Spatial Patterns and Drivers of Ecosystem Service Values in the Qinghai Lake Basin, Northwestern China (2000–2020)
Abstract
1. Introduction
2. Data and Methods
2.1. Overview of the Study Area
2.2. Data Sources
2.3. Research Methods
2.3.1. Land Use Transition Matrix
2.3.2. ESV Assessment
2.3.3. Grid-Cell Method
2.3.4. Spatial Correlation Analysis
- (1)
- Global Moran’s I Index
- (2)
- Local Moran’s I Index
2.3.5. Geographic Detector
3. Results and Discussion
3.1. Spatiotemporal Changes in Land Use and ESV
3.1.1. Spatiotemporal Changes in Land Use
3.1.2. Spatiotemporal Variations in ESV
3.2. Spatial Pattern Evolution of ESV
3.2.1. Spatial Heterogeneity of ESV
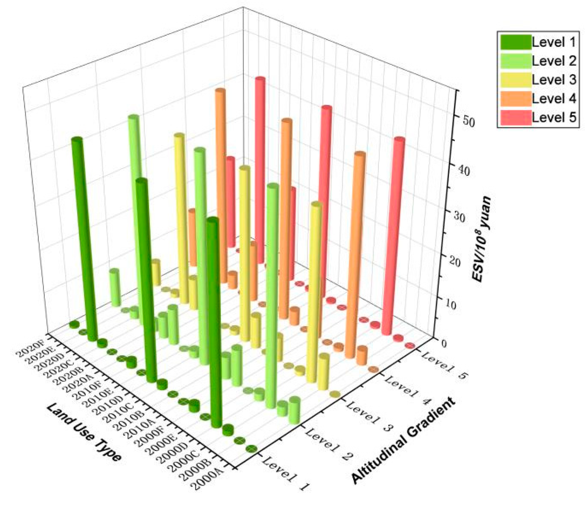
3.2.2. ESV Altitude Gradient Variatio
3.2.3. Spatial Correlation Analysis of ESV
- (1)
- Global Spatial Correlation Changes
- (2)
- Local Spatial Correlation Variations
3.3. Driving Factors Analysis of ESV
3.4. Discussion
4. Conclusions
- (1)
- During 2000–2020, the total ESV of the Qinghai Lake Basin increased from USD 30.30 × 108 to USD 30.75 × 108, representing a growth of 0.31%. The significant expansion of water area served as the key driver of this slight overall increase in ESV. The composition of ESV was dominated by regulating services (accounting for >67.42%) and was highly concentrated in two ecosystem types: water bodies (contribution rate > 53.66%) and grassland (contribution rate > 40.56%). This confirms the core role of water bodies as the “blue gem of the plateau” and grassland as the “ecological foundation” in maintaining regional ecological security.
- (2)
- The spatial differentiation of ESV within the Qinghai Lake Basin displays a pronounced pattern typified by “high values in the lake center and low values in the surrounding areas,” suggesting that the lake body and its riparian zones should be prioritized as the “core area” for focused conservation to promote the continuous enhancement of basin-wide ESV. Meanwhile, the spatial characteristics of ESV, which shows “higher values in the southeast and lower values in the northwest” and is strongly correlated with elevation, provides a quantitative basis for the differentiated functional zoning of the “four zones” within the national park. The vertical zonality driven by topography and climate, combined with the spatial differentiation of human activities, serves as the core driver shaping this spatial pattern. It is recommended that, on the basis of strict protection, scientific planning be implemented for the high-high ESV clusters in low-elevation southeastern areas (such as the lakeside regions of Gonghe County) to develop ecotourism, while ecological restoration and conservation projects should be prioritized in the low-low ESV clusters in high-elevation northwestern areas (such as parts of Tianjun County), aiming to achieve differentiated management across varying elevation zones.
- (3)
- Given the significant synergistic enhancement effect of natural and anthropogenic factors on the spatial differentiation of ESV, the complexity of ESV driving mechanisms is highlighted. An active effort should be made to establish a watershed monitoring belt around the core area of the national park as an ecological buffer zone, which, through this “one-ring”, will systematically monitor and mitigate anthropogenic pressures from peripheral areas on the ecosystem. On this basis, the vertical management system of “administration bureau—sub-management bureaus—conservation stations” (the “multiple points”) should be further improved to support the high-quality development of the Qinghai Lake National Park and promote regional ecological conservation and sustainable development.
