Performance of Sustainable Alkali-Activated Mortar Incorporating Natural Pozzolan, Waste Glass Powder, and Polypropylene Fibers
Abstract
1. Introduction
2. Materials and Methods
2.1. Material Procurement and Preparation
2.2. Experimental Design
2.3. Sample Preparation, Mixing, Casting, and Curing
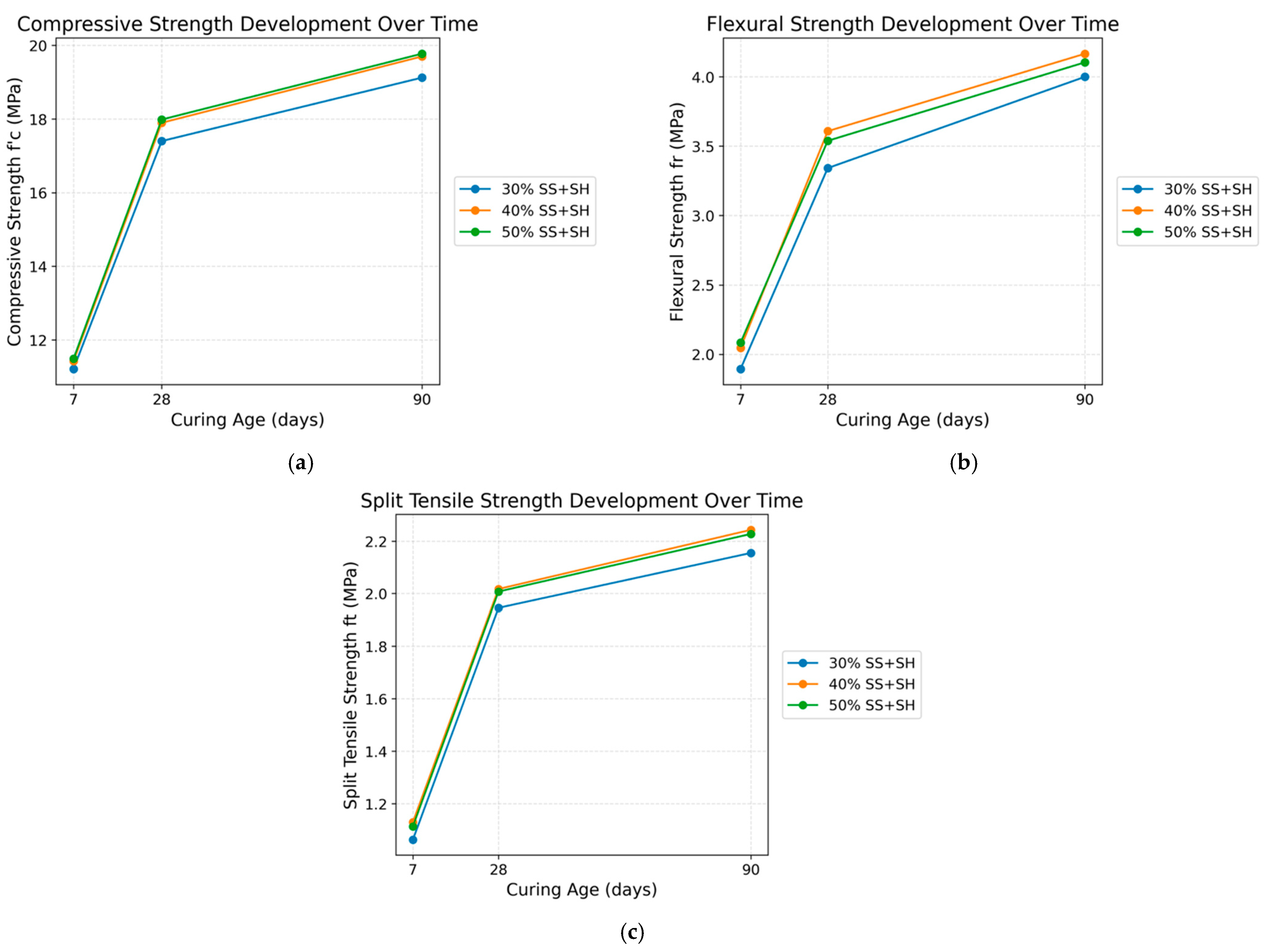
3. Results and Discussions
3.1. Strength Development with Curing Time
3.2. Strength vs. Mix Variables
3.3. Effect of Alkali Activator Content (SS + SH) on Mechanical Strength
3.4. Summary of System Behavior Through a Heatmap
4. Conclusions
- NP enhances strength up to 10% replacement of cement, after which dilution effects lower early-age strength. The contribution at later ages aligns with its reduction in pozzolanic reactivity.
- A more steady and significant strengthening effect is observed when replacing cement with WGP. Lower levels of WGP (10–20%) maintain acceptable mechanical performance while enabling cement reduction for sustainability purposes.
