A Multi-Criteria Approach to Sustainable Building Material Selection: A Case Study in a Japanese Context
Abstract
1. Introduction
- Greenhouse gas emissions (GHG);
- Embodied energy (EE);
- Resource use (RU);
- Ozone depletion potential (ODP);
- Acidification potential (AP);
- Carbon storage (CS);
- Energy content (EC);
- Material cost (MC).
2. Materials and Methods
2.1. Reference Building Model and Building Materials Compared
2.2. Indicators
2.2.1. Greenhouse Gas Emissions (GHG; Unit: kgCO2eq)
2.2.2. Embodied Energy (EE; Unit: MJ)
2.2.3. Resource Use (RU; Unit: kg)
2.2.4. Ozone Depletion Potential (ODP; Unit: kgCFC11eq)
2.2.5. Acidification Potential (AP; Unit: kgSO2eq)
2.2.6. Carbon Storage (CS; Unit: kgCO2eq)
2.2.7. Energy Content (EC; Unit: MJ)
2.2.8. Material Cost (MC; Unit: JPY)
2.3. Calculation
2.4. Analysis Techniques
3. Results
3.1. Comparison of Structural Frames
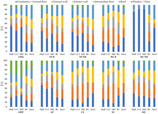
3.1.1. Dominance of Building Elements
3.1.2. Dominance of Building Materials
3.2. Comparison of Alternative Frame Material Combinations
4. Discussion
5. Conclusions
- The P&B frame is the preferred option in both environmental and economic aspects.
- The massive wooden frames (CLT and MH) can be the most environmentally friendly option, provided that sustainable forestry practices and appropriate EoL scenarios are implemented. However, CLT is the most expensive option.
- The RC and steel frames present certain disadvantages compared to wooden frames from an environmental perspective. While the standardized manufacturing and construction systems associated with RC and steel are advantageous, a hybrid approach that combines these materials with wooden frames could provide a solution that promotes both environmental and economic sustainability.
- Environmental indicators should take precedence over economic factors in the selection of a structural frame, as the impact of material selection among the considered options considered is minor in terms of MC.
- In the wooden frame options, the foundation is the predominant building element concerning GHG, EE (both R and NR), RU-NR, and AP. Given that small-scale wooden buildings continue to represent a significant portion of the current construction market in Japan, exploring alternative solutions for low-impact foundations could effectively reduce the environmental impacts of the construction industry.
- Referring to the concept of “two birds with one stone”, a single material that fulfills multiple functions in a building element, such as massive wood, can be an effective strategy for minimizing environmental impacts and costs while enhancing ecological benefits. This approach is particularly relevant for building elements that have diverse functional requirements, such as the building envelope.
- Greater attention should be paid to gypsum board, which is one of the most frequently used materials in Japan. There is significant potential to reduce the environmental impact of buildings by replacing it with alternative materials, such as wooden boards.
Author Contributions
Funding
Institutional Review Board Statement
Informed Consent Statement
Data Availability Statement
Conflicts of Interest
References
- AR6 Synthesis Report: Climate Change 2023: IPCC. 2023. Available online: https://www.ipcc.ch/report/ar6/syr/ (accessed on 1 April 2025).