- (4)
- To deepen the understanding of ES mechanisms in alpine inland basins and enhance the foresight of management decisions, future research should focus on the following directions: first, developing a dynamic assessment framework that integrates future climate change scenarios and land cover change models (FLUS) to simulate the evolution trends of ESV and ecological security patterns under different development pathways; second, founded on the spatial differentiation characteristics of ESV revealed in this research, conducting research on priority zoning for ecological compensation and quantitative compensation standards, thereby providing scientific grounds for formulating accurate and effective ecological compensation schemes for river basins.
Author Contributions
Funding
Institutional Review Board Statement
Informed Consent Statement
Data Availability Statement
Conflicts of Interest
Abbreviations
| ES | Ecosystem service |
| ESV | Ecosystem service value |
| LUCC | Land use and land cover change |
References
- Wang, Z.; Xie, J.; Liu, X.; Li, Q.; Li, X. Study on the Relationship between Vegetation Cover and Water Area in the Qinghai Lake Basin. Environ. Sci. Bull. 2019, 38, 10–14. [Google Scholar]
- Shi, X. Qinghai National Park Development Continues to Lead Nationally; Xining Evening News: Xining, China, 2025. [Google Scholar] [CrossRef]
- Jiang, H.; Wu, Q. Assessment of Ecosystem Service Values and Spatiotemporal Evolution Characteristics in Jiangsu Province Based on LUCC. Resour. Environ. Yangtze Basin 2021, 30, 2712–2725. [Google Scholar]
- Liu, R.; Cheng, J. Geographical Definition and Major Ecological Issues of the Yellow River “Ji-Zi-Wan” Bend. Chin. J. Appl. Ecol. 2025, 36, 383–394. [Google Scholar] [CrossRef]
- Li, Q.; Wang, Y.; Zhang, H.; Chai, Z.; Xiong, B. Types, Characteristics, and Ecological Restoration Strategies of Fragile Eco-geological Environments in the Yunnan Plateau. Carsologica Sin. 2024, 43, 1261–1274. [Google Scholar] [CrossRef]
- Liu, J. Research on the Ecological Value and Environmental Protection of Qinghai Lake. Water Resour. Econ. 2007, 4, 1–2+6+81. [Google Scholar]
- Costanza, R.; Groot, R.; Sutton, P.; Ploeg, S.; Anderson, S.; Kubiszewski, I.; Farber, S.; Turner, R.K. Changes in the Global Value of Ecosystem Services. Glob. Environ. Change 2014, 26, 152–158. [Google Scholar] [CrossRef]
- Xie, G.; Zhang, C.; Zhang, L.; Chen, W.; Li, S. Improvement of the Evaluation Method for Ecosystem Service Value Based on Per Unit Area. J. Nat. Resour. 2015, 30, 1243–1254. [Google Scholar] [CrossRef]
- Gao, Y.; Shen, Z.; Zhang, Z.; Xiong, J. Research Progress on Socio-Ecosystem Coupling Simulation from an Ecosystem Services Perspective. Acta Geogr. Sin. 2024, 79, 134–146. [Google Scholar]
- Zheng, H.; Wu, T.; Ouyang, Z.; Polasky, S.; Ruckelshaus, M.; Wang, L.; Xiao, Y.; Gao, X.; Li, C.; Daily, G.C. Gross Ecosystem Product (GEP): Quantifying Nature for Environmental and Economic Policy Innovation. Ambio 2023, 52, 1952–1967. [Google Scholar] [CrossRef] [PubMed]
- Liu, Y.; Fu, B.; Zhao, W.; Wang, S. Ecological Asset Accounting and Ecosystem Service Assessment: Conceptual Convergence and Key Directions. Acta Ecol. Sin. 2018, 38, 8267–8276. [Google Scholar]
