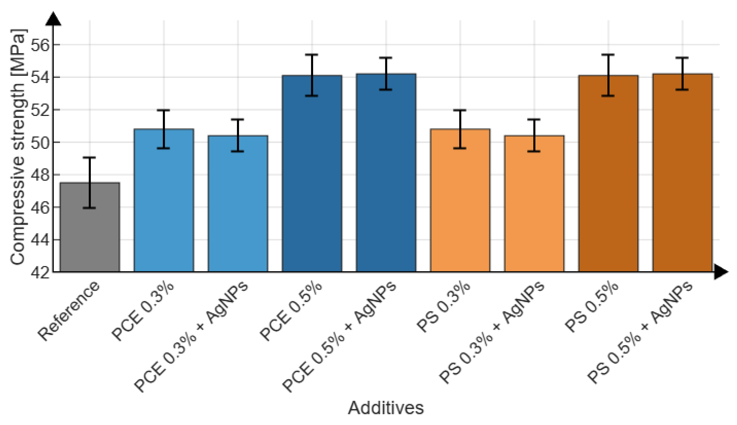
- Mechanical strength: The PCE superplasticizer and the modified starch-based plasticizer (PS) increased compressive strength relative to the reference mix, and the 0.5% dosage for both admixtures formed the highest homogeneous strength group in the Tukey analysis. Importantly, incorporating AgNPs into the PCE- and PS-modified mixes did not reduce compressive strength or alter the Tukey grouping, supporting the mechanical compatibility of the admixture–AgNP system. These results indicate that antimicrobial functionality can be introduced without compromising mechanical performance.
- Protection against microbial corrosion: Nanosilver has been demonstrated to impede the proliferation of specific categories of SOB and SRB, which are implicated in the biodeterioration of concrete, particularly within humid flood environments.
- Potential hygiene-related co-benefits after flooding: By limiting the abundance of selected potentially pathogenic genera in the tested exposure scenario, nanosilver-modified concrete may contribute to improved hygienic conditions in flood-affected environments, complementing conventional remediation measures.
- Reduced need for protective coatings: Because antimicrobial functionality is integrated into the cementitious matrix, nanosilver plasticizers may help reduce reliance on additional surface coatings that require maintenance and can degrade over time, potentially lowering lifecycle maintenance demands.
- Multifunctional performance: Overall, nanosilver plasticizers provide a combined strategy that maintains enhanced mechanical strength while adding antibacterial functionality, supporting the development of flood-resilient cementitious materials.
Author Contributions
Funding
Institutional Review Board Statement
Informed Consent Statement
Data Availability Statement
Conflicts of Interest
References
- Kelman, I.; Spence, R. An Overview of Flood Actions on Buildings. Eng. Geol. 2004, 73, 297–309. [Google Scholar] [CrossRef]
- Pistrika, A.K.; Jonkman, S.N. Damage to Residential Buildings Due to Flooding of New Orleans after Hurricane Katrina. Nat. Hazards 2010, 54, 413–434. [Google Scholar] [CrossRef]
- Gautam, D.; Adhikari, R.; Gautam, S.; Pandey, V.P.; Thapa, B.R.; Lamichhane, S.; Talchabhadel, R.; Thapa, S.; Niraula, S.; Aryal, K.R. Unzipping Flood Vulnerability and Functionality Loss: Tale of Struggle for Existence of Riparian Buildings. Nat. Hazards 2023, 119, 989–1009. [Google Scholar] [CrossRef]
- Chen, D.; Zou, J.; Zhao, L.; Xu, S.; Xiang, T.; Liu, C. Degradation of Dynamic Elastic Modulus of Concrete under Periodic Temperature-Humidity Action. Materials 2020, 13, 611. [Google Scholar] [CrossRef]
- Lin, C.-C.; Xiao, P.-C. Comparison of Resistance Improvement to Aspergillus brasiliensis Growth on Recycled Building Materials by Nano-Metal Impregnation and Ozone Treatment. E3S Web Conf. 2023, 396, 01115. [Google Scholar] [CrossRef]