- The activator solution (SS + SH) demonstrates very high effectiveness on f’c, fr, and ft of mortar containing NP and WGP as partial replacements for cement. The highest strengths were achieved at 40% of SS + SH by weight of the binder, with SH at a 10 M solution and an SS/SH ratio of 2.5. This confirms that dissolution, gel formation, and matrix densification are regulated by the concentration of alkaline solutions.
- PPF does not participate in any chemical reactions; instead, it acts as a reinforcing agent that increases crack-bridging and improves post-cracking toughness, especially at a 0.5% dosage by weight of the total mix.
- The correlation analysis clearly shows that cement content and SS + SH level have the strongest positive impact on strength, while NP and WGP exhibit non-linear, dosage-sensitive behavior, highlighting the need for a balanced mix design.
- The combined use of NP, WGP, and PPF showed mechanical synergy, maintaining strength and ductility while replacing cement content with NP + WGP up to 30%, thus promoting sustainable construction methods.
5. Recommendations for Future Work
- Assess the durability of the material with respect to resistance to chloride and sulfate attack, carbonation, and freeze–thaw cycles.
- Utilize XRD, SEM–EDS, FTIR, and NMR techniques to conduct microstructural analysis to confirm reaction mechanisms.
- Extend the curing period to exceed 90 days and incorporate conditions analogous to those encountered in the field.
- Assess the performance of structural components such as beams, slabs, and repair overlays through testing procedures.
- Employ machine learning and multi-objective optimization to enhance the mix design.
- Consider further exploration of industrial by-products, such as slag, rice husk ash (RHA), red mud, and metakaolin. Conduct a comprehensive life-cycle assessment (LCA) to determine the extent of potential carbon emission reductions. CO2 footprint of sodium silicate/hydroxide production should be evaluated in future work to determine the net environmental benefit.
Author Contributions
Funding
Institutional Review Board Statement
Informed Consent Statement
Data Availability Statement
Acknowledgments
Conflicts of Interest
Abbreviations
| NP | Natural pozzolan |
| WGP | Waste glass powder |
| SCMs | Supplementary cementitious materials |
| SS + SH | Sodium silicate + sodium hydroxide |
| PPF | Polypropylene fiber |
| OPC | Ordinary Portland Cement |
| f’c | Compressive strength |
| fr | Flexural strength |
| ft | Tensile strength (or split tensile strength) |
| MPa | Megapascal |
| IEA | International Environmental Agency |
| Gt | Gigaton |
| CO2 | Carbon dioxide |
| ASTM | American Society for Testing and Materials |
| ASR | Alkali–silica reaction |
| M | Molarity |
| NaOH | Sodium hydroxide |
| FA | Fly ash |
| W/B | Water-to-binder ratio |
References
- Cavalett, O.; Watanabe, M.D.B.; Voldsund, M.; Roussanaly, S.; Cherubini, F. Paving the Way for Sustainable Decarbonization of the European Cement Industry. Nat. Sustain. 2024, 7, 568–580. [Google Scholar] [CrossRef]
- Cement—Analysis—IEA. Available online: https://www.iea.org/reports/cement-3 (accessed on 1 October 2025).
- Bărbulescu, A.; Hosen, K. Cement Industry Pollution and Its Impact on the Environment and Population Health: A Review. Toxics 2025, 13, 587. [Google Scholar] [CrossRef]
- Ige, O.E.; Von Kallon, D.V.; Desai, D. Carbon Emissions Mitigation Methods for Cement Industry Using a Systems Dynamics Model. Clean Technol. Environ. Policy 2024, 26, 579–597. [Google Scholar] [CrossRef]
- Miller, S.A.; John, V.M.; Pacca, S.A.; Horvath, A. Carbon Dioxide Reduction Potential in the Global Cement Industry by 2050. Cem. Concr. Res. 2018, 114, 115–124. [Google Scholar] [CrossRef]
- Yang, K.H.; Jung, Y.B.; Cho, M.S.; Tae, S.H. Effect of Supplementary Cementitious Materials on Reduction of CO2 Emissions from Concrete. J. Clean. Prod. 2015, 103, 774–783. [Google Scholar] [CrossRef]
- Xiong, L.; Maltseva, O.; Fernandez-Jimenez, A.; Wan, Z.; Palomo, A. Transforming Landfilled Coal Ash in Ultralow Clinker Binders. J. Am. Ceram. Soc. 2025, 108, e20661. [Google Scholar] [CrossRef]
