Comparative Life Cycle Assessment of Pyrolysis and Hydrothermal Carbonization for Sewage Sludge Treatment in Colombia
Abstract
1. Introduction
2. Materials and Methods
2.1. Scope and System Boundaries
- S0—Incineration (reference scenario): SS is dried to 10% moisture, incinerated, and ashes are transported to a sanitary landfill. The heat generated is recovered for sludge drying. Flue gases are cleaned and released to the atmosphere.
- S1—Pyrolysis: SS is dried to 10% moisture and processed in a rotary kiln pyrolysis reactor at 450 °C. Pyrochar is transported for agricultural soil application. Liquid and gaseous pyrolysis products are combusted to provide thermal energy for sludge drying. Condensates from drying are recirculated to the WWTP. Flue gases are cleaned before release.
- S2—Hydrothermal carbonization (HTC): SS undergoes HTC at 200 °C and 30 bar. Process gases produced (only CO2) are released to the atmosphere, while solids and liquids are filtered, yielding hydrochar and process water (PW). Hydrochar is dried to 10% moisture and transported for agricultural use. Condensates and PW are recirculated to the WWTP.
2.2. Experimental Treatments and Characterization of Sewage Sludge and Products
2.2.1. Characterization of Sewage Sludge, Pyrochar and Hydrochar
- Proximate and ultimate analysis and higher heating value
- Heavy metals content
- Elemental composition of sewage sludge, ash and chars by XRF analysis
2.2.2. Composition of Gaseous Products
2.3. Process Simulation in Aspen Plus
2.4. Application of Chars to Soil
2.5. Life Cycle Inventory (LCI)
2.6. Impact Assessment Methodology
2.7. Parameter Sensitivity and Uncertainty Analysis
3. Results and Discussion
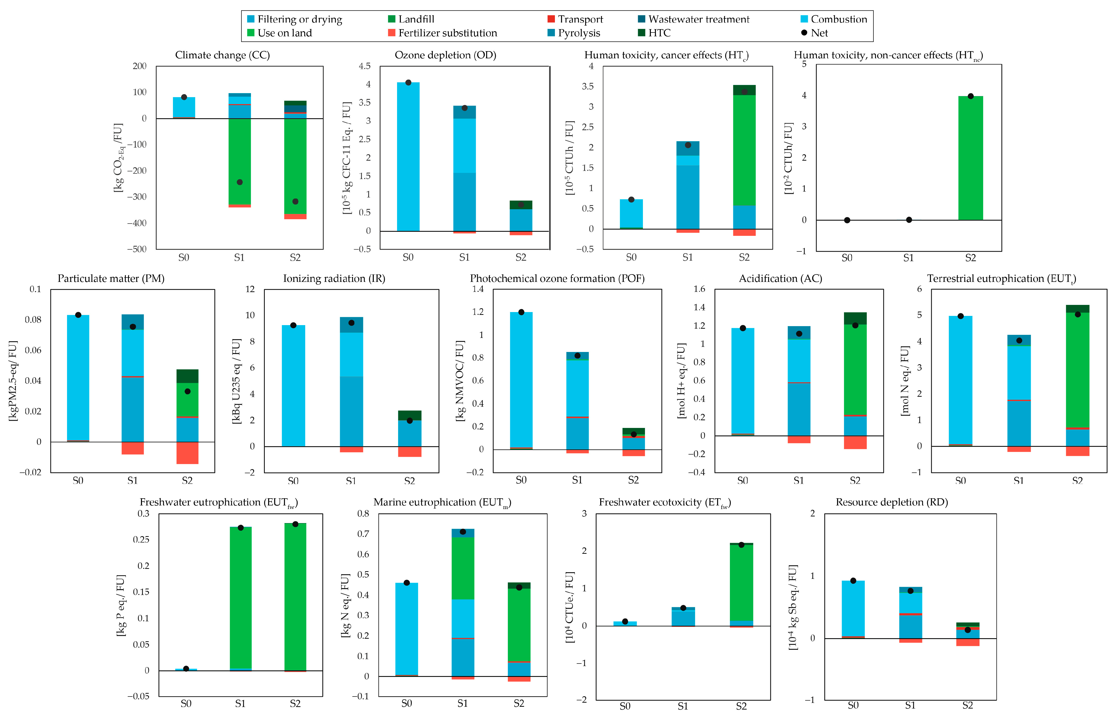
3.1. LCA Results: Process Contribution to the Impact Categories
3.1.1. Climate Change (CC)
3.1.2. Ozone Depletion (OD)
3.1.3. Human Toxicity and Freshwater Ecotoxicity Impacts
3.1.4. Particulate Matter (PM)
3.1.5. Ionizing Radiation (IR)
3.1.6. Photochemical Ozone Formation (POF)
3.1.7. Acidification (AC)
3.1.8. Eutrophication Impacts
3.1.9. Resource Depletion (RD)
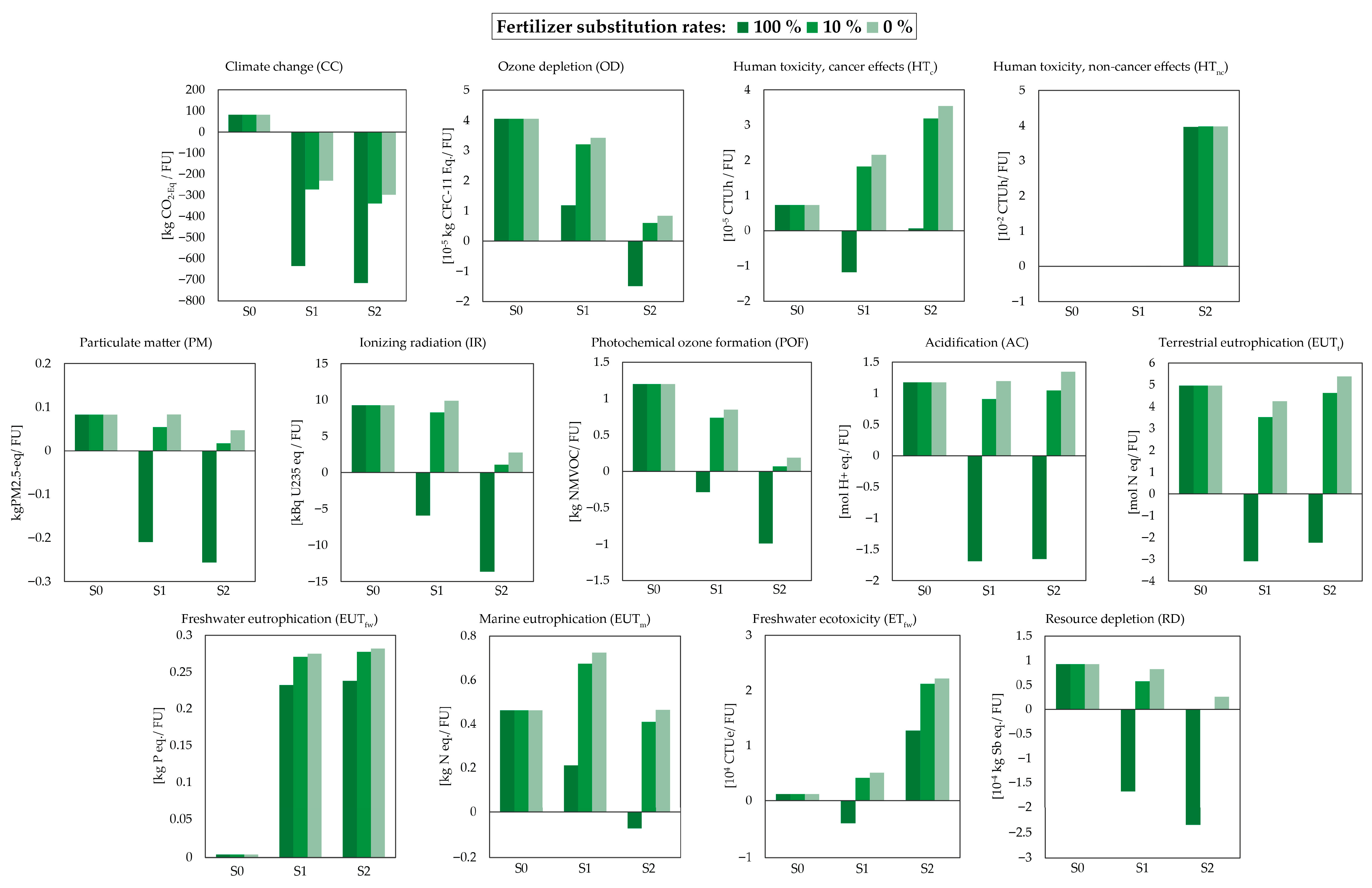
3.2. Fertilizer Substitution Rate Analysis
3.3. Uncertainty Propagation
3.4. Comparative Assessment Based on Discernibility Analysis
3.5. Global Sensitivity Analysis
4. Conclusions
Supplementary Materials
Author Contributions
Funding
Institutional Review Board Statement
Informed Consent Statement
Data Availability Statement
Conflicts of Interest
Abbreviations
| AC | Acidification |
| APOS | Allocation at the Point of Substitution |
| CC | Climate Change |
| ETfw | Freshwater Ecotoxicity |
| EUTfw | Freshwater Eutrophication |
| EUTm | Marine Eutrophication |
| EUTt | Terrestrial Eutrophication |
| FU | Functional Unit |
| GSA | Global Sensitivity Analysis |
| HTc | Human Toxicity cancer effects |
| HTnc | Human Toxicity non-cancer effects |
| HTC | Hydrothermal Carbonization |
| ICP-AES | Inductively Coupled Plasma Atomic Emission Spectroscopy |
| ILCD | International Reference Life Cycle Data System |
| IR | Ionizing Radiation |
| LCA | Life Cycle Assessment |
| LCI | Life Cycle Inventory |
| OD | Ozone Depletion |
| PE | Person Equivalent |
| PM | Particulate Matter |
| POF | Photochemical Ozone Formation |
| RD | Resource Depletion |
| S0 | Scenario 0 (Incineration) |