- Li, R.; Li, H.; Wu, F.; Zhao, M.; Wang, S.; Sun, X. Spatial Patterns and Driving Forces of Ecosystem Services in the Qinghai Lake Basin. Acta Ecol. Sin. 2024, 33, 301–309. [Google Scholar] [CrossRef]
- Wang, R.; Pan, H.; Liu, Y.; Tang, Y.; Zhang, Z.; Ma, H. Spatiotemporal Evolution and Driving Forces of Ecosystem Service Values in Leshan City Based on Dynamic Equivalent. Acta Ecol. Sin. 2022, 42, 76–90. [Google Scholar]
- Yan, Y.; Zhu, J.; Wu, G.; Zhan, Y. Research Progress on Demand, Supply, and Consumption of Ecosystem Services. Acta Ecol. Sin. 2017, 37, 2489–2496. [Google Scholar]
- Wang, X.; Yao, W.; Feng, X.; Jia, Z.; Zhang, X.; Ma, J.; Zhou, J.; Tu, Y.; Sun, Z. Changes in Ecosystem Service Supply and Demand and Their Driving Factors on the Qinghai-Tibet Plateau. Acta Ecol. Sin. 2023, 43, 6968–6982. [Google Scholar] [CrossRef]
- Zhang, B.; Shi, Y.; Wang, S. Research Progress on Driving Mechanisms of Ecosystem Service Changes. J. Resour. Ecol. 2022, 13, 68–79. [Google Scholar]
- Costanza, R.; d’Arge, R.; de Groot, R.; Farber, S.; Grasso, M.; Hannon, B.; Limburg, K.; Naeem, S.; O’Neill, R.V.; Paruelo, J. The Value of the World’s Ecosystem Services and Natural Capital. Nature 1997, 387, 253–260. [Google Scholar] [CrossRef]
- Xie, G.; Lu, C.; Leng, Y.; Zheng, D.; Li, S. Ecological Assets Valuation of the Tibetan Plateau. J. Nat. Resour. 2003, 18, 189–196. [Google Scholar]
- Chen, W.; Li, J.; Zhu, L. Spatial Heterogeneity and Sensitivity Analysis of Ecosystem Services Value in the Middle Yangtze River Region. J. Nat. Resour. 2019, 34, 325–337. [Google Scholar] [CrossRef]
- Zhang, J.; Yang, W.; Li, J.; Shen, S.; Ma, L.; Chen, L. Spatiotemporal Variations in Ecosystem Service Values and Their Driving Forces in Beijing. Acta Ecol. Sin. 2025, 45, 306–318. [Google Scholar] [CrossRef]
- Shou, F.; Li, Z.; Huang, L.; Huang, S.; Yan, L. Spatial Differentiation Characteristics and Ecological Pattern Classification Based on Ecosystem Service Supply and Demand Evaluation: A Case Study of the Yangtze River Delta Urban Agglomeration. Acta Ecol. Sin. 2020, 40, 2813–2826. [Google Scholar]
- Chen, L.; Mu, Z.; Yang, R.; Zhu, X.; Song, Z.; Wang, T. Spatiotemporal Evolution and Driving Factors of Ecosystem Service Values in the Mainstream Tarim River Basin. Environ. Sci. 2025, 1–17. [Google Scholar] [CrossRef]
- Deng, C.; Zhong, X.; Xie, B.; Wan, Y.; Song, X. Spatial and Temporal Changes of Land Ecosystem Service Value in Dongting Lake Area in 1995–2015. Geogr. Res. 2019, 38, 844–855. [Google Scholar]
- Lin, X.; Xu, W.; Liao, Y.; Shao, E. Spatiotemporal Variation of Farmland Compensation in Fujian Province and Its Impact on Ecosystem Service Value. Acta Ecol. Sin. 2024, 33, 1837–1848. [Google Scholar] [CrossRef]
- Liu, G.; Zhang, L.; Zhang, Q. Spatial and Temporal Dynamics of Land Use and Its Influence on Ecosystem Service Value in Yangtze River Delta. Acta Ecol. Sin. 2014, 34, 3311–3319. [Google Scholar] [CrossRef]