- Pandolfi Balbi, E.; Comodi, P.; Cambi, C.; Fastelli, M.; Corradini, A.; Montanari, C.; Zucchini, A.; Cerni, G.; Bou Farhat, H.; Bocci, C.; et al. Wood Biomass Ash, Municipal Solid Waste Ash, and Recycled Concrete from Construction Demolition Waste as Supplementary Cementitious Materials in Fine Graded Granular Mixtures. Constr. Build. Mater. 2025, 498, 144016. [Google Scholar] [CrossRef]
- Marandi, N.; Shirzad, S. Sustainable Cement and Concrete Technologies: A Review of Materials and Processes for Carbon Reduction. Innov. Infrastruct. Solut. 2025, 10, 408. [Google Scholar] [CrossRef]
- Barbhuiya, S.; Das, B.B.; Adak, D.; Kapoor, K.; Tabish, M. Low Carbon Concrete: Advancements, Challenges and Future Directions in Sustainable Construction. Discov. Concr. Cem. 2025, 1, 3. [Google Scholar] [CrossRef]
- Padavala, A.B.; Potharaju, M.; Kode, V.R. Mechanical Properties of Ternary Blended Mix Concrete of Fly Ash and Silica Fume. Mater. Today Proc. 2020, 43, 2198–2202. [Google Scholar] [CrossRef]
- Mohamed, O. Durability and Compressive Strength of High Cement Replacement Ratio Self-Consolidating Concrete. Buildings 2018, 8, 153. [Google Scholar] [CrossRef]
- Nawaz, M.A.; Ali, B.; Qureshi, L.A.; Usman Aslam, H.M.; Hussain, I.; Masood, B.; Raza, S.S. Effect of Sulfate Activator on Mechanical and Durability Properties of Concrete Incorporating Low Calcium Fly Ash. Case Stud. Constr. Mater. 2020, 13, e00407. [Google Scholar] [CrossRef]
- Hakeem, I.Y.; Agwa, I.S.; Tayeh, B.A.; Abd-Elrahman, M.H. Effect of Using a Combination of Rice Husk and Olive Waste Ashes on High-Strength Concrete Properties. Case Stud. Constr. Mater. 2022, 17, e01486. [Google Scholar] [CrossRef]
- Al-Chaar, G.K.; Alkadi, M.; Asteris, P.G. Natural Pozzolan as a Partial Substitute for Cement in Concrete. Open Constr. Build. Technol. J. 2013, 7, 33–42. [Google Scholar] [CrossRef]
- Taklymi, S.M.Q.; Rezaifar, O.; Gholhaki, M. Investigating the Properties of Bentonite and Kaolin Modified Concrete as a Partial Substitute to Cement. SN Appl. Sci. 2020, 2, 2023. [Google Scholar] [CrossRef]
- Turanli, L.; Uzal, B.; Bektas, F. Effect of Large Amounts of Natural Pozzolan Addition on Properties of Blended Cements. Cem. Concr. Res. 2005, 35, 1106–1111. [Google Scholar] [CrossRef]
- Ahmad, S.; Baghabra Al-Amoudi, O.S.; Khan, S.M.S.; Maslehuddin, M. Effect of Silica Fume Inclusion on the Strength, Shrinkage and Durability Characteristics of Natural Pozzolan-Based Cement Concrete. Case Stud. Constr. Mater. 2022, 17, e01255. [Google Scholar] [CrossRef]
- Kouider Djelloul, O.; Menadi, B.; Kenai, S. The Effect of Slag and Natural Pozzolan on the Rheological and Compressive Strength Properties of Recycled Self-Compacting Mortar. Eur. J. Environ. Civ. Eng. 2024, 28, 3793–3810. [Google Scholar] [CrossRef]
- Oviedo, I.; Pradena, M.; Link, Ó.; Balbo, J.T. Using Natural Pozzolans to Partially Replace Cement in Pervious Concretes: A Sustainable Alternative? Sustainability 2022, 14, 14122. [Google Scholar] [CrossRef]
- Baghabra Al-Amoudi, O.S.; Ahmad, S.; Maslehuddin, M.; Khan, S.M.S. Lime-Activation of Natural Pozzolan for Use as Supplementary Cementitious Material in Concrete. Ain Shams Eng. J. 2022, 13, 101602. [Google Scholar] [CrossRef]
- Saeed, M.K.; Rahman, M.K.; Alfawzan, M.; Basha, S.; Dahish, H.A. Investigating the Potential Use of Date Kernel Ash (DKA) as a Partial Cement Replacement in Concrete. Materials 2022, 15, 8866. [Google Scholar] [CrossRef]
- Dahish, H.A.; Bakri, M.; Alfawzan, M.S. Predicting the Strength of Cement Mortars Containing Natural Pozzolan and Silica Fume Using Multivariate Regression Analysis. Int. J. GEOMATE 2021, 20, 68–76. [Google Scholar] [CrossRef]
- Khan, M.I.; Alhozaimy, A.M. Properties of Natural Pozzolan and Its Potential Utilization in Environmental Friendly Concrete. Can. J. Civ. Eng. 2011, 38, 71–78. [Google Scholar] [CrossRef]
- Specification for Coal Fly Ash and Raw or Calcined Natural Pozzolan for Use in Concrete. 2022. Available online: https://store.astm.org/c0618-22.html (accessed on 1 October 2025).
