Next Article in Journal
Projecting Türkiye’s CO2 Emissions Future: Multivariate Forecast of Energy–Economy–Environment Interactions and Anthropogenic Drivers
Previous Article in Journal
Future Land Use Change Threatens Ecosystems in the Rocky Desertification Areas: Conservation Insights from Integrated Model-A Case Study of Wenshan Prefecture, Yunnan Province, China
 
 
Font Type:
Arial Georgia Verdana
Font Size:
Aa Aa Aa
Line Spacing:
Column Width:
Background:
Article

Research on Influencing Factors of Carbon Emissions in the Regional Construction Industry: A Case Study of Jiangxi Province

School of Economics and Management, Jiangxi University of Science and Technology, Ganzhou 341000, China
*
Author to whom correspondence should be addressed.
Sustainability 2026, 18(1), 469; https://doi.org/10.3390/su18010469
Submission received: 18 November 2025 / Revised: 15 December 2025 / Accepted: 30 December 2025 / Published: 2 January 2026

Abstract

This study focuses on carbon emissions (CE) in the construction industry of Jiangxi Province. Using the emission factor method, it calculates the CE throughout the entire lifecycle of the construction sector and analyzes the trends and characteristics of emissions from 2008 to 2021. Grey correlation analysis and the STIRPAT model are employed to identify key influencing factors of CE, followed by corresponding emission reduction strategies and recommendations. The results show that CE from Jiangxi’s construction industry increased by 6.25 times between 2008 and 2021, with building material consumption and residential buildings accounting for 80% of the total lifecycle emissions. Key influencing factors include the gross output value of the construction industry, per capita GDP, regional population, and the level of green technology innovation, with the latter exhibiting an inhibitory effect on CE.

1. Introduction

Over the past century, the severe threats and challenges posed by global warming have become a focal point and an urgent issue that requires collective attention and response from the international community. The “China Climate Change Blue Book (2023)” released by the China Meteorological Administration indicates that global warming persists, with China’s temperature increase rate exceeding the global average. In 2024, China’s average surface temperature was 1.01 °C higher than the long-term average, making it the warmest years since the early 20th century [1]. The primary cause of this temperature rise is CE. In 2022, China’s total Life-Cycle Carbon Emissions (LCCE) from buildings reached 5.13 billion tons of CO2, accounting for 48.3% of the national CE [2,3,4,5]. It is evident that building CE are a significant component of China’s energy consumption and CE. It should be noted that the construction industry has substantial potential for carbon reduction. By 2050, the building sector is expected to contribute 56.00% to China’s early carbon peak emission reduction [6]. Jiangxi Province is a National Ecological Civilization Pilot Zone in China, which requires the province to strictly protect the ecological environment while promoting economic development. In the process of exploring the construction of ecological civilization, the construction industry, as a traditional high-carbon emitter, should actively explore how to effectively control CE. Therefore, to reasonably control the CE of the construction industry in Jiangxi Province, it is necessary to use appropriate analytical methods to study the factors affecting CE in Jiangxi Province and focus on the main influencing factors.
There are numerous researchers in the field of building energy and CE analysis. In terms of analyzing the influencing factors of CE, the main research methods include the STIRPAT model, the LEAP model, the LMDI decomposition method, the Environmental Kuznets Curve (EKC) theory, and the Tapio decoupling model. For example, Liu Yueli et al. [7] utilized the LMDI model to summarize the influencing factors of CE growth in the public service building industry of China’s tertiary industry and proposed feasible control strategies; Ma et al. [8] applied the STIRPAT model to evaluate the driving factors of CE from Chinese public buildings from 2000 to 2015, which provides an impetus for the development of China’s CE control strategy for public buildings. Based on the STIRPAT model and the EKC hypothesis, Lu and Li [9] explored the impact of environmental regulations and urbanization on CE. They argue that the urbanization process must focus on both speed and quality; Qinfeng Zhao et al. [10] interpreted the CE from construction and demolition (C&D) waste disposal through life cycle assessment and the IPCC method. They projected the contributions of waste recycling to carbon reduction under three scenarios. The results indicated that the disposal of concrete and steel are the major sources of CE in the construction industry of Kitakyushu, Japan.; Hu et al. [11] used the LEAP model and LMDI decomposition analysis to study the impact of factors such as the CE peak during the operation phase of buildings, population, and per capita building area on the CE trend in Anhui Province. The results show that urbanization is a key driver of the increase in CE from urban residential areas. Ayeratharasu Rajasekharan et al. [12] conducted a detailed study on the Low Carbon Energy Assessment (LCEA) agency in the construction industry of southern India to determine the CE at different stages of construction. The results showed that the highest CE in construction were from the cement manufacturing process.
Although the existing literature has extensively explored the factors influencing CE in the construction industry, there are still the following research gaps: first, most studies focus on the developed nation or district, while districts in the process of ecological civilization development have not received enough attention. Their unique stages of economic development, industrial structures, and energy endowments may shape differentiated CE paths. Second, in terms of methodology, existing research mostly uses a single model. When facing the inherent complex collinearity among multiple driving factors, it may affect the robustness and accuracy of the conclusions. The selection of Jiangxi Province as the research object is due to its unique strategic positioning as one of the first national pilot zones for ecological civilization. This identity makes Jiangxi a national model for exploring the balance between development and protection, endowing its construction industry CE with typicality and foresight beyond that of ordinary provinces. Jiangxi is currently in the acceleration phase of urbanization, facing CE pressures from large-scale infrastructure construction, especially the high embodied carbon characteristic of building material production, which forms a sharp contradiction with the requirements of ecological civilization construction. This contradiction epitomizes the core challenge for inland areas to achieve green transformation under ecological constraints. By dissecting the Jiangxi case, we can deeply observe the implementation effectiveness of the top-level design of ecological civilization in the construction industry, identify the game mechanism between the dependence on traditional development paths and the driving force for green transformation, and provide pioneering experience for similar regions to resolve the “development–emission” paradox. Studying Jiangxi is not only an analysis of a regional issue, but also an examination of the implementation process of the national ecological civilization strategy in a specific industry, and it has important exemplary value for constructing a low-carbon path for the construction industry under the background of Chinese modernization.
Based on this, this paper takes the construction industry of Jiangxi Province as an example, collects data to calculate the CE of the construction industry in Jiangxi Province, and uses grey relational analysis and the STIRPAT model of influencing factors to gradually investigate the influencing factors of CE in the construction industry, identify the most critical factors, and provide a basis for formulating energy-saving and emission-reduction measures for the construction industry in Jiangxi Province.

2. Literature Review

2.1. Research on CE Accounting in the Construction Industry

Since the 1990s, the global community has attached ever-greater importance to climate change. The 2006 IPCC Guidelines for National Greenhouse Gas Inventories provided a unified framework for measuring CE [13]. The main estimation methods currently in use include the measurement method, input–output analysis, material balance analysis, life-cycle assessment (LCA), and the emission-factor method.
Sun et al. [14] construct a measurement model grounded in the IPCC inventory approach and, by combining it with Laspeyres index decomposition, demonstrate that China’s carbon-emission growth from 1995 to 2005 was driven primarily by GDP expansion, whereas technological progress was the dominant factor in emission reductions. Zhang et al. [15] introduced the concept of “embodied CE”, distinguishing between direct and indirect emissions, and found that the construction sector exerts a strong pull on the building-materials industry through the supply chain, resulting in substantial indirect emissions. Kofi Agyekum et al. [16] used one-sample t-tests, multiple linear regression, and analysis of variance methods to evaluate the significance and impact of identified capabilities on sustainable development outcomes. The study results revealed the key capabilities for achieving environmental sustainability in Ghana’s construction industry. Maximilian Weigert et al. [17] proposed a method for calculating CE on construction sites. The results indicated that transportation emissions during new building construction are the highest, followed by emissions from demolition and the construction process. Kanafani et al. [18] analyzed CE on 61 Danish construction sites based on energy consumption, waste generation, and site transportation. The results showed that nearly half of the emissions are related to construction waste, followed by electricity, heat, and fuel. Onat et al. [19] employed a hybrid economic input–output LCA model for U.S. residential and commercial buildings and found that the use phase contributes the largest share of emissions, with electricity consumption being the dominant source.
Overall, current estimation and research still fall short in model standardization, boundary definition, emission-factor accuracy, and data accessibility. A unified, normative data system and a dynamic assessment framework are urgently needed.

2.2. Research on Influencing Factors of CE in the Construction Industry

As research perspectives have shifted from the construction phase to the entire life cycle, methods such as the Kaya identity, LMDI decomposition, the STIRPAT model, and Granger causality tests have been widely employed [20,21]. Gong et al. [22], using LCA, found that structural differences among buildings significantly influence residential CE. Hu et al. [23] combined an extended Kaya identity with LMDI and identified energy-consumption intensity as the key factor restraining residential building emissions between 1995 and 2008. Jin et al. [24] constructed a STIRPAT spatial econometric model and revealed pronounced spatial autocorrelation in provincial-level construction-sector CO2 emissions across China. Labaran et al. [25] employed retrospective and survey methods to analyze various studies and data sources in order to examine the factors contributing to CE in Nigeria’s construction industry and to identify effective carbon reduction methods. Joseph et al. [26] used descriptive and Rasch analysis to identify the key factors influencing CE in Malaysia’s construction industry in order to develop a carbon reduction framework for construction operations. Zha et al. [27], using LMDI to analyze urban–rural residential CO2 emissions, indicated that energy-intensity and income effects, respectively, drive the downward and upward emission trends.

2.3. Research on CE Forecasting in the Construction Industry

Carbon-emission forecasting is a prerequisite for formulating mitigation policies. Current mainstream approaches include trend analysis, scenario analysis, and system-dynamics simulation [28,29,30]. Mustaffa et al. [31] investigated the behavior and practices in Malaysia’s industry and proposed strategies for improving low-carbon construction. The study results indicated that limited investment and budget, resistance to change, and lack of knowledge and experience in low-carbon technologies are the main barriers to effective carbon reduction strategies. Ji et al. [32], employing STIRPAT-based scenario analysis, demonstrated that reducing energy intensity per unit of value added is an effective mitigation pathway for the construction sector. Melissa Chan et al. [33] conducted an analysis using one-way analysis of variance (ANOVA). The study results indicated that there is a significant need to enhance awareness of low-carbon building materials, as this is crucial for introducing the concept of sustainable development and thereby reducing CE among all parties in the construction industry. Victoria et al. [34] developed an early-stage embodied-carbon parameter model, while Wenninger et al. [35] introduced the QLattice artificial-intelligence algorithm into German residential-building emission forecasting, enhancing both model accuracy and explanatory power.

