Predicting Climate Change Impacts on Agriculture in the Southwest United Kingdom
Abstract
1. Introduction
2. Methods
Determining Prior Values for Climatic Change
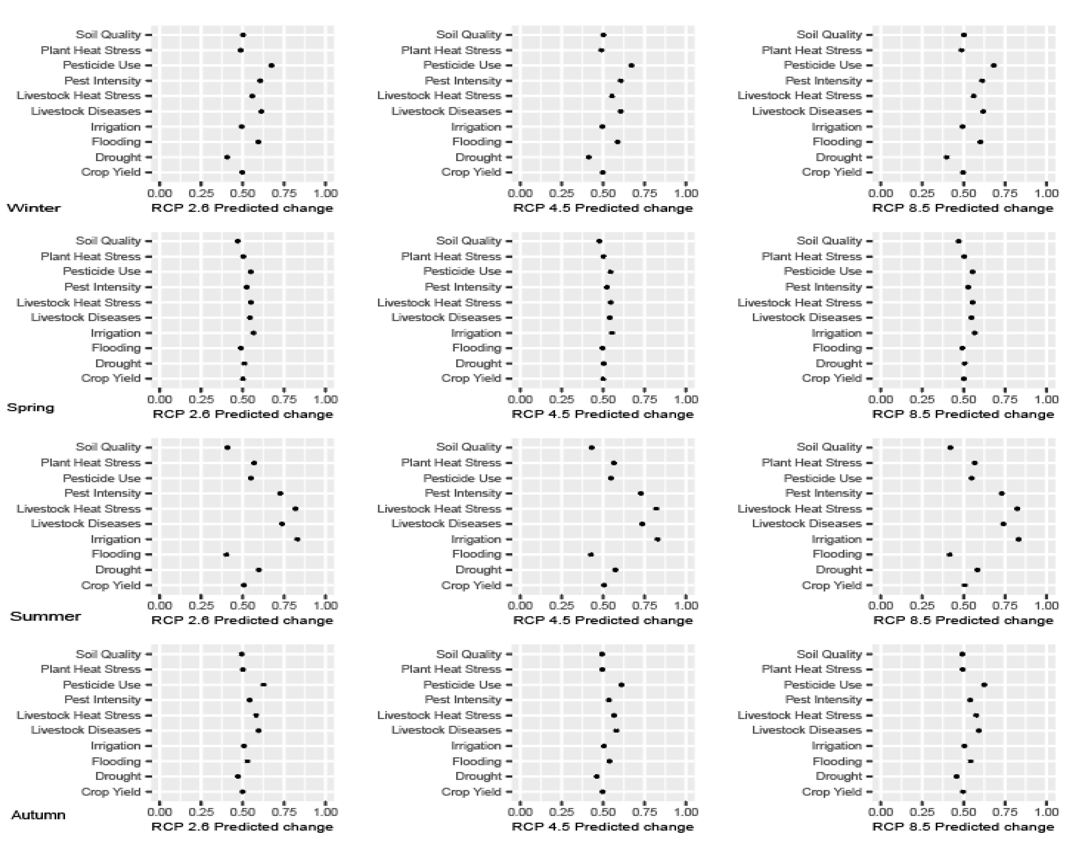
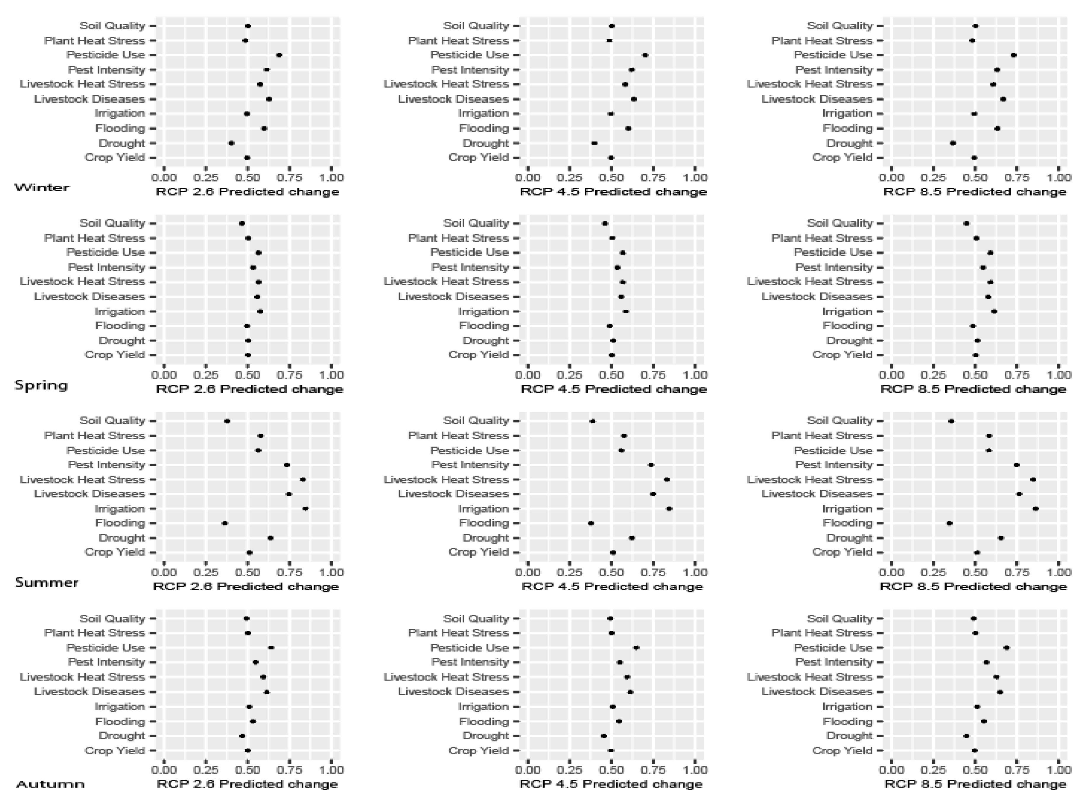
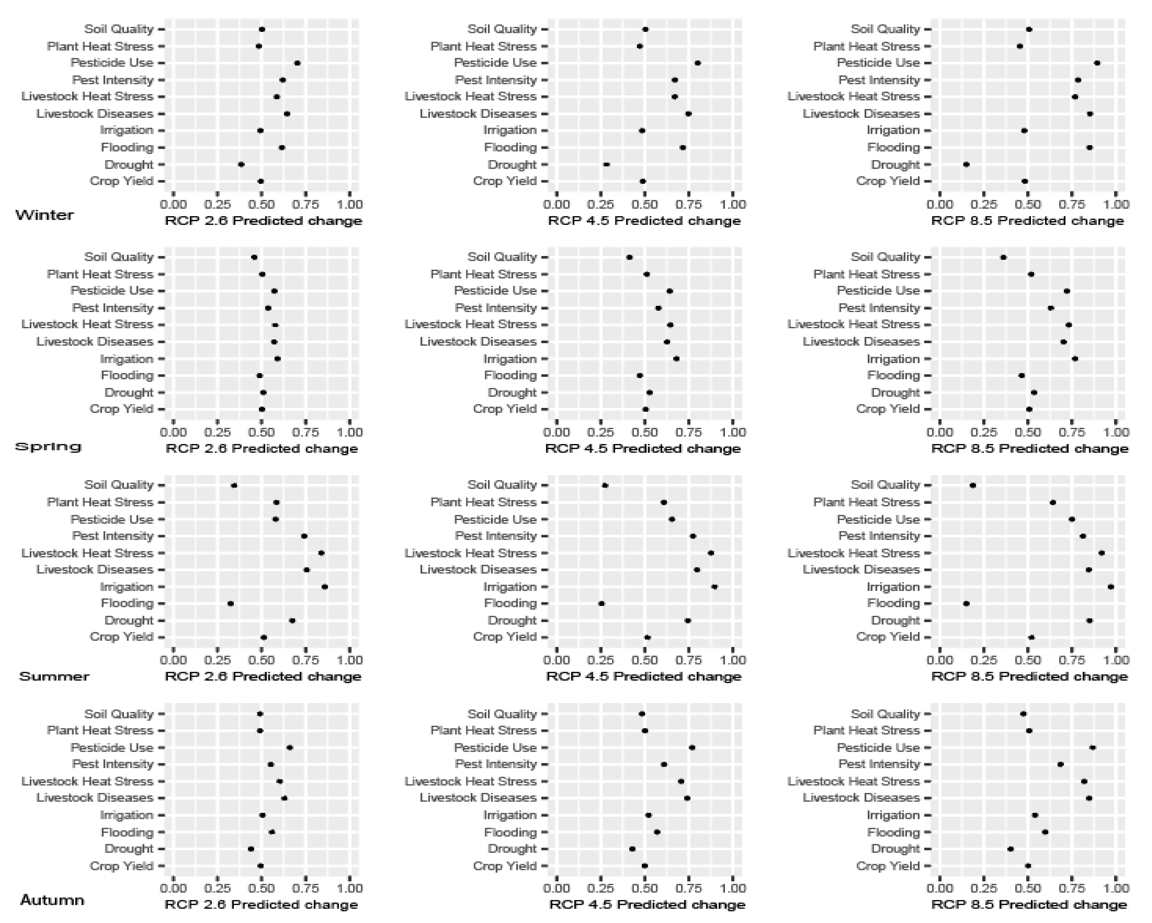
3. Results
4. Discussion
4.1. Climate Change Effects on Livestock
4.2. Climate Change Effects on Crops
5. Conclusions
Supplementary Materials
Author Contributions
Funding
Institutional Review Board Statement
Informed Consent Statement
Data Availability Statement
Conflicts of Interest
References
- Intergovernmental Panel on Climate Change (IPCC). Summary for Policymakers. In Climate Change 2021: The Physical Science Basis. Contribution of Working Group I to the Sixth Assessment Report of the Intergovernmental Panel on Climate Change; Masson-Delmotte, V., Zhai, P., Pirani, A., Connors, S.L., Péan, C., Berger, S., Caud, N., Chen, Y., Goldfarb, L., Gomis, M.I., et al., Eds.; Cambridge University Press: Cambridge, UK; New York, NY, USA, 2021; pp. 3–32. [Google Scholar] [CrossRef]
- Garry, F.K.; Bernie, D.J.; Davie, J.C.; Pope, E.C.D. Future climate risk to UK agriculture from compound events. Clim. Risk Manag. 2021, 32, 100282. [Google Scholar] [CrossRef]
- Kiss, T.B.W.; Chen, X.; Ponting, J.; Sizmur, T.; Hodson, M.E. Dual stresses of flooding and agricultural land use reduce earthworm populations more than the individual stressors. Sci. Total Environ. 2021, 754, 142102. [Google Scholar] [CrossRef] [PubMed]
- Seppelt, R.; Klotz, S.; Peiter, E.; Volk, M. Agriculture and food security under a changing climate: An underestimated challenge. iScience 2022, 25, 105551. [Google Scholar] [CrossRef]
- Benitez-Alfonso, Y.; Soanes, B.K.; Zimba, S.; Sinanaj, B.; German, L.; Sharma, V.; Bohra, A.; Kolesnokova, A.; Dunn, J.A.; Martin, A.C.; et al. Enhancing climate change resilience in agricultural crops. Curr. Biol. 2020, 33, 1246–1261. [Google Scholar] [CrossRef] [PubMed]
- Khalfaoui, R.; Goodell, J.W.; Mefteh-Wali, S.; Chishti, M.Z.; Gozgor, G. Impact of climate risk shocks on global food and agricultural markets: A multiscale and tail connectedness analysis. Int. Rev. Financ. Anal. 2024, 93, 103206. [Google Scholar] [CrossRef]
- Wen, Y.; Fei, Y.; Fan, Y.; Yang, A.; Wang, B.; Gao, P.; Scott, D. Development of a probabilistic agricultural drought forecasting (PADF) framework under climate change. Agric. For. Meteorol. 2024, 350, 109965. [Google Scholar] [CrossRef]
- Hardaker, A.; Pagella, T.; Rayment, M. Ecosystem service and dis-service impacts tree cover on agricultural land by land-sparing and land-sharing in the Welsh uplands. Ecosyst. Serv. 2021, 48, 101253. [Google Scholar] [CrossRef]
- Felix, L.; Houet, T.; Verburg, P.H. Mapping biodiversity and ecosystem service trade-offs and synergies of agricultural change trajectories in Europe. Environ. Sci. Policy 2022, 136, 387–399. [Google Scholar] [CrossRef]