- Bondar, D.; Lynsdale, C.J.; Milestone, N.B.; Hassani, N.; Ramezanianpour, A.A. Effect of Adding Mineral Additives to Alkali-Activated Natural Pozzolan Paste. Constr. Build. Mater. 2011, 25, 2906–2910. [Google Scholar] [CrossRef]
- Dahish, H.A.; Almutairi, S. Partial Replacement of Sand in Concrete with Available Natural Pozzolan in KSA. Int. Rev. Civ. Eng. 2022, 13, 137–145. [Google Scholar] [CrossRef]
- Senhadji, Y.; Escadeillas, G.; Mouli, M.; Khelafi, H.; Benosman. Influence of Natural Pozzolan, Silica Fume and Limestone Fine on Strength, Acid Resistance and Microstructure of Mortar. Powder Technol. 2014, 254, 314–323. [Google Scholar] [CrossRef]
- Najimi, M.; Ghafoori, N. Engineering Properties of Natural Pozzolan/Slag Based Alkali-Activated Concrete. Constr. Build. Mater. 2019, 208, 46–62. [Google Scholar] [CrossRef]
- Najimi, M.; Ghafoori, N.; Radke, B.; Sierra, K.; Sharbaf, M. Comparative Study of Alkali-Activated Natural Pozzolan and Fly Ash Mortars. J. Mater. Civ. Eng. 2018, 30, 16–18. [Google Scholar] [CrossRef]
- Shukla, A.; Gupta, N.; Gupta, A.; Goel, R.; Kumar, S. Natural Pozzolans a Comparative Study: A Review. IOP Conf. Ser. Mater. Sci. Eng. 2020, 804, 012040. [Google Scholar] [CrossRef]
- Mohammed, Z.M.; Abdulhameed, A.A.; Kazim, H.K. Effect of Alkali—Activated Natural Pozzolan on Mechanical Properties of Geopolymer Concrete. Civ. Environ. Eng. 2022, 18, 312–320. [Google Scholar] [CrossRef]
- Ghrici, M.; Kenai, S.; Meziane, E. Mechanical and Durability Properties of Cement Mortar with Algerian Natural Pozzolana. J. Mater. Sci. 2006, 41, 6965–6972. [Google Scholar] [CrossRef]
- Yetgin, Ş.; Çavdar, A. Study of Effects of Natural Pozzolan on Properties of Cement Mortars. J. Mater. Civ. Eng. 2006, 18, 813–816. [Google Scholar] [CrossRef]
- Pekmezci, B.Y.; Akyüz, S. Optimum Usage of a Natural Pozzolan for the Maximum Compressive Strength of Concrete. Cem. Concr. Res. 2004, 34, 2175–2179. [Google Scholar] [CrossRef]
- Liu, J.C.; Hossain, M.U.; Ng, S.T.; Ye, H. High-Performance Green Concrete with High-Volume Natural Pozzolan: Mechanical, Carbon Emission and Cost Analysis. J. Build. Eng. 2023, 68, 106087. [Google Scholar] [CrossRef]
- Shannagt, M.J.; Yeginobali, A. Properties of pastes, mortars and concretes containing natural pozzolan. Cem. Concr. Res. 1995, 25, 647–657. [Google Scholar] [CrossRef]
- Ezziane, K.; Bougara, A.; Kadri, A.; Khelafi, H.; Kadri, E. Compressive Strength of Mortar Containing Natural Pozzolan under Various Curing Temperature. Cem. Concr. Compos. 2007, 29, 587–593. [Google Scholar] [CrossRef]
- Wahedy, M.N.; Sharbatdar, M.K.; Rezaifar, O. Mechanical, Environmental, and Economic Assessment of Sustainable Cement Mortar Using Afghan Natural Pozzolan as a Partial Replacement for Cement. Constr. Build. Mater. 2023, 386, 131574. [Google Scholar] [CrossRef]
- Dahish, H.A.; Alfawzan, M.S.; Tayeh, B.A.; Abusogi, M.A.; Bakri, M. Effect of Inclusion of Natural Pozzolan and Silica Fume in Cement—Based Mortars on the Compressive Strength Utilizing Artificial Neural Networks and Support Vector Machine. Case Stud. Constr. Mater. 2023, 18, e02153. [Google Scholar] [CrossRef]
- Zeyad, A.M. Effect of Harsh Environment on cement Mortar containing Natural Pozzolans. Case Stud. Constr. Mater. 2024, 20, e02808. [Google Scholar] [CrossRef]
- Zhang, L.; Yue, Y. Influence of Waste Glass Powder Usage on the Properties of Alkali-Activated Slag Mortars Based on Response Surface Methodology. Constr. Build. Mater. 2018, 181, 527–534. [Google Scholar] [CrossRef]
- Li, Q.; Qiao, H.; Li, A.; Li, G. Performance of Waste Glass Powder as a Pozzolanic Material in Blended Cement Mortar. Constr. Build. Mater. 2022, 324, 126531. [Google Scholar] [CrossRef]
