From Lab to Real-World: Unraveling Coconut Shell Activated Carbon’s Efficiency for Low-Concentration TCE/PCE in Indoor Air
Abstract
1. Introduction
2. Materials and Methods
2.1. Adsorbent Material and Characterization
2.2. Methods
2.2.1. Experimental System and Adsorption Test
2.2.2. Molecular Simulation and Mechanism Analysis
Models
Simulation Method and Evaluation Parameters
2.2.3. Dynamic Prediction Model Development
- (1)
- Free and porous media flow module
- (2)
- Dilute species transport in porous media module
- (3)
- Heat transfer in porous media module
- (4)
- General form partial differential equations module
3. Results
3.1. Experimental Results
3.2. Molecular Simulation Results
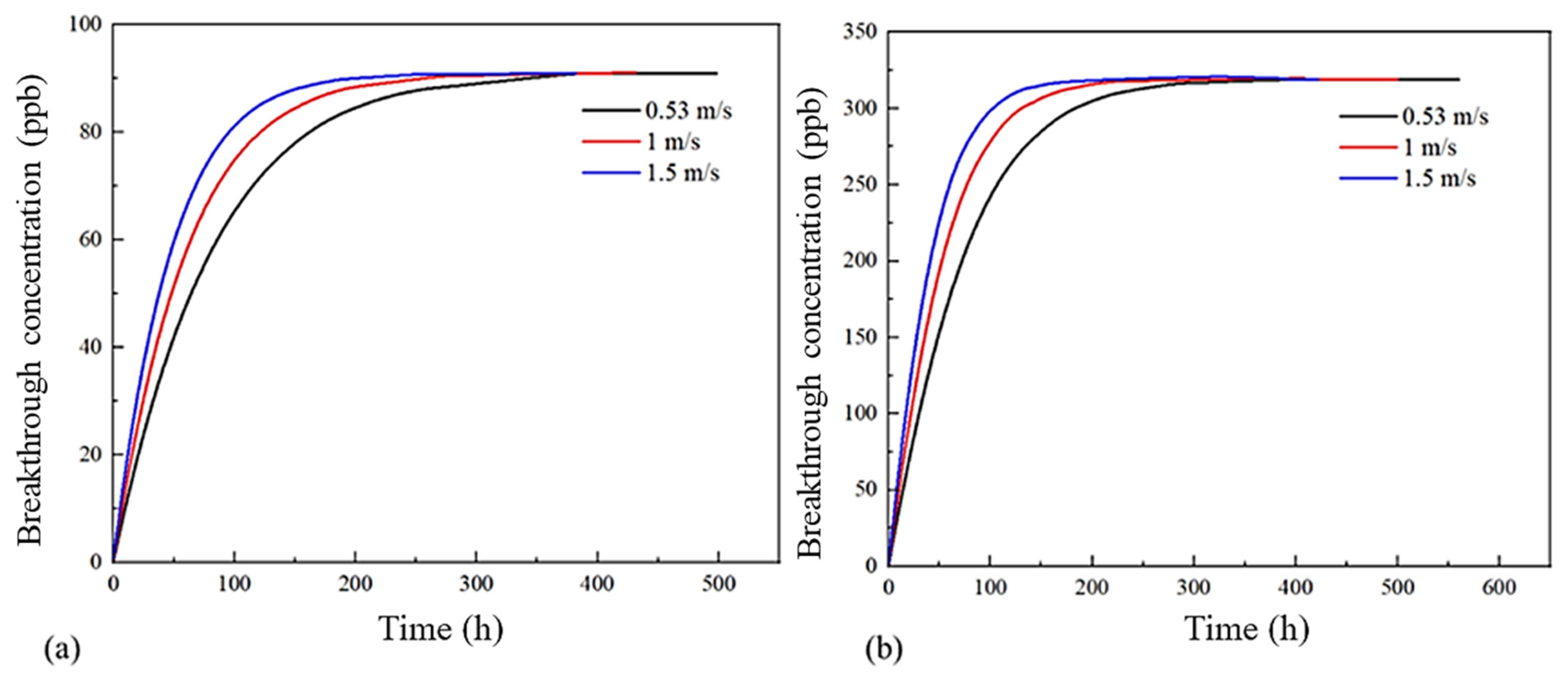
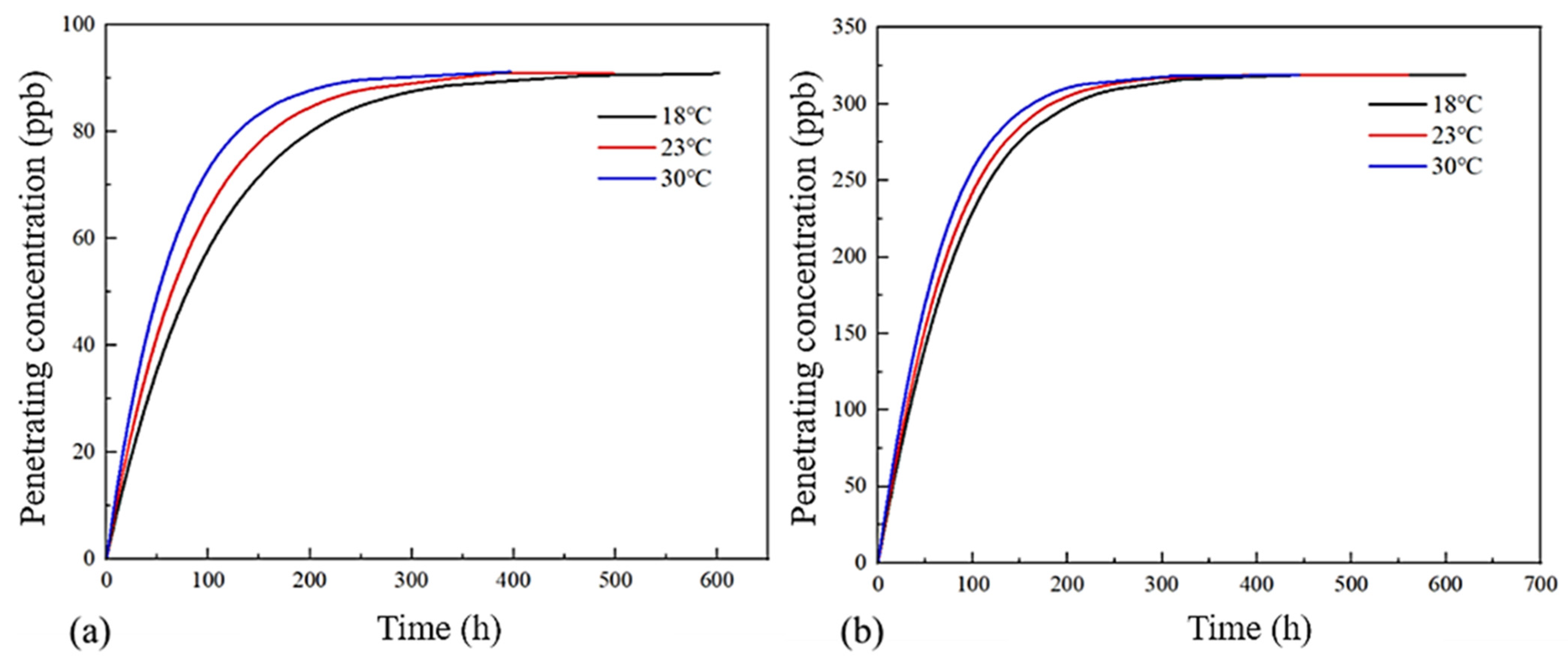
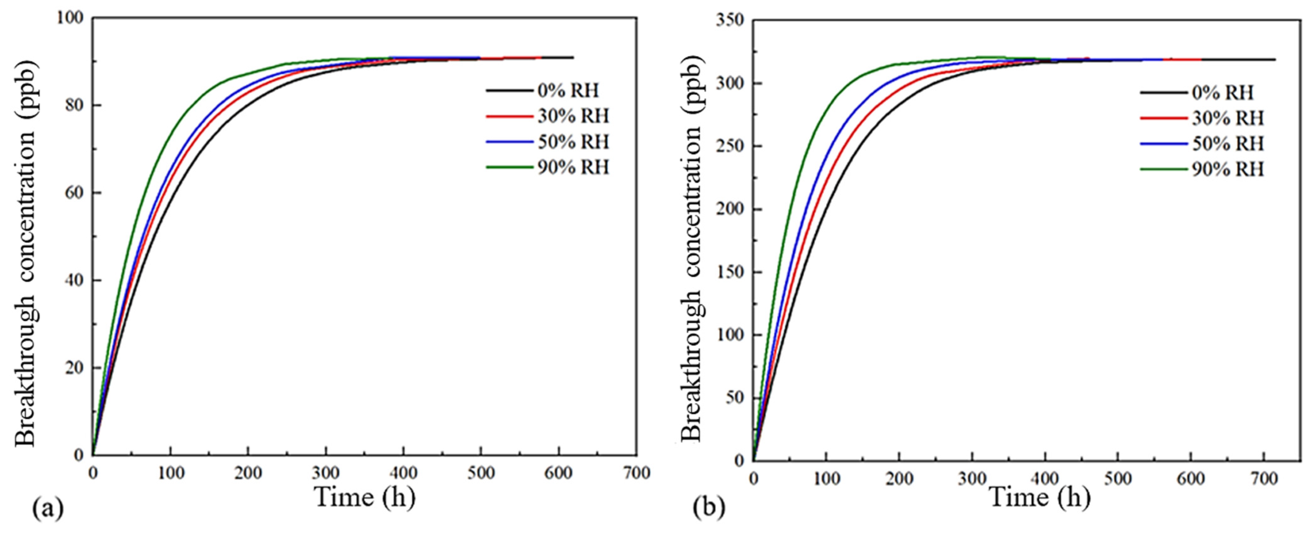