- Nadal, N.C.; Zapata, R.E.; Pagán, I.; López, R.; Agudelo, J. Building Damage Due to Riverine and Coastal Floods. J. Water Resour. Plan. Manag. 2010, 136, 327–336. [Google Scholar] [CrossRef]
- Nasim, M.; Setunge, S. Damage Estimation of a Concrete Pier When Exposed to Extreme Flood and Debris Loading. J. Mar. Sci. Eng. 2022, 10, 710. [Google Scholar] [CrossRef]
- Susilorini, R.M.R.; Iskandar, I.; Santosa, B. Long-Term Durability of Bio-Polymer Modified Concrete in Tidal Flooding Prone Area: A Challenge of Sustainable Concrete Materials. Sustainability 2022, 14, 1565. [Google Scholar] [CrossRef]
- Yonathan, K.; Mann, R.; Mahbub, K.R.; Gunawan, C. The Impact of Silver Nanoparticles on Microbial Communities and Antibiotic Resistance Determinants in the Environment. Environ. Pollut. 2022, 293, 118506. [Google Scholar] [CrossRef]
- Wang, D.; Guan, F.; Feng, C.; Mathivanan, K.; Zhang, R.; Sand, W. Review on Microbially Influenced Concrete Corrosion. Microorganisms 2023, 11, 2076. [Google Scholar] [CrossRef]
- Duvnjak, I.; Klepo, I.; Serdar, M.; Damjanović, D. Damage Assessment of Reinforced Concrete Elements Due to Corrosion Effect Using Dynamic Parameters: A Review. Buildings 2021, 11, 425. [Google Scholar] [CrossRef]
- Rincon, L.F.; Moscoso, Y.M.; Hamami, A.E.A.; Matos, J.C.; Bastidas-Arteaga, E. Degradation Models and Maintenance Strategies for Reinforced Concrete Structures in Coastal Environments under Climate Change: A Review. Buildings 2024, 14, 562. [Google Scholar] [CrossRef]
- Kubiak, J.; Laks, I.; Sroka, Z.; Walczak, Z. Application of a Multi-Criteria Decision Support System for Assessing Development Potential in Flood Risk Areas—Case Study of the Warta River. Sci. Total Environ. 2024, 947, 174513. [Google Scholar] [CrossRef] [PubMed]
- Konował, E.; Sybis, M.; Modrzejewska-Sikorska, A.; Milczarek, G. Synthesis of Dextrin-Stabilized Colloidal Silver Nanoparticles and Their Application as Modifiers of Cement Mortar. Int. J. Biol. Macromol. 2017, 104, 165–172. [Google Scholar] [CrossRef] [PubMed]
- Sybis, M.; Konował, E. Influence of Modified Starch Admixtures on Selected Physicochemical Properties of Cement Composites. Materials 2022, 15, 7604. [Google Scholar] [CrossRef]
- ten Veldhuis, J.A.E.; Clemens, F.H.L.R.; Sterk, G.; Berends, B.R. Microbial Risks Associated with Exposure to Pathogens in Contaminated Urban Flood Water. Water Res. 2010, 44, 2910–2918. [Google Scholar] [CrossRef]
- Taylor, J.; Lai, K.M.; Davies, M.; Clifton, D.; Ridley, I.; Biddulph, P. Flood Management: Prediction of Microbial Contamination in Large-Scale Floods in Urban Environments. Environ. Int. 2011, 37, 1019–1029. [Google Scholar] [CrossRef]