- Chen, S.C.; Hu, Y.C.; Gu, L.S.; Lin, W.T.; Wang, S.F.; Korniejenko, K. Study of Mechanical and Microscopic Properties Using Hybridized Waste Glass and Manufactured Sand in Cement Mortar. J. Mater. Res. Technol. 2024, 30, 1768–1785. [Google Scholar] [CrossRef]
- Chen, W.; Liu, D.; Liang, Y. Influence of Ultra Fine Glass Powder on the Properties and Microstructure of Mortars. Fluid Dyn. Mater. Process. 2024, 20, 915–938. [Google Scholar] [CrossRef]
- Jochem, L.F.; Casagrande, C.A.; Onghero, L.; Venâncio, C.; Gleize, P.J.P. Effect of Partial Replacement of the Cement by Glass Waste on Cementitious Pastes. Constr. Build. Mater. 2021, 273, 121704. [Google Scholar] [CrossRef]
- Elsayed, M.; Almutairi, A.D.; Dahish, H.A. Effect of Elevated Temperatures on the Residual Capacity of Rubberized RC Columns Containing Waste Glass Powder. Case Stud. Constr. Mater. 2024, 20, e02944. [Google Scholar] [CrossRef]
- Mirzahosseini, M.; Riding, K.A. Effect of Curing Temperature and Glass Type on the Pozzolanic Reactivity of Glass Powder. Cem. Concr. Res. 2014, 58, 103–111. [Google Scholar] [CrossRef]
- Matos, A.M.; Sousa-Coutinho, J. Durability of Mortar Using Waste Glass Powder as Cement Replacement. Constr. Build. Mater. 2012, 36, 205–215. [Google Scholar] [CrossRef]
- Jain, J.A.; Neithalath, N. Chloride Transport in Fly Ash and Glass Powder Modified Concretes—Influence of Test Methods on Microstructure. Cem. Concr. Compos. 2010, 32, 148–156. [Google Scholar] [CrossRef]
- Elsayed, M.; Almutairi, A.D.; Hussein, M.; Dahish, H.A. Axial Capacity of Rubberized RC Short Columns Comprising Glass Powder as a Partial Replacement of Cement. Structures 2024, 64, 106612. [Google Scholar] [CrossRef]
- Omran, A.; Tagnit-Hamou, A. Performance of Glass-Powder Concrete in Field Applications. Constr. Build. Mater. 2016, 109, 84–95. [Google Scholar] [CrossRef]
- Zheng, K. Pozzolanic Reaction of Glass Powder and Its Role in Controlling Alkali-Silica Reaction. Cem. Concr. Compos. 2016, 67, 30–38. [Google Scholar] [CrossRef]
- Kamali, M.; Ghahremaninezhad, A. An Investigation into the Hydration and Microstructure of Cement Pastes Modified with Glass Powders. Constr. Build. Mater. 2016, 112, 915–924. [Google Scholar] [CrossRef]
- You, I.; Zi, G.; Yoo, D.Y.; Lange, D.A. Durability of Concrete Containing Liquid Crystal Display Glass Powder for Pavement. ACI Mater. J. 2019, 116, 87–94. [Google Scholar] [CrossRef]
- Aliabdo, A.A.; Abd Elmoaty, A.E.M.; Aboshama, A.Y. Utilization of Waste Glass Powder in the Production of Cement and Concrete. Constr. Build. Mater. 2016, 124, 866–877. [Google Scholar] [CrossRef]
- Siad, H.; Lachemi, M.; Sahmaran, M.; Hossain, K.M.A. Effect of Glass Powder on Sulfuric Acid Resistance of Cementitious Materials. Constr. Build. Mater. 2015, 113, 163–173. [Google Scholar] [CrossRef]
- Du, H.; Tan, K.H. Transport Properties of Concrete with Glass Powder as Supplementary Cementitious Material. ACI Mater. J. 2015, 112, 429–437. [Google Scholar] [CrossRef]
- Mezaouri, S.; Kameche, Z.E.A.; Siad, H.; Lachemi, M.; Sahmaran, M.; Houmadi, Y. Optimization and Characterization of Cementitious Composites Combining Maximum Amounts of Waste Glass Powder and Treated Glass Aggregates. Int. J. Concr. Struct. Mater. 2024, 18, 25. [Google Scholar] [CrossRef]
- Kalakada, Z.; Doh, J.H.; Zi, G. Utilisation of Coarse Glass Powder as Pozzolanic Cement—A Mix Design Investigation. Constr. Build. Mater. 2020, 240, 117916. [Google Scholar] [CrossRef]
- Xu, Y.; Xing, G.; Zhao, J.; Zhang, Y. The Effect of Polypropylene Fiber with Different Length and Dosage on the Performance of Alkali-Activated Slag Mortar. Constr. Build. Mater. 2021, 307, 124978. [Google Scholar] [CrossRef]