- Llantoy, N.; Chàfer, M.; Cabeza, F.L. A comparative life cycle assessment (LCA) of different insulation materials for buildings in the continental Mediterranean climate. Energy Build. 2020, 225, 110323. [Google Scholar] [CrossRef]
- Schiavoni, S.; D’Alessandro, F.; Bianchi, F.; Asdrubali, F. Insulation materials for the building sector: A review and comparative analysis. Renew. Sustain. Energy Rev. 2016, 62, 988–1011. [Google Scholar] [CrossRef]
- Nwodo, M.N.; Anumba, C.J. A review of life cycle assessment of buildings using a systematic approach. Build. Environ. 2019, 162, 106290. [Google Scholar] [CrossRef]
- König, H.; Kohler, N.; Kreißig, J.; Lützkendorf, T. A Life Cycle Approach to Buildings: Principles, Calculations, Design Tools; Institut für Internationale Architektur-Dokumentation GmbH & Co. KG: Munich, Germany, 2010. [Google Scholar]
- Kotaji, S.; Schuurmans, A.; Edwards, S. Life-Cycle Assessment in Building and Construction: A State-of-The-Art Report of SETAC-Europe; Society of Environmental Toxicology & Chemist (SETAC): Brussels, Belgium, 2003. [Google Scholar]
- Hu, M. Building impact assessment-A combined life cycle assessment and multi-criteria decision analysis framework. Resour. Conserv. Recycl. 2019, 150, 104410. [Google Scholar] [CrossRef]
- Kerr, J.; Rayburg, S.; Neave, M.; Rodwell, J. Comparative Analysis of the Global Warming Potential (GWP) of Structural Stone, Concrete and Steel Construction Materials. Sustainability 2022, 14, 9019. [Google Scholar] [CrossRef]
- Thormark, C. The effect of material choice on the total energy need and recycling potential of a building. Build. Environ. 2006, 41, 1019–1026. [Google Scholar] [CrossRef]
- Tavares, V.; Lacerda, N.; Freire, F. Embodied energy and greenhouse gas emissions analysis of a prefabricated modular house: The “Moby” case study. J. Clean. Prod. 2021, 212, 1044–1053. [Google Scholar] [CrossRef]
- Takano, A.; Pal, S.K.; Kuittinen, M.; Alanne, K.; Hughes, M.; Winter, S. The effect of material selection on life cycle energy balance: A case study on a hypothetical building model in Finland. Build. Environ. 2015, 89, 192–202. [Google Scholar] [CrossRef]
- Feng, H.; Zhao, J.; Hollberg, A.; Habert, G. Where to focus? Developing a LCA impact category selection tool for manufactures of building materials. J. Clean. Prod. 2023, 405, 136936. [Google Scholar] [CrossRef]
- Invidiata, A.; Lavagnab, M.; Ghisi, E. Selecting design strategies using multi-criteria decision making to improve the sustainability of buildings. Build. Environ. 2018, 139, 58–68. [Google Scholar] [CrossRef]
- Chen, C.X.; Pierobon, E.; Jones, S.; Maples, L.; Gong, Y.; Ganguly, I. Comparative Life Cycle Assessment of Mass Timber and Concrete Residential Buildings: A case study in China. Sustainability 2022, 14, 144. [Google Scholar] [CrossRef]
- Vasishta, T.; Mehany, M.H.; Killingsworth, J. Comparative life cycle assessment (LCA) and life cycle cost analysis (LCCA) of precast and cast-in-place buildings in United States. J. Build. Eng. 2023, 67, 105921. [Google Scholar] [CrossRef]
- Pierobon, F.; Huang, M.; Simonen, K.; Ganguly, I. Environmental benefits of using hybrid CLT structure in midrise non-residential construction: An LCA based comparative case study in the U.S. J. Build. Eng. 2019, 26, 100862. [Google Scholar] [CrossRef]
- Geß, A.; Lorenz, M.; Tolsdorf, A.; Albrecht, S. Environmental impacts of Renewable Insulation Materials. Sustainability 2021, 13, 8505. [Google Scholar] [CrossRef]
- Takano, A.; Hughes, M.; Winter, S. A multidisciplinary approach to sustainable building material selection: A case study in a Finnish context. Build. Environ. 2014, 84, 526–535. [Google Scholar] [CrossRef]
- Balasbaneh, A.T.; Yeoh, D.; Juki, M.I.; Gohari, A.; Abidin, A.R.Z.; Marsono, A.K.B. Applying three pillar indicator assessments on alternative floor systems: Life cycle study. Int. J. Life Cycle Assess. 2021, 26, 1439–1455. [Google Scholar] [CrossRef]
- Balasbaneh, A.T.; Marsono, A.K.B. Applying multi-criteria decision-making on alternatives for earth-retaining walls: LCA, LCC, and S-LCA. Int. J. Life Cycle Assess. 2020, 25, 2140–2153. [Google Scholar] [CrossRef]
- Kobayashi, K.; Shimokawa, K.; Matsuzaki, R.; Suzuki, Y.; Isobe, T. Development of a background database for building LCA. J. Environ. Eng. 2021, 86, 388–398. [Google Scholar] [CrossRef]
- Kobayashi, K.; Isobe, T. LCA utilization for buildings: Current situation and future issues. AIJ J. Technol. Des. 2018, 24, 1129–1134. [Google Scholar] [CrossRef]
- Iwashita, Y.; Hurumoto, K.; Okuya, K.; Isono, S. Architectural Structure and Construction Method; Inoue Shoin: Tokyo, Japan, 2016. [Google Scholar]
- Overview of the Act on the Improvement of Energy Consumption Performance of Buildings. Institute for Building Environment and Energy Conservation (IBEC). 2016. Available online: https://www.mlit.go.jp/common/001134876.pdf (accessed on 26 September 2023).
