Quality Assessment of Farmer-Led Vermicompost Production in Semi-Arid Agroecosystems: Compliance with Global Standards
Abstract
1. Introduction
| Parameter | pH | EC (dS/cm) | OM (%) | OC (%) | Total N (%) | C:N | Total K (%) | Cu (ppm) | Zn (ppm) | µg CO2 |
|---|---|---|---|---|---|---|---|---|---|---|
| Türkiye | 5.5–8.5 [36] | ≤10 [37] | ≥35% [36] | N.S. | N.S. | ≤10:1–30:1 [36] | N.S. | ≤450 [38] | ≤1100 [38] | N.S. |
| EU | 6.0–8.5 [39] | ≤1 [40] | ≥15% [40,41] | ≥7.5% [39] | ≥8.5% [40] | N.S. | N.S. | N.S. | ≤200 [40] | ≤300 [39,41] | ≤300 [40] | ≤600 [41] | ≤800 [39] | ≤16 [40] |
| France | 6.0–8.5 [42] | ≤2.5 [43] | ≥30% [42] | ≥12% [43] | ≥1.0% [42,43] | ≤20:1 [43] | N.S. | ≤70 [42] | ≤200 [42] | ≤5 [43] |
| Germany | 6.0–8.5 [44] | ≤2.5 [44] | ≥20% [44] | 10% [44] | ≥0.8% [44,45] | ≤20:1 [44] | N.S. | ≤70 [45] | ≤200 [45] | ≤5 [44] |
| Austria | 6.0–8.5 [46] | ≤3.5 [46,47] | ≥20–35% [47] | ≥~10–20% [47] | 0.5–3.0% [47] | ≤20:1 [47] | N.S. | ≤70–150 [46] | ≤400–500 [46] | ≤10 [47] |
| Canada | 6.0–8.5 [48] | ≤2.5 [49] | ≥30% [49] | N.S. | N.S. | ≤22:1 [49] | N.S. | ≤100 [48] | ≤500 [48] | ≤5 [50] |
| India | 6.5–7.5 [51,52] | ≤4.0 [51,52] | Not specified | ≥12 [51] | ≥ 18 [52,53] | ≥0.8 [51] | ≥1.0 [52,53] | ≤20:1 [51,52] | ≥0.4 [51] | ≥0.8 [52,53] | ≤300 [51,52] | ≤1000 [51] | N.S. |
2. Materials and Methods
2.1. Project Design and Farmer Training
2.2. Vermicompost Production and Sampling
2.3. Sampling, Chemical, and Biological Analyses
| Analysis | Methods |
|---|---|
| Organic matter | Dry burning (adding 1 mL of 5% H2SO4 dissolved in ethyl alcohol to each 1 g of material and burning at 550 °C in porcelain crucibles) [56] |
| Total Nitrogen | Kjeldahl method [57] |
| pH | 1:10 (w/v), pH-meter in water: organic waste mixture [58] |
| EC | 1:10 (w/v), EC-meter in water: organic waste mixture [59] |
| Total Potassium | Flame photometry of the extract obtained by dry combustion [60] |
| CaCO3 | Schiebler method [60] |
| Total Ca, Mg, Zn, Cu, Mn, Na | The extract obtained by dry digestion was analyzed by Atomic Absorption Spectrophotometer [61] |
| Analysis | Protocol |
|---|---|
| Basal Respiration (CO2-C) | 50 g of soil is moistened with distilled water until it reaches 55% of its maximum water holding capacity and placed into 1 L Isermeyer jars. 25 mL of 0.05 M NaOH is added to the alkaline tube of the jar, and the jars are incubated at 25 °C for 3 days. The CO2 released by microbial respiration is trapped by the alkali, and the remaining OH- is titrated with standardized HCl in the presence of phenolphthalein indicator. The result is expressed as µg CO2-C g−1 dry soil [54]. |