- Villa-Cox, G.; Bucaram-Villacίs, S.J.; Goethals, P.; Speelman, S. Mapping linkages between ecosystem services and agricultural and landscape management using structural topic modelling of scientific literature. Ecosyst. Serv. 2023, 61, 101525. [Google Scholar] [CrossRef]
- Kratschmer, S.; Hauer, J.; Zaller, J.G.; Dürr, A.; Weninger, T. Hedgerow structural diversity is key to promoting biodiversity and ecosystem services: A systematic review of Central European studies. Basic Appl. Ecol. 2024, 78, 28–38. [Google Scholar] [CrossRef]
- Thomasz, E.O.; Kasanzew, A.; Massot, J.M.; Garcίa-Garcίa, A. Valuing ecosystem services in agriculture production in southwest Spain. Ecosyst. Serv. 2024, 68, 101636. [Google Scholar] [CrossRef]
- Deryng, D.; Conway, D.; Ramankutty, N.; Price, J.; Warren, R. Global crop yield response to extreme heat stress under multiple climate change futures. Environ. Res. Lett. 2014, 9, 034011. [Google Scholar] [CrossRef]
- Trnka, M.; Rotter, R.P.; Ruiz-Ramos, M.; Kersebaum, K.C.; Olesen, J.E.; Žalud, Z.; Semenov, M.A. Adverse weather conditions for European wheat production will become more frequent with climate change. Nat. Clim. Change 2014, 4, 637–643. [Google Scholar] [CrossRef]
- Powell, J.P.; Reinhard, S. Measuring the effects of extreme weather events on yields. Weather Clim. Extrem. 2015, 12, 69–79. [Google Scholar] [CrossRef]
- Herrero, M.; Wirsenius, S.; Henderson, B.; Rigolot, C.; Thornton, P.; Havlík, P.; De Boer, I.; Gerber, P. Livestock and the environment: What have we learned in the past Decade? Annu. Rev. Environ. Resour. 2015, 40, 177–202. [Google Scholar] [CrossRef]
- Hristov, A.N.; Degaetano, A.T.; Rotz, C.A.; Hoberg, E.; Skinner, R.H.; Felix, T.; Li, H.; Patterson, P.H.; Roth, G.; Hall, M.; et al. Climate change effects on livestock in the Northeast US and strategies for adaptation. Clim. Change 2018, 146, 33–45. [Google Scholar] [CrossRef]
- Sloat, L.L.; Gerber, J.S.; Samberg, L.H.; Smith, W.K.; Herrero, M.; Ferreira, L.G.; Godde, C.M.; West, P.C. Increasing importance of precipitation variability on global livestock grazing lands. Nat. Clim. Change 2018, 8, 214–218. [Google Scholar] [CrossRef]
- Hempel, S.; Menz, C.; Pinto, S.; Galán, E.; Janke, D.; Estellés, F.; Müschner-Siemens, T.; Wang, X.; Heinicke, J.; Zhang, G.; et al. Heat stress risk in european dairy cattle husbandry under different climate change scenarios-uncertainties and potential impacts. Earth Syst. Dyn. 2019, 10, 859–884. [Google Scholar] [CrossRef]
- Harding, A.E.; Rivington, M.; Mineter, M.J.; Tett, S.F.B. Agro-meteorological indices and climate model uncertainty over the UK. Clim. Change 2015, 128, 113–126. [Google Scholar] [CrossRef]
- Rivington, M.; Matthews, K.B.; Buchan, K.; Miller, D.G.; Bellocchi, G.; Russell, G. Climate change impacts and adaptation scope for agriculture indicated by agro-meteorological metrics. Agric. Syst. 2013, 114, 15–31. [Google Scholar] [CrossRef]
- Arnell, N.W.; Freeman, A. The effect of climate change on agro-climatic indicators in the UK. Clim. Change 2021, 165, 40. [Google Scholar] [CrossRef]