- The National Institute of Advanced Industrial Science and Technology. Inventory Database for Environmental Analysis (IDEA), v3.3; National Institute of Advanced Industrial Science and Technology: Tokyo, Japan, 2024. [Google Scholar]
- EN 16485:2014; Round and Sawn Timber—Environmental Product Declarations—Product Category Rules for Wood and Wood-Based Products for Use in Construction. European Committee for Standardization: Brussels, Belgium, 2014.
- EN 16449:2014; Wood and Wood-Based Products—Calculation of the Biogenic Carbon Content of Wood and Conversion to Carbon Dioxide. European Committee for Standardization: Brussels, Belgium, 2014.
- Suzuki, Y. Material and energy utilization of forest resource. J. Jpn. Forest Eng. Soc. 2012, 27, 69–80. [Google Scholar]
- Economic Research Association. Price Data for Construction Cost Estimating; Economic Research Association: Tokyo, Japan, 2021. [Google Scholar]
- FAO. The State of the World’s Forests 2024—Forest Sector Innovations Towards a More Sustainable Future; FAO: Rome, Italy, 2024. [Google Scholar] [CrossRef]
- Yasantha, A.U.G.; Babel, S.; Gheewala, S. A matrix in life cycle perspective for selecting sustainable materials for buildings in Sri Lanka. Build. Environ. 2009, 44, 997–1004. [Google Scholar] [CrossRef]
- Spike Base/Frame Foundation System. Lasco Japan Co., Ltd. Available online: https://lasco.jp/technology/tec02/ (accessed on 1 April 2025).
- Construction Statistics in Japan. Ministry of Land, Infrastructure, Transport and Tourism. 2024. Available online: https://www.e-stat.go.jp/en/stat-search/files?page=1&toukei=00600120&tstat=000001016966 (accessed on 1 April 2025).
- Gypsum Board Association of Japan. 2025. Available online: https://www.gypsumboard-a.or.jp (accessed on 5 April 2025).
- Blay-Armah, A.; Mohebbi, G.; Bahadori-Jahromi, A.; Fu, C.; Amoako-Attah, J.; Barthorpe, M. Evaluation of Embodied Carbon Emission in UK Supermarket Constructions: A Study on Steel, Brick, and Timber Frameworks with consideration of End-of-Life Processes. Sustainability 2023, 15, 14978. [Google Scholar] [CrossRef]
- Dodoo, A.; Gustavsson, L.; Sathre, R. Effect of thermal mass on life cycle primary energy balances of a concrete- and a wood-frame building. Appl. Energy 2012, 92, 462–472. [Google Scholar] [CrossRef]






| Building Element | Area (m2) |
|---|---|
| Gross floor area | 212 |
| Foundation + ground floor | 106 |
| Exterior wall | 251 |
| Interior wall | 265 |
| Intermediate floor (including staircase) | 106 |
| Roof | 151 |
| Window/door | 82 |
| Frame | Foundation + Ground Floor | Exterior Wall | Interior Wall | Intermediate Floor | Roof | Window/Door | ||||||
|---|---|---|---|---|---|---|---|---|---|---|---|---|
| Material | t | Material | t | Material | t | Material | t | Material | t | Material | t | |