- Liu, X.; Zhang, X.; Tian, H.; Yuan, M.; He, L. Trade-offs/Synergies and Driving Factors of Ecosystem Service Values in the Wuhan Metropolitan Area. J. Soil Water Conserv. 2025, 33, 1–13. [Google Scholar] [CrossRef]
- Wang, Y.; Liu, C. Spatial Effects of Changsha Tourism Development on Ecosystem Service Values. J. Nat. Sci. Hunan Norm. Univ. 2023, 46, 21–30. [Google Scholar]
- Ding, L.; Wang, Q.; Chen, X.; Tang, J. The Responses of Ecosystem Services to Land-Use Change in Dianshan Lake Area from 1984 to 2014. Acta Ecol. Sin. 2019, 39, 2973–2985. [Google Scholar] [CrossRef]
- Zhang, N. Dynamic Changes in Land Use and Ecosystem Service Values in the Altai Mountains from 2000 to 2020. Bull. Soil Sci. 2022, 53, 1286–1294. [Google Scholar] [CrossRef]
- Hu, Y.; Zhang, M. Research on Ecological Value Assessment and Ecological Compensation Standards for Wetlands in China. Ecol. Econ. 2024, 40, 135–142. [Google Scholar]
- Lang, Y.; Song, W. Quantifying and Mapping the Responses of Selected Ecosystem Services to Projected Land Use Changes. Ecol. Indic. 2019, 102, 186–198. [Google Scholar] [CrossRef]
- Li, J.; Yang, D.; Yang, F.; Zhang, Y.; Wang, H. Impact of Landscape Patterns on the Matching of Ecosystem Service Supply and Demand in Tianjin under Urbanization. Acta Ecol. Sin. 2024, 44, 4987–5002. [Google Scholar]
- Sun, D.; Liang, Y.; Liu, L. Impact of Land Use Change in Guizhou Province from 2000 to 2020 on Ecosystem Service Values. Resour. Environ. Yangtze Basin 2024, 33, 547–560. [Google Scholar]
- Tian, C.; Zheng, R.; Li, Z.; Yao, L. Analysis of Trade-off Synergies and Driving Mechanisms of Ecosystem Services in the Shaanxi Section of the Yellow River Basin. Environ. Sci. 2025, 1–25. [Google Scholar] [CrossRef]
- Qian, M.; Su, X.; Li, Y.; Wen, C. Ecosystem Service Value Effects of Land Use Transformation in the Upper Yangtze River Basin from a “Three Lives” Spatial Perspective. Three Gorges Ecol. Environ. Monit. 2025, 1–19. [Google Scholar]
- Li, X.; Zou, Y.; Li, F.; Xie, Y.; Zeng, J.; Hou, Z. Changes in Wetland Area and Ecosystem Service Value in Changsha City from 1991 to 2020 and Their Driving Factors. Wetl. Sci. 2025, 23, 435–446. [Google Scholar] [CrossRef]
- Wang, J.; Xu, C. Geodetector: Principle and Prospective. Acta Geogr. Sin. 2017, 72, 116–134. [Google Scholar]
- Zhang, C.; Li, Y. Regional Ecosystem Service Coupling Situation and Its Driving Forces: An Integrated Analysis Based on GeoDetector and fsQCA. Acta Ecol. Sin. 2025, 45, 3849–3861. [Google Scholar] [CrossRef]
- Chen, T.; Huang, Q.; Wang, Q. Differentiation Characteristics and Driving Force Analysis of Ecosystem Service Relationships in Karst Mountainous Areas Based on Geodetector: A Case Study of Guizhou Province. Acta Ecol. Sin. 2022, 42, 6959–6972. [Google Scholar]
- Huang, Y.; Cao, Y.; Wu, J.; Zhou, Z. Interactive Effects and Thresholds of Driving Factors for Ecosystem Services in the Yangtze River Delta. Acta Ecol. Sin. 2024, 44, 9956–9973. [Google Scholar] [CrossRef]
- Li, H.; Li, R.; Yan, X.; Wu, F.; Gao, Z.; Tan, Y. Ecological Risk Assessment and Ecological Function Zoning in the Qinghai Lake Basin. Acta Ecol. Sin. 2023, 32, 1185–1195. [Google Scholar]