| S1 | Scenario 1 (Pyrolysis) |
| S2 | Scenario 2 (Hydrothermal Carbonization) |
| SC | Sensitivity Coefficient |
| SR | Sensitivity Ratio |
| SS | Sewage Sludge |
| WWTP | Wastewater Treatment Plant |
| XRF | X-ray Fluorescence |
Appendix A
| Impact Category | Units | Net | Drying/Filtration | Landfill | Transport | Water Treatment | Combustion |
|---|---|---|---|---|---|---|---|
| CC | kg CO2-eq | 8.23 × 101 | 1.29 × 100 | 1.27 × 100 | 2.61 × 100 | 1.60 × 10−1 | 7.70 × 101 |
| OD | kg CFC-11-eq | 4.06 × 10−5 | 3.61 × 10−8 | 4.64 × 10−10 | 9.42 × 10−10 | 4.58 × 10−9 | 4.05 × 10−5 |
| HTc | CTUh | 7.29 × 10−6 | 5.54 × 10−8 | 3.25 × 10−7 | 3.66 × 10−9 | 7.17 × 10−9 | 6.90 × 10−6 |
| HTnc | CTUh | 2.52 × 10−5 | 1.22 × 10−7 | 2.85 × 10−7 | 7.47 × 10−7 | 1.70 × 10−8 | 2.40 × 10−5 |
| PM | kg PM2.5-eq | 8.32 × 10−2 | 4.35 × 10−4 | 1.84 × 10−4 | 5.47 × 10−4 | 6.13 × 10−5 | 8.20 × 10−2 |
| IR | kBq U235-eq | 9.27 × 100 | 6.52 × 10−3 | 1.83 × 10−3 | 3.71 × 10−3 | 1.57 × 10−3 | 9.25 × 100 |
| POF | kg NMVOC | 1.20 × 100 | 2.73 × 10−3 | 8.09 × 10−3 | 9.04 × 10−3 | 3.51 × 10−4 | 1.18 × 100 |
| AC | mol H+-eq | 1.17 × 100 | 7.68 × 10−3 | 6.94 × 10−3 | 8.88 × 10−3 | 9.60 × 10−4 | 1.15 × 100 |
| EUTt | mol N-eq | 4.97 × 100 | 8.96 × 10−3 | 3.43 × 10−2 | 3.91 × 10−2 | 1.44 × 10−3 | 4.89 × 100 |
| EUTfw | kg P-eq | 4.06 × 10−3 | 2.79 × 10−5 | 2.18 × 10−5 | 2.24 × 10−6 | 3.42 × 10−6 | 4.01 × 10−3 |
| EUTm | kg N-eq | 4.62 × 10−1 | 8.34 × 10−4 | 3.06 × 10−3 | 3.43 × 10−3 | 1.81 × 10−4 | 4.54 × 10−1 |
| ETfw | CTUe | 1.21 × 103 | 4.04 × 100 | 1.65 × 101 | 6.83 × 10−1 | 6.96 × 10−1 | 1.19 × 103 |
| RD | kg Sb-eq | 9.28 × 10−5 | 1.45 × 10−7 | 1.14 × 10−6 | 2.31 × 10−6 | 3.25 × 10−8 | 8.91 × 10−5 |
| Impact Category | Units | Net | Pyrolysis | Drying/Filtration | Soil Application | Transport | Combustion | Fertilizer Substitution | Water Treatment |
|---|---|---|---|---|---|---|---|---|---|
| CC | kg CO2-eq | −2.42 × 102 | 1.32 × 101 | 5.19 × 101 | −3.28 × 102 | 3.79 × 100 | 2.81 × 101 | −1.12 × 101 | 1.54 × 10−1 |
| OD | kg CFC-11 eq | 3.36 × 10−5 | 3.51 × 10−6 | 1.59 × 10−5 | 4.23 × 10−10 | 1.36 × 10−9 | 1.48 × 10−5 | −6.33 × 10−7 | 4.40 × 10−9 |
| HTc | CTUh | 2.07 × 10−5 | 3.46 × 10−6 | 1.56 × 10−5 | 7.02 × 10−9 | 5.30 × 10−9 | 2.52 × 10−6 | −8.91 × 10−7 | 6.89 × 10−9 |
| HTnc | CTUh | 1.38 × 10−4 | 1.66 × 10−5 | 7.57 × 10−5 | 3.94 × 10−5 | 1.08 × 10−6 | 8.77 × 10−6 | −3.64 × 10−6 | 1.64 × 10−8 |
| PM | kg PM2.5-eq | 7.55 × 10−2 | 9.83 × 10−3 | 4.23 × 10−2 | 2.27 × 10−4 | 7.93 × 10−4 | 3.04 × 10−2 | −8.11 × 10−3 | 5.89 × 10−5 |
| IR | kBq U235 eq | 9.45 × 100 | 1.17 × 100 | 5.32 × 100 | 1.67 × 10−3 | 5.38 × 10−3 | 3.38 × 100 | −4.34 × 10−1 | 1.51 × 10−3 |
| POF | kg NMVOC | 8.20 × 10−1 | 6.36 × 10−2 | 2.74 × 10−1 | 9.20 × 10−3 | 1.31 × 10−2 | 4.91 × 10−1 | −3.13 × 10−2 | 3.37 × 10−4 |
| AC | mol H+ eq | 1.11 × 100 | 1.36 × 10−1 | 5.73 × 10−1 | 7.66 × 10−3 | 1.29 × 10−2 | 4.65 × 10−1 | −8.07 × 10−2 | 9.23 × 10−4 |
| EUTt | mol N eq | 4.04 × 100 | 3.89 × 10−1 | 1.73 × 100 | 3.89 × 10−2 | 5.67 × 10−2 | 2.04 × 100 | −2.12 × 10−1 | 1.38 × 10−3 |
| EUTfw | kg P eq | 2.74 × 10−1 | 7.23 × 10−4 | 3.14 × 10−3 | 2.70 × 10−1 | 3.24 × 10−6 | 1.46 × 10−3 | −1.36 × 10−3 | 3.29 × 10−6 |
| EUTm | kg N eq | 7.12 × 10−1 | 4.17 × 10−2 | 1.86 × 10−1 | 3.04 × 10−1 | 4.97 × 10−3 | 1.89 × 10−1 | −1.39 × 10−2 | 1.74 × 10−4 |