- Wei, W.; Xukun, M.; Chulei, F.; Na, L.; Wei, T.; Fuyong, C.; Ping, J.; Guoxiong, M. Mechanical Characteristics and Microscopic Mechanism of Polypropylene Fiber Modified Recycled Road Solid Waste Fine Aggregate Mortar. J. Build. Eng. 2024, 97, 110798. [Google Scholar] [CrossRef]
- Alsadey, S. Effect of Polypropylene Fiber on Properties of Mortar. Int. J. Energy Sci. Eng. 2016, 2, 8–12. [Google Scholar]
- Liu, J.; Guo, L.; Xi, Y.; Cheng, L.; Chen, D. Study on the Rheology, Mechanical Properties and Microstructure of Polypropylene Fibers in Different Binder Systems. J. Build. Eng. 2024, 90, 109491. [Google Scholar] [CrossRef]
- Afridi, B.Z.; Shahzada, K.; Naqash, M.T. Mechanical Properties of Polypropylene Fibers Mixed Cement-Sand Mortar. J. Appl. Eng. Sci. 2019, 17, 116–125. [Google Scholar] [CrossRef]
- Adewumi, A.A.; Ismail, M.; Ariffin, M.A.M.; Yusuf, M.O.; Salami, H.O.; Owolabi, T.O.; Maslehuddin, M. Empirical Modelling of the Compressive Strength of an Alkaline Activated Natural Pozzolan and Limestone Powder Mortar. Ceram.-Silik. 2020, 64, 407–417. [Google Scholar] [CrossRef]
- Adewumi, A.A.; Ariffin, M.A.M.; Yusuf, M.O.; Maslehuddin, M.; Ismail, M. Effect of Sodium Hydroxide Concentration on Strength and Microstructure of Alkali-Activated Natural Pozzolan and Limestone Powder Mortar. Constr. Build. Mater. 2021, 271, 121530. [Google Scholar] [CrossRef]
- Haddad, R.H.; Alshbuol, O. Production of Geopolymer Concrete Using Natural Pozzolan: A Parametric Study. Constr. Build. Mater. 2016, 114, 699–707. [Google Scholar] [CrossRef]
- Specification for Portland Cement. 2024. Available online: https://store.astm.org/c0150_c0150m-24.html (accessed on 1 October 2025).
- Test Methods for Fineness of Hydraulic Cement by Air-Permeability Apparatus. 2018. Available online: https://store.astm.org/c0204-18e01.html (accessed on 1 October 2025).
- Test Method for Amount of Water Required for Normal Consistency of Hydraulic Cement Paste. 2016. Available online: https://store.astm.org/c0187-16.html (accessed on 1 October 2025).
- Test Methods for Time of Setting of Hydraulic Cement by Vicat Needle. 2021. Available online: https://store.astm.org/c0191-21.html (accessed on 1 October 2025).
- Test Method for Density of Hydraulic Cement. 2016. Available online: https://store.astm.org/c0188-16.html (accessed on 1 October 2025).
- Test Method for Sieve Analysis of Fine and Coarse Aggregates. 2006. Available online: https://store.astm.org/c0136-06.html (accessed on 1 October 2025).
- Test Method for Relative Density (Specific Gravity) and Absorption of Fine Aggregate. 2007. Available online: https://store.astm.org/c0128-12.html (accessed on 1 October 2025).
- Ahmad, S.; Khalid, H.R.; Shaqraa, A.A.; Bahraq, A.A.; Maslehuddin, M.; Al-Dulaijan, S.U. Properties of Natural Pozzolan-Based Geopolymer Concrete: Effects of Natural Pozzolan Content, Type of Alkaline Activator, and Silicate/Alkali Ratio. Eur. J. Environ. Civ. Eng. 2023, 27, 356–373. [Google Scholar] [CrossRef]
- Odaa, S.A.; Al-Hadithi, A.I.; Mansoor, Y.A. Preparation and Characterization of Nano-Waste Glass Powder. Results Mater. 2023, 20, 100470. [Google Scholar] [CrossRef]
- Patriota, A.L.S.; Barros, F.B.M.; Carneiro, A.M.P.; Guzzo, P.L. An Investigation on the Physical Properties of Cementitious Pastes Modified with Low Dosage of Waste Glass Powder and Silica Fume. An. Acad. Bras. Cienc. 2024, 96, e20231153. [Google Scholar] [CrossRef]
- Fóris, I.; Mucsi, G. Comparative Investigation of Glass Waste Grinding in Various Mills. Rud. Geološko Naft. Zb. 2022, 37, 33–41. [Google Scholar] [CrossRef]
- Test Method for Compressive Strength of Hydraulic Cement Mortars (Using 2-in. or [50-Mm] Cube Specimens). 2020. Available online: https://store.astm.org/c0109_c0109m-20.html (accessed on 1 October 2025).