| P&B | Wooden Flooring | 15 | Wood cladding | 18 | Gypsum board | 12.5 | Wooden flooring | 15 | Roof tile | 18 | Wooden Exterior Door | 45 |
| Plywood | 15 | Batten: 30 × 30 | 30 | Post: 105 × 105 | 105 | Plywood | 9 | Waterproof sheet | - | Wooden Interior Door | 36 | |
| Joist: 45 × 105 | 105 | Waterproof sheet | - | Stud: 30 × 105 | 105 | Joist: 30 × 105 | 105 | Cedar board | 15 | Wooden Window (FL3 + A6 + FL3) | 100 | |
| Glass wool | 105 | Post: 105×105 | 105 | Gypsum board | 12.5 | Beam: 105 × 300 | 300 | Rafter: 45 × 45 | 45 | |||
| Joist: 105 × 105 | 105 | Glass wool | 65 | Joist: 45 × 30 | 30 | Glass wool | 150 | |||||
| Concrete slab | 120 | Airtight sheet | - | Cedar board | 9 | Joist: 45 × 30 | 30 | |||||
| Concrete footing | 610 | Batten: 30 × 45 | 30 | Gypsum board | 9.5 | |||||||
| Cedar board | 12 | |||||||||||
| CLT | Wooden Flooring | 15 | Wooden cladding | 18 | CLT | 90 | Wooden flooring | 15 | Roof tile | 18 | Wooden Exterior Door | 45 |
| Plywood | 15 | Batten: 30 × 30 | 20 | Plywood | 9 | Waterproof sheet | - | Wooden Interior Door | 36 | |||
| Joist: 45 × 75 | 75 | Waterproof sheet | - | Joist: 45 × 45 | 45 | Cedar board | 15 | Wooden Window (FL3 + A6 + FL3) | 100 | |||
| Glass wool | 75 | Glass wool | 40 | CLT | 105 | Rafter: 45 × 45 | 45 | |||||
| CLT | 105 | CLT | 105 | Glass wool | 140 | |||||||
| Concrete slab | 150 | CLT | 90 | |||||||||
| Concrete footing | 610 | |||||||||||
| MH | Wooden Flooring | 15 | Wooden cladding | 18 | Post: 105 × 105 | 105 | Wooden flooring | 15 | Roof tile | 18 | Wooden Exterior Door | 45 |
| Plywood | 15 | Batten: 60 × 90 | 60 | Massive Holz | 90 | Plywood | 9 | Waterproof sheet | - | Wooden Interior Door | 36 | |
| Joist: 45 × 105 | 105 | Waterproof sheet | - | Joist: 30 × 105 | 105 | Cedar board | 15 | Wooden Window (FL3 + A6 + FL3) | 100 | |||
| Glass wool | 105 | Glass wool | 50 | Beam: 105 × 300 | 300 | Rafter: 45 × 45 | 45 | |||||
| Concrete slab | 150 | Massive Holz | 105 | Joist: 45 × 30 | 30 | Glass wool | 150 | |||||
| Concrete footing | 610 | Cedar board | 9 | Joist: 45 × 30 | 30 | |||||||
| Gypsum board | 9.5 | |||||||||||
| RC | Wooden Flooring | 15 | Concrete | 150 | Gypsum board | 12.5 | Wooden Flooring | 12 | Waterproof sheet | - | Wooden Exterior Door | 45 |
| Plywood | 15 | EPS | 50 | Batten: 30 × 45 | 30 | Plywood | 12 | Mortar | 50 | Wooden Interior Door | 36 | |
| Joist: 45 × 45 | 45 | Batten: 30 × 45 | 30 | Concrete | 120 | Joist: 45 × 75 | 75 | Concrete | 150 | Wooden Window (FL3 + A6 + FL3) | 100 | |
| RC | Concrete slab | 200 | Plywood | 12 | Batten: 30 × 45 | 30 | Concrete | 150 | EPS | 150 | ||
| EPS | 100 | Cedar board | 12 | Gypsum board | 12.5 | Joist: 45 × 45 | 45 | Joist: 45 × 45 | 45 | |||
| Concrete footing | 750 | Plywood | 12 | Plywood | 9 | |||||||