| ETfw | CTUe | 4.84 × 103 | 8.32 × 102 | 3.80 × 103 | 1.82 × 101 | 9.91 × 10−1 | 4.33 × 102 | −2.44 × 102 | 6.69 × 10−1 |
| RD | kg Sb eq | 7.62 × 10−5 | 8.32 × 10−6 | 3.73 × 10−5 | 1.04 × 10−6 | 3.35 × 10−6 | 3.26 × 10−5 | −6.37 × 10−6 | 3.13 × 10−8 |
| Impact Category | Units | Net | Water Treatment | Transport | Drying/Filtration | HTC | Soil Application | Fertilizer Substitution |
|---|---|---|---|---|---|---|---|---|
| CC | kg CO2-eq | −3.16 × 102 | 2.69 × 101 | 5.02 × 100 | 1.92 × 101 | 1.68 × 101 | −3.64 × 102 | −1.98 × 101 |
| OD | kg CFC-11 eq | 7.23 × 10−6 | 6.70 × 10−9 | 1.81 × 10−9 | 5.97 × 10−6 | 2.35 × 10−6 | 5.61 × 10−10 | −1.11 × 10−6 |
| HTc | CTUh | 3.38 × 10−5 | 1.05 × 10−8 | 7.02 × 10−9 | 5.83 × 10−6 | 2.45 × 10−6 | 2.71 × 10−5 | −1.63 × 10−6 |
| HTnc | CTUh | 3.98 × 10−2 | 2.49 × 10−8 | 1.43 × 10−6 | 2.84 × 10−5 | 1.08 × 10−5 | 3.97 × 10−2 | −7.00 × 10−6 |
| PM | kg PM2.5-eq | 3.32 × 10−2 | 8.97 × 10−5 | 1.05 × 10−3 | 1.58 × 10−2 | 8.89 × 10−3 | 2.17 × 10−2 | −1.44 × 10−2 |
| IR | kBq U235 eq | 1.98 × 100 | 2.29 × 10−3 | 7.13 × 10−3 | 2.00 × 100 | 7.43 × 10−1 | 2.21 × 10−3 | −7.74 × 10−1 |
| POF | kg NMVOC | 1.33 × 10−1 | 5.13 × 10−4 | 1.74 × 10−2 | 1.02 × 10−1 | 5.69 × 10−2 | 1.22 × 10−2 | −5.58 × 10−2 |
| AC | mol H+ eq | 1.21 × 100 | 1.40 × 10−3 | 1.70 × 10−2 | 2.14 × 10−1 | 1.34 × 10−1 | 9.81 × 10−1 | −1.42 × 10−1 |
| EUTt | mol N eq | 5.03 × 100 | 2.11 × 10−3 | 7.51 × 10−2 | 6.47 × 10−1 | 2.94 × 10−1 | 4.38 × 100 | −3.65 × 10−1 |
| EUTfw | kg P eq | 2.80 × 10−1 | 5.00 × 10−6 | 4.29 × 10−6 | 1.17 × 10−3 | 6.25 × 10−4 | 2.81 × 10−1 | −2.16 × 10−3 |
| EUTm | kg N eq | 4.39 × 10−1 | 2.65 × 10−4 | 6.58 × 10−3 | 6.97 × 10−2 | 3.07 × 10−2 | 3.57 × 10−1 | −2.52 × 10−2 |
| ETfw | CTUe | 2.17 × 104 | 1.02 × 100 | 1.31 × 100 | 1.43 × 103 | 5.26 × 102 | 2.02 × 104 | −4.44 × 102 |
| RD | kg Sb eq | 1.38 × 10−5 | 4.76 × 10−8 | 4.44 × 10−6 | 1.40 × 10−5 | 5.98 × 10−6 | 1.38 × 10−6 | −1.21 × 10−5 |
Appendix B
| Process | Parameter | Scenario | Description |
|---|---|---|---|
| Gas cleaning | GC_AC | S0 | Activated carbon requirement |
| GC_CaOH2 | S0 | Calcium hydroxide requirement | |
| GC_NaOH | S0. S1 | Sodium hydroxide requirement | |
| Pyrolysis | HR_HeatPirol | S1 | Heat requirement in rotary kiln reactor |
| HR_HeatRecov | S1 | Energy recovery in pyrolysis | |
| HR_Ychar | S1 | Char yield in pyrolysis | |
| HTC | HTC_Heat_react | S2 | Heat requirement in HTC reactor |
| HTC_HeatDry | S2 | Heat requirement in HTC dryer | |
| HTC_Ychar | S2 | Char yield in HTC | |
| Soil application | LU_CS_HR | S1 | Carbon storage rate in soil for pyrolysis char |
| LU_CS_HTC | S2 | Carbon storage rate in soil for HTC char | |
| LU_HR_Zn | S1 | Zinc transfer to soil from pyrolysis char | |
| LU_HTC_Cr | S2 | Chromium transfer to soil from HTC char | |
| LU_HTC_Zn | S2 | Zinc transfer to soil from HTC char | |
| SS composition | SS_Ash | S0. S1. S2 | Ash content in sewage sludge |
| SS_M | S0. S1 | Moisture content in sewage sludge | |
| SS_VS | S0. S1. S2 | Volatile solids content in sewage sludge | |
| SS_Zn | S2 | Zinc content in sewage sludge | |
| Fertilizer substitution | Subs_K | S1. S2 | Potassium fertilizer substitution rate in HTC and pyrolysis |
| Subs_N_HTC | S2 | Nitrogen fertilizer substitution rate in HTC | |
| Subs_N_HR | S1 | Nitrogen fertilizer substitution rate in pyrolysis | |
