Next Article in Journal
The Impact of Transport Infrastructure on Sustainable Economic Development of Russian Regions
Previous Article in Journal
Analysis of the Impact of Outward Foreign Direct Investment of Corporations on Green Innovation in the Context of the Belt and Road Initiative
Previous Article in Special Issue
Research on the Impact of Carbon Emission Trading Policies on Urban Green Economic Efficiency—Based on Dual Macro and Micro Perspectives
 
 
Font Type:
Arial Georgia Verdana
Font Size:
Aa Aa Aa
Line Spacing:
Column Width:
Background:
Article

The Impact of Low-Carbon City Pilot Policies on Urban Green Energy Efficiency: A Quasi-Natural Experiment Based on Three Batches of Pilot Policy Implementation

1
School of Business, Shandong Normal University, Jinan 250300, China
2
School of Economics, Shandong Normal University, Jinan 250300, China
*
Authors to whom correspondence should be addressed.
These authors contributed equally to this work.
Sustainability 2025, 17(9), 3775; https://doi.org/10.3390/su17093775
Submission received: 13 March 2025 / Revised: 10 April 2025 / Accepted: 11 April 2025 / Published: 22 April 2025

Abstract

With the acceleration of global industrialization, energy consumption and environmental problems are becoming increasingly serious issues. As an important measure to deal with climate change in China, the low-carbon city pilot policy is of great significance to the improvement of urban green energy efficiency. Based on the panel data of 285 prefecture-level cities in China from 2011 to 2022, this paper systematically evaluates the impact of low-carbon city pilot policies on urban green energy efficiency and its mechanism. The study found that the low-carbon city pilot policy significantly improved urban green energy efficiency, with an average effect of 0.023 units. The policy effect shows obvious regional heterogeneity, especially in the eastern region, large cities, and non-resource-based cities. Further analysis shows that industry chain toughness, green finance and technological innovation are important intermediary paths for policy to play a role, and there is a significant synergy among the three. In addition, the policy also shows a spatial spillover effect, which has a positive impact on the green energy efficiency of adjacent cities. Finally, based on the results, this paper discusses and puts forward targeted suggestions for policy making. This study provides an empirical basis for optimizing low-carbon policy design and promoting regional coordinated development, and has important reference value for achieving the goal of sustainable urban development.

1. Introduction

With the acceleration of global industrialization, the rapid growth of energy consumption and its environmental problems have become the key challenges restricting sustainable development. The United Nations’s Sustainable Development Goals clearly put forward the core demands of “affordable clean energy” and “climate action”, and the intensification of climate change further forces countries to incorporate low-carbon transformation into national strategic frameworks [1]. As the country with the highest carbon emissions in the world, China has put forward the goals of “carbon peaking” and “carbon neutralization”, and its implementation path needs to be supported by systematic and differentiated policy tools. In this context, the Chinese government has implemented the low-carbon city pilot policy (LCCP) in three batches since 2010, aiming to explore effective mechanisms of industrial structure optimization, technological innovation incentives, and energy efficiency improvement through the pilot policy [2].
However, there are still significant gaps in the existing research on the evaluation of the policy’s effect: insufficient evaluation of policy impact, insufficient disclosure of the heterogeneity of the policy’s effect, insufficient interpretation of the mechanism of policy effect, and insufficient research on the spillover of policy effect. This research gap directly restricts the scientific design and large-scale promotion of low-carbon policies, and making up this gap has urgent social significance for accelerating the global low-carbon transformation.
From the perspective of academic necessity, although existing studies have focused on the overall effect of low-carbon policy [3,4], three key issues remain unresolved: first, the heterogeneity boundary of policy effect needs to be clarified. The differences in resource endowment, location conditions, and industrial structure may lead to the phenomenon of “local failure” in policy effect [5]. For example, resource-based cities may weaken policy incentives due to path dependence [6], but the existing literature lacks relevant elaboration. Second, the “black box” of policy action mechanism has not been opened, and the synergy effect of different policy tools and the impact of urban green energy efficiency are still unclear [7]. Third, the spatial spillover effect of policy has been ignored for a long time. Low-carbon pilot projects may affect the energy efficiency of surrounding cities through technology diffusion or factor flow [8]. This mechanism is crucial to optimizing policy layout, but there it has little empirical support [9]. The above gap makes it difficult for the existing theories to explain the differentiation of the effect of China’s low-carbon policy, and even less to provide an operable reference framework for other developing countries.
From the perspective of social necessity, China’s low-carbon city pilot policy has both local particularity and global universality value. As the largest developing country in the world, Chinese cities are facing the dual pressure of industrialization process and low-carbon goals [10], and their policy practice provides a natural experimental field for emerging economies to solve the “growth emission reduction” paradox [11], which is also of benchmark significance for global developing countries [12]. According to World Bank data, cities in developing countries contribute 65% of the global energy related to carbon emissions [13], but their low-carbon transformation is generally faced with the dual dilemma of insufficient institutional capacity and an ambiguous technological path [14]. Therefore, revealing the internal logic of China’s policy practice will provide a solution with both theoretical legitimacy and practical feasibility for the countries in the south of the world.
This study systematically evaluates the impact of low-carbon city pilot policies on green energy efficiency by constructing a multi-dimensional analysis framework. The research conclusion can not only provide accurate policy basis for China’s low-carbon policy optimization in the next stage, but also extend its methodological framework to other developing countries to help the sustainable development of global cities.

