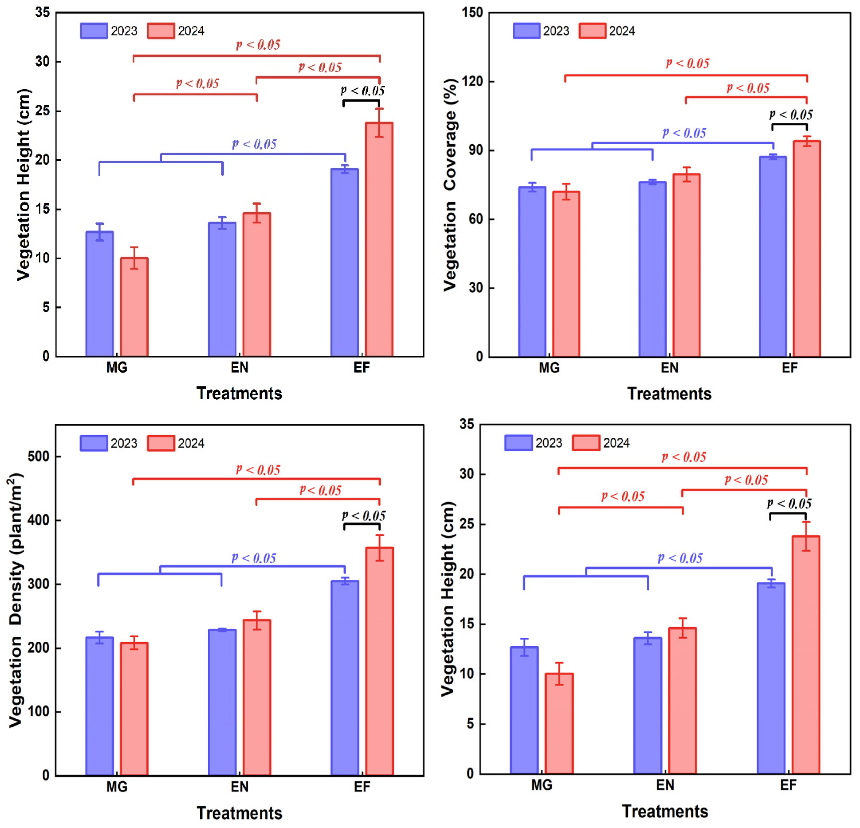
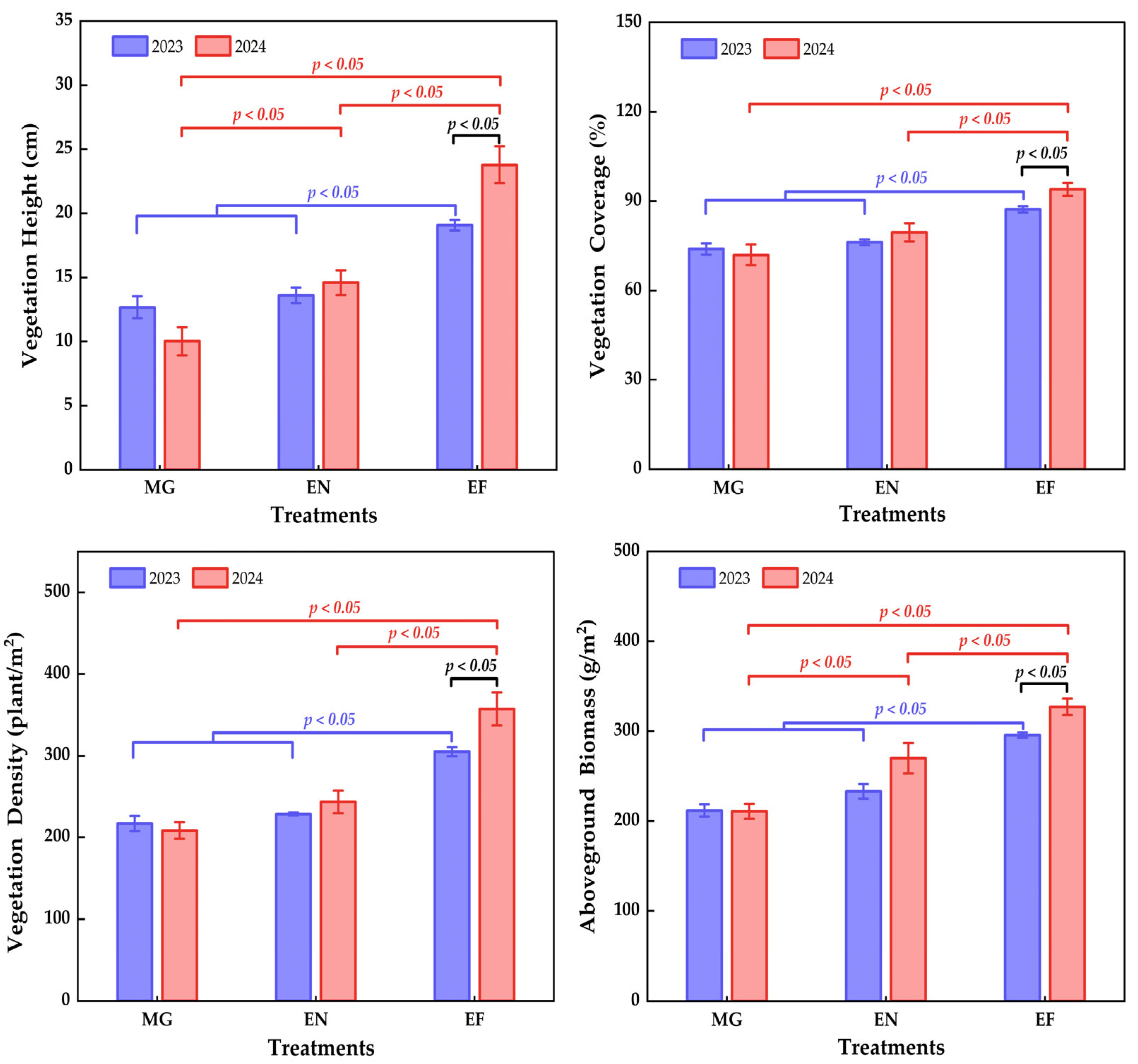
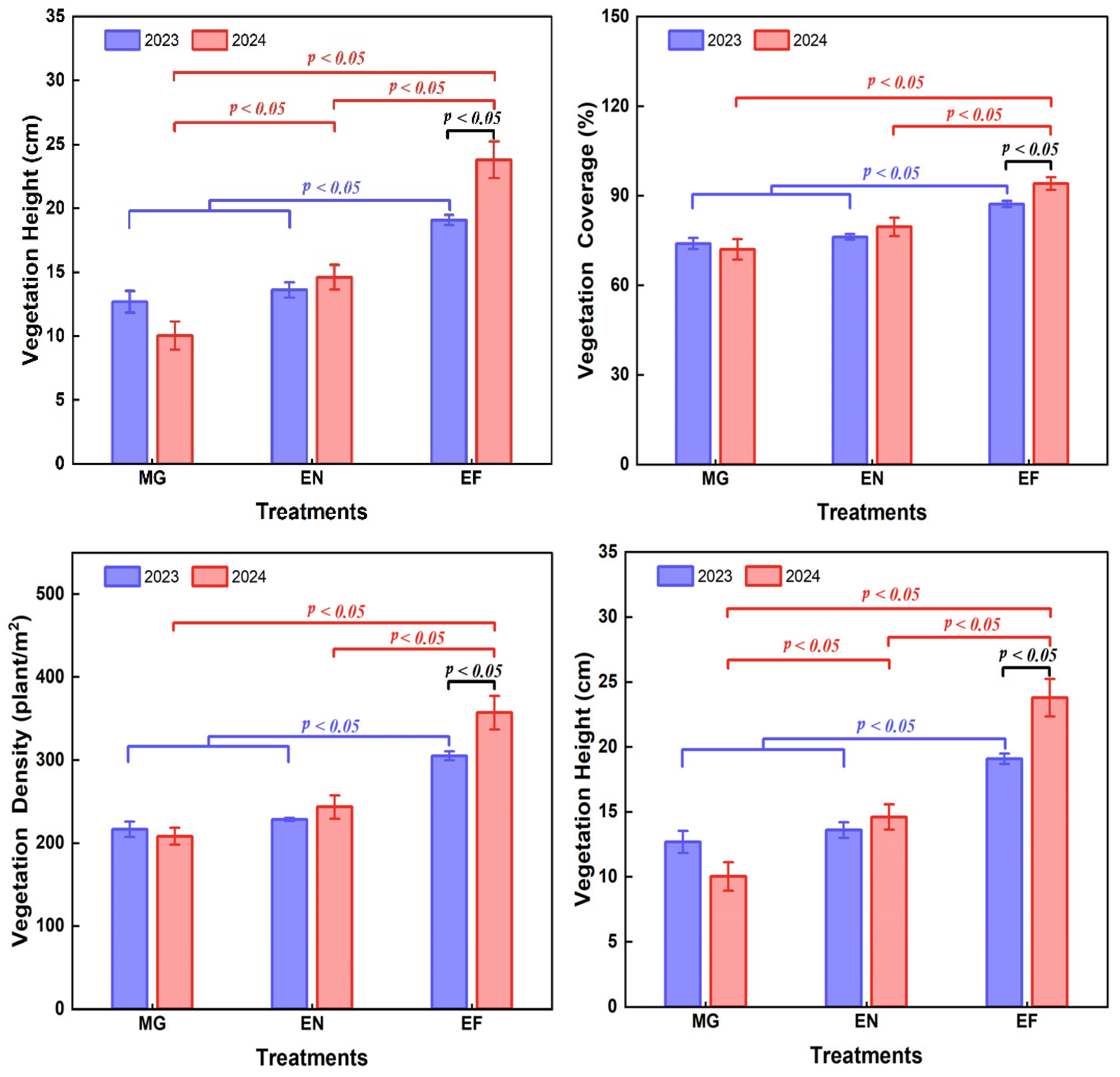
Correction: Yu et al. Sustainable Restoration of Typical Degraded Grasslands: An Evaluation of Ecological Benefits from Bio-Organic Fertilizer Applications. Sustainability 2025, 17, 8716


Reference
- Yu, Q.; Wang, Y.; Zhang, X.; Li, Y.; Lv, G.; Wilkes, A.; Wang, C. Sustainable Restoration of Typical Degraded Grasslands: An Evaluation of Ecological Benefits from Bio-Organic Fertilizer Applications. Sustainability 2025, 17, 8716. [Google Scholar] [CrossRef]
Disclaimer/Publisher’s Note: The statements, opinions and data contained in all publications are solely those of the individual author(s) and contributor(s) and not of MDPI and/or the editor(s). MDPI and/or the editor(s) disclaim responsibility for any injury to people or property resulting from any ideas, methods, instructions or products referred to in the content. |