| Microbial Biomass Carbon (MBC-C) | 50 g of soil is moistened with distilled water until it reaches 55% of its maximum water holding capacity, then 200 mg of glucose is added and placed into 1 L Isermeyer jars. The amount of CO2 released from the soil is determined hourly. The maximum respiration at the end of 4 h is calculated using the equation of 40.04 µg CO2 g−1 + 3.75, and the result is expressed as µg CO2-C g−1 dry soil [55]. |
2.4. Data Analysis
3. Results
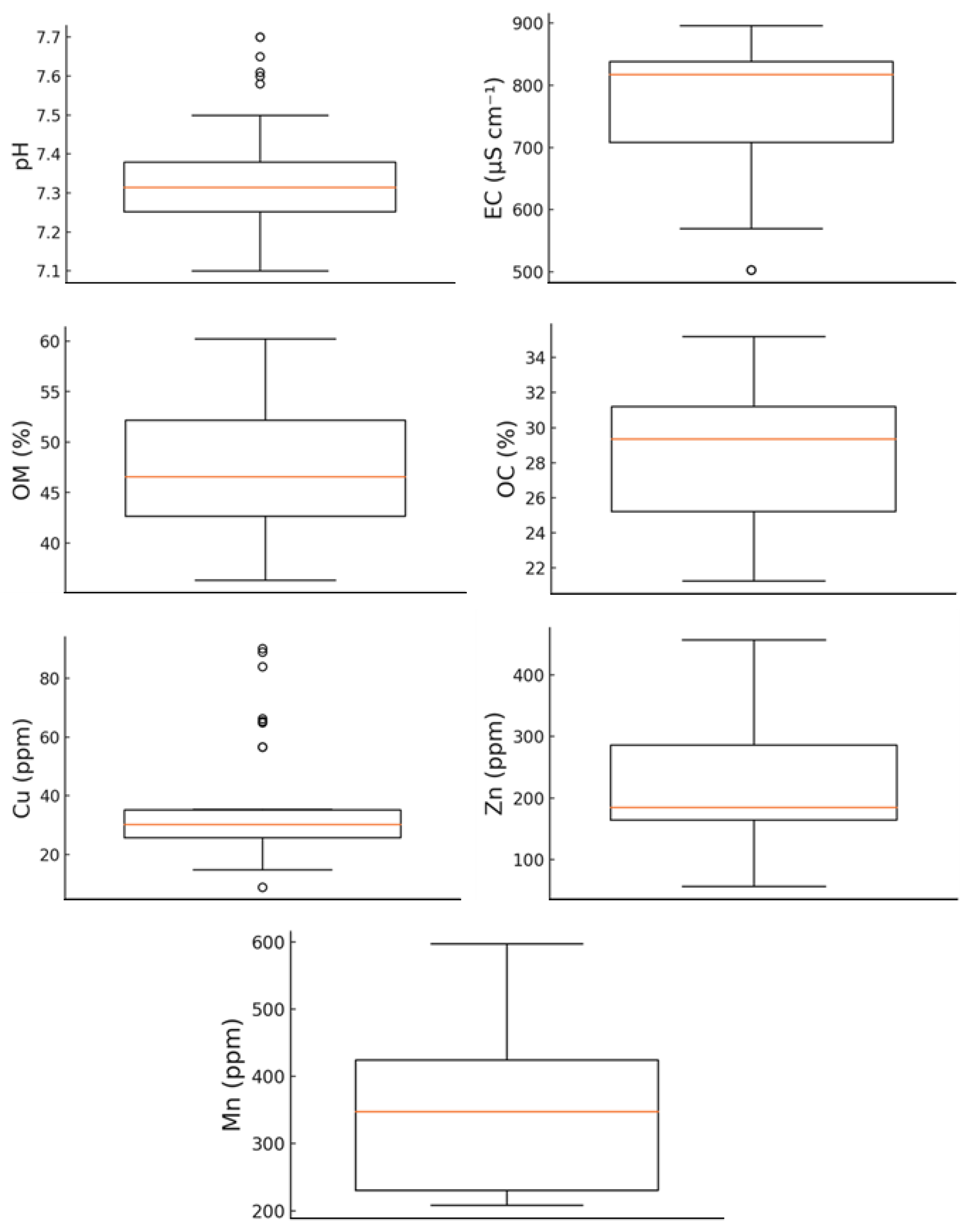
3.1. Vermicompost Quality Assessment
3.2. Compliance with International Standards
3.3. Multivariate Analysis of Vermicompost Parameters
4. Discussion
4.1. Quality and Compliance Evaluation
4.2. Implications of Parameter Interrelationships (Cluster Analysis)
4.3. Farmer Participation and Training Outcomes
4.4. Challenges, Limitations, and Recommendations
5. Conclusions
Funding
Institutional Review Board Statement
Informed Consent Statement
Data Availability Statement
Acknowledgments
Conflicts of Interest
References
- Villa, Y.B.; Khalsa, S.D.S.; Ryals, R.; Duncan, R.; Brown, P.H.; Hart, S.C. Organic Matter Amendments Improve Soil Fertility in Almond Orchards of Contrasting Soil Texture. Nutr. Cycl. Agroecosyst. 2021, 120, 343–361. [Google Scholar] [CrossRef]
- Schwerdtner, U.; Lacher, U.; Spohn, M. Soy and Mustard Effectively Mobilize Phosphorus from Inorganic and Organic Sources. Nutr. Cycl. Agroecosyst. 2022, 124, 211–226. [Google Scholar] [CrossRef]
- Sarie, F.; Mohammad, W.; Suparwata, D.O.; Jamin, F.S. Evaluation of the Effect of Climate Change Factors, Sustainable Agricultural Practices, and Community Involvement on Sustainable Agricultural Productivity: A Case Study on Rice Farmers in Cianjur Area. West Sci. Agro 2023, 1, 15–20. [Google Scholar] [CrossRef]
- Setsoafia, E.D.; Ma, W.; Renwick, A. Effects of sustainable agricultural practices on farm income and food security in northern Ghana. Agric. Food Econ. 2022, 10, 9. [Google Scholar] [CrossRef]
- Hilmi, Y.S.; Tóth, J.; Gabnai, Z.; Király, G.; Temesi, Á. Farmers’ Resilience to Climate Change Through the Circular Economy and Sustainable Agriculture: A Review from Developed and Developing Countries. Renew. Agric. Food Syst. 2024, 39, e15. [Google Scholar] [CrossRef]
- Waseem, R.; Mwalupaso, G.E.; Waseem, F.; Khan, H.; Panhwar, G.M.; Shi, Y. Adoption of Sustainable Agriculture Practices in Banana Farm Production: A Study from the Sindh Region of Pakistan. Int. J. Environ. Res. Public Health 2020, 17, 3714. [Google Scholar] [CrossRef]