- Test Method for Flexural Strength of Hydraulic-Cement Mortars. 2021. Available online: https://store.astm.org/c0348-21.html (accessed on 1 October 2025).
- Test Method for Splitting Tensile Strength of Cylindrical Concrete Specimens. 2017. Available online: https://store.astm.org/c0496_c0496m-17.html (accessed on 1 October 2025).
- Siyal, A.A.; Radin Mohamed, R.M.S.; Shamsuddin, R.; Ridzuan, M.B. A Comprehensive Review of Synthesis Kinetics and Formation Mechanism of Geopolymers. RSC Adv. 2024, 14, 446–462. [Google Scholar] [CrossRef]
- Long, Z.; Long, G.; Tang, Z.; Shangguan, M.; Zhang, Y.; Wang, L.; Peng, L.; Yi, M. Hydration, Strength, and Microstructure Evolution of Portland Cement-Calcium Sulphoaluminate Cement-CSH Seeds Ultra-Early Strength Cementitious System. Constr. Build. Mater. 2024, 430, 136492. [Google Scholar] [CrossRef]
- Liu, J.; Xu, W.; Li, G.; Chen, B.; Xiao, Y.; Huang, H.; Chen, J. Performance and Applications of Polymer Fiber Rubber-Reinforced Concrete in Civil Engineering: A State-of-the-Art Review. Polymers 2025, 17, 970. [Google Scholar] [CrossRef]
- Nourredine, G.; Kerdal, D.E.; Nouria, K.; Rachida, I. Potential Use of Activated Algerian Natural Pozzolan Powder as a Cement Replacement Material. Eur. J. Environ. Civ. Eng. 2021, 25, 967–987. [Google Scholar] [CrossRef]
- Bian, Z.; Lu, J.X.; Huang, Y.; Xuan, D.; Ou, G.; Sun Poon, C. Recycling of Waste Glass in Lightweight Geopolymer Using Incineration Bottom Ash as a Foaming Agent: Towards Energy Conservation. Constr. Build. Mater. 2023, 400, 132632. [Google Scholar] [CrossRef]
- Degirmenci, F.N. Effect of Sodium Silicate to Sodium Hydroxide Ratios on Durability of Geopolymer Mortars Containing Natural and Artificial Pozzolans. Ceram.-Silik. 2017, 61, 340–350. [Google Scholar] [CrossRef]
- González-García, D.M.; Téllez-Jurado, L.; Jiménez-Álvarez, F.J.; Zarazua-Villalobos, L.; Balmori-Ramírez, H. Evolution of a Natural Pozzolan-Based Geopolymer Alkalized in the Presence of Sodium or Potassium Silicate/Hydroxide Solution. Constr. Build. Mater. 2022, 321, 126305. [Google Scholar] [CrossRef]
- Ibrahim, M.; Megat Johari, M.A.; Rahman, M.K.; Maslehuddin, M. Effect of Alkaline Activators and Binder Content on the Properties of Natural Pozzolan-Based Alkali Activated Concrete. Constr. Build. Mater. 2017, 147, 648–660. [Google Scholar] [CrossRef]












| NP Size Range (µm) | NP Size Detail (µm) | Optimal Replacement (%) | References |
|---|---|---|---|
| NP ≤ 100 | - | 20 | [26] |
| NP ≤ 75 | Mean size = 45 | 20 | [27] |
| NP ≤ 75 | - | 15 | [24] |
| NP ≤ 75 | Mean size = 16 | 15–20 | [28] |
| NP ≤ 45 | Mean size = 15.8 | 100 (Alkali-activated) | [29] |
| NP ≤ 45 | Mean size = 15.8 | 100 (Alkali-activated) | [30] |
| NP ≤ 75 | Blaine-specific surface area 735 m2/kg to 19,000 m2/kg | 25% | [31] |
| NP ≤ 45 | - | 100 (AANP) | [32] |
| 30 µm <NP < 2 mm | - | 20 | [33] |
| NP ≤ 200 | Mean size = 45 | 25 | [34] |
| NP ≤ 45 | Blaine-specific surface area of 4350 cm2/g | 28 | [35] |
| NP ≤ 14 µm | - | 30 | [36] |
| - | 420–700 m2/kg | 25 | [37] |
| NP ≤ 45 | 3200 cm2/g | 15 (20 °C) and 20 (60 °C) | [38] |
| NP ≤ 75 (ASTM C618) | Blaine-specific surface area 3292 cm2/g | 13 | [39] |
| NP ≤ 75 | Blaine-specific surface area 2000–3000 cm2/g | 20 | [40] |
| NP ≤ 75 | Blaine-specific surface area of 4298 cm2/g | 10 | [41] |
| WGP Size Range (µm) | WGP Size Detail (µm) | Optimal Replacement (%) | Reference |