3.3. Predictive Results of Dynamic Model
4. Discussions
5. Conclusions
- (1)
- Coconut shell-based activated carbon exhibited effective adsorption of gaseous chlorinated hydrocarbons, exhibiting a substantially higher adsorption capacity for perchloroethylene (PCE) compared to trichloroethylene (TCE). However, its performance was more sensitive to humidity, with the adsorption capacity decreasing by approximately 30% at a relative humidity (RH) of 50%. This behavior can be attributed to the non-polar nature of PCE and the preferential adsorption of water molecules at oxygen-containing sites on the activated carbon surface. Further investigation into functional modifications of activated carbon, such as hydrophobic surface treatments, is warranted to mitigate the adverse effects of humidity on its adsorption efficiency.
- (2)
- A parameterized model of saturated adsorption capacity, developed based on molecular simulations and implemented in COMSOL, accurately predicted breakthrough behavior under various operating conditions with an error margin of less than 7.2%. This model provides a robust tool for estimating the service life of activated carbon in practical applications.
- (3)
- Response surface methodology analysis revealed that the relative influence of operating parameters on TCE/PCE adsorption decreases in the following order: pollutant concentration > relative humidity > air velocity > temperature. Maintaining inlet concentrations (TCE < 7 ppb, PCE < 30 ppb), air velocity (<1 m/s), temperature (<25 °C), and relative humidity (<50%) can effectively balance purification efficiency and activated carbon lifetime (3–5 months).