| Gypsum board | 9.5 | Gypsum board | 9.5 | |||||||||
| Steel | Wooden Flooring | 15 | ALC panel | 50 | Gypsum board | 15 | Oak flooring | 15 | Waterproof sheet | - | Wooden Exterior Door | 45 |
| Plywood | 15 | C-60 × 30 × 1.6 | 60 | C-75 × 45 × 2.3 | 75 | Plywood | 12 | Mortar | 20 | Wooden Interior Door | 36 | |
| EPS | 100 | Waterproof sheet | - | Gypsum board | 15 | Joist: 60 × 45 | 45 | Concrete | 150 | Wooden Window (FL3 + A6 + FL3) | 100 | |
| Joist: 60 × 60 | 60 | EPS | 50 | Joist: 90 × 90 | 90 | Deck plate | - | - | ||||
| Joist: 90 × 90 | 90 | C-38 × 15 × 1.6 | 15 | ALC panel | 120 | EPS | 150 | |||||
| Concrete slab | 120 | Plywood | 9 | H-400 × 200 × 8 × 13 | 400 | □-50 × 50 × 1.6 | 50 | |||||
| Concrete footing | 480 | Cedar board | 12 | □-50 × 50 × 1.6 | 50 | Plywood | 9 | |||||
| Plywood | 9 | Gypsum board | 9.5 | |||||||||
| Gypsum board | 9.5 | |||||||||||
| GHG | EE-R | EE-NR | RU-R | RU-NR | |||||||
|---|---|---|---|---|---|---|---|---|---|---|---|
| Frame | Element | kgCO2eq | % | MJ | % | MJ | % | kg | % | kg | % |
| P&B | Foundation + ground floor | 80 | 55 | 73 | 45 | 650 | 42 | 20 | 21 | 374 | 86 |
| Exterior wall | 8 | 5 | 12 | 8 | 102 | 7 | 23 | 25 | 3 | 1 | |
| Interior wall | 16 | 11 | 16 | 10 | 243 | 16 | 6 | 6 | 21 | 5 | |
| Intermediate floor | 8 | 5 | 16 | 10 | 114 | 7 | 23 | 24 | 0 | 0 | |
| Roof | 26 | 18 | 34 | 21 | 318 | 21 | 19 | 20 | 37 | 9 | |
| Window/door | 8 | 6 | 12 | 7 | 113 | 7 | 3 | 3 | 1 | 0 | |
| Total | 146 | 163 | 1540 | 94 | 435 | ||||||
| CLT | Foundation + ground floor | 93 | 45 | 110 | 28 | 820 | 34 | 38 | 19 | 380 | 91 |
| Exterior wall | 31 | 15 | 86 | 22 | 443 | 19 | 57 | 28 | 2 | 0 | |
| Interior wall | 26 | 13 | 78 | 20 | 377 | 16 | 45 | 22 | 0 | 0 | |
| CLT | Intermediate floor | 16 | 8 | 42 | 11 | 231 | 10 | 27 | 14 | 0 | 0 |
| Roof | 32 | 15 | 60 | 15 | 406 | 17 | 31 | 15 | 34 | 8 | |
| Window/door | 8 | 4 | 12 | 3 | 113 | 5 | 3 | 1 | 1 | 0 | |
| Total | 206 | 388 | 2391 | 202 | 417 | ||||||
| MH | Foundation + ground floor | 82 | 53 | 76 | 39 | 659 | 40 | 19 | 11 | 380 | 91 |
| Exterior wall | 25 | 16 | 41 | 21 | 332 | 20 | 71 | 40 | 0 | 0 | |
| Interior wall | 7 | 4 | 17 | 9 | 92 | 6 | 42 | 24 | 0 | 0 | |
| Intermediate floor | 8 | 5 | 16 | 8 | 114 | 7 | 23 | 13 | 0 | 0 | |
| Roof | 26 | 17 | 34 | 17 | 318 | 20 | 19 | 11 | 37 | 9 | |
| Window/door | 8 | 5 | 12 | 6 | 113 | 7 | 3 | 2 | 1 | 0 | |
| Total | 156 | 196 | 1628 | 176 | 419 | ||||||
| RC | Foundation + ground floor | 94 | 21 | 77 | 22 | 795 | 22 | 14 | 14 | 474 | 22 |
| Exterior wall | 82 | 19 | 56 | 16 | 637 | 17 | 24 | 24 | 465 | 22 | |
| Interior wall | 78 | 18 | 63 | 18 | 595 | 16 | 25 | 25 | 373 | 18 | |
| Intermediate floor | 80 | 18 | 74 | 21 | 680 | 19 | 23 | 23 | 365 | 17 | |
| Roof | 97 | 22 | 73 | 21 | 842 | 23 | 13 | 13 | 431 | 20 | |