- Flemming, H.-C.; Wingender, J. The Biofilm Matrix. Nat. Rev. Microbiol. 2010, 8, 623–633. [Google Scholar] [CrossRef]
- Pawlak, T.; Szymczak-Graczyk, A.; Garbowski, T. Three-Layer Repair Coating System for Manholes, Pump Stations, and Tanks in Aggressive Sulfate Environment. Civ. Environ. Eng. Rep. 2025, 35, 1–19. [Google Scholar] [CrossRef]
- Huber, B.; Hilbig, H.; Drewes, J.E.; Müller, E. Evaluation of Concrete Corrosion after Short- and Long-Term Exposure to Chemically and Microbially Generated Sulfuric Acid. Cem. Concr. Res. 2017, 94, 36–48. [Google Scholar] [CrossRef]
- Yousefi, A.; Allahverdi, A.; Hejazi, P. Accelerated Biodegradation of Cured Cement Paste by Thiobacillus Species under Simulation Condition. Int. Biodeterior. Biodegrad. 2014, 86, 317–326. [Google Scholar] [CrossRef]
- Gutarowska, B. Metabolic Activity of Moulds as a Factor of Building Materials Biodegradation. Pol. J. Microbiol. 2010, 59, 119–124. [Google Scholar] [CrossRef] [PubMed]
- Roguet, A.; Newton, R.J.; Eren, A.M.; McLellan, S.L. Guts of the Urban Ecosystem: Microbial Ecology of Sewer Infrastructure. mSystems 2022, 7, e00118-22. [Google Scholar] [CrossRef] [PubMed]
- Zhang, P.; Wittmann, F.H.; Haist, M.; Müller, H.S.; Vontobel, P.; Zhao, T.J. Water Penetration into Micro-Cracks in Reinforced Concrete. Restor. Build. Monum. 2014, 20, 85–94. [Google Scholar] [CrossRef]
- Zhang, R.; Cheng, X.; Hou, P. Synergistic Effects of Nano-SiO2 and Nano-Ag on the Anti-Bacterial and Mechanical Properties of Cementitious Materials. Constr. Build. Mater. 2015, 98, 198–205. [Google Scholar]
- Rodrigues, A.S.; Batista, J.G.; Rodrigues, M.Á.; Thipe, V.C.; Minarini, L.A.; Lopes, P.S.; Lugão, A.B. Advances in Silver Nanoparticles: A Comprehensive Review on Their Potential as Antimicrobial Agents and Their Mechanisms of Action Elucidated by Proteomics. Front. Microbiol. 2024, 15, 1440065. [Google Scholar] [CrossRef]
- Rai, M.; Yadav, A.; Gade, A. Silver Nanoparticles as a New Generation of Antimicrobials. Biotechnol. Adv. 2009, 27, 76–83. [Google Scholar] [CrossRef]
- Pal, S.; Tak, Y.K.; Song, J.M. Does the Antibacterial Activity of Silver Nanoparticles Depend on the Shape of the Nanoparticle? A Study of the Gram-Negative Bacterium Escherichia coli. Appl. Environ. Microbiol. 2007, 73, 1712–1720. [Google Scholar] [CrossRef]
- Nam, K.Y. Characterization and Antimicrobial Efficacy of Portland Cement Impregnated with Silver Nanoparticles. J. Adv. Prosthodont. 2017, 9, 217–223. [Google Scholar] [CrossRef]
- Pehlivan, A.O.; Sanrı Karapınar, I.; Karakuş, S.; Özsoy Özbay, A.E.; Yazgan, A.U. Evaluation of the Microstructure and Mechanical Properties of Biopolymer-Based Cementitious Composites with Silver Nanoparticles. J. Mater. Civ. Eng. 2023, 35, 04022473. [Google Scholar] [CrossRef]
- Akter, M.; Sikder, M.T.; Rahman, M.M. A Systematic Review on Silver Nanoparticles: Mechanism, Toxicity and Future Directions. J. Adv. Res. 2018, 9, 1–16. [Google Scholar] [CrossRef] [PubMed]