- Etongo, D.; Épule, T.É.; Djenontin, I.N.; Kanninen, M. Land Management in Rural Burkina Faso: The Role of Socio-cultural and Institutional Factors. Nat. Resour. Forum 2018, 42, 201–213. [Google Scholar] [CrossRef]
- Kiełbasa, B.; Pietrzak, S.; Ulén, B.; Drangert, J.-O.; Tonderski, K. Sustainable Agriculture: The Study on Farmers’ Perception and Practices Regarding Nutrient Management and Limiting Losses. J. Water Land Dev. 2018, 36, 67–75. [Google Scholar] [CrossRef]
- Türkay, İ.; Öztürk, L. The form, dose, and method of application of vermicompost differentiate the phenylpropene biosynthesis in the peltate glandular trichomes of methylchavicol chemotype of Ocimum basilicum L. Ind. Crops Prod. 2023, 198, 116688. [Google Scholar] [CrossRef]
- Kızılkaya, R.; Türkay, F.Ş.H. Vermicomposting of anaerobically digested sewage sludge with hazelnut husk and cow manure by earthworm Eisenia foetida. Compos. Sci. Util. 2014, 22, 68–82. [Google Scholar] [CrossRef]
- Oyege, I.; Balaji Bhaskar, M.S. Effects of vermicompost on soil and plant health and promoting sustainable agriculture. Soil Syst. 2023, 7, 101. [Google Scholar] [CrossRef]
- Hashemi, S.; Pourreza, M.; Agha, A.B.A. Soil macrofauna diversity and biomass associated with the “fertility islands” beneath oak trees in a semi-arid woodland. Appl. Soil Ecol. 2024, 201, 105480. [Google Scholar] [CrossRef]
- Nevins, C.J.; Strauss, S.L.; Inglett, P.W. Uptake of Biocrust Nitrogen by Tree Crops in a Sandy Soil Agroecosystem. Nutr. Cycl. Agroecosyst. 2024, 128, 115–130. [Google Scholar] [CrossRef]
- Santos-Francés, F.; Graña, A.M.M.; Ávila-Zarza, C.; Criado, M.; Sánchez, Y.S. Soil Quality and Evaluation of Spatial Variability in a Semi-Arid Ecosystem in a Region of the Southeastern Iberian Peninsula (Spain). Land 2021, 11, 5. [Google Scholar] [CrossRef]
- Zhao, F.; Wu, Y.; Hui, J.; Sivakumar, B.; Meng, X.; Liu, S. Projected soil organic carbon loss in response to climate warming and soil water content in a loess watershed. Carbon Balance Manag. 2021, 16, 24. [Google Scholar] [CrossRef]
- Badrari, H.; Ghimire, R.; Aryal, D.R.; Mesbah, A.O. Soil Profile Distribution of Organic, Inorganic, and Labile Carbon and Nitrogen Fractions Vary in Semi-arid Drylands Under Long-term Conservation Tillage Systems. Soil Use Manag. 2024, 40, e13129. [Google Scholar] [CrossRef]