- Harkness, C.; Semenov, M.A.; Areal, F.; Senapati, N.; Trnka, M.; Balek, J.; Bishop, J. Adverse weather conditions for UK wheat production under climate change. Agric. For. Meteorol. 2020, 282–283, 107862. [Google Scholar] [CrossRef] [PubMed]
- Dominguez Almela, V.; Croker, A.R.; Stafford, R. Creating simple predictive models in ecology, conservation and environmental policy based on Bayesian belief networks. PLoS ONE 2024, 19, e0305882. [Google Scholar] [CrossRef]
- Franco, C.; Hepburn, L.A.; Smith, D.J.; Nimrod, S.; Tucker, A. A Bayesian Belief Network to assess rate of changes in coral reef ecosystems. Environ. Model. Softw. 2016, 80, 132–142. [Google Scholar] [CrossRef]
- Moe, J.; Jackson-Blake, L.; Haande, S.; Solheim, A.L. Linking climate and land-use scenarios to ecological status of lakes: A Bayesian network approach. Geophys. Res. Abstr. 2019, 21, 17247. [Google Scholar]
- Rankinen, K.; Holmberg, M.; Aroviita, J. Climate change, land use change and ecological status of Finnish rivers: A Bayesian network approach. Geophys. Res. Abstr. 2019, 21, 13785. [Google Scholar]
- Sperotto, A.; Molina, J.L.; Torresan, S.; Critto, A.; Pulido-Velazquez, M.; Marcomini, A. Water Quality Sustainability Evaluation under Uncertainty: A Multi-Scenario Analysis Based on Bayesian Networks. Sustainability 2019, 11, 4764. [Google Scholar] [CrossRef]
- Chanapathi, T.; Thatikonda, S. Evaluation of sustainability of river Krishna under present and future climate scenarios. Sci. Total Environ. 2020, 738, 140322. [Google Scholar] [CrossRef]
- Mihunov, V.V.; Lam, N.S.N. Modeling the dynamics of drought resilience in South-Central United States using a Bayesian Network. Appl. Geogr. 2020, 120, 102224. [Google Scholar] [CrossRef]
- Kaghazchi, A.; Hashemy Shahdany, S.M.; Roozbahani, A. Simulation and evaluation of agricultural water distribution and delivery systems with a Hybrid Bayesian network model. Agric. Water Manag. 2021, 245, 106578. [Google Scholar] [CrossRef]
- Tao, J.; Wang, Y.; Qiu, B.; Wu, W. Exploring cropping intensity dynamics by integrating crop phenology information using Bayesian networks. Comput. Electron. Agric. 2022, 193, 106667. [Google Scholar] [CrossRef]
- Mahmood, S.A.; Karampoiki, M.; Hammond, J.P.; Paraforos, D.S.; Murdoch, A.J.; Todman, L. Embedding expert opinion in a Bayesian network model to predict wheat yield from spring-summer weather. Smart Agric. Technol. 2023, 4, 100224. [Google Scholar]
- Martinez-Megias, C.; Mentzel, S.; Fuentes-Edfuf, Y.; Moe, S.J.; Rico, A. Influence of climate change and pesticide use practices on the ecological risks of pesticides in a protected Mediterranean wetland: A Bayesian network approach. Sci. Total Environ. 2023, 878, 163018. [Google Scholar] [CrossRef]
- Jackson, J.A. Climate Change Impacts on Agriculture and Adaptations: A Focus on Dorset. Ph.D. Thesis, Bournemouth University, Poole, UK, 2024. [Google Scholar]
- Dominguez Almela, V.; Stafford, R. BBNet: Simple Predictive Models on Bayesian Belief Networks. 2024. Available online: https://eprints.soton.ac.uk/490390/ (accessed on 20 July 2024).