- Li, D.; Jiang, Z.; Wang, Z. Spatial Characteristics and GAP Analysis of Biodiversity in the Qinghai Lake Region. J. Nat. Resour. 1999, 14, 48–55. [Google Scholar]
- Mei, Z.; Zhang, Y.; Huang, X.; Liu, Z. Ecological Risk Assessment Based on Ecosystem Services and Analysis of Influencing Factors of Spatial Heterogeneity in the Qinghai Lake Basin. Acta Ecol. Sin. 2024, 44, 4973–4986. [Google Scholar] [CrossRef]
- Liu, M.; Zhong, J.; Wang, B.; Mi, W. Spatiotemporal Variation and Driving Factors of Water Yield Function in the Qinghai Lake Basin Based on the InVEST Model. Sci. Geogr. Sin. 2023, 43, 411–422. [Google Scholar] [CrossRef]
- Han, Y. Impacts of Climate and Landscape Pattern Changes on Ecosystem Services in the Qinghai Lake Basin. Ph.D. Thesis, Qinghai Normal University, Xining, China, 2021. [Google Scholar] [CrossRef]
- Wu, J.; Xiang, Y.; Dai, C.; Wan, D. Spatiotemporal Evolution Characteristics of Ecosystem Service Values and Land Use Carbon Emissions in the Dongting Lake Region, Hunan Province. J. Hunan Ecol. Sci. 2025, 12, 73–81. [Google Scholar]
- Nagendra, H.; Munroe, D.K.; Southworth, J. From Pattern to Process: Landscape Fragmentation and the Analysis of Land Use/Land Cover Change. Agric. Ecosyst. Environ. 2004, 101, 111–115. [Google Scholar] [CrossRef]
- Liu, Q.; Li, H.; Tian, H.; Wei, N.; Wu, Z.; Li, L.; Chang, Q. Land Use/Cover Change and Sustainable Development in the Coastal Zone of Mainland China. Sci. Geogr. Sin. 2024, 44, 1695–1705. [Google Scholar]
- Sun, X.; Wang, L. Simulation of Land Use Change and Spatial Response of Ecosystem Service Value under Multiple Scenarios in the Qinghai Lake Basin. Guizhou For. Sci. Technol. 2025, 53, 41–48. [Google Scholar] [CrossRef]
- Xiong, L.; Shi, X. Impact of Land Use Change on Ecosystem Service Value in Loess Hills: A Case Study of the Changhe River Basin. Res. Soil Water Conserv. 2018, 25, 335–340. [Google Scholar]
- Qi, Q.; Wang, L.; Chen, J.; Wang, B.; He, S.; Han, J.; Li, Z.; Li, K. Interaction between Rapid Urban Expansion and Ecosystem Service Value Trade-off/Synergy in Wuhan City. Sci. Geogr. Sin. 2024, 44, 953–963. [Google Scholar]
- Li, Y.; Liu, J.; Bai, X.; Feng, X.; Qiu, L. Multi-scale Spatial Differentiation of Ecosystem Service Values of the Important Water Conservation Area in the Upper Reaches of the Yangtze River: Patterns, Processes and Driving Forces. Acta Ecol. Sin. 2025, 45, 3062–3078. [Google Scholar]
- Wang, D.; Jing, Y.; Han, S.; Gao, M. Spatiotemporal Relationship Analysis of Land Use Carbon Emissions and Ecosystem Service Values in the South Four Lakes Basin Based on Grid Modeling. Acta Ecol. Sin. 2022, 42, 9604–9614. [Google Scholar]
- Wei, X.; Xin, S.; Zhang, Y.; Long, Y.; Zhang, X. Spatial Difference of Ecological Services and Its Influencing Factors under Different Scales: Taking the Nanchang Urban Agglomeration as an Example. Acta Ecol. Sin. 2023, 43, 7585–7597. [Google Scholar]
- Li, T.; Zhi, R.; Zhang, C. Spatiotemporal Evolution Characteristics and Trade-off Synergy Relationships of Ecosystem Services in the Yanhe River Basin. J. Soil Water Conserv. 2025, 1–13. [Google Scholar]