Author Contributions
Funding
Institutional Review Board Statement
Informed Consent Statement
Data Availability Statement
Conflicts of Interest
Abbreviations
| BET | Brunauer–Emmett–Teller |
| BJH | Barrett–Joyner–Halenda |
| CFD | Computational Fluid Dynamics |
| CSAC | Coconut Shell Activated Carbon |
| DFT | Density Functional Theory |
| FTIR | Fourier Transform Infrared Spectroscopy |
| GCMC | Grand Canonical Monte Carlo |
| IARC | International Agency for Research on Cancer |
| MD | Molecular Dynamics |
| PCE | Tetrachloroethylene (Perchloroethylene) |
| RDF | Radial Distribution Function |
| RH | Relative Humidity |
| RSM | Response Surface Methodology |
| SEM | Scanning Electron Microscopy |
| SVOC | Semi-Volatile Organic Compound |
| TCE | Trichloroethylene |
| VOC | Volatile Organic Compound |
| WHO | World Health Organization |
References
- Mannan, M.; Al-Ghamdi, S.G. Indoor Air Quality in Buildings: A Comprehensive Review on the Factors Influencing Air Pollution in Residential and Commercial Structure. Int. J. Environ. Res. Public Health 2021, 18, 3276. [Google Scholar] [CrossRef] [PubMed]
- Bhoonah, R.; Maury-Micolier, A.; Jolliet, O. Indoor Air Pollution, Integrated empirical and modelled determination of the human health impacts of building material VOCs. Build. Environ. 2023, 242, 110523. [Google Scholar]
- Maryam, S.; Ali Asghar, N.; Hosein, A.; Shamsara, J.; Amiri, H.; Andrea, T.; Kariminejad, F. Indoor Air Quality associations with sick building syndrome: An application of decision tree technology. Build. Environ. 2021, 188, 107446. [Google Scholar] [CrossRef]
- Bingham, Q.G.; Lutes, C.; Grand, R.; Quadri, S.; Dollhopf, R.; Posavatz, N.; Birkett, E. Emissions of Trichloroethylene from Bedroom Furniture Set as a Source of Indoor Air Contamination. Ground Water Monit. Remediat. 2023, 43, 78–83. [Google Scholar] [CrossRef]
- Archer, N.P.; Bradford, C.M.; Villanacci, J.F.; Crain, N.E.; Corsi, R.L.; Chambers, D.M.; Burl, T.; Blount, B.C. Relationship between vapor intrusion and human exposure to trichloroethylene. J. Environ. Sci. Health Part A 2015, 50, 1360–1368. [Google Scholar] [CrossRef]
- Mandin, C.; Trantallidi, M.; Cattaneo, A.; Canha, N.; Mihucz, V.G.; Szigeti, T.; Mabilia, R.; Perreca, E.; Spinazzè, A.; Fossati, S.; et al. Assessment of indoor air quality in office buildings across Europe—The OFFICAIR study. Sci. Total Environ. 2017, 579, 169–178. [Google Scholar] [CrossRef]
- Edwards, R.D.; Jurvelin, J.; Saarela, K.; Jantunen, M. VOC concentrations measured in personal samples and residential indoor, outdoor and workplace microenvironments in EXPOLIS-Helsinki, Finland. Atmos. Environ. 2001, 35, 4531–4543. [Google Scholar] [CrossRef]
- Martin, A.; Simmons, M.B.; Ortiz-Serrano, M.; Kendrick, C.; Gallo, A.; Campbell, J.; Jeff, F. Environmental Exposure of a Community to Airborne Trichloroethylene Sheppard. Arch. Environ. Occup. Health 2005, 60, 314–316. [Google Scholar] [CrossRef]