- Thomson, A.M.; Calvin, K.V.; Smith, S.J.; Kyle, G.P.; Volke, A.; Patel, P.; Delgado-Arias, S.; Bond-Lamberty, B.; Wise, M.A.; Clarke, L.E.; et al. RCP4.5: A pathway for stabilization of radiative forcing by 2100. Clim. Change 2011, 109, 77–94. [Google Scholar]
- van Vuuren, D.P.; Stehfest, E.; den Elzen, M.G.J.; Kram, T.; van Vliet, J.; Deetman, S.; Isaac, M.; Klein Goldewijk, K.; Hof, A.; Mendoza Beltran, A.; et al. RCP2.6: Exploring the possibility to keep global mean temperature increase below 2 °C. Clim. Change 2011, 109, 95–116. [Google Scholar] [CrossRef]
- Schwalm, C.R.; Glendon, S.; Duffy, P.B. RCP8.5 tracks cumulative CO(2) emissions. Proc. Natl. Acad. Sci. USA 2020, 117, 19656–19657. [Google Scholar]
- Cho, K.; Falloon, P.; Gornall, J.; Betts, R.; Clark, R. Winter wheat yields in the UK: Uncertainties in climate and management impacts. Clim. Res. 2012, 54, 49–68. [Google Scholar] [CrossRef]
- Zhao, C.; Liu, B.; Piao, S.; Wang, X.; Lobell, D.B.; Huang, Y.; Huang, M.T.; Yao, Y.T.; Bassu, S.; Ciais, P.; et al. Temperature increase reduces global yields of major crops in four independent estimates. Proc. Natl. Acad. Sci. USA 2017, 114, 9326–9331. [Google Scholar] [PubMed]
- Orimoloye, I.R. Agricultural Drought and Its Potential Impacts: Enabling Decision-Support for Food Security in Vulnerable Regions. Front. Sustain. Food Syst. 2022, 6, 838824. [Google Scholar]
- Davie, J.C.S.; Falloon, P.D.; Pain, D.L.A.; Sharp, T.J.; Housden, M.; Warne, T.C.; Loosley, T.; Grant, E.; Swan, J.; Spincer, J.D.G.; et al. 2022 UK heatwave impacts on agrifood: Implications for a climate-resilient food system. Front. Environ. Sci. 2023, 11, 1282284. [Google Scholar] [CrossRef]
- Kim, K.; Iizumi, T.; Hosokawa, N.; Tanoue, M.; Hirabayashi, Y. Flood impacts on global crop production: Advances and limitations. Environ. Res. Lett. 2023, 18, 054007. [Google Scholar] [CrossRef]
- Savari, M.; Eskandari Damaneh, H.; Eskandari Damaneh, H. Managing the effects of drought through the use of risk reduction strategy in the agricultural sector of Iran. Clim. Risk Manag. 2024, 45, 100619. [Google Scholar] [CrossRef]
- Fox, N.J.; White, P.C.; McClean, C.J.; Marion, G.; Evans, A.; Hutchings, M.R. Predicting impacts of climate change on Fasciola hepatica risk. PLoS ONE 2011, 6, e16126. [Google Scholar] [CrossRef] [PubMed]
- Skuce, P.J.; Morgan, E.R.; van Dijk, J.; Mitchell, M. Animal health aspects of adaptation to climate change: Beating the heat and parasites in a warming Europe. Animal 2013, 7, 333–345. [Google Scholar] [CrossRef] [PubMed]
- Bagath, M.; Krishnan, G.; Devaraj, C.; Rashamol, V.P.; Pragna, P.; Lees, A.M.; Sejian, V. The impact of heat stress on the immune system in dairy cattle: A review. Res. Vet. Sci. 2019, 126, 94–102. [Google Scholar] [CrossRef]
- McIntyre, K.M.; Setzkorn, C.; Hepworth, P.J.; Morand, S.; Morse, A.P.; Baylis, M. Systematic Assessment of the Climate Sensitivity of Important Human and Domestic Animals Pathogens in Europe. Sci. Rep. 2017, 7, 7134. [Google Scholar] [CrossRef]
- Wall, R.; Rose, H.; Ellse, L.; Morgan, E. Livestock ectoparasites: Integrated management in a changing climate. Vet. Parasitol. 2011, 180, 82–89. [Google Scholar] [CrossRef]
- Seekings, A.H.; Slomka, M.J.; Russell, C.; Howard, W.A.; Choudhury, B.; Nunez, A.; Londt, B.Z.; Cox, W.; Ceeraz, V.; Thoren, P.; et al. Direct evidence of H7N7 avian influenza virus mutation from low to high virulence on a single poultry premises during an outbreak in free range chickens in the UK, 2008. Infect. Genet. Evol. 2018, 64, 13–31. [Google Scholar] [CrossRef]
- Perry, B.; Sones, K. Global Livestock Disease Dynamics over the Last Quarter Century: Drivers, Impacts and Implications; FAO: Rome, Italy, 2009. [Google Scholar]
- Thornton, P.; Nelson, G.; Mayberry, D.; Herrero, M. Increases in extreme heat stress in domesticated livestock species during the twenty-first century. Glob. Change Biol. 2021, 27, 5762–5772. [Google Scholar] [CrossRef]
- Wreford, A.; Topp, C.F.E. Impacts of climate change on livestock and possible adaptations: A case study of the United Kingdom. Agric. Syst. 2020, 178, 102737. [Google Scholar] [CrossRef]
- Wheeler, R.; Lobley, M. Managing extreme weather and climate change in UK agriculture: Impacts, attitudes and action among farmers and stakeholders. Clim. Risk Manag. 2021, 32, 100313. [Google Scholar] [CrossRef]
- Dunn, R.J.H.; Mead, N.E.; Willett, K.M.; Parker, D.E. Analysis of heat stress in UK dairy cattle and impact on milk yields. Environ. Res. Lett. 2014, 9, 064006. [Google Scholar] [CrossRef]