- Huang, M.; Yue, W.; Fang, B.; Feng, S. Scale Response Characteristics and Geographic Exploration Mechanism of Spatial Differentiation of Ecosystem Service Values in Dabie Mountain Area, Central China from 1970 to 2015. Acta Geogr. Sin. 2019, 74, 1904–1920. [Google Scholar]
- Zhang, C.; Chen, L.; Wang, L.; Song, W.; Yan, Z. Spatiotemporal Heterogeneity and Driving Factors of Ecosystem Service Value in the Yellow River Basin. J. Beijing For. Univ. 2024, 46, 70–81. [Google Scholar]
- Fu, D.; Wei, J. Spatio-temporal Synergy between Ecosystem Service Value and Landscape Ecological Risk in Anhui Province. J. Yunnan Agric. Univ. (Soc. Sci.) 2024, 18, 130–140. [Google Scholar]







| Data Type | Data Source | Year | Spatial Resolution | Unit |
|---|---|---|---|---|
| Elevation | Geospatial Data Cloud (https://www.gscloud.cn/) (Accessed: 31 August 2025) | 2000–2020 | 90 m | m |
| Land Use | The Data Platform for Resources and Environmental Sciences, Chinese Academy of Sciences (http://www.resdc.cn/) (Accessed: 2 September 2025) | 2000–2020 | 1 km | km2 |
| Precipitation | National Data Center for Earth System Science (http://www.geodata.cn/) (Accessed: 5 September 2025) | 2000–2020 | 1 km | mm |
| Temperature | National Data Center for Earth System Science (http://www.geodata.cn/) (Accessed: 5 September 2025) | 2000–2020 | 1 km | °C |
| GDP per Unit Area | National Data Center for Earth System Science (http://www.geodata.cn/) (Accessed: 6 September 2025) | 2000–2020 | 1 km | USD/km2 |
| Road Density | National Platform for Geographic Information Resources and Services (https://www.webmap.cn/) (Accessed: 2 September 2025) | 2000–2020 | 1 km | km/km2 |
| Population Density | WorldPop Global Population Distribution Dataset (https://hub.worldpop.org/) (Accessed: 2 September 2025) | 2000–2020 | 1 km | persons/km2 |
| Grain Yield | Qinghai Province Statistical Yearbook (Accessed: 9 September 2025) | 2000–2020 | / | kg/hm2 |
| Grain Price | China Agricultural Product Cost and Revenue Statistical Yearbook (2021) (Accessed: 9 September 2025) | 2000–2020 | / | USD/kg |
| Ecosystem Classification | Supply Services | Adjustment Services | Support Services | Cultural Services | |||||||
|---|---|---|---|---|---|---|---|---|---|---|---|
| Level 1 Classification | Food Production | Raw Material Production | Water Supply | Gas Regulation | Climate Control | Purify the Environment | Hydrological Regulation | Soil Conservation | Maintain Nutrient Cycling | Biodiversity | Landscape Aesthetics |
| Cultivated land | 0.85 | 0.40 | 0.02 | 0.67 | 0.36 | 0.10 | 0.27 | 1.03 | 0.12 | 0.13 | 0.06 |
| Forest land | 0.19 | 0.43 | 0.22 | 1.41 | 4.23 | 1.28 | 3.35 | 1.72 | 0.13 | 1.57 | 0.69 |
| Grassland | 0.23 | 0.34 | 0.19 | 1.21 | 3.19 | 1.05 | 2.34 | 1.47 | 0.11 | 1.34 | 0.59 |
| Water bodies | 0.40 | 0.12 | 5.23 | 0.48 | 1.42 | 2.86 | 54.69 | 0.47 | 0.04 | 1.28 | 0.99 |
| Built-up land | 0 | 0 | 0 | 0 | 0 | 0 | 0 | 0 | 0 | 0 | 0 |
| Unused land | 0.01 | 0.03 | 0.02 | 0.11 | 0.10 | 0.31 | 0.21 | 0.13 | 0.01 | 0.12 | 0.05 |
| Ecological Service Functions | 2000 | 2010 | 2020 | |||
|---|---|---|---|---|---|---|
| ESV/108 USD | Percentage/% | ESV/108 USD | Percentage/% | ESV/108 USD | Percentage/% | |