3. Research Methods and Data Sources

3.1. Calculation Model of the LCCE and the Selection of CEF

3.1.1. Calculation Model of the LCCE

Based on the actual situation and considering that the CE in the construction industry mainly occur in two stages, this paper divides the CE of the construction industry into operational CE and embodied CE. Operational CE mainly come from the CE caused by the direct consumption of fossil fuels, electricity, and heat during the building operation phase. These emissions are primarily generated from activities such as cooking, water heating, lighting, electrical equipment, and decentralized heating in buildings. Embodied CE mainly originate from the CE caused by construction and building materials production. The embodied carbon of buildings covers the entire life cycle of building materials and mainly comes from the energy and material consumption in three major links: production and processing, logistics and transportation, and maintenance and demolition [3], as can be seen in Figure 1.
According to the Chinese CE calculation standard “Standard for Calculation of CE in Buildings (GB/T51366-2019)” [36] and the IPCC inventory method, the CE of the construction industry are calculated using the following formula:
E = j E j P B + j E j R B + i E i M A T + i E i T R A + j E j C O N
E j P B = Q j P B E F j e
E j R B = Q j R B E F j e
E i M A T = Q i M A T E F i M A T
E i T R A = Q i M A T k λ i k M A T d ¯ i k T R A E F k T R A
E j C O N = Q j C O N E F j e
Among them,
E j P B —the CE from the operation and consumption of energy j in public buildings (tCO2e);
E j R B —the CE from the operation and consumption of energy j in residential buildings (tCO2e);
E i M A T —the CE from the consumption of building material i (tCO2e);
E i T R A —the CE from the transportation of building material i (tCO2e);
E j C O N —the CE from construction that consumes energy j (tCO2e);
Q j P B —the consumption of energy j in the operation of public buildings;
E F j e —the CE factor (CEF) of energy j (tCO2e/unit);
Q j R B —the consumption of energy j in the operation of residential buildings;
Q i M A T —the consumption amount of building material i (t);
λ i k M A T —the proportion of building material i consumed that uses transportation mode k ;
d ¯ i k T R A —the average transportation distance of building material i using transportation mode k (km);
Q j c o n —the consumption amount of energy j in construction;
E F i M A T —the CEF of building material i (tCO2e/t);
E F k T R A —the CEF of transportation mode k [tCO2e/(t·km)].

3.1.2. CEF for the LCCE

The CEF for building operation is measured in terms of energy consumption physical quantity. It is calculated based on the average lower heating value data provided in the reference coefficients for converting various types of energy into standard coal in the appendix of the China Energy Statistical Yearbook, according to Formula (7). The CEF for each type of fuel, as calculated, are shown in Table 1. The electricity CEF is selected from the “China Regional Power Grid Baseline Emission Factor for Mitigation Projects in 2021” released by the Ministry of Ecology and Environment, specifically the OM factor for the Central China region, with a value of 0.7938 (tCO2/MWh).
E F e = 10 6 E F q v e
In the formula,
E F e —actual quantity CEF (tCO2e/kg or tCO2e/m3);
E F q v e —lower heating value of fuel (kJ/kg or kJ/m3).
The embodied CE coefficients of buildings include the CE coefficients of building materials such as steel, wood, and cement during the production and transportation processes of these materials. In this paper, the CEF of various types of building materials are uniformly taken from the “Standard for Calculation of CE in Construction (GB/T51366-2019)”. The CE during the transportation stage of building materials mainly come from the CE generated by transportation vehicles when transporting building materials. Building materials are mostly transported by road, rail, and water. The CEF for building material transportation methods are taken from the “Standard for Calculation of CE in Construction (GB/T51366-2019)”, where rail transportation is selected as the average value of the Chinese market, road transportation is selected as the average value of road freight transportation, and water transportation is selected as the CEF for dry bulk cargo shipping. The specific values are shown in Table 2.

3.2. Grey Relation Analysis

In 1982, Deng Julong founded the Grey System Theory, which mainly focuses on uncertainty systems characterized by “small samples” and “poor information”. The features of these systems include partially known and partially unknown information. By generating and developing the known information, the theory extracts valuable information to achieve an accurate description and effective monitoring of the system’s operational behavior and evolutionary laws [37]. Grey relational analysis is a very active branch of Grey System Theory. Its fundamental idea is to determine the closeness of relationships between different sequences based on the geometric shapes of sequence curves. The basic approach is to convert the discrete behavioral observation values of system factors into piecewise continuous broken lines through linear interpolation. Subsequently, a model for measuring the degree of association is constructed based on the geometric characteristics of these broken lines [38].

3.3. A CE Regression Model Based on the STIRPAT Model

The STIRPAT model is a stochastic version of the IPAT model proposed by Dietz and Rosa, based on the traditional IPAT model [39]. Its standard form is represented by Equation (8).
I = a P b A c T d e
In the equation, I represents environmental impact; P represents population; T represents technology level; A represents affluence; a is the coefficient of the model; b is the population index, c is the affluence index, d is the technological driving force index; e is the random error term. The STIRPAT model categorizes the factors affecting the environment into three major groups: population size, affluence, and technology level, and allows for the introduction of other relevant variables.

3.4. Sources of Data

Depending on the availability of different indicator data, the data used in the STIRPAT model are sourced from the Jiangxi Statistical Yearbook [40]. The data on the consumption of building materials and energy consumption are sourced from the China Construction Industry Statistical Yearbook [41] and the China Energy Statistical Yearbook [42]. The building energy consumption for building operation CE is established based on the building energy consumption decomposition model using the Jiangxi Province energy balance sheet, following the method studied by Cai [43].
The period from 2008 to 2021 was selected as the research. This period spans the key policy cycles from the end of the “11th Five-Year Plan” to the beginning of the “14th Five-Year Plan.” The implementation of the revised “Energy Conservation Law of the People’s Republic of China” in 2008 marked the entry of energy conservation in construction into a new phase. The year 2021 was the first year in which the “dual carbon” goals were formally established in the top-level design. In addition, as of the time when this study conducted data analysis, the official statistical yearbooks for 2022 and later had not been fully published. The relevant data were either unavailable or subject to significant revisions later on. To ensure the finality, accuracy of the data, and the robustness of the research conclusions, this study limited the time range to 2021. Selecting this period can systematically depict the complete evolution path of CE in the construction industry of Jiangxi Province and the changes in driving mechanisms from conventional energy conservation and emission reduction to the national strategic low-carbon transition. Second, the consistency and availability of data. The core data required for the construction of the indicator system in this study are all from authoritative publications such as the “China Energy Statistical Yearbook” and the “China Construction Industry Statistical Yearbook.” The data in these yearbooks are published with a lag of about 1–2 years, and the statistical caliber has remained stable in the long term, ensuring the systematicness, comparability, and authority of the data from 2008 to 2021. Third, the representativeness of the stage of industrial development. This period accurately corresponds to the accelerated development period of urbanization in Jiangxi Province, during which the UR increased rapidly from 42.6% to 61.5%. During this period, the construction industry experienced a typical process from rapid scale expansion to the pursuit of high-quality green development. Its CE characteristics and driving mechanisms are highly representative for understanding the development paths of similar inland provinces.

3.5. Innovativeness and Strengths of the Methodological Framework

This study proposes an integrated GRA-STIRPAT-ridge regression framework, whose innovation lies in establishing a complete methodological chain for analyzing driving mechanisms of construction carbon emissions at the provincial level. The framework systematically addresses three key challenges in provincial-scale research—high dimensionality of variables, strong endogenous correlations, and unstable estimations—through sequential steps: screening key variables via Grey Relational Analysis, quantifying elasticities using the STIRPAT model, and correcting multicollinearity through ridge regression.
Compared to existing regional studies relying on static panel or single decomposition methods, this approach is the first to effectively disentangle highly coupled driving factors at the provincial scale. It not only accurately quantifies the contribution of each factor but also reveals the complex dynamic of green technology innovation exhibiting an “initial promotion followed by suppression” time-lag effect. This methodological system provides a replicable and more robust analytical tool for inland regions facing urbanization and ecological constraints, advancing both the methodological depth and policy applicability of research on regional carbon emission drivers.

4. Construction of CE Influencing Factor Model

4.1. Identification of Influencing Factors

By reviewing the relevant literature, it has been found that many scholars have preliminarily summarized the influencing factors of CE in the construction industry. However, the development of the construction industry in Jiangxi Province has its own unique characteristics. Therefore, it is necessary to further screen the identified influencing factors in combination with the development features of Jiangxi Province. Among them, population, economy, and technology are the three categories of influencing factors that are commonly studied. Based on the development situation of Jiangxi Province over the past decade, a brief analysis and summary of the abovementioned relevant factors will be made.

4.1.1. Population Factors

Over the past decade or so, the total population of Jiangxi Province has grown steadily, increasing from 44.001 million people at the end of 2008 to 45.1886 million people in 2020, with an average annual population growth rate of 12.36‰. As living standards improve, the growing demand for energy directly elevates operational energy consumption in buildings.
In 2014, the proportion of urban population in Jiangxi Province exceeded half, and the UR increased significantly, from 41.36% in 2008 to 60.43% in 2020. With the increase in the UR and the improvement of residents’ income levels, the structure of energy consumption will change. The growth of urban population and the expansion of building scale bring dual pressures: the consumption of building materials increases embodied carbon, while continuous energy consumption for operation raises operational carbon. Huo [44] explored the impact of China’s UR and the peak of CE in his research.
With the deepening of population aging in Jiangxi Province, it is projected that by 2030, the proportion of the population aged 60 and above will reach approximately 23%. The elderly population may prefer to live in convenient urban areas or senior communities, which could lead to an increase in the demand for buildings, especially those for the elderly, such as residential housing, medical facilities, and nursing homes. This, in turn, may indirectly cause an increase in building CE. The research by Zheng et al. [45] shows that between 2005 and 2015, the proportion of greenhouse gas footprints of people aged 60 and above in developed countries increased year by year.
Therefore, this paper selects the total population of the region, the UR, and the degree of population aging as the population-related influencing factors.