- Fodor, N.; Foskolos, A.; Topp, C.F.E.; Moorby, J.M.; Pasztor, L.; Foyer, C.H. Spatially explicit estimation of heat stress-related impacts of climate change on the milk production of dairy cows in the United Kingdom. PLoS ONE 2018, 13, e0197076. [Google Scholar] [CrossRef] [PubMed]
- Renaudeau, D.; Collin, A.; Yahav, S.; de Basilio, V.; Gourdine, J.L.; Collier, R.J. Adaptation to hot climate and strategies to alleviate heat stress in livestock production. Animal 2012, 6, 707–728. [Google Scholar] [CrossRef]
- Tesseraud, S.; Temim, S. Modifications metaboliques chez le poulet de chair en climat chaud: Consequences nutritionnelles. INRA Prod. Anim. 1999, 12, 353–363. [Google Scholar] [CrossRef]
- Finocchiaro, R.; van Kaam, J.B.C.H.; Portolano, B.; Misztal, I. Effect of heat stress on production of Mediterranean dairy sheep. J. Dairy Sci. 2005, 88, 1855–1864. [Google Scholar] [CrossRef]
- Mauger, G.; Bauman, Y.; Nennich, T.; Salathé, E. Impacts of Climate Change on Milk Production in the United States. Prof. Geogr. 2014, 67, 121–131. [Google Scholar] [CrossRef]
- Koluman Darcan, N.; Silanikove, N. The advantages of goats for future adaptation to Climate Change: A conceptual overview. Small Rumin. Res. 2018, 163, 34–38. [Google Scholar] [CrossRef]
- Sejian, V.; Silpa, M.V.; Reshma Nair, M.R.; Devaraj, C.; Krishnan, G.; Bagath, M.; Chauhan, S.S.; Suganthi, R.U.; Fonseca, V.F.C.; Konig, S.; et al. Heat Stress and Goat Welfare: Adaptation and Production Considerations. Animals 2021, 11, 1021. [Google Scholar] [CrossRef]
- Gaughan, J.B.; Holt, S.M.; Hahn, G.L.; Mader, T.L.; Eigenberg, R. Respiration Rate—Is It Good Measure of Heat Stress in Cattle? Asian-Aus. J. Anim. Sci. 2000, 13, 329–332. [Google Scholar]
- Mader, T.L.; Gaughan, J.B.; Johnson, L.J.; Hahn, G.L. Tympanic temperature in confined beef cattle exposed to excessive heat load. Int. J. Biometeorol. 2010, 54, 629–635. [Google Scholar] [CrossRef] [PubMed]
- Rashamol, V.P.; Sejian, V.; Pragna, P.; Lees, A.M.; Bagath, M.; Krishnan, G.; Gaughan, J.B. Prediction models, assessment methodologies and biotechnological tools to quantify heat stress response in ruminant livestock. Int. J. Biometeorol. 2019, 63, 1265–1281. [Google Scholar] [CrossRef] [PubMed]
- Saeed, M.; Abbas, G.; Alagawany, M.; Kamboh, A.A.; Abd El-Hack, M.E.; Khafaga, A.F.; Chao, S. Heat stress management in poultry farms: A comprehensive overview. J. Therm. Biol. 2019, 84, 414–425. [Google Scholar] [CrossRef]
- Godde, C.M.; Mason-D’Croz, D.; Mayberry, D.E.; Thornton, P.K.; Herrero, M. Impacts of climate change on the livestock food supply chain; a review of the evidence. Glob. Food Sec. 2021, 28, 100488. [Google Scholar] [CrossRef] [PubMed]
- Robinson, T.; Thornton, P.; Franceschini, G.; Kruska, R.; Chiozza, F.; Notenbaert, A.; Cecchi, G.; Herrero, M.; Epprecht, M.; Fritz, S. Global Livestock Production Systems; Food and Agriculture Organization of the United Nations (FAO): Rome, Italy; International Livestock Research Institute (ILRI): Nairobi, Kenya, 2011. [Google Scholar]
- Carvajal, M.A.; Alaniz, A.J.; Gutierrez-Gomez, C.; Vergara, P.M.; Sejian, V.; Bozinovic, F. Increasing importance of heat stress for cattle farming under future global climate scenarios. Sci. Total Environ. 2021, 801, 149661. [Google Scholar] [CrossRef]
- Bubsy, D.; Loy, D. Heat stress in feedlot cattle: Producer survey results. Iowa State Univ. Anim. Ind. Rep. 1996, 108–110. Available online: https://www.iastatedigitalpress.com/air/article/id/7271/ (accessed on 17 April 2025).
- Brown-Brandl, T.M.; Eigenberg, R.A.; Nienaber, J.A.; Hahn, G.L. Dynamic Response Indicators of Heat Stress in Shaded and Non-shaded Feedlot Cattle, Part 1: Analyses of Indicators. Biosyst. Eng. 2005, 90, 451–462. [Google Scholar] [CrossRef]
- Hill, D.L.; Wall, E. Dairy cattle in a temperate climate: The effects of weather on milk yield and composition depend on management. Animal 2015, 9, 138–149. [Google Scholar] [CrossRef]
- Khongdee, S.; Sripoon, S.; Chousawai, S.; Hinch, G.; Chaiyabutr, N.; Markvichitr, K.; Vajrabukka, C. The effect of modified roofing on the milk yield and reproductive performance of heat-stressed dairy cows under hot-humid conditions. Anim. Sci. J. 2010, 81, 606–611. [Google Scholar] [CrossRef]
- West, J.W. Effects of heat-stress on production in dairy cattle. J. Dairy Sci. 2003, 86, 2131–2144. [Google Scholar] [CrossRef]
- Nichols, D.A.; Ames, D.R.; Hines, R.H. Evaporative cooling systems for swine. Kans. Agric. Exp. Stn. Res. Rep. 1979, 6–9. [Google Scholar] [CrossRef]
- Haeussermann, A.; Hartung, E.; Jungbluth, T.; Vranken, E.; Aerts, J.M.; Berckmans, D. Cooling effects and evaporation characteristics of fogging systems in an experimental piggery. Biosyst. Eng. 2007, 97, 395–405. [Google Scholar] [CrossRef]