- Kwon, J.; Weisel, C.P.; Turpin, B.J.; Zhang, J.; Korn, L.R.; Morandi, M.T.; Stock, T.H.; Colome, S. Source Proximity and Outdoor-Residential VOC Concentrations: Results from the RIOPA Study. Environ. Sci. Technol. 2006, 40, 4074–7082. [Google Scholar] [CrossRef]
- Dodson, R.E.; Levy, J.I.; Spengler, J.D.; Shine, J.P.; Bennett, D.H. Influence of basements, garages, and common hallways on indoor residential volatile organic compound concentrations. Atmos. Environ. 2008, 42, 1569–1581. [Google Scholar] [CrossRef]
- Pennell, K.G.; Scammell, M.K.; McClean, M.D.; Ames, J.; Weldon, B.; Friguglietti, L.; Suuberg, E.M.; Shen, R.; Indeglia, P.A.; Heiger-Bernays, W.J. Sewer Gas: An Indoor Air Source of PCE to Consider During Vapor Intrusion Investigations. Ground Water Monit. Remediat. 2013, 33, 119–126. [Google Scholar] [CrossRef]
- Du, Z.; Mo, J.; Zhang, Y. Risk assessment of population inhalation exposure to volatile organic compounds and carbonyls in urban China. Environ. Int. 2014, 73, 33–45. [Google Scholar] [CrossRef]
- de Courville, S.B.; Roulet, A.; Droupy, S.; Thuret, R. Kidney cancer following occupational exposure to trichloroethylene: Clinical case series and review of the literature. Fr. J. Urol. 2025, 35, 102795. [Google Scholar] [CrossRef] [PubMed]
- Nagarajan, V.; Bhuvaneswari, R.; Chandiramouli, R. Trichloroethylene and tetrachloroethylene adsorption studies on α-antimony phosphorous nanosheets—A first-principles study. Comput. Theor. Chem. 2024, 1241, 114861. [Google Scholar] [CrossRef]
- Feng, M.; Xu, Z.; Bai, X.; Lin, K.; Zhang, M. Al–Fe pillared bentonite−Fe3O4–CaO2 nanocomposite for efficient adsorption and degradation of trichloroethylene. Sustain. Chem. Pharm. 2023, 32, 100995. [Google Scholar] [CrossRef]
- Gil, E.R.; Ruiz, B.; Lozano, M.S.; Martín, M.J.; Fuente, E. VOCs removal by adsorption onto activated carbons from biocollagenic wastes of vegetable tanning. Chem. Eng. J. 2014, 245, 80–88. [Google Scholar] [CrossRef]
- Haider, R.; Sagadevan, S.; Al-Adaileh, N.A.; Fatimah, I.; Paiman, S.; Le, M.V.; Johan, M.R. Sustainable activated carbon derived from coconut shell and betel nuts for energy storage and environmental remediation. Diam. Relat. Mater. 2025, 154, 112243. [Google Scholar] [CrossRef]
- Mallick, M.K.; Panigrahi, P.; Mohanty, S.; Palai, A.K. Coconut shell-derived porous activated carbon materials: Role of activating agent on physico-electrochemical properties and photovoltaic performances. Biomass Convers. Biorefin. 2025, 1, 15. [Google Scholar] [CrossRef]
- Li, Q.; Xu, W.; Liang, X.; Liu, B.; Wu, Q.; Zeng, Z.; Li, L.; Ma, X. Specific alkali metal sites as CO2 traps in activated carbon with different pore size for CO2 selective adsorption: GCMC and DFT simulations. Fuel 2022, 325, 124871. [Google Scholar] [CrossRef]
- Chen, G.; An, Y.; Shen, Y.; Wang, Y.; Tang, Z.; Lu, B.; Zhang, D. Effect of pore size on CH4/N2 separation using activated carbon. Chin. J. Chem. Eng. 2020, 28, 1062–1068. [Google Scholar] [CrossRef]