- Fernández, C.; Garcia-Franco, N.; Almagro, M.; Díaz-Pereira, E.; Luján, R.; García, E.; Martínez-Mena, M. Cover Crops Improve the Long-term Stabilization of Soil Organic Carbon and Total Nitrogen Through Physico-chemical Protection in Rainfed Semiarid Mediterranean Woody Crop Systems. Soil Use Manag. 2024, 40, e13066. [Google Scholar] [CrossRef]
- Ayesha, I.; Harahap, G.; Cahya, D.L. Effect of Farmer Group Empowerment and Agribusiness Training Program on Productivity and Income of Coffee Farmers in West Java. West Sci. Interdiscip. Stud. 2024, 2, 1823–1832. [Google Scholar] [CrossRef]
- Liang, Q.; Ma, K.; Liu, W. The Role of Farmer Cooperatives in Promoting Environmentally Sustainable Agricultural Development in China: A Review. Ann. Public Coop. Econ. 2023, 94, 741–759. [Google Scholar] [CrossRef]
- Kłoczko-Gajewska, A.; Sulewski, P. Environmental Awareness of Polish Farmers Participating in Fadn. In Proceedings of the International Scientific Conference “Economic Sciences for Agribusiness and Rural Economy”, Warsaw, Poland, 7–8 June 2018; pp. 68–74. [Google Scholar]
- Muhaimin, A.W.; Retnoningsih, D.; Pariasa, I.I. The Role of Women in Sustainable Agriculture Practices: Evidence from East Java Indonesia. Iop Conf. Ser. Earth Environ. Sci. 2023, 1153, 012005. [Google Scholar] [CrossRef]
- Piñeiro, V.; Arias, J.; Dürr, J.; Elverdin, P.; Ibáñez, A.M.; Kinengyere, A.; Opazo, C.M.; Owoo, N.; Page, J.R.; Prager, S.D.; et al. A scoping review on incentives for adoption of sustainable agricultural practices and their outcomes. Nat. Sustain. 2020, 3, 809–820. [Google Scholar] [CrossRef]
- Haq, S.u.; Boz, İ.; Shahbaz, P. Sustainability Assessment of Different Land Tenure Farming Systems in Tea Farming: The Effect of Decisional and Structural Variables. Integr. Environ. Assess. Manag. 2020, 17, 814–834. [Google Scholar] [CrossRef] [PubMed]
- Yue, C.; Lai, Y.; Wang, J.; Mitchell, P.D. Consumer Preferences for Sustainable Product Attributes and Farm Program Features. Sustainability 2020, 12, 7388. [Google Scholar] [CrossRef]
- Zeweld, W.; Huylenbroeck, G.V.; Tesfay, G.; Speelman, S. Smallholder Farmers’ Behavioural Intentions Towards Sustainable Agricultural Practices. J. Environ. Manag. 2017, 187, 71–81. [Google Scholar] [CrossRef]
- Abas, A.; Er, A.C.; Tambi, N.; Yusoff, N.H. A Systematic Review on Sustainable Agricultural Practices Among Oil Palm Farmers. Outlook Agric. 2021, 51, 155–163. [Google Scholar] [CrossRef]