- Panagakis, P.; Chronopoulou, E. Preliminary Evaluation of the Apparent Short-term Heat Stress of Dairy Ewes Reared under Hot Summer Conditions. Appl. Eng. Agric. 2010, 26, 1035–1042. [Google Scholar] [CrossRef]
- Ryan, D.P.; Boland, M.P.; Kopel, E.; Armstrong, D.; Munyakazi, L.; Godke, R.A.; Ingraham, R.H. Evaluating two different evaporative cooling management systems for dairy cows in a hot, dry climate. J. Dairy Sci. 1992, 75, 1052–1059. [Google Scholar] [CrossRef]
- Wang, J.P.; Bu, D.P.; Wang, J.Q.; Huo, X.K.; Guo, T.J.; Wei, H.Y.; Zhou, L.Y.; Rastani, R.R.; Baumgard, L.H.; Li, F.D. Effect of saturated fatty acid supplementation on production and metabolism indices in heat-stressed mid-lactation dairy cows. J. Dairy Sci. 2010, 93, 4121–4127. [Google Scholar] [CrossRef] [PubMed]
- Ghasemi, H.A.; Ghasemi, R.; Torki, M. Periodic usage of low-protein methionine-fortified diets in broiler chickens under high ambient temperature conditions: Effects on performance, slaughter traits, leukocyte profiles and antibody response. Int. J. Biometeorol. 2014, 58, 1405–1414. [Google Scholar] [CrossRef] [PubMed]
- Wang, X.; Peebles, E.D.; Zhai, W. Effects of protein source and nutrient density in the diets of male broilers from 8 to 21 days of age on their subsequent growth, blood constituents, and carcass compositions. Poult. Sci. 2014, 93, 1463–1474. [Google Scholar] [CrossRef]
- Chauhan, S.S.; Celi, P.; Leury, B.J.; Clarke, I.J.; Dunshea, F.R. Dietary antioxidants at supranutritional doses improve oxidative status and reduce the negative effects of heat stress in sheep. J. Anim. Sci. 2014, 92, 3364–3374. [Google Scholar] [CrossRef]
- Zimbelman, R.B.; Collier, R.J.; Bilby, T.R. Effects of utilizing rumen protected niacin on core body temperature as well as milk production and composition in lactating dairy cows during heat stress. Anim. Feed. Sci. Technol. 2013, 180, 26–33. [Google Scholar] [CrossRef]
- Liu, D.-Y.; He, S.-J.; Jin, E.-H.; Liu, S.-Q.; Tang, Y.-G.; Li, S.-H.; Zhong, L.-T. Effect of daidzein on production performance and serum antioxidative function in late lactation cows under heat stress. Livest. Sci. 2013, 152, 16–20. [Google Scholar] [CrossRef]
- Pan, L.; Bu, D.P.; Wang, J.Q.; Cheng, J.B.; Sun, X.Z.; Zhou, L.Y.; Qin, J.J.; Zhang, X.K.; Yuan, Y.M. Effects of Radix Bupleuri extract supplementation on lactation performance and rumen fermentation in heat-stressed lactating Holstein cows. Anim. Feed. Sci. Technol. 2014, 187, 1–8. [Google Scholar] [CrossRef]
- Hoffmann, I. Climate change and the characterization, breeding and conservation of animal genetic resources. Anim. Genet. 2010, 41, 32–46. [Google Scholar] [CrossRef] [PubMed]
- Jeon, J.H.; Yeon, S.C.; Choi, Y.H.; Min, W.; Kim, S.; Kim, P.J.; Chang, H.H. Effects of chilled drinking water on the performance of lactating sows and their litters during high ambient temperatures under farm conditions. Livest. Sci. 2006, 105, 86–93. [Google Scholar] [CrossRef]
- Olesen, J.E.; Trnka, M.; Kersebaum, K.C.; Skjelvåg, A.O.; Seguin, B.; Peltonen-Sainio, P.; Rossi, F.; Kozyra, J.; Micale, F. Impacts and adaptation of European crop production systems to climate change. Eur. J. Agron. 2011, 34, 96–112. [Google Scholar] [CrossRef]
- Hatfield, J.L.; Boote, K.J.; Kimball, B.A.; Ziska, L.H.; Izaurralde, R.C.; Ort, D.; Thomson, A.M.; Wolfe, D. Climate Impacts on Agriculture: Implications for Crop Production. Agron. J. 2011, 103, 351–370. [Google Scholar] [CrossRef]
- Hatfield, J.L.; Prueger, J.H. Temperature extremes: Effect on plant growth and development. Weather. Clim. Extrem. 2015, 10, 4–10. [Google Scholar] [CrossRef]
- Osakabe, Y.; Osakabe, K.; Shinozaki, K.; Tran, L.S. Response of plants to water stress. Front. Plant Sci. 2014, 5, 86. [Google Scholar] [CrossRef]
- Slafer, G.A.; Savin, R.; Sadras, V.O. Wheat yield is not causally related to the duration of the growing season. Eur. J. Agron. 2023, 148, 126885. [Google Scholar] [CrossRef]
- Porter, J.R.; Xie, L.; Challinor, A.J.; Cochrane, K.; Howden, S.M.; Iqbal, M.M.; Lobell, D.B.; Travasso, M.I. Food security and food production systems. In Climate Change 2014: Impacts, Adaptation, and Vulnerability. Part A: Global and Sectoral Aspects. Contribution of Working Group II to the Fifth Assessment Report of the Intergovernmental Panel on Climate Change; Cambridge University Press: Cambridge, UK, 2014; pp. 485–533. [Google Scholar]
- Emery, S.E.; Jonsson, M.; Silva, H.; Ribeiro, A.; Mills, N.J. High agricultural intensity at the landscape scale benefits pests, but low intensity practices at the local scale can mitigate these effects. Agric. Ecosyst. Environ. 2021, 306, 107199. [Google Scholar] [CrossRef]