- Wang, J.; Cao, W.; Wei, W.; Jin, H. Adsorption characteristic analysis of PAHs on activated carbon with different functional groups by molecular simulation. Environ. Sci. Pollut. Res. 2023, 30, 32452–32463. [Google Scholar] [CrossRef]
- An, K.; Wang, Z.; Yang, X.; Qu, Z.; Sun, F.; Zhou, W.; Zhao, H. Reasons of low formaldehyde adsorption capacity on activated carbon: Multi-scale simulation of dynamic interaction between pore size and functional groups. J. Environ. Chem. Eng. 2022, 10, 108723. [Google Scholar] [CrossRef]
- Wu, S.; Deng, C.; Wang, X. Molecular simulation of flue gas and CH4 competitive adsorption in dry and wet coal. J. Nat. Gas Sci. Eng. 2019, 71, 102980. [Google Scholar] [CrossRef]
- Cal, M.P.; Rood, M.J.; Larson, S.M. Gas Phase Adsorption of Volatile Organic Compounds and Water Vapor on Activated Carbon Cloth. Energy Fuels 1997, 11, 311–315. [Google Scholar] [CrossRef]
- Li, J.J.; Yin, T.Y.; Cheng, T.; Chen, H.; Yang, L.; Wu, H. Superior pore size for enhancing the competitive adsorption of VOCs under high humid conditions: An experiment and molecular simulation study. J. Environ. Chem. Eng. 2023, 11, 111091. [Google Scholar] [CrossRef]
- Chen, Z.; He, R. Competitive adsorption characteristics of gasoline evaporated VOCs in microporous activated carbon by molecular simulation. J. Mol. Graph. Model. 2023, 121, 108444. [Google Scholar] [CrossRef]
- Pei, J.; Zhang, J.S. Determination of adsorption isotherm and diffusion coefficient of toluene on activated carbon at low concentrations. Build. Environ. 2012, 48, 66–76. [Google Scholar] [CrossRef]
- Shiue, A.; Den, W.; Kang, Y.; Hu, S.-C.; Jou, G.-T.; Lin, C.; Hu, V.; Lin, S. Validation and application of adsorption breakthrough models for the chemical filters used in the make-up air unit (MAU) of a cleanroom. Build. Environ. 2011, 46, 468–477. [Google Scholar] [CrossRef]
- Shafeeyan, M.S.; Daud, W.M.A.W.; Shamiri, A.; Aghamohammadi, N. Modeling of Carbon Dioxide Adsorption onto Ammonia-Modified Activated Carbon: Kinetic Analysis and Breakthrough Behavior. Energy Fuels 2015, 29, 6565–6577. [Google Scholar] [CrossRef]
- Elsayed, A.; Mahmoud, S.; Al-Dadah, R.; Bowen, J.; Kaialy, W. Experimental and Numerical Investigation of the Effect of Pellet Size on the Adsorption Characteristics of Activated Carbon/Ethanol. Energy Procedia 2014, 61, 2327–2330. [Google Scholar] [CrossRef]
- ASHRAE Standard 145.2-2015; Method of Testing General Ventilation Air-Cleaning Devices for Removal of Gaseous Pollutants. ASHRAE: Peachtree Corners, GA, USA, 2015.
- ISO 10121-1:2014; Test Method for Assessing the Performance of Gas-Phase Air Cleaning Media and Devices for General Ventilation—Part 1: Gas-Phase Air Cleaning Media. International Organization for Standardization: Vernier, Switzerland, 2014.
- World Health Organization. WHO Guidelines for Indoor Air Quality: Selected Pollutants; World Health Organization: Geneva, Switzerland, 2010. [Google Scholar]
- GB/T 18883-2022; Standards for Indoor Air Quality. State Administraion for Market Regulation, National Standardization Administration: Beijing, China, 2022.