4.1.2. Economic Factors

Over the past decade, Jiangxi Province has achieved an average annual growth rate of 8.4% in its Gross Provincial Product (GPP). The province’s economic output has risen from 19th to 15th place nationwide. The growth rates of its major economic indicators have consistently remained at the forefront of the country.
The Gross Regional Product (GRP) of Jiangxi Province increased from 648.03 billion yuan in 2008 to 2569.15 billion yuan in 2020. The GRP, which covers all aspects of people’s lives from agriculture to the service industry, is often increased at the expense of energy consumption; the research results of Chen [46] show that the GDP growth rate has a significant impact on total energy consumption and energy intensity. Therefore, the changes in GRP reflect the development of CE in the construction industry. In addition, per capita GDP can reflect the overall economic level of Jiangxi Province and the quality of life of its people, thereby highlighting the implicit relationship between the economic activities of the construction industry and CE.
GOVC increased from 10.3294 billion yuan in 2008 to 97.6294 billion yuan in 2021.As an important indicator of economic activity, the growth of the construction industry’s output value is usually accompanied by increased energy consumption in new construction projects, building material production, and construction activities, which in turn drives up CE. However, with technological upgrades and optimization of the energy structure, the industry may achieve “decoupling” of economic growth from CE. Therefore, GOVC is often considered a key economic factor in the study of CE.
In this paper, per capita GDP and the Gross Output Value of the construction industry are selected as the economic influencing factors.

4.1.3. Technical Factors

The upgrade of technology levels can enhance the efficiency and quality of the construction industry and promote innovation and development in construction projects. The use of energy-saving materials can effectively reduce energy consumption, thereby lowering CE in the construction industry.
Energy consumption per unit of GDP measures the energy required for one unit of economic output. In construction, a lower value for this metric signifies greater sectoral energy efficiency. When Cheng [47] conducted an empirical study on the carbon reduction effect and economic growth of China’s new energy urban policies, he included the level of green technological innovation in the research. At the same time, the level of green technological innovation can effectively reflect the relationship between current green policies and CE in the construction industry. The CE intensity (CEI) of the construction industry is also an indicator that most scholars choose when studying the influencing factors of CE [48].
Therefore, this paper selects the energy consumption per unit of value added in the construction industry, the level of green technological innovation, and the CEI of the construction industry as the technological influencing factors.
Ultimately, according to the above analysis, the influencing factors are divided into three categories: population, economy, and technology, totaling eight factors, as shown in Table 3, which meets the requirement of the number of indicators for the construction of the STIRPAT model [49,50,51,52,53,54,55,56,57].

4.2. Grey Relation Analysis

Using SPSS Statistics 27 software, the CE data of Jiangxi Province’s construction industry from 2008 to 2021 was used as the main factor sequence, and the values of the other eight influencing factors were used as the comparative sequences. The data were normalized and then subjected to grey relational analysis to calculate the relational coefficients of each factor, with ρ set at 0.50. The calculation results are shown in Table 4.
The results show that the correlation coefficients of per capita GDP and Gross Output Value of Construction (GOVC) with the CEI of the construction industry are 0.888 and 0.885, respectively. The relatively high correlation indicates that the level of economic development and consumption is closely related to the CEI of the construction industry. The correlation coefficients of the UR, the degree of population aging, and the total population with the CEI of the construction industry are 0.821, 0.813, and 0.808, respectively. Although these coefficients are slightly lower than the previous three, they still show that the development of population factors is closely related to the CEI of the construction industry. The correlation coefficients of the energy consumption per unit of added value in the construction industry and the level of green technological innovation with the CEI of the construction industry are relatively low at 0.791 and 0.703, respectively, but they still have a certain impact. The correlation coefficient of the CEI of the construction industry itself with the CE throughout the LCCE is 0.793, which also shows a certain degree of correlation.

4.3. Robustness Test

4.3.1. Sensitivity Analysis

To test the robustness of the results of the grey relational analysis, this study conducted a sensitivity analysis. By adjusting the discrimination coefficient ρ (taking values of 0.3, 0.5, and 0.7, respectively) and recalculating the relational degrees of each influencing factor, the results showed that the ranking of the relational degrees of each influencing factor remained highly stable under different values of ρ. The per capita GDP (G), GOVC (S), and UR (U) consistently ranked in the top three, as shown in Table 5. This indicates that the conclusions of the grey relational analysis are not sensitive to parameter changes and are reliable.

4.3.2. Cross-Validation

To verify the robustness of the identified driving factors, this study employs Spearman’s rank correlation analysis for cross-validation. The results of the Spearman’s correlation analysis show that per capita GDP, GOVC, and UR are all significantly positively correlated with construction CE at the p < 0.01 level, and the order of correlation coefficients is highly consistent with the order of relational degrees obtained from the grey relational analysis, as shown in Table 6. This convergence of conclusions from different methodologies strongly proves that the key driving factors identified in this study are not accidental and have significant robustness.
In addition, the Spearman’s correlation analysis revealed a seemingly paradoxical yet highly enlightening phenomenon: the level of green technological innovation (I) is significantly positively correlated with construction CE. This result forms a statistical paradox with the negative elasticity coefficient in the STIRPAT model.
Our reasonable explanation is that green technological innovation is likely a response to high CE pressures rather than an initial driver. Specifically, in years or stages of development with high CE pressures, governments and enterprises increase their investment in green technology research and development, leading to an increase in the number of green patents. However, there is a time lag between technological development and large-scale application that produces substantial emission reduction effects. Therefore, in a simple bivariate correlation, what we observe is the synchronicity in time between high emissions and high R&D investment, which manifests as a positive correlation.
Nevertheless, in the STIRPAT multivariate model that controls for core driving factors such as economic development and population size, the long-term inhibitory effect of green technological innovation (after the time lag) becomes apparent, thus showing a negative elasticity coefficient. The multivariate regression model strips away the interference of confounding factors and better reveals its true causal effect. This paradox precisely illustrates that for rapidly developing provinces like Jiangxi, there is an urgent need to establish a fast track from “technology development” to “market application,” shorten the time lag, and quickly transform green technology into actual emission reduction capacity.

4.4. Indicator Selection and Model Construction

Based on the results of grey relation analysis, we selected the STIRPAT model indicators. The STIRPAT model is a typical multivariate nonlinear model. To avoid the issue of heteroscedasticity in the original data, the equation of the model is usually logarithmically transformed on both sides. The eight selected indicators are used as independent variables, and the CE from the construction industry are used as the dependent variable. These variables are then incorporated into the model to establish the STIRPAT model for factors influencing CE in the construction industry of Jiangxi Province, as shown in Equation (9):
ln C = ln a + b ln G + c ln S + d ln U + f ln A + g ln P + h ln C i + i ln E + j ln I + ln e
In this, C represents the CE of the construction industry in Jiangxi Province, G is the per capita GDP (yuan/person), S is GOVC (ten thousand yuan), U is the UR (%), A is the degree of population aging (%), P is the total population of the region (ten thousand people), C i is the CEI of the construction industry (tCO2e/ten thousand yuan), E is the energy consumption per unit of value added in the construction industry (tons of standard coal/ten thousand yuan), I is the level of green technology innovation (number of patents/ten thousand people), a is the constant term, e is the simulation error term, and b , c , d , f , g , h , i , j are the elasticity coefficients of each indicator, representing the degree of impact of the indicators on the dependent variable.

5. CE Calculation Results and Regression Analysis of STIRPAT Model

5.1. Calculation of LCCE

5.1.1. Calculation of CE from Building Operation

(1) Public Buildings
Public building CE can be classified by energy type and end-use into four categories: ① Indirect CE from electricity: used for lighting, air conditioning, and elevators; ② Direct CE from heating: generated from coal, natural gas, or biomass combustion; ③ Direct CE from gas consumption: mainly from town gas, natural gas, or LPG for cooking and water heating; ④ Direct CE from liquid fuels: primarily from gasoline or kerosene in backup generators.
For the relevant data on energy consumption, this paper disassembles and estimates based on the fifth item, “wholesale, retail trade, and accommodation and catering services” and the sixth item, “others,” in the energy balance sheet of Jiangxi Province from the “China Energy Statistical Yearbook.” In the consumption of fuel oil, only the energy consumption excluding transportation is calculated, where the consumption of gasoline accounts for only 1% of the original consumption, and the consumption of diesel accounts for 5% of the original consumption [43].
(2) Residential Buildings
CE from residential buildings can be categorized based on types of energy consumption and their uses as follows: ① Indirect CE from electricity consumption, which typically includes lighting and household appliance usage; ② Direct CE from gas consumption, which typically includes gas used for cooking and hot water supply; ③ Direct CE from coal consumption, which typically includes coal used for heating and hot water supply; ④ Indirect CE from heat consumption, which typically includes the use of centralized heating systems within buildings.
For the relevant data on energy consumption, this paper estimates based on the seventh item, “urban residents’ life” and “rural residents’ life” in the energy balance sheet of Jiangxi Province from the “China Energy Statistical Yearbook.” In the consumption of fuel oil, only the energy consumption excluding transportation is calculated, where the consumption of gasoline accounts for only 1% of the original consumption, and the consumption of diesel accounts for 5% of the original consumption [43].