| Supply Services | 2.66 | 8.79 | 2.66 | 8.80 | 2.71 | 8.82 |
| Regulation Services | 20.43 | 67.42 | 20.41 | 67.42 | 20.81 | 67.66 |
| Support Services | 4.15 | 13.72 | 4.15 | 13.72 | 4.17 | 13.54 |
| Cultural Services | 3.05 | 10.07 | 3.05 | 10.06 | 3.06 | 9.98 |
| Total | 30.30 | 100 | 30.29 | 100 | 30.75 | 100 |
| Year | ESV and Proportion | Cultivated Land | Forest Land | Grassland | Water Bodies | Built-Up Land | Unused Land | Total |
|---|---|---|---|---|---|---|---|---|
| 2000 | ESV/108 USD | 0.13 | 1.09 | 12.52 | 16.25 | 0 | 0.31 | 30.30 |
| Percentage/% | 0.40 | 3.60 | 41.29 | 53.66 | 0.00 | 1.04 | 100 | |
| 2010 | ESV/108 USD | 0.13 | 1.09 | 12.50 | 16.25 | 0 | 0.31 | 30.29 |
| Percentage/% | 0.42 | 3.60 | 41.25 | 53.68 | 0.00 | 1.04 | 100 | |
| 2020 | ESV/108 USD | 0.13 | 1.09 | 12.47 | 16.75 | 0 | 0.31 | 30.75 |
| Percentage/% | 0.41 | 3.55 | 40.56 | 54.48 | 0.00 | 1.00 | 100 |
| Index | 2000 | 2010 | 2020 |
|---|---|---|---|
| Moran’s I | 0.883 | 0.883 | 0.889 |
| Z-Value | 148.328 | 148.339 | 150.136 |
| p-Value | 0.001 | 0.001 | 0.001 |
| Year | X1 | X2 | X3 | X4 | X5 | X6 | ||||||
|---|---|---|---|---|---|---|---|---|---|---|---|---|
| q | p | q | p | q | p | q | p | q | p | q | p | |
| 2000 | 0.030 | 0.000 | 0.026 | 0.000 | 0.017 | 0.047 | 0.053 | 0.000 | 0.021 | 0.003 | 0.055 | 0.000 |
| 2010 | 0.030 | 0.000 | 0.027 | 0.000 | 0.018 | 0.003 | 0.056 | 0.000 | 0.017 | 0.108 | 0.055 | 0.000 |
| 2020 | 0.032 | 0.000 | 0.028 | 0.000 | 0.008 | 0.339 | 0.027 | 0.000 | 0.018 | 0.128 | 0.057 | 0.000 |
Disclaimer/Publisher’s Note: The statements, opinions and data contained in all publications are solely those of the individual author(s) and contributor(s) and not of MDPI and/or the editor(s). MDPI and/or the editor(s) disclaim responsibility for any injury to people or property resulting from any ideas, methods, instructions or products referred to in the content. |
© 2026 by the authors. Licensee MDPI, Basel, Switzerland. This article is an open access article distributed under the terms and conditions of the Creative Commons Attribution (CC BY) license.
Share and Cite
Ma, Y.; Chen, K.; Han, Y.; Zhou, S.; Li, X.; Zhu, S.; Zhao, H. Spatial Patterns and Drivers of Ecosystem Service Values in the Qinghai Lake Basin, Northwestern China (2000–2020). Sustainability 2026, 18, 1141. https://doi.org/10.3390/su18021141
Ma Y, Chen K, Han Y, Zhou S, Li X, Zhu S, Zhao H. Spatial Patterns and Drivers of Ecosystem Service Values in the Qinghai Lake Basin, Northwestern China (2000–2020). Sustainability. 2026; 18(2):1141. https://doi.org/10.3390/su18021141
Chicago/Turabian StyleMa, Yuyu, Kelong Chen, Yanli Han, Shijia Zhou, Xingyue Li, Shuchang Zhu, and Hairui Zhao. 2026. "Spatial Patterns and Drivers of Ecosystem Service Values in the Qinghai Lake Basin, Northwestern China (2000–2020)" Sustainability 18, no. 2: 1141. https://doi.org/10.3390/su18021141
APA StyleMa, Y., Chen, K., Han, Y., Zhou, S., Li, X., Zhu, S., & Zhao, H. (2026). Spatial Patterns and Drivers of Ecosystem Service Values in the Qinghai Lake Basin, Northwestern China (2000–2020). Sustainability, 18(2), 1141. https://doi.org/10.3390/su18021141