| Subs_P_HTC | S2 | Phosphorus fertilizer substitution rate in HTC | |
| Subs_P_HR | S1 | Phosphorus fertilizer substitution rate in pyrolysis |
References
- Pariente, M.I.; Segura, Y.; Molina, R.; Martínez, F. Wastewater treatment as a process and a resource. In Wastewater Treatment Residues as Resources for Biorefinery Products and Biofuels; Elsevier: Amsterdam, The Netherlands, 2019; pp. 19–45. [Google Scholar] [CrossRef]
- Demirbas, A.; Edris, G.; Alalayah, W.M. Sludge production from municipal wastewater treatment in sewage treatment plant. Energy Sources Part A Recovery Util. Environ. Eff. 2017, 39, 999–1006. [Google Scholar] [CrossRef]
- Rulkens, W. Sewage Sludge as a Biomass Resource for the Production of Energy: Overview and Assessment of the Various Options†. Energy Fuels 2007, 22, 9–15. [Google Scholar] [CrossRef]
- Gao, N.; Kamran, K.; Quan, C.; Williams, P.T. Thermochemical conversion of sewage sludge: A critical review. Prog. Energy Combust. Sci. 2020, 79, 100843. [Google Scholar] [CrossRef]
- EAAB. Informes de Actividades PTAR Salitre. 2025. Available online: https://www.acueducto.com.co/wps/portal/EAB2/Home/ambiente/saneamiento/rio-bogota/ptar-salitre/informes-de-actividades-ptar-salitre (accessed on 29 September 2025).
- U.S. Environmental Protection Agency (EPA). Biosolids. 2024. Available online: https://www.epa.gov/biosolids (accessed on 29 September 2025).
- Eurostat. Sewage Sludge Production and Disposal. Available online: https://ec.europa.eu/eurostat/databrowser/view/env_ww_spd/default/table?lang=en (accessed on 29 September 2025).
- Zhang, B.; Zhou, X.; Ren, X.; Hu, X.; Ji, B. Recent Research on Municipal Sludge as Soil Fertilizer in China: A Review. Water Air Soil. Pollut. 2023, 234, 119. [Google Scholar] [CrossRef]
- Hušek, M.; Homma, R.; Moško, J.; Pohořelý, M.; Oshita, K. P-recovery versus current sewage sludge treatment policy in the Czech Republic and Japan. Clean Technol. Environ. Policy 2024, 26, 1883–1899. [Google Scholar] [CrossRef]
- Government of Colombia. Propuesta de Modificación del Decreto 1287 de 2014 ‘Por el Cual se Establecen las Condiciones y Criterios para el uso de los Biosólidos Generados en Plantas de Tratamientos de Aguas Residuales Municipales. 2023. Available online: https://www.minvivienda.gov.co/system/files/consultasp/documento-soporte-modificacion-biosolidos-version-final-diciembre-de-2023.pdf (accessed on 9 November 2025).
- EAAB. Alcalde Galán Inaugura Primera Fase de Moderna Planta de Manejo de Biosólidos en la PTAR-Salitre. Available online: https://www.acueducto.com.co/wps/portal/EAB2/Home/general/sala-de-prensa/boletines/detalle/planta+biosolidos+ptar+salitre+alcalde+acueducto (accessed on 9 November 2025).
- Ellen MacArthur Foundation. Founding Partners of the Ellen MacArthur Foundation 2013 Circular Economy Towards the Economic and Business Rationale for an Accelerated Transition; Ellen MacArthur Foundation: Cowes, UK, 2013. [Google Scholar]
- Korhonen, J.; Honkasalo, A.; Seppälä, J. Circular Economy: The Concept and its Limitations. Ecol. Econ. 2018, 143, 37–46. [Google Scholar] [CrossRef]
- European Parliament and Council. Directive-2008/98-EN-Waste Framework Directive-EUR-Lex. Available online: https://eur-lex.europa.eu/eli/dir/2008/98/oj/eng (accessed on 29 September 2025).