- Suthar, M.; Sata, S.; Vyas, K.M.; Mungule, M. Investigation on Strength Enhancement of Cement Paste Using Biogenic Nanoparticles. Mater. Today Proc. 2022, 65, 1831–1838. [Google Scholar] [CrossRef]
- Paciejewski, M.; Lange, A.; Jaworski, S.; Kutwin, M.; Bombalska, A.; Siwiński, J.; Olkowicz, K.; Mierczyk, J.; Narojczyk, K.; Bogdanowicz, Z.; et al. Effect of Doping Cement Mortar with Triclosan, Hypochlorous Acid, Silver Nanoparticles and Graphene Oxide on Its Mechanical and Biological Properties. Materials 2024, 17, 6288. [Google Scholar] [CrossRef] [PubMed]
- Sybis, M.; Konowal, E. The Effect of Cement Concrete Doping with Starch Derivatives on Its Frost Resistance. Przemysł Chem. 2019, 98, 1738–1740. [Google Scholar]
- Sybis, M.; Konował, E.; Prochaska, K. Dextrins as Green and Biodegradable Modifiers of Physicochemical Properties of Cement Composites. Energies 2022, 15, 4115. [Google Scholar] [CrossRef]
- Märkl, V.; Pflugmacher, S.; Stephan, D.A. Leaching of PCE-Based Superplasticiser from Microfine Cement: A Chemical and Ecotoxicological Point of View. Water Air Soil Pollut. 2017, 228, 217. [Google Scholar] [CrossRef]
- Chen, B.; Xu, J.; Fu, C.; She, W.; Dong, B. Synergistic Effects of Nano-Silver and Nano-Silica on Strength, Electrical Conductivity and Corrosion Resistance of Portland Cement Paste. Constr. Build. Mater. 2025, 502, 144233. [Google Scholar] [CrossRef]
- Wei, S.; Jiang, Z.; Liu, H.; Zhou, D.; Sanchez-Silva, M. Microbiologically Induced Deterioration of Concrete: A Review. Braz. J. Microbiol. 2013, 44, 1001–1007. [Google Scholar] [CrossRef]
- Gunawan, C.; Teoh, W.Y.; Marquis, C.P.; Amal, R. Induced Adaptation of Bacillus sp. to Antimicrobial Nanosilver. Small 2013, 9, 3554–3560. [Google Scholar] [CrossRef]
- McGillicuddy, E.; Murray, I.; Kavanagh, S.; Morrison, L.; Fogarty, A.; Cormican, M.; Dockery, P.; Prendergast, M.; Rowan, N.; Morris, D. Silver Nanoparticles in the Environment: Sources, Detection and Ecotoxicology. Sci. Total Environ. 2017, 575, 231–246. [Google Scholar] [CrossRef]
- Habash, M.B.; Reid, G. Microbial Biofilms: Their Role in the Development of Nosocomial Infections and Approaches for Prevention. Microbiol. Immunol. 2018, 62, 485–498. [Google Scholar]
- Noeiaghaei, T.; Dhami, N.; Mukherjee, A. Nanoparticles Surface Treatment on Cemented Materials for Inhibition of Bacterial Growth. Constr. Build. Mater. 2017, 150, 880–891. [Google Scholar] [CrossRef]
- EN 197-1:2011; Cement—Part 1: Composition, Specifications and Conformity Criteria for Common Cements. European Committee for Standardization (CEN): Brussels, Belgium, 2011.
- EN 196-1:2016; Methods of Testing Cement—Part 1: Determination of Strength. European Committee for Standardization (CEN): Brussels, Belgium, 2016.