- Bebber, D.P.; Ramotowski, M.A.T.; Gurr, S.J. Crop pests and pathogens move polewards in a warming world. Nat. Clim. Change 2013, 3, 985–988. [Google Scholar] [CrossRef]
- Sadyś, M.; Kennedy, R.; West, J.S. Potential impact of climate change on fungal distributions: Analysis of 2 years of contrasting weather in the UK. Aerobiologia 2015, 32, 127–137. [Google Scholar] [CrossRef]
- Cavicchioli, R.; Ripple, W.J.; Timmis, K.N.; Azam, F.; Bakken, L.R.; Baylis, M.; Behrenfeld, M.J.; Boetius, A.; Boyd, P.W.; Classen, A.T.; et al. Scientists’ warning to humanity: Microorganisms and climate change. Nat. Rev. Microbiol. 2019, 17, 569–586. [Google Scholar] [CrossRef] [PubMed]
- Magyar, D.; Tischner, Z.; Páldy, A.; Kocsubé, S.; Dancsházy, Z.; Halász, Á.; Kredics, L. Impact of global megatrends on the spread of microscopic fungi in the Pannonian Biogeographical Region. Fungal Biol. Rev. 2021, 37, 71–88. [Google Scholar] [CrossRef]
- Hanson, M.C.; Petch, G.M.; Ottosen, T.B.; Skjoth, C.A. Climate change impact on fungi in the atmospheric microbiome. Sci. Total Environ. 2022, 830, 154491. [Google Scholar] [CrossRef] [PubMed]
- Raza, M.M.; Bebber, D.P. Climate change and plant pathogens. Curr. Opin. Microbiol. 2022, 70, 102233. [Google Scholar] [CrossRef]
- Newbery, F.; Qi, A.; Fitt, B.D. Modelling impacts of climate change on arable crop diseases: Progress, challenges and applications. Curr. Opin. Plant Biol. 2016, 32, 101–109. [Google Scholar] [CrossRef]
- Yang, L.N.; Ren, M.; Zhan, J. Modeling plant diseases under climate change: Evolutionary perspectives. Trends Plant Sci. 2023, 28, 519–526. [Google Scholar] [CrossRef]
- Mueller, B.; Hauser, M.; Iles, C.; Rimi, R.H.; Zwiers, F.W.; Wan, H. Lengthening of the growing season in wheat and maize producing regions. Weather. Clim. Extrem. 2015, 9, 47–56. [Google Scholar] [CrossRef]
- Liu, Z.; Hubbard, K.G.; Lin, X.; Yang, X. Negative effects of climate warming on maize yield are reversed by the changing of sowing date and cultivar selection in Northeast China. Glob. Change Biol. 2013, 19, 3481–3492. [Google Scholar] [CrossRef]
- Daccache, A.; Keay, C.; Jones, R.J.A.; Weatherhead, E.K.; Stalham, M.A.; Knox, J.W. Climate change and land suitability for potato production in England and Wales: Impacts and adaptation. J. Agric. Sci. 2011, 150, 161–177. [Google Scholar] [CrossRef]
- Bünemann, E.K.; Bongiorno, G.; Bai, Z.; Creamer, R.E.; De Deyn, G.; de Goede, R.; Fleskens, L.; Geissen, V.; Kuyper, T.W.; Mäder, P.; et al. Soil quality—A critical review. Soil Biol. Biochem. 2018, 120, 105–125. [Google Scholar] [CrossRef]
- Du, X.; Jian, J.; Du, C.; Stewart, R.D. Conservation management decreases surface runoff and soil erosion. Int. Soil Water Conserv. Res. 2022, 10, 188–196. [Google Scholar] [CrossRef]
- Peake, L.R.; Dawson, L.A.; Price, J.P.N.; Aller, M.F.; Bhogal, A.; Doody, D.G.; Gregory, A.S.; McKinley, J.M. Priorities for UK soils. Geoderma Reg. 2022, 29, e00512. [Google Scholar] [CrossRef]
- Mäder, P.; Fließbach, A.; Dubois, D.; Gunst, L.; Fried, P.; Niggli, U. Soil Fertility and Biodiversity in Organic Farming. Science 2002, 296, 1694–1697. [Google Scholar] [CrossRef] [PubMed]
- Singh, T.B.; Ali, A.; Prasad, M.; Yadav, A.; Shrivastav, P.; Goyal, D.; Dantu, P.K. Role of Organic Fertilizers in Improving Soil Fertility. Contam. Agric. 2020, 61–77. Available online: https://link.springer.com/chapter/10.1007/978-3-030-41552-5_3 (accessed on 17 April 2025).
- Rial-Lovera, K.; Davies, W.P.; Cannon, N.D. Implications of climate change predictions for UK cropping and prospects for possible mitigation: A review of challenges and potential responses. J. Sci. Food Agric. 2017, 97, 17–32. [Google Scholar] [CrossRef]
- Howden, S.M.; Soussana, J.-F.; Tubiello, F.N.; Chhetri, N.; Dunlop, M.; Meinke, H. Adapting agriculture to climate change. Proc. Natl. Acad. Sci. USA 2007, 104, 19691–19696. [Google Scholar] [CrossRef] [PubMed]
- Puertas, R.; Marti, L.; Calafat, C. Agricultural and innovation policies aimed at mitigating climate change. Environ. Sci. Pollut. Res. 2023, 30, 47299–47310. [Google Scholar] [CrossRef]
- Hanlon, H.M.; Bernie, D.; Carigi, G.; Lowe, J.A. Future changes to high impact weather in the UK. Clim. Change 2021, 166, 50. [Google Scholar] [CrossRef]
- NASA. Heatwave. 2023. Available online: https://www.earthdata.nasa.gov/topics/atmosphere/weather-events/heat-wave (accessed on 4 October 2023).
- Met Office. Heatwaves. 2023. Available online: https://www.metoffice.gov.uk/weather/learn-about/weather/types-of-weather/temperature/heatwave (accessed on 16 October 2023).