5.1.2. Calculation of Embodied CE in Construction

(1) Consumption of Building Materials
The CE from the consumption of building materials can be calculated by summing the products of the consumption quantities of various types of building materials and their respective CEF. The consumption quantities of building materials can be obtained from the “Consumption of Building Materials by Construction Enterprises in Various Regions” in the “China Construction Industry Statistical Yearbook.” The average density of wood is taken as 500 kg/m3, and one weight box of glass is converted to 50 kg.
(2) Transportation of Building Materials
The CE from the transportation of building materials can be calculated based on the consumption of building materials and the average transportation distance of these materials. The average transportation distance for each type of building material can be calculated using Equation (10), where the data on goods turnover and freight volume are provided by the “Regional Goods Turnover” and “Regional Freight Volume” sections in the “China Statistical Yearbook.”
d ¯ ik T R A = d ¯ k T R A = 10 4 Q K T R A Q K M A T
In the formula, d ¯ ik T R A —The average transportation distance for goods using transport mode k (kilometers); Q K T R A —The goods turnover using transport mode k (hundred million ton-kilometers); Q K M A T —The freight volume using transport mode k (ten thousand tons).
(3) Construction Process
The CE from construction include those from building demolition, construction, and maintenance. The CE during the construction phase should encompass the emissions generated from the completion of various sub-projects and the implementation of various construction measures. The CE during the demolition phase should include the emissions from energy consumed by machinery and equipment used in manual demolition and small-scale mechanical demolition. The CE during the maintenance phase include the emissions from the production and transportation of newly purchased building materials (calculated as part of the CE from building material transportation) and the direct emissions from energy sources such as electricity, fuel oil, and natural gas consumed by construction machinery and tools.
The CE from construction can be estimated based on the energy consumption of the construction industry and the CEF of various types of energy. The data on energy consumption in the construction industry is selected from the third item, “Construction Industry” in the terminal energy consumption of the energy balance sheet of Jiangxi Province in the “China Energy Statistical Yearbook,” and the CEF are shown in Table 1.

5.2. Jiangxi Province Construction Industry CE Estimation Results

The calculation results of Formulas (1)–(6) are shown in Figure 2. The overall trend of CE from the construction industry in Jiangxi Province is upward with a relatively gentle rate of change. In 2021, the CE from the construction industry in Jiangxi Province reached 228.2686 million tons, which was 6.25 times higher than the 36.2217 million tons in 2008, representing an increase of 192.0469 million tons of CE. The growth trend can be divided into two phases: the growth period (2008–2019), during which the total CE increased from 36.22 million tons to 255 million tCO2e, and the decline period (2020–2021), during which the total CE decreased by 6%, likely due to the pandemic and policy adjustments. In addition, the CE growth rates were relatively high in 2011 and 2015. The rapid increase in CE in 2011 was mainly driven by the strong impetus of the national “4 trillion” investment plan introduced after the 2008 global financial crisis. The investment effects of this plan in infrastructure, affordable housing, and other fields peaked in 2010–2011. Jiangxi Province launched a large number of highway, railway, and urban construction projects to implement central policies, which pushed up CE. The significant increase in CE from the construction industry in Jiangxi in 2015 was closely related to the national policy of vigorously promoting new urbanization and shantytown renovation after 2014. To implement the relevant policies, Jiangxi Province entered a period of rapid urban and rural construction development starting from 2014, leading to a sharp increase in the demand for high-energy-consuming building materials such as cement and steel, as well as in energy consumption in 2015.
As can be seen from Figure 3 in the LCCE in Jiangxi Province, the CE from building materials consumption and the operation of residential buildings account for the largest proportion, with the two parts together accounting for more than 80% of LCCE. The proportion of CE from building materials consumption increased from 48% in 2008 to 70% in 2021, showing an upward trend in the total CE of the construction industry. In contrast, the proportion of CE from residential buildings has decreased from 35% in 2008 to 15% in 2021, indicating a downward trend in the total CE of the construction industry. The changes in the proportions of CE from these two parts reflect the continuous improvement of energy consumption efficiency in the daily life of Jiangxi residents, the development of green buildings, and the widespread application of various new energy technologies. Meanwhile, the construction industry in Jiangxi Province is still in an upward development stage, with a continuous increase in the UR and a corresponding improvement in people’s living standards. The economy has shifted from a stage of rapid growth to a stage of high-quality development. These trends indicate that the construction industry in Jiangxi Province is moving towards sustainable, green, and high-quality development, providing sustainable green power for the transformation of development modes and the optimization of the economic structure in Jiangxi Province.

5.3. Multiple Linear Regression Analysis

Multicollinearity refers to the existence of approximate linear relationships among the independent variables in a multiple regression model [58]. This paper conducts a multiple linear regression on the relevant independent variables and performs a collinearity test using SPSS Statistics 27 software. The results are shown in Table 7, and it is evident that the independent variables in the model have a severe multicollinearity issue. As can be seen from Table 8, the larger the F-test value in the SPSS Statistics 27 variance analysis results, the more significant the relationship between the selected indicators and the research object. The model basically meets the requirements.
This paper employs SPSS Statistics 27 software to conduct a correlation analysis on the independent variables. The results, including the correlation coefficients and significance levels, are used to determine whether there is multicollinearity among the different independent variables. The SPSS Statistics 27 calculation results are shown in Figure 4 and Table 9.
As can be intuitively seen from Figure 4, the correlation coefficients between the vast majority of variables are close to 1 and −1, indicating a high degree of association among the variables. Therefore, Ridge Regression will be employed subsequently to eliminate the multicollinearity in the model.

5.4. STIRPAT Model Ridge Regression Fitting

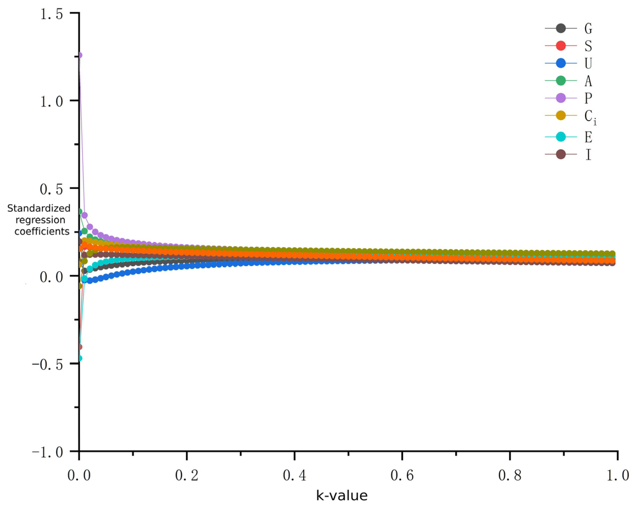
This paper employs Ridge Regression [59] to fit the coefficients of the STIRPAT model. After conducting Ridge Regression analysis using SPSS Statistics 27 software, a Ridge Trace plot is obtained. As can be seen from Figure 5, when the value of K is set to 0.15, the standardized coefficients of the independent variables tend to stabilize. Hence, the optimal value of K is set to 0.15(Refer to the orange dot in the image below).
After setting the value of K to 0.15 and recalculating, the regression results are shown in Table 10. Combining this with the Ridge Regression ANOVA test results in Table 11, we can judge the significance of the model as follows: R2 = 0.988, which means the model has a high degree of fit, and the independent variables can explain 98.8% of the variation in the dependent variable; Adjusted R2 = 0.947, which indicates that even when considering the number of independent variables, the model still has a high explanatory power; F = 24.292, the F-statistic is used to test the overall significance of the model, indicating that the model is statistically significant; p = 0.012, which is less than the commonly used significance level (0.05), indicating that the model is significant overall. These indicators show that the Ridge Regression model performs well in explaining the dependent variable and has statistical significance.
When k = 0.15, the significance values of all independent variables are less than 0.05, indicating that each independent variable has a significant impact on CE. The elasticity coefficients of ln G, ln S, ln U, ln A, ln P, ln Ci, ln E, ln I are 0.307, 0.296, 0.526, 0.181, 0.576, 0.414, 0.32, and −0.101, respectively, with the constant term being −12.78. Therefore, the regression model for carbon dioxide emissions from the construction industry in Jiangxi Province is:
l n C = 12.78 + 0.307 ln G + 0.296 ln S + 0.526 ln U + 0.181 ln A + 0.576 ln P + 0.414 ln C i + 0.32 ln E 0.101 ln I

5.5. Analysis of Influencing Factors of CE in Residential Buildings in Jiangxi Province

By estimating the CE of the construction industry in Jiangxi Province, we obtained the change rate of CE in the construction industry of Jiangxi Province from 2008 to 2021. Based on the STIRPAT model, we calculated the standardized coefficients of each influencing factor and derived the contribution rates of each factor to the CE of the construction industry in Jiangxi Province. The specific calculation formula is shown in Equation (12).
d i = m i a c
m i = x i × β i
x i = i = 1 n a i a i 1 n 1
In the formulas,
d i —factor i ’s contribution rate;
m i —factor i affects the average growth rate of CE from the construction industry in Jiangxi Province;
a c —the change rate of CE in Jiangxi Province’s construction industry;
x i —the average growth rate of factor i ;
β i —the standardized coefficient of factor i in the STIRPAT model.
The contribution rates of factors influencing CE from the construction industry in Jiangxi Province are shown in Table 12. The absolute values of the contribution rates of these factors are ranked as follows: GOVC (17.26%), TP (16.22%), per capita GDP (13.99%), level of green technological innovation (−13.51%), UR (11.7%), CEI of the construction industry (9.72%), energy consumption per unit of value added in the construction industry (8.92%), and the degree of population aging (6.46%).
In summary, in the model of factors influencing CE from the construction industry in Jiangxi Province:
(1) The elasticity coefficient of GOVC is 0.296, which means that for every 1% increase in the output value of the construction industry, CE increase by 0.296%. Ranking first in terms of the absolute value of contribution rate indicates that the scale effect still dominates and technological improvements have not fully offset the expansion of scale.
(2) The elasticity coefficient of the TP is 0.576, which means that for every 1% increase in the TP, CE increase by 0.576%. With a contribution rate of 16.22% ranking second, it shows that population growth needs to be coordinated with energy efficiency improvements.
(3) The elasticity coefficient of CEI of the construction industry is 0.414, which means that for every 1% increase in the CEI of the construction industry, CE increase by 0.414%. The contribution rate is 9.72%, indicating that reducing CEI can effectively suppress CE.
(4) The elasticity coefficient of per capita GDP is 0.307, which means that for every 1% increase in per capita GDP, CE increase by 0.307%. This suggests that economic growth is still in a high-carbon mode, with a contribution rate of 13.99%, which is consistent with the rising phase of the EKV.
(5) The elasticity coefficient of energy consumption per unit of value added in the construction industry is 0.32, which means that for every 1% increase in energy consumption per unit of value added in the construction industry, CE increase by 0.32%. The contribution rate is 8.92%, indicating that reducing energy consumption per unit of value added in the construction industry can effectively suppress CE.
(6) The elasticity coefficient of the UR is 0.526, which means that for every 1% increase in the UR, CE increase by 0.526%. With a contribution rate of 11.70%, it is consistent with the reality that Jiangxi Province’s UR is still in an upward phase.
(7) The elasticity coefficient of the level of green technological innovation is −0.101, which means that for every 1% increase in the level of green technological innovation, CE decrease by 0.101%. This shows that the effect of technological emission reduction is significant, with a contribution rate of −13.51%.
(8) The elasticity coefficient of the degree of population aging is 0.181, which means that for every 1% increase in the output value of the construction industry, CE increase by 0.181%. This indicates that an increase in the degree of population aging will lead to an increase in CE from the construction industry, with a contribution rate of 6.46%.