- Vigneshwaran, N.; Nachane, R.P.; Balasubramanya, R.H.; Varadarajan, P.V. A novel one-pot ‘green’ synthesis of stable silver nanoparticles using soluble starch. Carbohydr. Res. 2006, 341, 2012–2018. [Google Scholar] [CrossRef] [PubMed]
- Cheviron, P.; Gouanvé, F.; Espuche, E. Green synthesis of colloid silver nanoparticles and resulting biodegradable starch/silver nanocomposites. Carbohydr. Polym. 2014, 108, 291–298. [Google Scholar] [CrossRef] [PubMed]
- Demchenko, V.; Riabov, S.; Sinelnikov, S.; Radchenko, O.; Kobylinskyi, S.; Rybalchenko, N. Novel approach to synthesis of silver nanoparticles in interpolyelectrolyte complexes based on pectin, chitosan, starch and their derivatives. Carbohydr. Polym. 2020, 242, 116431. [Google Scholar] [CrossRef]
- Kumar, S.V.; Bafana, A.P.; Pawar, P.; Rahman, A.; Dahoumane, S.A.; Jeffryes, C.S. High conversion synthesis of <10 nm starch-stabilized silver nanoparticles using microwave technology. Sci. Rep. 2018, 8, 5106. [Google Scholar] [CrossRef]
- Karbowska, B.; Modrzejewska-Sikorska, A.; Skowron, A.W.; Konował, E. Silver nanostructures stabilized by starch derivatives for the determination of thallium in environmental samples. Arch. Environ. Prot. 2025, 51, 118–126. [Google Scholar] [CrossRef]
- Ceran, Ö.B.; Şimşek, B.; Doruk, S.; Uygunoğlu, T.; Şara, O.N. Effects of Dispersed and Powdered Silver Nanoparticles on the Mechanical, Thermal, Electrical and Durability Properties of Cementitious Composites. Constr. Build. Mater. 2019, 222, 152–167. [Google Scholar] [CrossRef]
- Panáček, A.; Kvítek, L.; Smékalová, M.; Večeřová, R.; Kolář, M.; Röderová, M.; Dyčka, F.; Šebela, M.; Prucek, R.; Tomanec, O.; et al. Bacterial resistance to silver nanoparticles and how to overcome it. Nat. Nanotechnol. 2018, 13, 65–71. [Google Scholar] [CrossRef]
- McNeilly, O.; Mann, R.; Hamidian, M.; Gunawan, C. Emerging concern for silver nanoparticle resistance in acinetobacter baumannii and other bacteria. Front. Microbiol. 2021, 12, 652863. [Google Scholar] [CrossRef]
- McNeilly, O.; Mediati, D.G.; Pittorino, M.J.; Mann, R.; Söderström, B.; Hamidian, M.; Gunawan, C. Molecular insights into silver nanoparticle resistance in Acinetobacter baumannii and unique adaptations to ionic silver. Npj Antimicrob. Resist. 2025, 3, 92. [Google Scholar] [CrossRef]
- Gruca, A. A Brief Review of Microbial Induced Corrosion Research. Ann. Univ. Paedagog. Cracoviensis. Stud. Naturae 2018, 3, 152–161. [Google Scholar] [CrossRef]
- Sybis, M.; Staninska-Pięta, J.; Paluch, E.; Konował, E.; Cyplik, P.; Wolko, Ł.; Wiglusz, R.J.; Czarny, J.; Piotrowska-Cyplik, A. Microbiome Analysis of Novel Cement Composites Admixed with Biopolymer and Silver Nanoparticles. Int. Biodeterior. Biodegrad. 2025, 202, 106084. [Google Scholar] [CrossRef]
- Płoneczka-Janeczko, K.; Rypuła, K.; Rohm, W.; Magdziarz, M.; Zielak-Steciwko, A. Epidemiological Insight into Bacterial Risk Associated with Flooded Areas of City Agglomeration (Wrocław, Poland 2024). Sci. Rep. 2025, 15, 18182. [Google Scholar] [CrossRef] [PubMed]
- Carusi, J.; Kabuki, D.Y.; De Seixas Pereira, P.M.; Cabral, L. Aeromonas spp. in drinking water and food: Occurrence, virulence potential and antimicrobial resistance. Food Res. Int. 2024, 175, 113710. [Google Scholar] [CrossRef]
- Chang, D.; Sharma, L.; Dela Cruz, C.S.; Zhang, D. Clinical epidemiology, risk factors, and control strategies of klebsiella pneumoniae infection. Front. Microbiol. 2021, 12, 750662. [Google Scholar] [CrossRef]