- Basri, S.; Oruganti, R.K.; Panda, T.K.; Bhattacharyya, D. Beyond conventional approaches: Sustainable valorization of sewage sludge-challenges and opportunities. Sustain. Mater. Technol. 2025, 45, e01496. [Google Scholar] [CrossRef]
- Syed-Hassan, S.S.A.; Wang, Y.; Hu, S.; Su, S.; Xiang, J. Thermochemical processing of sewage sludge to energy and fuel: Fundamentals, challenges and considerations. Renew. Sustain. Energy Rev. 2017, 80, 888–913. [Google Scholar] [CrossRef]
- Fang, Y.; Tao, Y.; Wang, Q.; Chen, G.; Wang, L.; Pan, W.; Zou, B.; Qian, G.; Xu, Y. Preparation of phosphorus adsorbent while recovering phosphorus from sewage sludge ash. J. Environ. Chem. Eng. 2025, 13, 119503. [Google Scholar] [CrossRef]
- Hasan, M.M.; Rasul, M.G.; Khan, M.M.K.; Ashwath, N.; Jahirul, M.I. Energy recovery from municipal solid waste using pyrolysis technology: A review on current status and developments. Renew. Sustain. Energy Rev. 2021, 145, 111073. [Google Scholar] [CrossRef]
- Jerzak, W.; Acha, E.; Li, B. Comprehensive Review of Biomass Pyrolysis: Conventional and Advanced Technologies, Reactor Designs, Product Compositions and Yields, and Techno-Economic Analysis. Energies 2024, 17, 5082. [Google Scholar] [CrossRef]
- Mendoza, L. Pirólisis de Biosólidos en Horno Rotatorio; Universidad Nacional de Colombia: Bogotá, Colombia, 2016. Available online: https://repositorio.unal.edu.co/handle/unal/58938 (accessed on 29 September 2025).
- Ho, T.T.-T.; Nadeem, A.; Choe, K. A Review of Upscaling Hydrothermal Carbonization. Energies 2024, 17, 1918. [Google Scholar] [CrossRef]
- Antaco. Technology-Antaco. Available online: https://www.antaco.co.uk/technology/ (accessed on 8 October 2025).
- Ingelia. Plantas HTC Ingelia|Tecnología de Carbonización Hidrotermal para Valorización de Biomasa. Available online: https://www.ingelia.com/plantas-htc (accessed on 23 November 2025).
- Hou, S.; Wang, H.; Sun, J.; Liu, J.; Bai, M.; Zhang, W.; Xing, W.; Li, R. Hydrothermal carbonization of sewage sludge: Effects of hydrothermal temperature and time on biochar properties and migration and transformation of heavy metals. Int. Biodeterior. Biodegrad. 2026, 206, 106216. [Google Scholar] [CrossRef]
- Kwapińska, M.; Burke, N.; Leahy, J.J. Hydrothermal carbonization and pyrolysis of dairy processing sludge for improved nutrient management in agriculture: Current state-of-the-art. Chem. Eng. J. Adv. 2025, 24, 100888. [Google Scholar] [CrossRef]
- Rincón, S.; Mendoza, L.; Gómez, A. Tratamiento Térmico de Biosólidos para Aplicaciones Energéticas. Pirólisis y Conversión de sus Alquitranes; Kassel University Press: Kassel, Germany, 2019. [Google Scholar] [CrossRef]
- Miao, C.; Zeller, V. Nutrient circularity from waste to fertilizer: A perspective from LCA studies. Sci. Total Environ. 2025, 965, 178623. [Google Scholar] [CrossRef] [PubMed]
- ISO 14044:2006; Environmental Management—Life Cycle Assessment—Requirements and Guidelines. ISO Standards: Geneva, Switzerland, 2006. Available online: https://www.iso.org/obp/ui/#iso:std:iso:14044:ed-1:v1:en (accessed on 29 September 2025).
- Christensen, T.; Damgaard, A.; Levis, J.; Zhao, Y.; Björklund, A.; Arena, U.; Barlaz, M.; Starostina, V.; Boldrin, A.; Astrup, T.; et al. Application of LCA modelling in integrated waste management. Waste Manag. 2020, 118, 313–322. [Google Scholar] [CrossRef]
- Clavreul, J.; Baumeister, H.; Christensen, T.H.; Damgaard, A. An environmental assessment system for environmental technologies. Environ. Model. Softw. 2014, 60, 18–30. [Google Scholar] [CrossRef]
- Bisinella, V.; Conradsen, K.; Christensen, T.H.; Astrup, T.F. A global approach for sparse representation of uncertainty in Life Cycle Assessments of waste management systems. Int. J. Life Cycle Assess. 2016, 21, 378–394. [Google Scholar] [CrossRef]
- Gievers, F.; Mainardis, M.; Catenacci, A.; Loewen, A.; Nelles, M. Life cycle assessment of biochar and hydrochar derived from sewage sludge: Material or energy utilization? Clean. Environ. Syst. 2025, 16, 100254. [Google Scholar] [CrossRef]
- Abuşoğlu, A.; Özahi, E.; Kutlar, A.I.; Al-Jaf, H. Life cycle assessment (LCA) of digested sewage sludge incineration for heat and power production. J. Clean. Prod. 2017, 142, 1684–1692. [Google Scholar] [CrossRef]
- Pagés-Díaz, J.; Huiliñir, C.; Lorenzo-Llanes, J.; Gónzalez, L.M.L.; Barrera, E.L. Techno-economic and environmental assessment of hydrothermal carbonization coupled with anaerobic digestion for sewage sludge and municipal solid waste co-treatment in Chile. Biomass Bioenergy 2025, 201, 108105. [Google Scholar] [CrossRef]
- Behjat, M.; Svanström, M.; Peters, G. Environmental assessment of phosphorus recovery from dairy sludge: A comparative LCA study. Waste Manag. 2024, 187, 50–60. [Google Scholar] [CrossRef]
- Mendoza-Geney, L.; Fonseca, S.; Bermudez-Aguilar, F.D.; Martínez-Cordón, M.J.; Gómez, A.; Rincon-Prat, S. Agronomic potential of pyrochar and hydrochar from sewage sludge: Effects of carbonization conditions. Sustainability, 2025; in preparation. [Google Scholar]
- Rincón-Prat, S.; Gómez, A.; Mendoza-Geney, L. Valorización Térmica de Biosólidos en la Economía Circular: Producción de Biocarbonizados y Aprovechamiento Energético; Editorial UN: New York, NY, USA, 2025; in preparation. [Google Scholar]
- ISO 17246:2024; Coal and Coke—Proximate Analysis. ISO Standards: Geneva, Switzerland, 2024. Available online: https://www.iso.org/standard/86978.html (accessed on 29 September 2025).
- ISO 17247:2020; Coal and Coke—Ultimate Analysis. ISO Standards: Geneva, Switzerland, 2020. Available online: https://www.iso.org/standard/79740.html (accessed on 29 September 2025).
- ASTM D240-19; Test Method for Heat of Combustion of Liquid Hydrocarbon Fuels by Bomb Calorimeter. ASTM: West Conshohocken, PA, USA, 2019. [CrossRef]
- EPA Method 6010C (SW-846); Inductively Coupled Plasma-Atomic Emission Spectrometry. U. Environmental Protection Agency: Washington, DC, USA, 2017.