2. Literature Review

The existing literature has formed two main research threads around the effect evaluation of the low-carbon city pilot policy (LCCP) and the measurement of green energy efficiency (GEE), namely the multidimensional verification of policy effect and iterative innovation of methodology, but the two have not yet achieved deep integration at the level of mechanism analysis and spatial dynamics.
Early studies focused on the direct impact of LCCP and verified its immediate effects on pollution control, carbon emission intensity, and energy efficiency. Zhanghua (2020) confirmed that policies directly reduce urban carbon emissions and air pollution through environmental regulation [15]; Huang Huan et al. (2023) further pointed out that the LCCP significantly improved the ecological efficiency of carbon emissions through energy structure optimization [16]. In the dimension of energy efficiency, Zhang Bingbing et al. (2021) used the multi-phase DID model to prove the steady promotional effect of policies on total factor energy efficiency [17], and Wang Zhi et al. (2023) revealed the transmission path of policies to micro-subjects from the perspective of enterprise ESG performance [18]. Such studies have laid the factual foundation for the effectiveness of the LCCP, but due to the unidirectionality of causal inference, they failed to reveal the “black box” of the mechanism of action [19].
Subsequent scholars turned to the indirect effect of policy, starting from the meso-industrial structure and micro-enterprise behavior. Färe, R (2024) found that the LCCP promotes industrial upgrading by inhibiting coal consumption [20], and Wang Shengjin (2022) confirmed that it optimizes the industrial base through environmental investment [21]; At the micro-level, Tianshuying et al. (2022) and Zhao, S.J et al. (2021), respectively, verified the promotion of policies on enterprise performance and total factor productivity [22,23]. Although these studies have expanded the interpretation dimension of policy effect, there are three limitations: first, the mechanism is fragmented; variables such as industrial structure and technological innovation are often discussed in isolation, and there is a lack of systematic testing of the multi-path synergy effect. Second, the static nature of space is another limitation, ignoring the possible cross-regional spillovers of policies. Third, heterogeneity is simplified, and the regulatory effects of structural differences, such as resource endowment and industrial base, on the policy’s effect are not thoroughly analyzed [24].
As for the measurement of green energy efficiency, the existing measurement methods have achieved the innovation from one-dimensional efficiency to dynamic total factors. Specifically, the measurement methods of green energy efficiency have experienced three paradigm breakthroughs: the first generation model is based on DEA (Charnes et al., 1979) [25], which achieves static evaluation through the comparison of relative efficiency of decision-making units, but cannot handle unexpected output. The second generation model introduces directional distance functions, such as SBM and ML index. Hu (2006) and Guo, R (2020) measure regional energy efficiency differences in China [26,27], and oh (2010) build a dynamic ML index to capture technological changes [28]. The third generation model integrates geographic information technology and multi-source data. Stan Shi et al. (2020) reconstructed urban energy consumption using nighttime lighting data [29], and Yingqi Xu et al. (2022) combined this with the unexpected output SBM model to analyze the temporal and spatial evolution of carbon emission efficiency [30]. These methodological innovations provide a more refined measurement tool for policy evaluation, but most studies stop at efficiency measurement and do not establish a clear causal relationship with policy intervention.