- Salimiyan Rizi, K.; Ghazvini, K.; Farsiani, H. Clinical and pathogenesis overview of Enterobacter infections. Rev. Clin. Med. 2019, 6, 146–154. [Google Scholar] [CrossRef]
- Qin, S.; Xiao, W.; Zhou, C.; Pu, Q.; Deng, X.; Lan, L.; Liang, H.; Song, X.; Wu, M. Pseudomonas aeruginosa: Pathogenesis, virulence factors, antibiotic resistance, interaction with host, technology advances and emerging therapeutics. Signal Transduct. Target. Ther. 2022, 7, 199. [Google Scholar] [CrossRef]
- Kaegi, R.; Sinnet, B.; Zuleeg, S.; Hagendorfer, H.; Mueller, E.; Vonbank, R.; Boller, M.; Burkhardt, M. Release of silver nanoparticles from outdoor facades. Environ. Pollut. 2010, 158, 2900–2905. [Google Scholar] [CrossRef]
- Künniger, T.; Gerecke, A.C.; Ulrich, A.; Huch, A.; Vonbank, R.; Heeb, M.; Wichser, A.; Haag, R.; Kunz, P.; Faller, M. Release and environmental impact of silver nanoparticles and conventional organic biocides from coated wooden façades. Environ. Pollut. 2014, 184, 464–471. [Google Scholar] [CrossRef]
- Levard, C.; Hotze, E.M.; Lowry, G.V.; Brown, G.E. Environmental transformations of silver nanoparticles: Impact on stability and toxicity. Environ. Sci. Technol. 2012, 46, 6900–6914. [Google Scholar] [CrossRef]
- Fabrega, J.; Luoma, S.N.; Tyler, C.R.; Galloway, T.S.; Lead, J.R. Silver nanoparticles: Behaviour and effects in the aquatic environment. Environ. Int. 2011, 37, 517–531. [Google Scholar] [CrossRef] [PubMed]
- Ihtisham, M.; Noori, A.; Yadav, S.; Sarraf, M.; Kumari, P.; Brestic, M.; Imran, M.; Jiang, F.; Yan, X.; Rastogi, A. Silver nanoparticle’s toxicological effects and phytoremediation. Nanomaterials 2021, 11, 2164. [Google Scholar] [CrossRef] [PubMed]
- Park, S.-Y.; Chung, J.; Colman, B.P.; Matson, C.W.; Kim, Y.; Lee, B.-C.; Kim, P.-J.; Choi, K.; Choi, J. Ecotoxicity of bare and coated silver nanoparticles in the aquatic midge, Chironomus riparius. Environ. Toxicol. Chem. 2015, 34, 2023–2032. [Google Scholar] [CrossRef]
- Navarro, E.; Piccapietra, F.; Wagner, B.; Marconi, F.; Kaegi, R.; Odzak, N.; Sigg, L.; Behra, R. Toxicity of Silver Nanoparticles to Chlamydomonas reinhardtii. Environ. Sci. Technol. 2008, 42, 8959–8964. [Google Scholar] [CrossRef] [PubMed]
- Tończyk, A.; Niedziałkowska, K.; Lisowska, K. Ecotoxic effect of mycogenic silver nanoparticles in water and soil environment. Sci. Rep. 2025, 15, 10815. [Google Scholar] [CrossRef]
- Nam, S.-H.; Il Kwak, J.; An, Y.-J. Quantification of silver nanoparticle toxicity to algae in soil via photosynthetic and flow-cytometric analyses. Sci. Rep. 2018, 8, 292. [Google Scholar] [CrossRef]
- Courtois, P.; Rorat, A.; Lemiere, S.; Guyoneaud, R.; Attard, E.; Levard, C.; Vandenbulcke, F. Ecotoxicology of silver nanoparticles and their derivatives introduced in soil with or without sewage sludge: A review of effects on microorganisms, plants and animals. Environ. Pollut. 2019, 253, 578–598. [Google Scholar] [CrossRef]
- World Health Organization (WHO). Guidelines for Drinking-Water Quality, 4th ed.; WHO: Geneva, Switzerland, 2017. [Google Scholar]
- United States Environmental Protection Agency (US EPA). SW-846 Test Method 1311: Toxicity Characteristic Leaching Procedure (TCLP); US EPA: Washington, DC, USA, 1992. [Google Scholar]
- EN 12457-2; Characterisation of Waste—Leaching—Compliance Test for Leaching of Granular Waste Materials and Sludges—Part 2: One Stage Batch Test at a Liquid to Solid Ratio of 10 L/kg. European Committee for Standardization (CEN): Brussels, Belgium, 2002.