6. Conclusions and Outlook

6.1. Conclusions

This paper estimates the CE of Jiangxi Province from 2008 to 2021 and uses grey relational analysis and the STIRPAT model to conduct a regression analysis of the influencing factors of CE in the construction industry of Jiangxi Province. Ridge regression method is adopted to fit the coefficients of the STIRPAT model, and an analysis model of the influencing factors of CE in the construction industry of Jiangxi Province based on the STIRPAT model is established. The following conclusions are drawn.
(1) This study has conducted a detailed estimation of CE from the construction industry in Jiangxi Province from 2008 to 2021 and found that the emissions have significantly increased over the past decade, reaching 228.2686 million tons in 2021, a 6.25-fold increase compared to 2008. This growth trend is closely related to the rapid development of the construction industry in Jiangxi Province. However, during the “13th Five-Year Plan” period, thanks to a series of low-carbon measures taken by the government in building energy management and the development of green buildings, the growth rate of CE from the construction industry has slowed down, and even negative growth was achieved in some years, which indicates that policy interventions play a positive role in controlling CE.
(2) By selecting influencing factors for STIRPAT model analysis, from the perspective of influencing factors, economic and population factors are the main driving forces of CE in the construction industry of Jiangxi Province. The total output value of the secondary industry, per capita GDP, and the TP have the most significant impact on CE, contributing 17.26%, 6.46%, and 16.22% of the emissions, respectively. This reflects that the improvement of economic development level, the expansion of population size, and the changes in population structure will all drive the development of the construction industry, thereby increasing CE. In addition, the level of green technological innovation has a certain inhibitory effect on CE, with a contribution rate of 14.22%, indicating that technological innovation plays an important role in promoting the low-carbon transformation of the construction industry.

6.2. Discussion

6.2.1. Analysis of Commonalities in CE in Jiangxi Province

This study finds that economic and population factors are the core drivers of CE in the construction industry of Jiangxi Province. The increase in GOVC is directly related to the expansion of construction scale, which has led to the consumption of high-carbon building materials such as steel and cement, as well as the growth in energy consumption during construction activities. This finding resonates with the conclusions of Ma et al. [8] on public buildings in China and Hu Haowei et al. [11] on Anhui Province, supporting the universality of these driving factors. The rise in the UR indicates a large-scale migration of rural populations to urban areas, which not only generates significant demand for new residential buildings and infrastructure but also comes with the characteristic that urban building energy consumption density is significantly higher than that in rural areas, leading to a simultaneous increase in both operational and embodied CE. This view is supported by Zhang Xinsheng et al. [60]. Urbanization not only means the construction of a large number of new urban residences and public facilities but also accompanies a leap in per capita energy consumption levels and a shift towards commercialized energy structures. This result indicates that Jiangxi Province has a relatively high degree of urbanization and continues to have a sustained demand for construction.

6.2.2. Analysis of Uniqueness in CE in Jiangxi Province

(1) From a domestic comparative perspective, the distinctiveness of Jiangxi’s construction-sector carbon emissions—70% generated in building-materials production and still rising—springs from the province’s development stage and internal industrial structure. While the Yangtze River Delta [61] and Pearl River Delta [62] have entered a post-urbanization phase where mitigation focuses on operational energy, Jiangxi is in the acceleration lane of urbanization. Massive infrastructure and housing programs create inelastic demand for carbon-intensive materials such as cement and steel. This “scale-expansion” paradigm naturally pushes the emission front-load upstream to materials production. Moreover, Jiangxi’s industrialization is still anchored in traditional manufacturing and its energy transition lags, entrenching a high-carbon lock-in at the production stage. The province therefore faces an “incremental emission” challenge driven by rapid urbanization, not the “stock-emission” profile that dominates developed regions. Consequently, Jiangxi’s mitigation roadmap must diverge from the advanced-region template. Coastal provinces [63,64,65] can achieve deep cuts by raising tertiary-industry value-added density and building energy efficiency; their policy core is “stock optimisation”. Applying such post-industrial strategies to Jiangxi would yield diminishing returns. Our STIRPAT results show that gross output of the construction sector contributes 17.26%—the single largest driver—confirming that Jiangxi must confront scale head-on. Policy attention should shift from end-of-pipe energy savings to green transformation at the source (materials) and efficiency gains during construction, carving out a development-compatible mitigation track that is tightly coupled to the province’s current stage.
(2) From an international comparative perspective: first, in terms of carbon emission structure, Jiangxi’s “building materials production phase dominance” model (accounting for over 70%) stands in stark contrast to the “post-industrial” structure of developed economies like the EU, which focuses on operational energy consumption in buildings, while resembling the situation in rapidly urbanizing countries like India [66,67]. This confirms the global pattern of “carbon emission priorities in construction shifting earlier in development stages,” highlighting the foresight of this study’s focus on “emission reduction in upstream supply chains.” Second, regarding driving mechanisms, the study identifies “construction industry expansion” as the primary driver, differing from developed countries that have entered a phase of building stock renewal where drivers emphasize technological substitution and consumption behavior. This contrast sharply raises a global equity transition issue: How can developing regions meet their legitimate construction needs while avoiding the high-carbon trap? The proposed priority strategies of “green building materials substitution” and “construction process innovation” directly address this common challenge, aligning with international cutting-edge concepts like circular economy and industrial ecology. The unique value of Jiangxi’s case lies in demonstrating how to initiate this process under relatively weak data foundations and high traditional industry dependence, providing a “from 0 to 1” practical reference for other regions facing similar initial conditions.

6.3. Recommendations

Targeting the core contradiction that 70% of Jiangxi’s construction emissions originate in building-materials production, mitigation must concentrate on locally substituting high-carbon products. The Provincial Department of Industry and Information Technology should lead—together with Nanchang University and the Jiangxi Building Materials Research and Design Institute—to launch within one year the “Jiangxi Green Building Materials Carbon Footprint Platform”. Priority should be given to cement, steel and aluminum, the province’s dominant carbon-intensive products, using dynamic emission factors that reflect Jiangxi’s own energy mix rather than national averages. On this basis a “Green Materials Procurement List” will be created: all construction projects financed by provincial funds must specify in tender documents that ≥30% of materials come from the list, and the entire procurement chain will be tracked through the Jiangxi Public Resource Trading Centre. This instantly creates stable demand for new-wall materials, phospho-gypsum-based products and other low-carbon alternatives manufactured in Ganzhou, Yichun and elsewhere, turning policy guidance into market pull.
For technology deployment Jiangxi should abandon a one-size-fits-all chase for frontier solutions and instead screen “applicable low-carbon technologies” that match its industrial base. Given the province’s hot-humid summers and winters without district heating, the Department of Science and Technology should establish a “Construction-Carbon Technology Pilot Base” that gives first support to large-scale building-integrated photovoltaics in the new Ganjiang New Area and to prefabricated concrete sandwich exterior wall panels suited to Jiangxi’s prevalent masonry construction.
To ensure implementation, incentives must be directly linked to verified emission reductions. Construction-sector carbon targets should enter Jiangxi’s high-quality-development performance scorecard, with dual indicators—“building-materials carbon-intensity reduction rate” and “prefabrication share”—for every prefecture. A “Construction-Carbon Mitigation Special Fund” managed by the Department of Ecology and Environment will grant a subsidy equal to 30% of the additional verified reductions achieved by projects whose use of listed green materials exceeds the 30% baseline by 20%.

6.4. Limitations and Future Outlook

This study provides a systematic analysis and scientific insights into the CE issue in the construction industry of Jiangxi Province, but there is still room for expansion.
(1) In terms of variable selection, this study focuses on the macroeconomic and technological factors within the region and fails to fully consider the impact of spatial spillover effects and market mechanisms. Future research could construct spatial econometric models to examine the geographical correlation of CE in the construction industry. Meanwhile, incorporating market-oriented indicators such as carbon prices and the scale of green credit into the analytical framework will enable a more comprehensive assessment of the role of multidimensional driving forces.
(2) In terms of methodology, this study mainly relies on static cross-sectional data series for analysis, and the constructed STIRPAT model is essentially a static and equilibrium framework. It can reveal the long-term equilibrium relationships and average elasticities between variables, but it is difficult to capture the complex dynamic feedback processes and time-varying characteristics between driving factors and CE. Future research could introduce dynamic econometric methods such as vector autoregression models and system GMM to analyze the intertemporal interactions and impulse responses between variables, thereby more accurately revealing the short-term and long-term effects of policy interventions.
(3) In terms of data sources, the sample does not capture the latest trends following the full rollout of the “dual-carbon” agenda because of the fixed release cycle of official statistics, and some widely used proxy variables fail to reveal actual technology diffusion rates or abatement efficiency. Continuously tracking and evaluating the impacts of these new policies is therefore an evident next step. If finer-grained (city- or firm-level) standardized panel data become available in the future, more sophisticated models—such as dynamic panel specifications—can be estimated, allowing individual heterogeneity to be controlled while the causal effects of each driver are identified with greater precision. This progress depends on further refinement and greater openness of China’s construction-sector carbon-accounting statistical system.
Additionally, this study’s carbon accounting adopts a process-based LCA framework and relies on provincial statistical data. Allocating macro-level energy and material flows to specific building life-cycle stages required assumptions that may introduce uncertainty and failed to fully capture indirect emissions from complex upstream supply chains. Therefore, the absolute emission values reported should be interpreted as indicators of long-term trends and structural characteristics rather than precise inventories. Future research could integrate Economic Input–Output Life Cycle Assessment (EIO-LCA) or hybrid LCA models to develop a more refined “Jiangxi Construction Industry Carbon Emission Satellite Account,” thereby compensating for truncation errors and obtaining a more comprehensive emission map across the entire supply chain. Meanwhile, deeply integrating macro trend analysis with micro-level LCA case studies of typical building types will be a key direction for achieving cross-scale validation that bridges “macro mechanisms” and “micro-precision”.