- Lamm, A.J.; Lamm, K.W.; Trojan, S.J.; Sanders, C.E.; Byrd, A.R. A Needs Assessment to Inform Research and Outreach Efforts for Sustainable Agricultural Practices and Food Production in the Western United States. Foods 2023, 12, 1630. [Google Scholar] [CrossRef]
- Rockström, J.; Williams, J.; Daily, G.C.; Noble, A.; Matthews, N.; Gordon, L.; Wetterstrand, H.; DeClerck, F.; Shah, M.; Steduto, P.; et al. Sustainable Intensification of Agriculture for Human Prosperity and Global Sustainability. Ambio 2016, 46, 4–17. [Google Scholar] [CrossRef]
- Yang, W.; Sharp, B. Spatial Dependence and Determinants of Dairy Farmers’ Adoption of Best Management Practices for Water Protection in New Zealand. Environ. Manag. 2017, 59, 594–603. [Google Scholar] [CrossRef]
- Yu, J.; Wu, J. The Sustainability of Agricultural Development in China: The Agriculture–Environment Nexus. Sustainability 2018, 10, 1776. [Google Scholar] [CrossRef]
- Heylen, C.; Meunier, F.; Peeters, A.; Ek, S.; Neang, M.; Hean, S.; Peanh, S. Multidimensional Benefits of Sustainable Agriculture Practices of Cambodian Smallholder Farmers. Sustain. Agric. Res. 2019, 9, 10–25. [Google Scholar] [CrossRef]
- Mbelebele, Z.; Mdoda, L.; Ntlanga, S.S.; Nontu, Y.; Gidi, L.S. Harmonizing Traditional Knowledge with Environmental Preservation: Sustainable Strategies for the Conservation of Indigenous Medicinal Plants (IMPs) and Their Implications for Economic Well-Being. Sustainability 2024, 16, 5841. [Google Scholar] [CrossRef]
- Gębska, M.; Grontkowska, A.; Świderek, W.; Gołębiewska, B. Farmer Awareness and Implementation of Sustainable Agriculture Practices in Different Types of Farms in Poland. Sustainability 2020, 12, 8022. [Google Scholar] [CrossRef]
- Jessica Ortega de Jesus, S.; Bánkuti, F.I.; Damasceno, J.C.; Perez, H.L. Influence of Psychological Factors on Dairy Farmers’ Intentions to Adopt Environmental Sustainability Practices in Paraná State, Brazil. Sustainability 2024, 16, 4500. [Google Scholar] [CrossRef]
- Yang, W.; Wang, L. Impact of Farmer Group Participation on the Adoption of Sustainable Farming Practices—Spatial Analysis of New Zealand Dairy Farmers. Ann. Public Coop. Econ. 2022, 94, 701–717. [Google Scholar] [CrossRef]
- Republic of Türkiye Ministry of Agriculture and Forestry. Regulation on Market Surveillance and Inspection of Organic, Organomineral, and Chemical Fertilizers Used in Agriculture; Official Gazette No: 27676; Republic of Türkiye: Ankara, Türkiye, 2010. Available online: https://haliccevre.com/wp-content/uploads/2017/10/tar%C4%B1mda-kullan%C4%B1lan-organik-Y%C3%96NETMEL%C4%B0K.pdf (accessed on 29 January 2025).