| Indicator | Brief Description | Indicator | Brief Description |
|---|---|---|---|
| Budbreak Date | The time when plant or crop buds unfold and leaves emerge | Livestock Numbers | The stock number of varied species |
| Conservation Area | Either a specific area set aside for biodiversity or forming part of farming fields | Mean Air Temperature | Average mean air temperature over a calendar month |
| Crop Disease | Crop pathogens that either kill or harm the crop | Organic Livestock Practices | Likelihood of organic practices in a changing climate |
| Crop Growth Rate | The ability of crops to grow | Pest Intensity | Pests impact crops and livestock and temperature plays a vital role in their survival |
| Crop Yield | The harvested production from a farm | Pesticide Use | Protects crops from pests and weeds, whilst also polluting |
| Drought | A lack of natural water | Pest Migration | New pests migrate due to changing climate |
| Farm Diversification | Deliberate economic productivity other than farming | Plant Heat Stress | Caused by elevated temperatures limiting crop growth |
| Farm Insurance | Insurance changing due to farm practices and climate change | Pollinator Abundance | Determines the level of natural pollination ecosystem service |
| Farm Management | A management decision to be made due to changes from climate change | Precipitation Rate | Main provider of water to agriculture |
| Fertiliser Use | Adding materials to improve soil quality but also causing potential pollution | Soil Quality | Fundamental component of crop production |
| Field Availability | Availability of fields due to climate changes, e.g., after flooding | Humidity | A key component of dew and thermal increase in crops influencing growth |
| Field Cover—New Crops | New crops or cultivators to be grown due to changing climate | Start of Growing Season | Earlier growing season means new crops can be grown but also more water demand and soil quality decline |
| Field Elevation/Slope | The efficiency of a sloped field after changing weather patterns | Streamflow | Linked to water quality |
| Fire | The impact of fire on farms, e.g., burnt crops, but also the risk due to climate change | Surface Run-Off | Precipitation that falls to land and flows downhill to soil or watercourses |
| Flooding | Water submerging land that is usually dry | Total Dairy Production | Total produce from dairy practices |
| Forest/Tree Cover | The ecosystem service benefits, e.g., biodiversity and water absorption | Total Meat Production | Total produce from meat production practices |
| Frost | Ground, air, and hoar frost affecting crop growth and pest survival | Total Productivity | Overall productivity of a farm |
| Health and Safety Workforce | Health and safety issues associated with a changing climate | Total Utilised Land | Total amount of land creating productivity either farming or alternative |
| Heatwave | An extended period of hot weather relative to normal | Water Demand | Water requirement to supplement rainfall |
| Insect Generation per Season | Pest generation as an impact of climate change | Water Quantity | Total water requirement both natural and utility |
| Irrigation | Non-rainfall watering of crops | Weed Infestation | The likelihood of abundance of weeds changing due to climate |
| Length of Growing Season | The thermal growing season and likelihood of change due to climate change | Winter Chill Units | Crop exposure to cool temperatures, key to bud development |
| Livestock Diseases | Zoonotic diseases causing harm or mortality to livestock | Carbon Footprint | Emissions generated during farm operations |
| Livestock Heat Stress | A decline in performance or mortality due to changing climate | Water Quality | Changes expected due to a changing climate |
| Year/ Season | Mean Air Temperature (RCPs 2.6/4.5/8.5) | Precipitation (RCPs 2.6/4.5/8.5) | Humidity (RCPs 2.6/4.5/8.5) | Frost (RCPs 2.6/4.5/8.5) | Heatwave (RCPs 2.6/4.5/8.5) | ||||||||||
|---|---|---|---|---|---|---|---|---|---|---|---|---|---|---|---|
| 2030 | |||||||||||||||
| Winter | 0.555 | 0.555 | 0.560 | 0.635 | 0.625 | 0.645 | 0.580 | 0.565 | 0.580 | 0.310 | 0.310 | 0.300 | |||
| Spring | 0.550 | 0.545 | 0.555 | 0.485 | 0.495 | 0.490 | 0.565 | 0.560 | 0.570 | ||||||
| Summer | 0.600 | 0.575 | 0.590 | 0.360 | 0.395 | 0.380 | 0.575 | 0.565 | 0.575 | 0.925 | 0.935 | 0.935 | |||
| Autumn | 0.585 | 0.570 | 0.580 | 0.540 | 0.555 | 0.560 | 0.600 | 0.575 | 0.590 | ||||||
| 2050 | |||||||||||||||
| Winter | 0.570 | 0.585 | 0.610 | 0.640 | 0.645 | 0.690 | 0.605 | 0.605 | 0.645 | 0.300 | 0.290 | 0.280 | |||
| Spring | 0.565 | 0.570 | 0.595 | 0.495 | 0.485 | 0.480 | 0.585 | 0.585 | 0.615 | ||||||
| Summer | 0.625 | 0.620 | 0.665 | 0.305 | 0.325 | 0.280 | 0.590 | 0.590 | 0.625 | 0.935 | 0.940 | 0.950 | |||
| Autumn | 0.595 | 0.600 | 0.635 | 0.545 | 0.565 | 0.575 | 0.625 | 0.615 | 0.660 | ||||||
| 2080 | |||||||||||||||
| Winter | 0.575 | 0.625 | 0.700 | 0.660 | 0.750 | 0.885 | 0.620 | 0.680 | 0.790 | 0.290 | 0.265 | 0.165 | |||
| Spring | 0.575 | 0.620 | 0.690 | 0.455 | 0.445 | 0.435 | 0.600 | 0.645 | 0.725 | ||||||
| Summer | 0.635 | 0.715 | 0.840 | 0.295 | 0.230 | 0.120 | 0.590 | 0.645 | 0.740 | 0.940 | 0.955 | 0.980 | |||
| Autumn | 0.605 | 0.670 | 0.765 | 0.550 | 0.575 | 0.605 | 0.660 | 0.710 | 0.840 | ||||||
| 2099 | |||||||||||||||
| Winter | 0.580 | 0.660 | 0.775 | 0.665 | 0.810 | 1.00 | 0.625 | 0.760 | 0.925 | 0.290 | 0.215 | 0.000 | |||
| Spring | 0.575 | 0.655 | 0.760 | 0.485 | 0.460 | 0.450 | 0.610 | 0.690 | 0.815 | ||||||
| Summer | 0.660 | 0.810 | 1.000 | 0.250 | 0.150 | 0.000 | 0.610 | 0.705 | 0.850 | 0.940 | 0.965 | 1.000 | |||
| Autumn | 0.605 | 0.720 | 0.870 | 0.585 | 0.600 | 0.640 | 0.640 | 0.805 | 1.000 | ||||||
Disclaimer/Publisher’s Note: The statements, opinions and data contained in all publications are solely those of the individual author(s) and contributor(s) and not of MDPI and/or the editor(s). MDPI and/or the editor(s) disclaim responsibility for any injury to people or property resulting from any ideas, methods, instructions or products referred to in the content. |
© 2025 by the authors. Licensee MDPI, Basel, Switzerland. This article is an open access article distributed under the terms and conditions of the Creative Commons Attribution (CC BY) license (https://creativecommons.org/licenses/by/4.0/).
Share and Cite
Jackson, J.A.; Stafford, R.; Cvitanović, M.; Cantarello, E. Predicting Climate Change Impacts on Agriculture in the Southwest United Kingdom. Sustainability 2025, 17, 3798. https://doi.org/10.3390/su17093798
Jackson JA, Stafford R, Cvitanović M, Cantarello E. Predicting Climate Change Impacts on Agriculture in the Southwest United Kingdom. Sustainability. 2025; 17(9):3798. https://doi.org/10.3390/su17093798
Chicago/Turabian StyleJackson, James Andrew, Rick Stafford, Marin Cvitanović, and Elena Cantarello. 2025. "Predicting Climate Change Impacts on Agriculture in the Southwest United Kingdom" Sustainability 17, no. 9: 3798. https://doi.org/10.3390/su17093798
APA StyleJackson, J. A., Stafford, R., Cvitanović, M., & Cantarello, E. (2025). Predicting Climate Change Impacts on Agriculture in the Southwest United Kingdom. Sustainability, 17(9), 3798. https://doi.org/10.3390/su17093798