- Groarke, R.; Vijayaraghavan, R.K.; Powell, D.; Rennie, A.; Brabazon, D. Powder characterization—methods, standards, and state of the art. Fundam. Laser Powder Bed Fusion Met. 2021, 491–527. [Google Scholar] [CrossRef]
- ISO 18134-3:2023; Solid Biofuels—Determination of Moisture Content—Part 3: Moisture in General Analysis Sample. ISO Standards: Geneva, Switzerland, 2023. Available online: https://www.iso.org/standard/83193.html (accessed on 29 September 2025).
- ISO 18122:2022; Solid Biofuels—Determination of Ash Content. ISO Standards: Geneva, Switzerland, 2022. Available online: https://www.iso.org/standard/83190.html (accessed on 29 September 2025).
- ISO 18123:2023; Solid Biofuels—Determination of Volatile Matter. ISO Standards: Geneva, Switzerland, 2023. Available online: https://www.iso.org/standard/83192.html (accessed on 29 September 2025).
- Faragò, M.; Damgaard, A.; Logar, I.; Rygaard, M. Life Cycle Assessment and Cost-Benefit Analysis of Technologies in Water Resource Recovery Facilities: The Case of Sludge Pyrolysis. Environ. Sci. Technol. 2022, 56, 17988–17997. [Google Scholar] [CrossRef]
- Mayer, F.; Bhandari, R.; Gäth, S.A. Life cycle assessment of prospective sewage sludge treatment paths in Germany. J. Environ. Manag. 2021, 290, 112557. [Google Scholar] [CrossRef] [PubMed]
- Meisel, K.; Clemens, A.; Fühner, C.; Breulmann, M.; Majer, S.; Thrän, D. Comparative Life Cycle Assessment of HTC Concepts Valorizing Sewage Sludge for Energetic and Agricultural Use. Energies 2019, 12, 786. [Google Scholar] [CrossRef]
- Yuan, H.; Zhai, S.; Fu, H.; Li, Z.; Gao, D.; Zhu, H. Environmental and economic life cycle assessment of emerging sludge treatment routes. J. Clean. Prod. 2024, 449, 141792. [Google Scholar] [CrossRef]
- Pérez, L.E.; Pérez, A.E.; Pino-Cortés, E.; Vallejo, F.; Díaz-Robles, L.A. An environmental assessment for municipal organic waste and sludge treated by hydrothermal carbonization. Sci. Total Environ. 2022, 828, 154474. [Google Scholar] [CrossRef]
- Mannarino, G.; Caffaz, S.; Gori, R.; Lombardi, L. Environmental Life Cycle Assessment of Hydrothermal Carbonization of Sewage Sludge and Its Products Valorization Pathways. Waste Biomass Valorization 2022, 13, 3845–3864. [Google Scholar] [CrossRef]
- Medina-Martos, E.; Istrate, I.R.; Villamil, J.A.; Gálvez-Martos, J.L.; Dufour, J.; Mohedano, Á.F. Techno-economic and life cycle assessment of an integrated hydrothermal carbonization system for sewage sludge. J. Clean. Prod. 2020, 277, 122930. [Google Scholar] [CrossRef]
- Fonseca, S. Evaluación Comparativa del Ciclo de Vida de Pirólisis y Carbonización Hidrotérmica para Valorización de Biosólidos; Universidad Nacional de Colombia: Bogotá, Columbia, 2025; Available online: https://repositorio.unal.edu.co/handle/unal/88580 (accessed on 29 September 2025).
- Breulmann, M.; van Afferden, M.; Müller, R.A.; Schulz, E.; Fühner, C. Process conditions of pyrolysis and hydrothermal carbonization affect the potential of sewage sludge for soil carbon sequestration and amelioration. J. Anal. Appl. Pyrolysis 2017, 124, 256. [Google Scholar] [CrossRef]
- Kooij, J.; Yang, P.-T.; Bruun, S.; Magid, J.; Nielsen, U.G.; Kuhn, L.T.; Müller-Stöver, D. Phosphorus speciation in different sewage sludges and their biochars and its implications for movement of labile phosphate in two soils. J. Environ. Manag. 2024, 370, 122565. [Google Scholar] [CrossRef]
- Yuan, H.; Lu, T.; Wang, Y.; Chen, Y.; Lei, T. Sewage sludge biochar: Nutrient composition and its effect on the leaching of soil nutrients. Geoderma 2016, 267, 17–23. [Google Scholar] [CrossRef]
- Fei, Y.H.; Zhao, D.; Liu, Y.; Zhang, W.; Tang, Y.-Y.; Huang, X.; Wu, Q.; Wang, Y.-X.; Xiao, T.; Liu, C. Feasibility of sewage sludge derived hydrochars for agricultural application: Nutrients (N, P, K) and potentially toxic elements (Zn, Cu, Pb, Ni, Cd). Chemosphere 2019, 236, 124841. [Google Scholar] [CrossRef] [PubMed]
- Wernet, G.; Bauer, C.; Steubing, B.; Reinhard, J.; Moreno-Ruiz, E.; Weidema, B. The ecoinvent database version 3 (part I): Overview and methodology. Int. J. Life Cycle Assess. 2016, 21, 1218–1230. [Google Scholar] [CrossRef]
- European Commission-Joint Research Centre-Institute for Environment and Sustainability. ILCD Handbook: Analysis of Existing Environmental Impact Assessment Methodologies for Use in Life Cycle Assessment; European Commission-Joint Research Centre-Institute for Environment and Sustainability: Ispra, Italy, 2016; Available online: https://eplca.jrc.ec.europa.eu/ (accessed on 29 September 2025).
- Zampori, L.; Saouter, E.; Castellani, V.; Schau, E.; Cristobal, J.; Sala, S. Guide for Interpreting Life Cycle Assessment Result; Publications Office of the European Union: Luxembourg, 2016. [Google Scholar] [CrossRef]
- Heijungs, R.; Kleijn, R. Numerical approaches towards life cycle interpretation five examples. Int. J. Life Cycle Assess. 2021, 6, 141–148. [Google Scholar] [CrossRef]
- Czerwińska, K.; Wierońska-Wiśniewska, F.; Bytnar, K.; Mikusińska, J.; Śliz, M.; Wilk, M. The effect of an acidic environment during the hydrothermal carbonization of sewage sludge on solid and liquid products: The fate of heavy metals, phosphorus and other compounds. J. Environ. Manag. 2024, 365, 121637. [Google Scholar] [CrossRef]
- Song, X.; Xue, X.; Chen, D.; He, P.; Dai, X. Application of biochar from sewage sludge to plant cultivation: Influence of pyrolysis temperature and biochar-to-soil ratio on yield and heavy metal accumulation. Chemosphere 2014, 109, 213–220. [Google Scholar] [CrossRef]
- Schlederer, F.; Martín-Hernández, E.; Vaneeckhaute, C. Ensuring safety standards in sewage sludge-derived biochar: Impact of pyrolysis process temperature and carrier gas on micropollutant removal. J. Environ. Manag. 2024, 352, 119964. [Google Scholar] [CrossRef] [PubMed]
- Henderson, A.D.; Hauschild, M.Z.; van de Meent, D.; Huijbregts, M.A.J.; Larsen, H.F.; Margni, M.; McKone, T.E.; Payet, J.; Rosenbaum, R.K.; Jolliet, O. USEtox fate and ecotoxicity factors for comparative assessment of toxic emissions in life cycle analysis: Sensitivity to key chemical properties. Int. J. Life Cycle Assess. 2011, 16, 701–709. [Google Scholar] [CrossRef]
- Clavreul, J.; Guyonnet, D.; Christensen, T.H. Quantifying uncertainty in LCA-modelling of waste management systems. Waste Manag. 2012, 32, 2482–2495. [Google Scholar] [CrossRef]
- Inc. Aspen Technology. Aspen Plus ® Aspen Plus User Guide. 2000. Available online: http://www.aspentech.com (accessed on 29 September 2025).