- Republic of Türkiye Ministry of Agriculture and Forestry. Regulation on Market Surveillance and Inspection of Fertilizers; Official Gazette No: 28956; Republic of Türkiye: Ankara, Türkiye, 2014. Available online: https://www.resmigazete.gov.tr/eskiler/2014/03/20140329-4.htm (accessed on 23 April 2025).
- Republic of Türkiye Ministry of Agriculture and Forestry. Regulation on Organic, Mineral, and Microbial-Based Fertilizers Used in Agriculture; Official Gazette No: 30341; Republic of Türkiye: Ankara, Türkiye, 2018. Available online: https://www.resmigazete.gov.tr/eskiler/2018/02/20180223-4.htm (accessed on 23 April 2025).
- European Union. Regulation (EU) 2019/1009 on EU Fertilising Products; Official Journal of the European Union: Brussels, Belgium, 2019. [Google Scholar]
- European Union. EU Ecolabel Criteria for Soil Improvers and Growing Media; European Commission EU: Brussels, Belgium, 2022. [Google Scholar]
- European Compost Network. European Quality Assurance Scheme for Compost and Digestate; ECN-QAS: Bochum, Germany, 2014. [Google Scholar]
- NF U44-051; Amendements Organiques—Dénomination, Spécifications et Marquage. Association Française de Normalisation: Paris, France, 2002.
- Agence de la Transition Écologique. Guide de Gestion et Valorisation des Composts et Digestats en Agriculture; ADEME: Paris, France, 2021. [Google Scholar]
- European Compost Network. Quality Assurance for Compost and Digestate; Bundesgütegemeinschaft Kompost e.V.: Cologne, Germany, 2021. [Google Scholar]
- Bundesministerium für Ernährung und Landwirtschaft. Düngemittelverordnung (DüMV)—German Fertilizer Ordinance; Bundesministerium für Ernährung und Landwirtschaft: Berlin, Germany, 2012. Available online: https://www.gesetze-im-internet.de/d_mv_2012/ (accessed on 19 May 2025).
- Republic of Austria. Austrian Compost Ordinance; Republic of Austria: Vienna, Austria, 2001. Available online: https://www.ris.bka.gv.at/Dokumente/BgblPdf/2001_292_2/2001_292_2.pdf (accessed on 19 May 2025).
- Austrian Standards Institute. Requirements for a Quality Assurance System for Composts—Part 1: Principles for Quality Assurance of a Company and of the Internal Technical Processes; Austrian Standards Institute: Vienna, Austria, 2004. Available online: https://www.austrian-standards.at/en/shop/onorm-s-2206-1-2004-04-01~p1427863 (accessed on 19 May 2025).
- Canadian Council of Ministers of the Environment. Guidelines for Compost Quality; CCME: Winnipeg, MB, Canada, 2005. [Google Scholar]
- Ontario Ministry of the Environment. Ontario Compost Quality Standards; Government of Ontario: Toronto, ON, Canada, 2005. Available online: https://www.ontario.ca/page/ontario-compost-quality-standards (accessed on 24 July 2025).
- Compost Council of Canada. Compost Quality Alliance (CQA) Program Manual; Compost Council of Canada: Toronto, ON, Canada, 2020. [Google Scholar]
- Ministry of Environment, Forest and Climate Change. Solid Waste Management Rules, 2016; Government of India: New Delhi, India, 2016. Available online: http://www.jaipurmc.org/PDF/Auction_MM_RTI_Act_Etc_PDF/SOLID%20WASTE%20MANAGEMENT%20RULES%202016.pdf (accessed on 30 August 2025).
- IS 16702:2018; Vermicompost—Specification. Bureau of Indian Standards: New Delhi, India, 2018.