Author Contributions

Conceptualization, X.G.; methodology, J.L.; software, J.L.; validation, J.L. and S.F.; formal analysis, X.G. and J.L.; investigation, J.L. and S.F.; resources, X.G., J.L., and S.F.; data curation, J.L. and S.F.; writing—original draft preparation, X.G., J.L. and S.F.; writing—review and editing, X.G., J.L. and J.G.; visualization, J.L. and S.F.; supervision, X.G.; project administration, J.G.; funding acquisition, X.G. and J.G. All authors have read and agreed to the published version of the manuscript.

Funding

This research and project supported by Jiangxi Provincial Natural Science Foundation (grant number 20252BAC200337).

Institutional Review Board Statement

Not applicable.

Informed Consent Statement

Not applicable.

Data Availability Statement

The original data presented in the study are openly available in GitHub at https://github.com/liujing-liu/lw (accessed on 17 December 2025).

Conflicts of Interest

The authors declare no conflict of interest.

References

  1. China Meteorological Administration. China Climate Bulletin. 2024. Available online: https://www.cma.gov.cn/zfxxgk/gknr/qxbg/202503/t20250302_6886935.html (accessed on 17 November 2025).
  2. China Building Energy Conservation Association, Committee of Building Energy Consumption and Carbon Emission Data. Research Report on Carbon Emissions in Urban and Rural Construction Sector, 2024th ed.; China Building Energy Conservation Association, Committee of Building Energy Consumption and Carbon Emission Data: Chongqing, China, 2024. [Google Scholar]
  3. China Building Energy Conservation Association. Research Report on Building Energy Consumption in China, 2020. Build. Energy Conserv. 2021, 49, 1–6. Available online: https://kns.cnki.net/kcms2/article/abstract?v=-xbefZa1CdvBZGyzSm3ZK6Shc1D630Pw3Do0GCDp38j1bTOk0gOhOY4fI9VKUR92FxXpjlPbkoBZ_dIeQanvmZ5lsNUy79JRNd-PQGNOe2Ia-8shYrFi7YWc95CVULdao2--HKiF-klOh3NFY1wFlj0mJrrzFvARaBBr7iJ41GY=&uniplatform=NZKPT (accessed on 17 November 2025).
  4. Zhou, N.; Khanna, N.; Feng, W.; Ke, J.; Levine, M. Scenarios of energy efficiency and CO2 emissions reduction potential in the buildings sector in China to year 2050. Nat. Energy 2018, 3, 978–984. [Google Scholar] [CrossRef]
  5. Xian, Y.; Wang, H.; Zhang, Z.; Yang, Y.; Zhong, Y. Driving factors and reduction paths dynamic simulation optimization of carbon dioxide emissions in China’s construction industry under the perspective of dual carbon targets. Environ. Impact Assess. Rev. 2025, 112, 107789. [Google Scholar] [CrossRef]
  6. China Building Energy Conservation Association, Committee of Building Energy Consumption and Carbon Emission Data. Research Report on China’s Building Energy Consumption and Carbon Emissions, 2022; China Building Energy Conservation Association, Committee of Building Energy Consumption and Carbon Emission Data: Chongqing, China, 2022; Available online: http://www.aaachina.org/nd.jsp?id=273 (accessed on 17 November 2025).
  7. Liu, Y.; Hu, W.; Xing, Y. A Study on the Factors Affecting Carbon Emissions of Public Service Buildings in China—Based on Two Carbon Emission Calculation Methods. Value Eng. 2023, 42, 135–139. [Google Scholar] [CrossRef]
  8. Ma, M.; Yan, R.; Cai, W. An extended STIRPAT model-based methodology for evaluating the driving forces affecting carbon emissions in existing public building sector: Evidence from China in 2000–2015. Nat. Hazards 2017, 89, 741–756. [Google Scholar] [CrossRef]
  9. Lu, Y.; Li, X. The Impact of Environmental Regulation and Urbanization on Carbon Emissions—An Empirical Study Based on the STIRPAT Model and the EKC Hypothesis. J. Jingchu Univ. Technol. 2019, 34, 26–33. [Google Scholar] [CrossRef]
  10. Zhao, Q.; Gao, W.; Su, Y.; Wang, T.; Wang, J. How can C&D waste recycling do a carbon emission contribution for construction industry in Japan city? Energy Build 2023, 298, 113538. [Google Scholar]
  11. Hu, H.; Wang, Q.; Zhu, L.; Zhang, Y. Prediction and Analysis of Building Carbon Emissions Based on the LEAP Model and LMDI Decomposition. J. Beijing Univ. Civ. Eng. Archit. 2023, 39, 80–87. [Google Scholar] [CrossRef]
  12. Rajasekharan, K.A.; Porchelvan, P. AN ANALYSIS OF LOW CARBON ENERGY ASSESSORS (LCEA) IN PUBLIC BUILDINGS. J. Eng. Res. 2022, 9. [Google Scholar] [CrossRef]
  13. IPCC. 2006 IPCC Guidelines for National Greenhouse Gas Inventories; IGES: Hayama, Japan, 2006. [Google Scholar]
  14. Sun, J.W.; Zhao, R.Q.; Huang, X.J.; Chen, Z.G. Research on China’s carbon emission accounting and its factor decomposition from 1995 to 2005. J. Nat. Resour. 2010, 25, 1284–1295. [Google Scholar]
  15. Zhang, Z.; Liu, R. Carbon Emission Accounting in Construction Industry Based on Input-Output Analysis. J. Tsinghua Univ. (Nat. Sci. Ed.) 2013, 53, 53–57. [Google Scholar] [CrossRef]
  16. Agyekum, K.; Sackey, K.N.Y.S.; Addoh, F.E.; Pittri, H.; Sosu, J.; Danso, F.O. Key Competencies of Built Environment Professionals for Achieving Net-Zero Carbon Emissions in the Ghanaian Construction Industry. Buildings 2025, 15, 1750. [Google Scholar] [CrossRef]
  17. Weigert, M.; Melnyk, O.; Winkler, L.; Raab, J. Carbon Emissions of Construction Processes on Urban Construction Sites. Sustainability 2022, 14, 12947. [Google Scholar] [CrossRef]
  18. Kanafani, K.; Magnes, J.; Lindhard, S.M.; Balouktsi, M. Carbon Emissions during the Building Construction Phase: A Comprehensive Case Study of Construction Sites in Denmark. Sustainability 2023, 15, 10992. [Google Scholar] [CrossRef]
  19. Onat, N.C.; Kucukvar, M.; Tatari, O. Scope-based carbon footprint analysis of U.S. residential and commercial buildings: An input–output hybrid life cycle assessment approach. Build. Environ. 2014, 72, 53–62. [Google Scholar] [CrossRef]
  20. Song, J.; Yuan, X.; Wang, X. Analysis of influencing factors of carbon emission intensity in China’s construction industry. Environ. Eng. 2018, 36, 178–182. [Google Scholar] [CrossRef]
  21. Roh, S.; Tae, S.; Kim, R. Developing a Green Building Index (GBI) Certification System to Effectively Reduce Carbon Emissions in South Korea’s Building Industry. Sustainability 2018, 10, 1872. [Google Scholar] [CrossRef]
  22. Gong, X.; Wang, Z.; Gao, F. Research on Energy Consumption and Greenhouse Gas Emissions in the Life Cycle of Buildings with Different Structures. Hous. Ind. 2012, 51–54. Available online: https://qikan.cqvip.com/Qikan/Article/Detail?id=42160381 (accessed on 17 November 2025).
  23. Hu, W.; Guo, S. Empirical evidence on the decomposition of carbon emissions in the use stage of residential buildings in China. J. Tongji Univ. (Nat. Sci. Ed.) 2012, 40, 960–964. [Google Scholar] [CrossRef]
  24. Jin, B.; Li, W.; Zhang, R.; Li, G. Analysis of the impact of carbon emission in China’s construction industry. Sci. Technol. Manag. Res. 2018, 38, 238–245. [Google Scholar] [CrossRef]
  25. Labaran, Y.H.; Musa, A.A.; Mathur, V.S.; Saini, G. Exploring the carbon footprint of Nigeria’s construction sector: A quantitative insight. In Environment, Development and Sustainability; Springer: Berlin/Heidelberg, Germany, 2024; pp. 1–26. [Google Scholar]
  26. Joseph, V.R.; Mustaffa, N.K.; Rani, I.A.; Isa, C.M. Key influence factors of carbon emissions in Malaysian construction operations. Proc. Inst. Civ. Eng. Eng. Sustain. 2024, 178, 77–90. [Google Scholar] [CrossRef]
  27. Zhu, D.; Tao, S.; Wang, R.; Shen, H.; Huang, Y.; Shen, G.; Wang, B.; Li, W.; Zhang, Y.; Chen, H.; et al. TTemporal and spatial trends of residential energy consumption and air pollutant emissions in China. Appl. Energy 2013, 106, 17–24. [Google Scholar] [CrossRef]
  28. Chang, S.; Feng, G.; Cui, H.; Zhang, L.; Li, Q. Prediction and analysis of carbon emission characteristics and emission reduction potential in the construction industry. J. Shenyang Jianzhu Univ. (Nat. Sci. Ed.) 2023, 39, 139–146. [Google Scholar] [CrossRef]
  29. Wang, Y.; Qi, S. Research on Direct Carbon Emission Accounting and Prediction in Fujian Province. Value Eng. 2017, 36, 77–79. [Google Scholar] [CrossRef]
  30. Oladoyin Abidemi AkintolaCA1, Ayodeji Emmanuel Oke2. Evaluating net-zero carbon emission benefits in Nigeria’s construction industry. Energy Build. 2025, 349, 116509. [Google Scholar] [CrossRef]
  31. Mustaffa, N.K.; Abdul Kudus, S.; Abdul Aziz, M.F.H.; Anak Joseph, V.R. Strategies and way forward of low carbon construction in Malaysia. Build. Res. Inf. 2022, 50, 628–645. [Google Scholar] [CrossRef]
  32. Ji, J.; Jiang, X. Our country Research on carbon emission prediction in the construction industry. J. Ocean. Univ. China (Soc. Sci. Ed.) 2012, 53–57. Available online: https://qikan.cqvip.com/Qikan/Article/Detail?id=41361528 (accessed on 17 November 2025).
  33. Chan, M.; Masrom, M.A.N.; Yasin, S.S. Selection of Low-Carbon Building Materials in Construction Projects: Construction Professionals’ Perspectives. Buildings 2022, 12, 486. [Google Scholar] [CrossRef]
  34. Victoria, M.F.; Perera, S. Parametric embodied carbon prediction model for early stage estimating. Energy Build. 2018, 168, 106–119. [Google Scholar] [CrossRef]
  35. Wenninger, S.; Kaymakci, C.; Wiethe, C. Explainable long-term building energy consumption prediction using QLattice. Appl. Energy 2022, 308, 118300. [Google Scholar] [CrossRef]
  36. Ministry of Housing and Urban-Rural Development of the People’s Republic of China. GB/T 51366-2019 Standard for Building Carbon Emission Calculation[S]; China Architecture & Building Press: Beijing, China, 2019. [Google Scholar]
  37. Liu, S. The Origin and Development of Grey System Theory. J. Nanjing Univ. Aeronaut. Astronaut. 2004, 36, 267–272. Available online: https://d.wanfangdata.com.cn/periodical/njhkht200402027 (accessed on 17 November 2025).
  38. Liu, S.; Cai, H.; Yang, Y.; Cao, Y. Research progress of grey relational analysis model. Syst. Eng.—Theory Pract. 2013, 33, 2041–2046. [Google Scholar] [CrossRef]
  39. Dietz, T.; Rosa, E.A. Rethinking the environmental impacts of population, Affluence and technology. Hum. Ecol. Rev. 1994, 1, 277–300. Available online: https://www.jstor.org/stable/24706840 (accessed on 17 November 2025).
  40. Jiangxi Provincial Bureau of Statistics. Jiangxi Statistical Yearbook; China Statistics Press: Beijing, China, 2021. [Google Scholar]
  41. Department of Fixed Asset Investment Statistics; National Bureau of Statistics of the People’s Republic of China. Statistical Yearbook of China’s Construction Industry; China Statistics Press: Beijing, China, 2021. [Google Scholar]
  42. Department of Energy Statistics; National Bureau of Statistics of the People’s Republic of China. China Energy Statistics Yearbook; China Statistics Press: Beijing, China, 2021. [Google Scholar]
  43. Cai, W.; Li, X.; Wang, X.; Chen, M.; Wu, Y. A Building Energy Consumption Decomposition Model Based on Energy Balance Table and Its Application. Heat. Vent. Air Cond. 2017, 47, 27–34. [Google Scholar] [CrossRef]
  44. Huo, T.; Ma, Y.; Cai, W.; Liu, B.; Mu, L. Will the urbanization process influence the peak of carbon emissions in the building sector? A dynamic scenario simulation. Energy Build. 2021, 232, 110590. [Google Scholar] [CrossRef]
  45. Zheng, H.; Long, Y.; Wood, R.; Moran, D.; Zhang, Z.; Meng, J.; Guan, D. Ageing society in developed countries challenges carbon mitigation. Nat. Clim. Change 2022, 12, 241–248. [Google Scholar] [CrossRef]
  46. Chen, R.; Rao, Z.; Liu, J.; Chen, Y.; Liao, S. Prediction of Energy Demand in Changsha City and Countermeasures Based on the LEAP Model. Resour. Sci. 2017, 39, 482–489. [Google Scholar] [CrossRef]