© 2025 by the authors. Licensee MDPI, Basel, Switzerland. This article is an open access article distributed under the terms and conditions of the Creative Commons Attribution (CC BY) license.
Share and Cite
Yu, Q.; Wang, Y.; Zhang, X.; Li, Y.; Lv, G.; Wilkes, A.; Wang, C. Correction: Yu et al. Sustainable Restoration of Typical Degraded Grasslands: An Evaluation of Ecological Benefits from Bio-Organic Fertilizer Applications. Sustainability 2025, 17, 8716. Sustainability 2026, 18, 251. https://doi.org/10.3390/su18010251
Yu Q, Wang Y, Zhang X, Li Y, Lv G, Wilkes A, Wang C. Correction: Yu et al. Sustainable Restoration of Typical Degraded Grasslands: An Evaluation of Ecological Benefits from Bio-Organic Fertilizer Applications. Sustainability 2025, 17, 8716. Sustainability. 2026; 18(1):251. https://doi.org/10.3390/su18010251
Chicago/Turabian StyleYu, Qunjia, Yiyang Wang, Xuefang Zhang, Yanhua Li, Guangyi Lv, Andreas Wilkes, and Chengjie Wang. 2026. "Correction: Yu et al. Sustainable Restoration of Typical Degraded Grasslands: An Evaluation of Ecological Benefits from Bio-Organic Fertilizer Applications. Sustainability 2025, 17, 8716" Sustainability 18, no. 1: 251. https://doi.org/10.3390/su18010251
APA StyleYu, Q., Wang, Y., Zhang, X., Li, Y., Lv, G., Wilkes, A., & Wang, C. (2026). Correction: Yu et al. Sustainable Restoration of Typical Degraded Grasslands: An Evaluation of Ecological Benefits from Bio-Organic Fertilizer Applications. Sustainability 2025, 17, 8716. Sustainability, 18(1), 251. https://doi.org/10.3390/su18010251