- Department of Agriculture and Farmers Welfare. The Fertilizer (Control) Order, 1985 (Amended in 2009 & 2013); Government of India: New Delhi, India, 1985. Available online: https://odishaagrilicense.nic.in/public/actsRules/Fertiliser_Control_Order_1985.pdf#page=74.08 (accessed on 30 August 2025).
- Anderson, J.P. Soil respiration. In Methods of Soil Analysis: Part 2 Chemical and Microbiological Properties; American Society of Agronomy: Madison, WI, USA, 1982; Volume 9, pp. 831–871. [Google Scholar]
- Anderson, J.P.; Domsch, K.H. A physiological method for the quantitative measurement of microbial biomass in soils. Soil Biol. Biochem. 1978, 10, 215–221. [Google Scholar] [CrossRef]
- Ryan, J.; Estefan, G.; Rashid, A. Soil and Plant Analysis Laboratory Manual; ICARDA: Beirut, Lebanon, 2001. [Google Scholar]
- Bremner, J.M. Nitrogen-total. In Methods of Soil Analysis: Part 3 Chemical Methods; American Society of Agronomy: Madison, WI, USA, 1996; Volume 5, pp. 1085–1121. [Google Scholar]
- Thomas, G.W. Soil pH and soil acidity. In Methods of Soil Analysis: Part 3 Chemical Methods; American Society of Agronomy: Madison, WI, USA, 1996; Volume 5, pp. 475–490. [Google Scholar]
- Rhoades, J. Salinity: Electrical conductivity and total dissolved solids. In Methods of Soil Analysis: Part 3 Chemical Methods; American Society of Agronomy: Madison, WI, USA, 1996; Volume 5, pp. 417–435. [Google Scholar]
- Kacar, B. Bitki ve Toprağın Kimyasal Analizleri; Ankara Ünİversitesi Ziraat Fakültesi Eğitim, Araştırma ve Geliştirme Vakfı: Ankara, Türkiye, 1994. [Google Scholar]
- Page, A.L. Methods of Soil Analysis. Part 2. Chemical and Microbiological Properties; American Society of Agronomy, Inc.: Madison, WI, USA; Soil Science Society of America, Inc.: Madison, WI, USA, 1982. [Google Scholar]
- IBM Corp. IBM SPSS Statistics for Windows, version 28.0; IBM Corp.: Armonk, NY, USA, 2021.
- R Core Team. R: A Language and Environment for Statistical Computing, version 4.3.2; R Foundation for Statistical Computing: Vienna, Austria, 2023.
- Wickham, H. ggplot2: Elegant Graphics for Data Analysis; Springer: New York, NY, USA, 2016. [Google Scholar]
- Kolde, R. Pheatmap: Pretty Heatmaps, R Package Version 1.0.12; OAE publishing Inc.: Alhambra, CA, USA, 2019. Available online: https://CRAN.R-project.org/package=pheatmap (accessed on 15 December 2025).