Through the review and sorting of the relevant literature, it can be seen that the current research results on the evaluation of the policy effect and green energy efficiency of low-carbon city pilot are relatively rich, but there are still some shortcomings: first, existing studies have fully discussed the impact and effect of low-carbon city pilot policies on cities, but their research on the impact of urban green energy efficiency is still less. Although some of the studies in the literature involve the calculation of energy efficiency, the research on the causal relationship between low-carbon pilot policies and green energy efficiency is still insufficient [31]. Second, due to the limitations of causal inference, the existing studies mostly rely on a single econometric model and lack of cross-validation of counterfactual frameworks such as the synthetic control method, which may lead to bias in the estimation of the net effect of policies [32]. Third, the mechanism analysis is one-sided. The existing research on the transmission path focuses on the traditional variables, ignoring the core mechanisms that comprehensively reflect the structural flexibility and transformation ability, such as the toughness of the industrial chain and green finance. Fourth, there is a lack of spatial dynamics. The existing research on the spillover effect of policy space mostly stays in theoretical deduction, lacks quantitative evidence based on spatial measurement, and does not identify the attenuation boundary of spillover effect [33].
This study fills the above gap through five-dimensional innovation: first, from the perspective of innovation, aiming at the problem of insufficient research on the causal relationship between low-carbon pilot policies and green energy efficiency, this paper uses the super-efficiency SBM model to measure the urban green energy efficiency, and links the low-carbon urban pilot policies with the urban green energy efficiency. Second, in view of the limitations of the methods in the existing literature, this paper integrates a variety of methods, and comprehensively uses the double difference model, the double difference model combined with propensity score matching, and the composite control method to evaluate the policy effect, so as to enhance the robustness of causal inference. Third, in view of the problem that the existing research mechanism is not sufficiently in-depth, this paper brings the comprehensive indicators of industrial chain toughness and green finance into the causal path of policy impact for the first time, and combined with the path of technological innovation, reveals the causal path of policy impact on urban green energy efficiency. Fourth, on the basis of the mechanism test, we use the synergy test and dynamic panel data model to analyze the interaction of green finance, technological innovation, and industrial chain toughness, breaking through the research paradigm of a single mechanism. Fifth, aiming at solving the problem of insufficient research on spatial spillover of existing research, this paper quantifies the effect of policy spatial spillover, and measures the radiation impact and intensity of policy on adjacent cities through spatial autoregressive model. Sixth, in view of the deficiency of simplifying the heterogeneity of existing research, this study refined the heterogeneity, and constructed multi-dimensional grouping based on variables such as resource endowment, industrial base, and location conditions to reveal the boundary conditions of the policy’s effect.
In order to realize the innovative research of this paper, this paper constructs an empirical test framework in the third part of the results: Section 3.1 puts forward the theoretical mechanism and research hypothesis, and then Section 3.2 describes the research design in detail, including the definition of variables, model construction, and data sources. Section 3.3 uses the fixed effect DID model for benchmark regression to verify the positive effect of the policy, and through PSM-DID, the synthetic control method, and other methods to test the robustness to ensure the reliability of the results. Section 3.4 reveals the differences in policy effects in different cities based on the heterogeneity analysis of resource endowment, industrial base, and location conditions. Section 3.5 discusses the impact path of policies on green energy efficiency through industrial chain toughness, green finance, and technological innovation, and verifies the synergy between mechanisms. Section 3.6 discusses the spillover effect of the policy. The framework not only overcomes the above shortcomings of existing research on policy effect evaluation and mechanism analysis, but also provides an empirical basis for the low-carbon transformation of cities in developing countries with both methodological innovation and policy operability, and provides a solid empirical basis for the discussion in Section 4 and policy recommendations in Section 5 of the article.