  47. Cheng, H.; Li, Y.; Cao, M. How to Achieve Carbon Reduction and Growth?—An Empirical Study Based on the New Energy Demonstration City Policy. J. Financ. Econ. 2024, 50, 126–140. [Google Scholar] [CrossRef]
  48. Zhu, W.; Cheng, Y. Analysis of Influencing Factors of Carbon Emissions in China’s Construction Industry and Prediction of Carbon Peak and Carbon Neutrality. J. Hebei Inst. Environ. Eng. 2024, 34, 1–7. [Google Scholar] [CrossRef]
  49. Zhang, T.; Yang, J.; Sheng, P. The Impact of Urbanization on China’s Carbon Emissions and Its Channels of Action. China Popul. Resour. Environ. 2016, 26, 47–57. [Google Scholar] [CrossRef]
  50. Lian, Y.; Su, D.; Shi, S. Carbon Peak Prediction in Fujian Province Based on Combined STIRPAT and CNN-LSTM Models. Environ. Sci. 2025, 46, 10–18. [Google Scholar] [CrossRef]
  51. Zhang, C.; Su, B.; Zhou, K.; Yang, S. Decomposition analysis of China’s CO2 emissions (2000–2016) and scenario analysis of its carbon intensity targets in 2020 and 2030. Sci. Total Environ. 2019, 668, 432–442. [Google Scholar] [CrossRef]
  52. Hong, J.; Li, Y.; Cai, W. Simulation of China’s Carbon Peak Paths from a Multi-Scenario Perspective—Based on the RICE-LEAP Model. Resour. Sci. 2021, 43, 639–651. Available online: https://d.wanfangdata.com.cn/periodical/zykx202104002 (accessed on 17 November 2025).
  53. Shi, Q.; Liang, Q.; Wang, J.; Huo, T.; Gao, J.; You, K.; Cai, W. Dynamic scenario simulations of phased carbon peaking in China’s building sector through 2030–2050. Sustain. Prod. Consum. 2023, 35, 724–734. [Google Scholar] [CrossRef]
  54. Niu, L.; Zhagn, L.; Xi, F.; Wang, J. Influencing factors and scenario forecasting of carbon emissions in Liaoning Province, China. J. Appl. Ecol. 2023, 34, 499–509. [Google Scholar] [CrossRef]
  55. Ke, Y.-M.; Gao, Y.; Yuan, M.; Liu, W.; Liu, F.-T. Data-driven Analysis on the Spatio-temporal Characteristics and Influencing Factors of Carbon Emissions in Guangdong Province. Environ. Sci. 2025, 46, 1482–1491. [Google Scholar] [CrossRef]
  56. Zhang, C.; Li, C.; Chen, X.; Luo, G.; Li, L.; Li, X.; Yan, Y.; Shao, H. A spatial-explicit dynamic vegetation model that couples carbon, water, and nitrogen processes for arid and semiarid ecosystems. J. Arid Land 2013, 5, 102–117. [Google Scholar] [CrossRef]
  57. Zhou, X.-H.; Hu, P.-C.; Cheng, P.-F. Carbon Emission Accounting and Peak Carbon Prediction of China’s Construction Industry from a Whole Life Cycle Perspective. Environ. Sci. 2025, 46, 2020–2034. [Google Scholar] [CrossRef]
  58. Xiao, X.; Wu, X. A Geometric Interpretation of Multicollinearity in Linear Regression. Stat. Decis. 2021, 37, 46–51. [Google Scholar] [CrossRef]
  59. Yang, N. The Unique Role of Ridge Regression Analysis in Solving Multicollinearity Problems. Stat. Decis. 2004, 3, 14–15. Available online: https://qikan.cqvip.com/Qikan/Article/Detail?id=9356940 (accessed on 16 November 2025).
  60. Zhang, X.-S.; Nie, D.-W.; Chen, Z.-Z.; Wang, R.-Z.; Su, J. Analysis of the Temporal and Spatial Evolution Characteristics and Influencing Factors of Carbon Emissions in the Construction Industry in Western Regions. Environ. Sci. 2025, 46, 5475–5489. [Google Scholar] [CrossRef]
  61. Liu, Y.; Wang, Y.; Zhu, L. Analysis of the Temporal and Spatial Characteristics and Influencing Factors of Carbon Emission Changes in the Construction Industry in the Yangtze River Delta Region. China Environ. Sci. 2023, 43, 6677–6688. [Google Scholar] [CrossRef]
  62. Liu, G.; Zheng, Y.; Xu, X.; Liu, X.; Zhang, H.; Ou, J. Fine-scale estimation of building operation carbon emissions: A case study of the Pearl River Delta Urban Agglomeration. Build. Simul. 2025, 18, 957–977. [Google Scholar] [CrossRef]
  63. Zheng, J.; Li, F.; Xia, X. Research on the Decoupling of Carbon Emissions from Buildings in Shenzhen and Its Influencing Factors. Constr. Technol. 2018, 2, 52–55. [Google Scholar] [CrossRef]
  64. Niu, H.; Liu, Z. A Study on the Influencing Factors of Carbon Emissions in China’s Construction Industry Based on the Dynamic Spatial Durbin Panel Model. Ecol. Econ. 2017, 33, 74–80. [Google Scholar]
  65. Huang, J.; Kuai, L.; An, H. The Impact Mechanism of Digital Economy on Carbon Emissions in the Construction Industry: A Case Study of the Yangtze River Delta Urban Agglomeration. Environ. Sci. 2025, 1–16. Available online: https://kns.cnki.net/kcms2/article/abstract?v=X7jC3qydZ5_g4RwBkOyhhTZALacPBXWfXaTx6bMWUHmiwHBPSkG4nsiPl1kS13jfl9S5sLrHfHFNDh4KFYpmljMU6MQwkaQZuSOPXkTfleQB9ScF3oMysLkwxqs-WKZqGRgmPlLhUaGMt1gRN01G_TG4PcCea6cEu-4yD51HAA8=&uniplatform=NZKPT (accessed on 16 November 2025).
  66. Chen, L.; Huang, L.; Hua, J.; Chen, Z.; Wei, L.; Osman, A.I.; Fawzy, S.; Rooney, D.W.; Dong, L.; Yap, P.-S. Green construction for low-carbon cities: A review. Environ. Chem. Lett. 2023, 21, 1627–1657. [Google Scholar] [CrossRef]
  67. Dhar, S.; Pathak, M.; Shukla, P.R. Transformation of India’s steel and cement industry in a sustainable 1.5 °C world. Energy Policy 2020, 137, 111104. [Google Scholar] [CrossRef]
Figure 1. The composition diagram of building CE.
Figure 1. The composition diagram of building CE.
Sustainability 18 00469 g001
Figure 2. LCCE of Buildings in Jiangxi Province from 2008 to 2021.
Figure 2. LCCE of Buildings in Jiangxi Province from 2008 to 2021.
Sustainability 18 00469 g002
Figure 3. Contribution rate of CE in each part of Jiangxi’s construction industry from 2008 to 2021.
Figure 3. Contribution rate of CE in each part of Jiangxi’s construction industry from 2008 to 2021.
Sustainability 18 00469 g003
Figure 4. Heat map of correlation coefficients.
Figure 4. Heat map of correlation coefficients.
Sustainability 18 00469 g004
Figure 5. Ridge trace plot of the model ridge regression.
Figure 5. Ridge trace plot of the model ridge regression.
Sustainability 18 00469 g005
Table 1. CEF of Building Operation Energy.
Table 1. CEF of Building Operation Energy.
Energy TypeUnit of MeasureLower Calorific Value
(KJ/Unit of Measure)
CEF (kgCO2/Unit)
Raw coalkg20,9081.91
Gasolinekg43,0702.936
Dieselkg42,6523.107
Natural gasm338,9312.164
Liquefied Petroleum Gaskg51,4343.192
Fuel oilkg41,8163.181
Refinery dry gaskg45,9983.011
Other coal washingkg19,9691.832
Coal productkg15,4721.72
Coal ganguekg83630.779
Coke oven gasm317,3540.771
Blast furnace gasm337630.977
Converter gasm379451.446
Table 2. The CEF for building materials production and transportation.
Table 2. The CEF for building materials production and transportation.
CategoryCEFUnit
Steel2.05tCO2e/t
Timber0.735tCO2e/t
Cement0.178tCO2e/t
Glass1.13tCO2e/t
Aluminum material20.5tCO2e/t
Railway0.01kgCO2e/(t·km)
Road0.17kgCO2e/(t·km)
waterway0.015kgCO2e/(t·km)
Table 3. Classification and sorting of influencing factors.
Table 3. Classification and sorting of influencing factors.
ClassificationInfluencing FactorsMeasurement Metrics
PopulationTotal regional population
UR
The degree of population aging
P
U
A
EconomyGDP per capita
Construction industry gross output value
G
S
TechnologyUnit energy consumption of added value in construction industry
Green technology innovation level
CEI of the construction industry
E
I
Ci
Table 4. Results of Grey Relational Analysis on Influencing Factors.
Table 4. Results of Grey Relational Analysis on Influencing Factors.
Factors AffectingMeasurement IndicatorsCorrelation Degree
GDP per capitaG0.888
Construction industry gross output valueS0.885
Urbanization rateU0.821
The degree of population agingA0.813
Total regional population (TP)P0.808
CEI of the construction industryCi0.793
Energy consumption per added value unit of construction industry (ton of standard coal/ten thousand yuan)E0.791
Green technology innovation level (patent number per 10,000 people)I0.703
Table 5. Results of Grey Relational Analysis.
Table 5. Results of Grey Relational Analysis.
Results of Relational Degree (ρ = 0.3)Results of Relational Degree (ρ = 0.7)
Evaluation ItemRelational DegreeRankingEvaluation ItemRelational DegreeRanking
S0.8611S0.9321
G0.8332G0.9152
U0.7483U0.8613
A0.7374A0.8544
P0.7315P0.855
Ci0.716Ci0.8386
E0.7097E0.8377
I0.6288I0.7518
Table 6. Results of Spearman’s Correlation Analysis.
Table 6. Results of Spearman’s Correlation Analysis.
GSCiPAIEU
CCorrelation Coefficient0.956 **0.949 **0.1940.876 **0.898 **0.827 **0.2520.928 **
Significance (Two-tailed)<0.01<0.010.507<0.01<0.01<0.010.385<0.01
N1414141414141414
** The correlation is significant at the 0.01 level (two-tailed).
Table 7. Multiple linear regression results.
Table 7. Multiple linear regression results.
ModelRR2Adjusted R2Error of Std Estimation
1.0000.9990.9980.01534
Unstd CoefficientStd CoefficienttSignificanceCollinearity Statistics
BStd ErrorBetaToleranceVIF
(Constant)12.77512.244 1.0430.345
ln G0.1410.1450.0910.9710.3760.004232.182
ln S0.9530.1390.9916.8540.0010.002557.146
ln U0.7820.8310.0420.2700.7980.002651.519
ln A0.0520.1500.0110.3460.7440.03528.359
ln P0.4491.5810.0050.2840.7880.10679.476
ln Ci0.9140.3710.3162.4670.0570.002437.970
ln E0.0570.3890.0200.1460.8890.002483.447
ln I−0.0030.041−0.006−0.0830.9370.009116.990
Table 8. ANOVA Table.
Table 8. ANOVA Table.
ModelSum of SquaresFreedomMean SquareFSignificance
Regression6.27880.785823.152<0.001
Residual0.00150.001
Total6.27913
Table 9. Co-linearity Diagnostic Table.
Table 9. Co-linearity Diagnostic Table.
DimensionEigenvalueConditional IndicatorsVariance Proportion
Constantln Gln Sln Uln Aln Pln Ciln Eln I
18.1211.0000.000.000.000.000.000.000.000.000.00
20.5553.8260.000.000.000.000.000.000.000.000.00
30.3245.0090.000.000.000.000.000.000.000.000.00
40.001117.5490.000.000.000.000.210.000.010.010.01
50.000238.1310.000.010.040.000.000.000.230.240.21
68.838 × 10−5303.1210.000.000.010.000.020.000.490.440.10
75.380 × 10−61228.6080.000.950.440.020.000.000.190.200.10
81.278 × 10−62521.0200.010.020.510.890.680.010.070.080.30
95.180 × 10−812,520.4390.990.020.000.090.090.990.010.020.28
Table 10. Ridge Regression Results when K = 0.15.
Table 10. Ridge Regression Results when K = 0.15.
Unstd CoefficientStd CoefficientTSignificanceVIF
BStd ErrorBeta
(Constant)−12.782.737-−4.5210.006
ln G0.3070.0330.1979.1950.000 0.334
ln S0.2960.0180.20311.0470.000 0.269
ln U0.5260.0510.17418.1370.000 0.125
ln A0.1810.180.1052.6710.044 1.314
ln P0.5763.2870.1754.7940.0051.314
ln Ci0.4140.0580.1437.1520.001 0.272
ln E0.320.0560.115.7070.002 0.255
ln I−0.1010.018−0.165−5.5840.003 0.599
R20.992
Adjusted R20.979
FF(8,5) = 76.527, p = 0.000
Table 11. Lasso Regression ANOVA Test Table.
Table 11. Lasso Regression ANOVA Test Table.
Sum of SquaresdfMean SquareFp-Value
Regression6.22980.77976.5270.000
Residual0.05150.010
Total6.27913
Table 12. Contribution Rate of Influencing Factors of CE in Jiangxi’s Construction Industry.
Table 12. Contribution Rate of Influencing Factors of CE in Jiangxi’s Construction Industry.
Factors Affecting β i x i a c d i
GDP per capita (G)0.30711.59%3.56%13.99%
Construction industry gross production value (S)0.29618.86%3.7%17.26%
Urbanization rate (U)0.5263.09%2.86%11.70%
The degree of population aging (A)0.1813.03%1.46%6.46%
Total population in the area (P)0.5760.20%0.12%16.22%
CEI of the construction industry (Ci)0.4143.07%1.27%9.72%
Energy consumption per unit of added value in the construction industry (E)0.323.64%1.16%8.92%
Green technology innovation water (I)−0.20126.38%−5.30%−13.51%
Disclaimer/Publisher’s Note: The statements, opinions and data contained in all publications are solely those of the individual author(s) and contributor(s) and not of MDPI and/or the editor(s). MDPI and/or the editor(s) disclaim responsibility for any injury to people or property resulting from any ideas, methods, instructions or products referred to in the content.