- Rastegari, H.; Mehdi, N.; Maryam, S.; Petrescu, D.C. Drivers and barriers in farmers’ adoption of vermicomposting as keys for sustainable agricultural waste management. Int. J. Agric. Sustain. 2023, 21, 2230826. [Google Scholar] [CrossRef]
- Shen, Z.; Yu, Z.; Xu, L.; Zhao, Y.; Yi, S.; Shen, C.; Wang, Y.; Li, Y.; Zuo, W.; Gu, C.; et al. Effects of Vermicompost Application on Growth and Heavy Metal Uptake of Barley Grown in Mudflat Salt-Affected Soils. Agronomy 2022, 12, 1007. [Google Scholar] [CrossRef]
- Mehdaoui, I.; Mahmoud, R.; Majbar, Z.; Berrada, S.; Ben Abbou, M.; Elshikh, M.S.; Ajmal Ali, M.; Chen, T.-W.; Taleb, M.; Rais, Z. Comparing how compost and manure affect soil organic matter using a complete factorial design. J. King Saud Univ.-Sci. 2024, 36, 103471. [Google Scholar] [CrossRef]
- Roy, E.D.; Esham, M.; Jayathilake, N.; Otoo, M.; Koliba, C.; Wijethunga, I.B.; Fein-Cole, M.J. Compost Quality and Markets Are Pivotal for Sustainability in Circular Food-Nutrient Systems: A Case Study of Sri Lanka. Front. Sustain. Food Syst. 2021, 5, 748391. [Google Scholar] [CrossRef]
- Moharana, P.; Biswas, D. Phosphorus Delivery Potential in Soil Amended with Rock Phosphate Enriched Composts of Variable Crop Residues under Wheat–Green Gram Cropping Sequence. Commun. Soil Sci. Plant Anal. 2022, 53, 1000–1017. [Google Scholar] [CrossRef]
- Elema, W.R. Preparation and Characterization of Vermicompost Made from Different Sources of Materials. Open J. Plant Sci. 2021, 6, 042–048. [Google Scholar] [CrossRef]
- Lv, M.; Li, J.; Zhang, W.; Zhou, B.; Dai, J.; Zhang, C. Microbial activity was greater in soils added with herb residue vermicompost than chemical fertilizer. Soil Ecol. Lett. 2020, 2, 209–219. [Google Scholar] [CrossRef]
- Coulibaly, S.S.; Edoukou, F.E.; Kouassi, K.I.; Bârsan, N.; Nedeff, V.; Zoro, I.A.B. Vermicompost Utilization: A Way to Food Security in Rural Area. Heliyon 2018, 4, e01104. [Google Scholar] [CrossRef]
- Turp, G.A.; Ozdemir, S.; Yetilmezsoy, K.; Oz, N.; Elkamel, A. Role of Vermicomposting Microorganisms in the Conversion of Biomass Ash to Bio-Based Fertilizers. Sustainability 2023, 15, 8984. [Google Scholar] [CrossRef]
- Gupta, G.; Dhar, S.; Kumar, A.; Choudhary, A.K.; Dass, A.; Sharma, V.; Shukla, L.; Upadhyay, P.K.; Das, A.; Jinger, D.; et al. Microbes-Mediated Integrated Nutrient Management for Improved Rhizo-Modulation, Pigeonpea Productivity, and Soil Bio-Fertility in a Semi-Arid Agro-Ecology. Front. Microbiol. 2022, 13, 924407. [Google Scholar] [CrossRef]
- UCANR. Compost. Available online: https://ucanr.edu/site/solution-center-nutrient-management/compost (accessed on 5 April 2025).















Disclaimer/Publisher’s Note: The statements, opinions and data contained in all publications are solely those of the individual author(s) and contributor(s) and not of MDPI and/or the editor(s). MDPI and/or the editor(s) disclaim responsibility for any injury to people or property resulting from any ideas, methods, instructions or products referred to in the content. |
© 2025 by the author. Licensee MDPI, Basel, Switzerland. This article is an open access article distributed under the terms and conditions of the Creative Commons Attribution (CC BY) license.
Share and Cite
Hepşen Türkay, F.Ş. Quality Assessment of Farmer-Led Vermicompost Production in Semi-Arid Agroecosystems: Compliance with Global Standards. Sustainability 2026, 18, 298. https://doi.org/10.3390/su18010298
Hepşen Türkay FŞ. Quality Assessment of Farmer-Led Vermicompost Production in Semi-Arid Agroecosystems: Compliance with Global Standards. Sustainability. 2026; 18(1):298. https://doi.org/10.3390/su18010298
Chicago/Turabian StyleHepşen Türkay, Fevziye Şüheda. 2026. "Quality Assessment of Farmer-Led Vermicompost Production in Semi-Arid Agroecosystems: Compliance with Global Standards" Sustainability 18, no. 1: 298. https://doi.org/10.3390/su18010298
APA StyleHepşen Türkay, F. Ş. (2026). Quality Assessment of Farmer-Led Vermicompost Production in Semi-Arid Agroecosystems: Compliance with Global Standards. Sustainability, 18(1), 298. https://doi.org/10.3390/su18010298