- Liu, W.; Zheng, X.; Feng, Y.; Ying, Z.; Wang, B.; Dou, B. Prediction and optimization of hydrogen-rich gas production from sewage sludge via a combined process of hydrothermal carbonization, pyrolysis, and reforming. Energy Convers. Manag. 2023, 293, 117462. [Google Scholar] [CrossRef]
- Lumley, N.P.; Ramey, D.F.; Prieto, A.L.; Braun, R.J.; Cath, T.Y.; Porter, J.M. Techno-economic analysis of wastewater sludge gasification: A decentralized urban perspective. Bioresour. Technol. 2014, 161, 385–394. [Google Scholar] [CrossRef] [PubMed]
- Ghavami, N.; Özdenkçi, K.; Chianese, S.; Musmarra, D.; De Blasio, C. Process simulation of hydrothermal carbonization of digestate from energetic perspectives in Aspen Plus. Energy Convers. Manag. 2022, 270, 116215. [Google Scholar] [CrossRef]
- Haydary, J. Processes with Nonconventional Solids. In Chemical Process Design and Simulation; Springer: Berlin/Heidelberg, Germany, 2018; pp. 321–346. [Google Scholar] [CrossRef]
- Margraf, R. 531 Flue Gas Treatment for Sewage Sludge Incinerators Flue Gas Treatment for Sewage Sludge Incinerators-Concepts and First Results from Plants in Operation. Available online: www.luehr-filter.com (accessed on 29 September 2025).
- Chang, H.; Zhao, Y.; Bisinella, V.; Damgaard, A.; Christensen, T.H. Climate change impacts of conventional sewage sludge treatment and disposal. Water Res. 2023, 240, 120109. [Google Scholar] [CrossRef] [PubMed]




| Property | SS | Hydrochar | Pyrochar | Method |
|---|---|---|---|---|
| Proximate analysis | ||||
| Moisture [wt.%] | 77.39 ± 0.14 | 0 | 0 | [43] |
| Ash [wt.%] | 41.82 ± 0.12 | 52.98 ± 0.39 | 64.33 ± 0.03 | [44] |
| Volatile matter [wt.%] | 51.94 ± 0.22 | 38.25 ± 0.05 | 22.00 ± 1.37 | [45] |
| Fixed carbon 1 [wt.%] | 6.23 | 8.77 | 13.67 | [38] |
| Ultimate analysis | ||||
| C [wt.%] | 32.02 ± 0.39 | 27.03 ± 1.30 | 26.47 ± 0.02 | [39] |
| H [wt.%] | 4.10 ± 0.12 | 3.55 ± 0.16 | 1.90 ± 0.02 | |
| N [wt.%] | 5.52 ± 0.14 | 4.14 ± 1.61 | 3.56 ± 0.01 | |
| S [wt.%] | 1.19 ± 0.02 | 1.12 ± 0.17 | 0.75 ± 0.01 | |
| O 1 [wt.%] | 15.35 | 11.81 | 2.99 | |
| Heating value | ||||
| HHV [MJ/kg] | 14.22 ± 0.03 | 10.84 ± 0.47 | 9.52 ± 0.05 | [40] |
| LHV [MJ/kg] | 13.32 | 10.06 | 9.10 | |
| Element | Symbol | SS [mg/kg] | Hydrochar [mg/kg] | Pyrochar [mg/kg] |
|---|---|---|---|---|
| Arsenic | As | N.D. | N.D. | N.D. |
| Cadmium | Cd | 5.3 ± 0.6 | 3.9 | 10.0 |
| Zinc | Zn | 1415 ± 216 | 1990 | 2237 |
| Copper | Cu | 205 ± 1 | 302 | 328 |
| Chromium | Cr | 46.5 ± 11.3 | 54.0 | 56.5 |
| Mercury | Hg | N.D. | N.D. | N.D. |
| Nickel | Ni | 21.8 ± 1.5 | 35.4 | 31.5 |
| Lead | Pb | 36.0 ± 1.1 | 52.7 | 59.3 |
| Selenium | Se | N.D. | N.D. | N.D. |
| Element | Symbol | SS [wt.%] | Hydrochar [wt.%] | Pyrochar [wt.%] | SS Ash [wt.%] |
|---|---|---|---|---|---|
| Silicon | Si | 11.52 ± 0.95 | 14.20 | 14.74 | 23.05 |
| Calcium | Ca | 6.53 ± 0.08 | 7.58 | 7.94 | 9.82 |
| Iron | Fe | 6.53 ± 0.06 | 7.42 | 7.37 | 7.95 |
| Phosphorus | P | 4.28 ± 0.45 | 4.61 | 5.28 | 7.51 |
| Aluminum | Al | 3.48 ± 0.30 | 4.54 | 4.60 | 6.94 |
| Potassium | K | 0.93 ± 0.03 | 0.78 | 1.14 | 1.39 |
| Titanium | Ti | 0.84 ± 0.06 | 0.92 | 0.96 | 1.06 |
| Magnesium | Mg | 0.61 ± 0.15 | 0.54 | 0.90 | 1.34 |
| Barium | Ba | 0.24 ± 0.10 | 0.29 | 0.32 | 0.45 |
| Chlorine | Cl | 0.19 ± 0.00 | 0.06 | 0.32 | N.D. |
| Zirconium | Zr | 0.09 ± 0.01 | 0.09 | 0.08 | 0.09 |
| Sodium | Na | 0.08 ± 0.00 | 0.06 | 0.19 | 0.32 |
| Manganese | Mn | 0.08 ± 0.01 | 0.06 | 0.06 | 0.1 |
| Strontium | Sr | 0.07 ± 0.01 | 0.06 | 0.06 | 0.07 |
| Cerium | Ce | 0.05 ± 0.00 | N.D. | 0.04 | 0.07 |
| Vanadium | V | 0.02 ± 0.02 | 0.02 | 0.02 | 0.02 |
| Rubidium | Rb | 0.01 ± 0.00 | 0.01 | 0.01 | 0.01 |
| Impact Category | Symbol | p (S0 > S1) [%] | p (S0 > S2) [%] | p (S1 > S2) [%] | Comparison of Environmental Performance |
|---|---|---|---|---|---|
| Climate change | CC | 100.0 | 100.0 | 100.0 | S2 > S1 > S0 |