- CEN/TS 16637-2; Construction Products—Assessment of Release of Dangerous Substances—Part 2: Horizontal Dynamic Surface Leaching Test. European Committee for Standardization (CEN): Brussels, Belgium, 2014.
- Lead, J.R.; Batley, G.E.; Alvarez, P.J.J.; Croteau, M.-N.; Handy, R.D.; McLaughlin, M.J.; Judy, J.D.; Schirmer, K. Nanomaterials in the environment: Behavior, fate, bioavailability, and effects—An updated review. Environ. Toxicol. Chem. 2018, 37, 2029–2063. [Google Scholar] [CrossRef]
- Konował, E.; Modrzejewska-Sikorska, A. Special issue “Metal nanoparticles: From fundamental studies to new applications”. Int. J. Mol. Sci. 2026, 27, 7. [Google Scholar] [CrossRef]
- Szymańska, A.; Wyrwas, B.; Bluszcz, M.; Posadzy, P. Immobilization of environmentally harmful elements in concrete. Tech. Sci. 2025, 28, 249–264. [Google Scholar] [CrossRef]





| Source of Variation | SS (MPa2) | df | MS (MPa2) | F | p |
|---|---|---|---|---|---|
| Between groups (mixture type) | 279.0 | 8 | 34.88 | 25.90 | <0.001 |
| Within groups (error) | 60.6 | 45 | 1.35 | - | - |
| Total | 339.6 | 53 | - | - | - |
| Mixture | Mean Compressive Strength [MPa] | Tukey Group * |
|---|---|---|
| Reference sample | 47.5 | C |
| PCE (0.3%) | 50.8 | B |
| PCE (0.3%) + AgNPs | 50.4 | B |
| PS (0.3%) | 50.8 | B |
| PS (0.3%) + AgNPs | 50.4 | B |
| PCE (0.5%) | 54.1 | A |
| PCE (0.5%) + AgNPs | 54.2 | A |
| PS (0.5%) | 54.1 | A |
| PS (0.5%) + AgNPs | 54.2 | A |
Disclaimer/Publisher’s Note: The statements, opinions and data contained in all publications are solely those of the individual author(s) and contributor(s) and not of MDPI and/or the editor(s). MDPI and/or the editor(s) disclaim responsibility for any injury to people or property resulting from any ideas, methods, instructions or products referred to in the content. |
© 2026 by the authors. Licensee MDPI, Basel, Switzerland. This article is an open access article distributed under the terms and conditions of the Creative Commons Attribution (CC BY) license.
Share and Cite
Sybis, M.; Staninska-Pięta, J.; Piotrowska-Cyplik, A.; Konował, E. Nanosilver Modified Concrete as a Sustainable Strategy for Enhancing Structural Resilience to Flooding. Sustainability 2026, 18, 945. https://doi.org/10.3390/su18020945
Sybis M, Staninska-Pięta J, Piotrowska-Cyplik A, Konował E. Nanosilver Modified Concrete as a Sustainable Strategy for Enhancing Structural Resilience to Flooding. Sustainability. 2026; 18(2):945. https://doi.org/10.3390/su18020945
Chicago/Turabian StyleSybis, Marta, Justyna Staninska-Pięta, Agnieszka Piotrowska-Cyplik, and Emilia Konował. 2026. "Nanosilver Modified Concrete as a Sustainable Strategy for Enhancing Structural Resilience to Flooding" Sustainability 18, no. 2: 945. https://doi.org/10.3390/su18020945
APA StyleSybis, M., Staninska-Pięta, J., Piotrowska-Cyplik, A., & Konował, E. (2026). Nanosilver Modified Concrete as a Sustainable Strategy for Enhancing Structural Resilience to Flooding. Sustainability, 18(2), 945. https://doi.org/10.3390/su18020945