Share and Cite

MDPI and ACS Style

Guo, X.; Liu, J.; Fu, S.; Gu, J. Research on Influencing Factors of Carbon Emissions in the Regional Construction Industry: A Case Study of Jiangxi Province. Sustainability 2026, 18, 469. https://doi.org/10.3390/su18010469

AMA Style

Guo X, Liu J, Fu S, Gu J. Research on Influencing Factors of Carbon Emissions in the Regional Construction Industry: A Case Study of Jiangxi Province. Sustainability. 2026; 18(1):469. https://doi.org/10.3390/su18010469

Chicago/Turabian Style

Guo, Xiaojian, Jing Liu, Shenqiang Fu, and Jianglin Gu. 2026. "Research on Influencing Factors of Carbon Emissions in the Regional Construction Industry: A Case Study of Jiangxi Province" Sustainability 18, no. 1: 469. https://doi.org/10.3390/su18010469

APA Style

Guo, X., Liu, J., Fu, S., & Gu, J. (2026). Research on Influencing Factors of Carbon Emissions in the Regional Construction Industry: A Case Study of Jiangxi Province. Sustainability, 18(1), 469. https://doi.org/10.3390/su18010469

Note that from the first issue of 2016, this journal uses article numbers instead of page numbers. See further details here.

Article Metrics

Article metric data becomes available approximately 24 hours after publication online.
Back to TopTop