| Instruments | Type | Measuring Range | Accuracy |
|---|---|---|---|
| VOCs Detector | ppbRAE 3000 | 1 ppb~10,000 ppm | 1 ppb |
| Thermohygrograph | Rotronic | −50~100 °C, 0~100% RH | ±0.8% RH, ±0.1 °C |
| Mass Flow meter 1 | ACU10FA-LC | 0~2 L/min | 1% of full scale |
| Mass Flow meter 2 | ACU10FA-LC | 0~10 L/min | 1% of full scale |
| Parameter | Values from the Characterization of the Model | Data of the Characterization of Activated Carbon Used in the Experiment |
|---|---|---|
| Porosity (%) | 53.38 | 50.10 |
| Microporous porosity (%) | 24.28 | 17.49 |
| Mesoporous porosity (%) | 28.03 | 32.61 |
| Apparent density (g/cm3) | 0.54 | 0.51 |
| Specific surface area (m2/g) | 1315.49 | 1143.9 |
| Average pore size (nm) | 1.80 | 1.79 |
| Adsorbate | Relative Humidity (%) | Simulated Adsorption Capacity (mg/g) | Experimental Adsorption Capacity (mg/g) | Relative Error (%) |
|---|---|---|---|---|
| TCE | 0 | 180.85 | 200.49 | 9.80 |
| TCE | 50 | 152.09 | 157.38 | 3.36 |
| PCE | 0 | 402.60 | 368.16 | 9.36 |
| PCE | 50 | 276.71 | 257.56 | 7.43 |
| Item | Unit | Value |
|---|---|---|
| Average size of activated carbon particle | mm | 0.75 |
| Pore volume of adsorption bed | cm3/g | 0.5 |
| Density of adsorption bed | kg/m3 | 509 |
| Density of activated carbon | kg/m3 | 1018 |
| Porosity of adsorption bed | (-) | 0.5 |
| Porosity of activated carbon | (-) | 0.509 |
| Physical Field | Initial Value | Inlet Value | Outlet Value |
|---|---|---|---|
| Velocity | = 0 | = 0.53 m/s | p = 1 atm |
| Temperature | = 296 K | = 296 K | |
| Gas-phase concentration | = 0 | = 9 ppm | |
| Solid-phase concentration | = 0 | = 0 |
| Compound | Relative Humidity (%) | Main Peak | Secondary Peak | ||
|---|---|---|---|---|---|
| r (Å) | g (r) (-) | r (Å) | g (r) (-) | ||
| TCE | 0 | 4.73 | 1.88 | 7.65 | 1.50 |
| 10 | 4.91 | 1.90 | 7.31 | 1.56 | |
| 30 | 4.45 | 1.91 | 7.51 | 1.64 | |
| 50 | 4.65 | 1.88 | 7.59 | 1.57 | |
| 70 | 4.77 | 1.91 | 7.75 | 1.56 | |
| 90 | 4.53 | 1.96 | 7.59 | 1.64 | |
| PCE | 0 | 4.53 | 1.37 | 7.83 | 1.33 |
| 10 | 4.51 | 1.50 | 7.71 | 1.34 | |
| 30 | 4.65 | 1.50 | 7.69 | 1.40 | |
| 50 | 4.65 | 1.50 | 7.79 | 1.39 | |
| 70 | 4.49 | 1.51 | 7.79 | 1.36 | |
| 90 | 4.35 | 1.54 | 7.89 | 1.38 | |
Disclaimer/Publisher’s Note: The statements, opinions and data contained in all publications are solely those of the individual author(s) and contributor(s) and not of MDPI and/or the editor(s). MDPI and/or the editor(s) disclaim responsibility for any injury to people or property resulting from any ideas, methods, instructions or products referred to in the content. |
© 2026 by the authors. Licensee MDPI, Basel, Switzerland. This article is an open access article distributed under the terms and conditions of the Creative Commons Attribution (CC BY) license.
Share and Cite
Sheng, Y.; Dong, Q.; Zhang, S. From Lab to Real-World: Unraveling Coconut Shell Activated Carbon’s Efficiency for Low-Concentration TCE/PCE in Indoor Air. Sustainability 2026, 18, 570. https://doi.org/10.3390/su18020570
Sheng Y, Dong Q, Zhang S. From Lab to Real-World: Unraveling Coconut Shell Activated Carbon’s Efficiency for Low-Concentration TCE/PCE in Indoor Air. Sustainability. 2026; 18(2):570. https://doi.org/10.3390/su18020570
Chicago/Turabian StyleSheng, Ying, Qingqing Dong, and Saiqichen Zhang. 2026. "From Lab to Real-World: Unraveling Coconut Shell Activated Carbon’s Efficiency for Low-Concentration TCE/PCE in Indoor Air" Sustainability 18, no. 2: 570. https://doi.org/10.3390/su18020570
APA StyleSheng, Y., Dong, Q., & Zhang, S. (2026). From Lab to Real-World: Unraveling Coconut Shell Activated Carbon’s Efficiency for Low-Concentration TCE/PCE in Indoor Air. Sustainability, 18(2), 570. https://doi.org/10.3390/su18020570