| Ozone depletion | OD | 100.0 | 100.0 | 100.0 | S2 > S1 > S0 |
| Human toxicity cancer effects | HTc | 0.0 | 0.0 | 0.0 | S0 > S1 > S2 |
| Human toxicity non-cancer effects | HTnc | 0.0 | 0.0 | 0.0 | S0 > S1 > S2 |
| Particulate matter | PM | 100.0 | 100.0 | 100.0 | S2 > S1 > S0 |
| Ionizing radiation | IR | 100.0 | 100.0 | 100.0 | S2 > S1 > S0 |
| Photochemical ozone formation | POF | 100.0 | 100.0 | 100.0 | S2 > S1 > S0 |
| Acidification | AC | 100.0 | 92.5 | 0.0 | S1 > S2 > S0 |
| Terrestrial eutrophication | EUTt | 100.0 | 91.8 | 0.0 | S1 > S2 > S0 |
| Eutrophication. freshwater | EUTfw | 0.0 | 0.0 | 3.6 | S0 > S1 > S2 |
| Eutrophication. marine | EUTm | 0.0 | 100.0 | 100.0 | S2 > S0 > S1 |
| Ecotoxicity. freshwater | ETfw | 0.0 | 0.0 | 0.0 | S0 > S1 > S2 |
| Resource depletion | RD | 100.0 | 100.0 | 100.0 | S2 > S1 > S0 |
| Parameter | CC | OD | HTc | HTnc | PM | IR | POF | AC | EUTt | EUTfw | EUTm | ETfw | RD |
|---|---|---|---|---|---|---|---|---|---|---|---|---|---|
| S0: incineration scenario [%] | |||||||||||||
| Flue gas cleaning | 99.6 | 99.8 | 99.7 | 99.7 | 99.6 | 99.7 | 92.5 | 97.9 | 91.0 | 99.7 | 92.3 | 99.7 | 99.7 |
| SS composition | 0.4 | 0.2 | 0.3 | 0.3 | 0.4 | 0.3 | 7.5 | 2.1 | 9.0 | 0.3 | 7.7 | 0.3 | 0.3 |
| S1: pyrolysis scenario [%] | |||||||||||||
| Flue gas cleaning | 0.1 | 12.0 | 0.2 | 0.1 | 0.2 | 1.7 | 0.2 | 0.1 | 0.1 | 0.0 | 0.1 | 0.1 | 0.7 |
| SS dryer | 0.3 | 14.1 | 8.9 | 10.4 | 0.8 | 4.3 | 2.3 | 1.4 | 1.9 | 0.1 | 5.0 | 6.5 | 0.9 |
| Rotatory kiln | 0.2 | 0.7 | 0.4 | 0.5 | 0.0 | 0.2 | 0.1 | 0.1 | 0.1 | 10.6 | 0.3 | 0.3 | 0.0 |
| Land use | 43.9 | 0.0 | 0.0 | 2.5 | 0.0 | 0.0 | 0.0 | 0.0 | 0.0 | 0.0 | 0.0 | 0.0 | 0.0 |
| SS composition | 0.0 | 0.7 | 0.3 | 0.4 | 0.0 | 0.2 | 0.3 | 0.1 | 0.1 | 0.0 | 0.4 | 0.2 | 0.0 |
| Fertilizer substitution | 55.4 | 72.4 | 90.2 | 86.0 | 98.9 | 93.6 | 97.2 | 98.4 | 97.8 | 89.3 | 94.2 | 92.9 | 98.3 |
| S2: HTC scenario [%] | |||||||||||||
| HTC | 3.5 | 2.3 | 3.7 | 0.0 | 0.1 | 0.5 | 0.3 | 0.7 | 2.1 | 64.5 | 3.3 | 0.1 | 0.1 |
| Land use | 40.1 | 0.0 | 14.1 | 9.7 | 0.0 | 0.0 | 0.0 | 0.0 | 0.0 | 0.0 | 0.0 | 9.0 | 0.0 |
| SS composition | 0.0 | 0.0 | 0.0 | 90.3 | 0.0 | 0.0 | 0.0 | 0.0 | 0.0 | 0.0 | 0.0 | 83.9 | 0.0 |
| Fertilizer substitution | 56.4 | 97.7 | 82.2 | 0.0 | 99.9 | 99.5 | 99.7 | 99.3 | 97.9 | 35.5 | 96.7 | 7.0 | 99.9 |
Disclaimer/Publisher’s Note: The statements, opinions and data contained in all publications are solely those of the individual author(s) and contributor(s) and not of MDPI and/or the editor(s). MDPI and/or the editor(s) disclaim responsibility for any injury to people or property resulting from any ideas, methods, instructions or products referred to in the content. |
© 2025 by the authors. Licensee MDPI, Basel, Switzerland. This article is an open access article distributed under the terms and conditions of the Creative Commons Attribution (CC BY) license.
Share and Cite
Fonseca, S.; Gómez, A.; Rincón Prat, S.L. Comparative Life Cycle Assessment of Pyrolysis and Hydrothermal Carbonization for Sewage Sludge Treatment in Colombia. Sustainability 2026, 18, 254. https://doi.org/10.3390/su18010254
Fonseca S, Gómez A, Rincón Prat SL. Comparative Life Cycle Assessment of Pyrolysis and Hydrothermal Carbonization for Sewage Sludge Treatment in Colombia. Sustainability. 2026; 18(1):254. https://doi.org/10.3390/su18010254
Chicago/Turabian StyleFonseca, Santiago, Alexánder Gómez, and Sonia Lucía Rincón Prat. 2026. "Comparative Life Cycle Assessment of Pyrolysis and Hydrothermal Carbonization for Sewage Sludge Treatment in Colombia" Sustainability 18, no. 1: 254. https://doi.org/10.3390/su18010254
APA StyleFonseca, S., Gómez, A., & Rincón Prat, S. L. (2026). Comparative Life Cycle Assessment of Pyrolysis and Hydrothermal Carbonization for Sewage Sludge Treatment in Colombia. Sustainability, 18(1), 254. https://doi.org/10.3390/su18010254