| Window/door | 7 | 2 | 10 | 3 | 96 | 3 | 3 | 2 | 1 | 0 | |
| Total | 438 | 353 | 3645 | 102 | 2109 | ||||||
| Steel | Foundation + ground floor | 75 | 19 | 71 | 17 | 693 | 14 | 14 | 30 | 424 | 51 |
| Exterior wall | 76 | 20 | 110 | 26 | 1110 | 23 | 9 | 20 | 63 | 8 | |
| Interior wall | 36 | 9 | 32 | 7 | 523 | 11 | 0 | 0 | 24 | 3 | |
| Intermediate floor | 85 | 22 | 120 | 28 | 1080 | 22 | 14 | 29 | 70 | 8 | |
| Roof | 110 | 28 | 82 | 19 | 1329 | 27 | 7 | 15 | 252 | 30 | |
| Window/door | 8 | 2 | 11 | 3 | 108 | 2 | 3 | 5 | 1 | 0 | |
| Total | 390 | 426 | 4843 | 46 | 835 | ||||||
| ODP | AP | CS | EC | MC | |||||||
| Frame | Element | kgCFC11eq | % | kgSO2eq | % | kgCO2eq | % | MJ | % | JPY | % |
| P&B | Foundation + ground floor | 2.8 × 10−6 | 21 | 4.0 × 10−2 | 47 | −25 | 16 | −212 | 16 | 12,868 | 29 |
| Exterior wall | 6.7 × 10−7 | 5 | 4.5 × 10−3 | 5 | −43 | 27 | −340 | 26 | 12,566 | 28 | |
| Interior wall | 2.8 × 10−6 | 21 | 1.3 × 10−2 | 15 | −11 | 7 | −93 | 7 | 1529 | 3 | |
| Intermediate floor | 7.9 × 10−7 | 6 | 3.7 × 10−3 | 4 | −42 | 26 | −345 | 26 | 5888 | 13 | |
| Roof | 2.4 × 10−6 | 18 | 1.6 × 10−2 | 19 | −33 | 21 | −282 | 21 | 9787 | 22 | |
| Window/door | 4.0 × 10−6 | 30 | 8.0 × 10−3 | 9 | −6 | 3 | −48 | 4 | 1867 | 4 | |
| Total | 1.4 × 10−5 | 8.6 × 10−2 | −160 | −1320 | 44,505 | ||||||
| CLT | Foundation + ground floor | 3.3 × 10−6 | 24 | 4.8 × 10−2 | 39 | −63 | 17 | −517 | 17 | 17,932 | 23 |
| Exterior wall | 1.8 × 10−6 | 13 | 2.0 × 10−2 | 16 | −111 | 29 | −878 | 29 | 22,139 | 28 | |
| Interior wall | 1.3 × 10−6 | 9 | 1.7 × 10−2 | 14 | −88 | 23 | −707 | 23 | 13,506 | 17 | |
| Intermediate floor | 1.1 × 10−6 | 8 | 9.6 × 10−3 | 8 | −53 | 14 | −426 | 14 | 8841 | 11 | |
| CLT | Roof | 2.3 × 10−6 | 17 | 2.0 × 10−2 | 16 | −58 | 15 | −473 | 16 | 14,071 | 18 |
| Window/door | 4.0 × 10−6 | 29 | 8.0 × 10−3 | 7 | −6 | 1 | −48 | 2 | 1867 | 2 | |
| Total | 1.4 × 10−5 | 1.2 × 10−1 | −379 | −3048 | 78,356 | ||||||
| MH | Foundation + ground floor | 2.8 × 10−6 | 26 | 4.1 × 10−2 | 41 | −25 | 8 | −212 | 8 | 12,147 | 24 |
| Exterior wall | 4.9 × 10−7 | 5 | 2.6 × 10−2 | 26 | −128 | 41 | −1163 | 43 | 15,198 | 30 | |
| Interior wall | 2.0 × 10−7 | 2 | 3.4 × 10−3 | 3 | −76 | 25 | −653 | 24 | 5454 | 11 | |
| Intermediate floor | 7.9 × 10−7 | 7 | 3.7 × 10−3 | 4 | −42 | 13 | −345 | 13 | 5888 | 12 | |
| Roof | 2.4 × 10−6 | 23 | 1.6 × 10−2 | 17 | −33 | 11 | −282 | 10 | 9787 | 19 | |
| Window/door | 4.0 × 10−6 | 37 | 8.0 × 10−3 | 8 | −6 | 2 | −48 | 2 | 1867 | 4 | |
| Total | 1.1 × 10−5 | 9.8 × 10−2 | −311 | −2703 | 50,342 | ||||||
| RC | Foundation + ground floor | 2.8 × 10−6 | 14 | 4.9 × 10−2 | 20 | −14 | 20 | −115 | 25 | 12,985 | 20 |
| Exterior wall | 2.3 × 10−6 | 11 | 4.3 × 10−2 | 18 | −24 | 33 | −80 | 17 | 12,728 | 19 | |