|---|---|---|---|
| WGP ≤ 25 | – | – | [48] |
| – | Average size = 10 | 20 | [49] |
| – | Average size = 20 | 20 | [50] |
| – | Average size = 45 | 20 | [51] |
| WGP ≤ 40 | Average size = 12 | 30 | [52] |
| WGP ≤ 50 | – | 30 | [53] |
| – | Average size = 8.4 | 20 | [54] |
| WGP ≤ 75 | Average size = 10 | 20 | [55] |
| WGP ≤ 75 | – | 25 | [56] |
| WGP ≤ 100 | 40% WGP ≤ 10 | 45 | [57] |
| – | Average size = 3.4 | 60 | [58] |
| 125 ≤ WGP ≤ 200 | – | 30 | [59] |
| WGP ≤ 120 | – | 30 | [60] |
| Optimum Dosage | Compressive Strength | Flexure Strength | Reference |
|---|---|---|---|
| 0.2% | Improved slightly | Increased with dosage | [61,62] |
| 0.5% | Limited improvement | Notable improvement | [64] |
| 0.6% | Increased by 57% | Increased by 58% | [61,62] |
| <1% | Limited reduction | Increased ductility but reduced strength at >1% | [65] |
| 1.5% | Significant improvement | - | [63] |
| No. | Test Description | ASTM Codes | Results |
|---|---|---|---|
| 1 | Fineness | C204 [70] | 10.5% retained on 90-micron sieve |
| 2 | Normal consistency | C187 [71] | 30% |
| 4 | Initial setting time | C191 [72] | 75 min |
| 5 | Final setting time | 225 min | |
| 6 | Specific gravity | C188 [73] | 3.15 |
| Components | Cement | NP | WGP |
|---|---|---|---|
| CaO | 63.91 | 11.70 | 60.71 |
| SiO2 | 19.97 | 41.13 | 27.12 |
| Al2O3 | 5.83 | 18.91 | 3.90 |
| Fe2O3 | 3.43 | 0.09 | 2.50 |
| MgO | 0.61 | 3.62 | 2.32 |
| SO3 | 2.871 | 0.180 | 1.501 |
| K2O | 0.711 | 1.10 | 0.451 |
| Na2O * | 0.159 | 0.310 | 0.910 |
| Rest | 2.509 | 22.96 | 0.588 |
| Parameters | Level 1 | Level 2 | Level 3 | Level 4 |
|---|---|---|---|---|
| Natural Pozolan (%) | 0 | 10 | 20 | - |
| Glass Powder (%) | 0 | 10 | 20 | 30 |
| SS/SH (%) | 30 | 40 | 50 | - |
| PPF (%) | 0 | 0.5 | 1.5 | - |
Disclaimer/Publisher’s Note: The statements, opinions and data contained in all publications are solely those of the individual author(s) and contributor(s) and not of MDPI and/or the editor(s). MDPI and/or the editor(s) disclaim responsibility for any injury to people or property resulting from any ideas, methods, instructions or products referred to in the content. |
© 2025 by the authors. Licensee MDPI, Basel, Switzerland. This article is an open access article distributed under the terms and conditions of the Creative Commons Attribution (CC BY) license.
Share and Cite
Khan, M.I.; Alkharisi, M.K.; Dahish, H.A. Performance of Sustainable Alkali-Activated Mortar Incorporating Natural Pozzolan, Waste Glass Powder, and Polypropylene Fibers. Sustainability 2026, 18, 53. https://doi.org/10.3390/su18010053
Khan MI, Alkharisi MK, Dahish HA. Performance of Sustainable Alkali-Activated Mortar Incorporating Natural Pozzolan, Waste Glass Powder, and Polypropylene Fibers. Sustainability. 2026; 18(1):53. https://doi.org/10.3390/su18010053
Chicago/Turabian StyleKhan, Muhammad Iftikhar, Mohammed K. Alkharisi, and Hany A. Dahish. 2026. "Performance of Sustainable Alkali-Activated Mortar Incorporating Natural Pozzolan, Waste Glass Powder, and Polypropylene Fibers" Sustainability 18, no. 1: 53. https://doi.org/10.3390/su18010053
APA StyleKhan, M. I., Alkharisi, M. K., & Dahish, H. A. (2026). Performance of Sustainable Alkali-Activated Mortar Incorporating Natural Pozzolan, Waste Glass Powder, and Polypropylene Fibers. Sustainability, 18(1), 53. https://doi.org/10.3390/su18010053