| Interior wall | 5.1 × 10−6 | 26 | 4.8 × 10−2 | 20 | 0 | 0 | −2 | 0 | 12,372 | 19 | |
| Intermediate floor | 3.1 × 10−6 | 16 | 4.2 × 10−2 | 17 | −22 | 31 | −174 | 37 | 14,326 | 22 | |
| Roof | 3.2 × 10−6 | 16 | 5.2 × 10−2 | 22 | −7 | 9 | −56 | 12 | 11,811 | 18 | |
| Window/door | 3.5 × 10−6 | 17 | 6.8 × 10−3 | 3 | −5 | 6 | −39 | 8 | 1578 | 2 | |
| Total | 2.0 × 10−5 | 2.4 × 10−1 | −71 | −467 | 65,801 | ||||||
| Steel | Foundation + ground floor | 2.5 × 10−6 | 13 | 3.8 × 10−2 | 18 | −21 | 30 | −171 | 30 | 10,216 | 19 |
| Exterior wall | 3.0 × 10−6 | 15 | 4.4 × 10−2 | 21 | −16 | 23 | −124 | 22 | 15,191 | 28 | |
| Interior wall | 3.3 × 10−6 | 16 | 2.3 × 10−2 | 11 | 0 | 0 | 0 | 0 | 2173 | 4 | |
| Intermediate floor | 3.3 × 10−6 | 17 | 4.2 × 10−2 | 20 | −25 | 35 | −202 | 35 | 14,793 | 27 | |
| Roof | 3.7 × 10−6 | 19 | 5.9 × 10−2 | 27 | −4 | 6 | −35 | 6 | 9990 | 19 | |
| Window/door | 4.1 × 10−6 | 21 | 7.9 × 10−3 | 4 | −5 | 7 | −39 | 7 | 1578 | 3 | |
| Total | 2.0 × 10−5 | 2.1 × 10−1 | −70 | −571 | 53,942 | ||||||
| GHG | EE-R | EE-NR | ODP | AP | |||||||
|---|---|---|---|---|---|---|---|---|---|---|---|
| Frame | Element | kgCO2eq | % | MJ | % | MJ | % | kgCFC11eq | % | kgSO2eq | % |
| P&B | Concrete | 57 | 39 | 32 | 20 | 389 | 25 | 8.7 × 10−7 | 6 | 3.0 × 10−2 | 35 |
| Steel | 28 | 19 | 43 | 26 | 258 | 17 | 1.2 × 10−6 | 9 | 1.3 × 10−2 | 16 | |
| Wood | 32 | 22 | 58 | 36 | 451 | 29 | 3.6 × 10−6 | 27 | 1.7 × 10−2 | 19 | |
| Glass | 4 | 3 | 5 | 3 | 51 | 3 | 2.9 × 10−6 | 22 | 4.6 × 10−3 | 5 | |
| Plastics | 1 | 1 | 0 | 0 | 33 | 2 | 1.4 × 10−7 | 1 | 1.4 × 10−3 | 2 | |
| Gypsum | 18 | 12 | 17 | 10 | 281 | 18 | 3.4 × 10−6 | 25 | 1.5 × 10−2 | 18 | |
| Mineral fiber | 6 | 4 | 7 | 4 | 78 | 5 | 1.3 × 10−6 | 10 | 4.6 × 10−3 | 5 | |
| Total | 146 | 163 | 1540 | 1.4 × 10−5 | 8.6 × 10−2 | ||||||
| CLT | Concrete | 57 | 28 | 32 | 8 | 392 | 16 | 8.7 × 10−7 | 6 | 3.0 × 10−2 | 25 |
| Steel | 30 | 15 | 47 | 12 | 275 | 12 | 1.3 × 10−6 | 9 | 1.4 × 10−2 | 12 | |
| Wood | 110 | 53 | 297 | 77 | 1585 | 66 | 7.4 × 10−6 | 54 | 6.9 × 10−2 | 56 | |
| Glass | 4 | 2 | 5 | 1 | 51 | 2 | 2.9 × 10−6 | 21 | 4.6 × 10−3 | 4 | |
| Plastics | 1 | 0 | 0 | 0 | 22 | 1 | 9.8 × 10−8 | 1 | 9.6 × 10−4 | 1 | |
| Gypsum | 0 | 0 | 0 | 0 | 0 | 0 | 0 | 0 | 0 | 0 | |
| Mineral fiber | 5 | 2 | 6 | 2 | 65 | 3 | 1.1 × 10−6 | 8 | 3.9 × 10−3 | 3 | |
| Total | 206 | 388 | 2391 | 1.4 × 10−5 | 1.2 × 10−1 | ||||||
| MH | Concrete | 57 | 37 | 32 | 16 | 392 | 24 | 8.7 × 10−7 | 8 | 3.0 × 10−2 | 31 |
| Steel | 30 | 19 | 47 | 24 | 275 | 17 | 1.3 × 10−6 | 12 | 1.4 × 10−2 | 14 | |
| Wood | 57 | 36 | 104 | 53 | 786 | 48 | 4.0 × 10−6 | 38 | 4.3 × 10−2 | 43 | |
| Glass | 4 | 3 | 5 | 3 | 51 | 3 | 2.9 × 10−6 | 27 | 4.6 × 10−3 | 5 | |
| Plastics | 1 | 0 | 0 | 0 | 20 | 1 | 8.8 × 10−8 | 1 | 8.7 × 10−4 | 1 | |
| Gypsum | 3 | 2 | 3 | 2 | 51 | 3 | 6.2 × 10−7 | 6 | 2.8 × 10−3 | 3 | |
| Mineral fiber | 4 | 2 | 5 | 2 | 52 | 3 | 8.7 × 10−7 | 8 | 3.1 × 10−3 | 3 | |
| Total | 156 | 196 | 1628 | 1.1 × 10−5 | 9.8 × 10−2 | ||||||
| RC | Concrete | 245 | 56 | 79 | 22 | 1386 | 38 | 1.0 × 10−6 | 5 | 1.2 × 10−1 | 51 |
| Steel | 116 | 26 | 181 | 51 | 1113 | 31 | 5.4 × 10−6 | 27 | 6.2 × 10−2 | 26 | |
| Wood | 45 | 10 | 68 | 19 | 693 | 19 | 6.9 × 10−6 | 35 | 2.6 × 10−2 | 11 | |
| Glass | 4 | 1 | 5 | 1 | 45 | 1 | 2.6 × 10−6 | 13 | 4.0 × 10−3 | 2 | |
| Plastics | 11 | 2 | 3 | 1 | 304 | 8 | 6.1 × 10−7 | 3 | 1.1 × 10−2 | 5 | |
| Gypsum | 18 | 4 | 17 | 5 | 104 | 3 | 3.4 × 10−6 | 17 | 1.5 × 10−2 | 6 | |
| Mineral fiber | 0 | 0 | 0 | 0 | 0 | 0 | 0 | 0 | 0 | 0 | |
| Total | 438 | 353 | 3645 | 2.0 × 10−5 | 2.4 × 10−1 | ||||||
| Steel | Concrete | 111 | 29 | 153 | 36 | 833 | 17 | 1.4 × 10−6 | 7 | 5.4 × 10−2 | 25 |
| Steel | 211 | 54 | 203 | 48 | 2697 | 56 | 6.1 × 10−6 | 31 | 1.0 × 10−1 | 48 | |
| Wood | 23 | 6 | 38 | 9 | 362 | 7 | 3.5 × 10−6 | 18 | 1.3 × 10−2 | 6 | |
| Glass | 5 | 1 | 6 | 1 | 57 | 1 | 3.2 × 10−6 | 16 | 5.0 × 10−3 | 2 | |
| Plastics | 19 | 5 | 7 | 2 | 566 | 12 | 1.6 × 10−6 | 8 | 2.2 × 10−2 | 10 | |
| Gypsum | 21 | 5 | 20 | 5 | 328 | 7 | 4.0 × 10−6 | 20 | 1.8 × 10−2 | 8 | |
| Mineral fiber | 0 | 0 | 0 | 0 | 0 | 0 | 0 | 0 | 0 | 0 | |
| Total | 390 | 426 | 4843 | 2.0 × 10−5 | 2.1 × 10−1 | ||||||
Disclaimer/Publisher’s Note: The statements, opinions and data contained in all publications are solely those of the individual author(s) and contributor(s) and not of MDPI and/or the editor(s). MDPI and/or the editor(s) disclaim responsibility for any injury to people or property resulting from any ideas, methods, instructions or products referred to in the content. |
© 2025 by the authors. Licensee MDPI, Basel, Switzerland. This article is an open access article distributed under the terms and conditions of the Creative Commons Attribution (CC BY) license (https://creativecommons.org/licenses/by/4.0/).
Share and Cite
Takano, A.; Aiki, M. A Multi-Criteria Approach to Sustainable Building Material Selection: A Case Study in a Japanese Context. Sustainability 2025, 17, 4210. https://doi.org/10.3390/su17094210
Takano A, Aiki M. A Multi-Criteria Approach to Sustainable Building Material Selection: A Case Study in a Japanese Context. Sustainability. 2025; 17(9):4210. https://doi.org/10.3390/su17094210
Chicago/Turabian StyleTakano, Atsushi, and Masashi Aiki. 2025. "A Multi-Criteria Approach to Sustainable Building Material Selection: A Case Study in a Japanese Context" Sustainability 17, no. 9: 4210. https://doi.org/10.3390/su17094210
APA StyleTakano, A., & Aiki, M. (2025). A Multi-Criteria Approach to Sustainable Building Material Selection: A Case Study in a Japanese Context. Sustainability, 17(9), 4210. https://doi.org/10.3390/su17094210