3. Results

3.1. Theoretical Mechanisms and Research Hypotheses

3.1.1. Low-Carbon City Pilot Policies and Urban Green Energy Efficiency

The low-carbon city pilot policy can significantly improve the green energy efficiency of cities in both direct and indirect ways [34]. First of all, from the direct impact point of view, low-carbon policies directly promote the efficiency of urban energy use through mandatory environmental regulations and incentives. By setting strict carbon emission standards and energy consumption quotas, the low-carbon pilot policy forces enterprises to adopt more efficient energy technologies and management methods, thus directly reducing energy consumption per unit of output [35]. In addition, the low-carbon policy directly encourages enterprises to carry out green technology innovation by providing financial subsidies, tax incentives, and other incentives, and promotes the wide application of clean energy technologies [36]. This direct policy intervention not only improves the energy efficiency of enterprises, but also benefits the whole city through technology spillover effects, further improving the green energy efficiency of cities [37].
Secondly, from the indirect impact, the low-carbon city pilot policy indirectly improves the green energy efficiency of cities by changing the industrial structure and development model of cities. By restricting the development of high energy consumption and high-pollution industries, the low-carbon policy has promoted the transformation of industrial structure to low-carbon and green direction [38]. To sum up, the pilot policy of low-carbon cities improves the green energy efficiency of cities through direct environmental regulation and technological incentives, as well as indirect optimization of industrial structure and development mode [39]. Direct policy intervention promotes the improvement of energy efficiency through mandatory and incentive measures, while indirect industrial restructuring and financial support provide long-term impetus for the green transformation of cities [40], but whether from the direct or indirect impact, the low-carbon city pilot policy has improved the green energy efficiency of cities.
Based on this, this study proposes:
Hypothesis 1.
Low-carbon city pilot policies can promote the improvement of urban green energy efficiency.

3.1.2. Low-Carbon City Pilot Policies, Industrial Chain Resilience, Technological Innovation, and Green Finance

In the process of low-carbon city pilot policies promoting urban green energy efficiency, industrial chain resilience, technological innovation, and green finance play mediating roles.
Firstly, low-carbon policies enhance the ability of cities to cope with energy crises and environmental challenges by strengthening industrial chain resilience. Industrial chain resilience refers to the ability of an industrial chain to maintain stability and recover from external shocks [41]. Low-carbon policies promote the greening and digitalization of industrial chains, enhancing their resilience and sustainability [42]. Additionally, by providing policy support and financial subsidies, low-carbon policies help enterprises innovate in green supply chain management, energy conservation, and emission reduction, thereby strengthening industrial chain resilience [43]. Ultimately, the improvement of industrial chain resilience not only enhances the city’s ability to respond to energy crises, but also improves urban green energy efficiency through optimized resource allocation and technological innovation [44].
Secondly, low-carbon city pilot policies promote the improvement of green energy efficiency by driving technological innovation. Technological innovation is one of the core drivers of low-carbon policies. By offering incentives such as R&D funding support and tax benefits, low-carbon policies encourage enterprises to innovate in clean energy technologies and energy-saving technologies [45]. Research shows that the level of green technological innovation in low-carbon pilot cities is significantly higher than in non-pilot cities, and technological innovation significantly promotes energy efficiency [46]. Furthermore, low-carbon policies further enhance energy utilization efficiency by promoting the application of digital technological innovations [47].
Finally, the low-carbon city pilot policy provides financial support for the improvement of green energy efficiency through the development of green finance. Green finance refers to financial activities that provide financial support for environmental protection and sustainable development [48]. Low-carbon policies can stimulate the development of financial instruments such as green credit and green bonds in cities, and provide financial support for green technology innovation and energy efficiency improvement of enterprises [49]. In addition, green finance not only provides financial support for the green technology innovation of enterprises [50], but also promotes the innovation of enterprises in energy conservation and emission reduction technologies through the incentive mechanism of financial markets [51], so as to enhance the green energy efficiency of enterprises and indirectly enhance the green energy efficiency of the city where they are located [52].
In summary, low-carbon city pilot policies effectively promote urban green energy efficiency by enhancing industrial chain resilience, driving technological innovation, and developing green finance.
Based on this, this study proposes:
Hypothesis 2.
Low-carbon city pilot policies promote urban green energy efficiency by enhancing industrial chain resilience, technological innovation, and green finance.

3.1.3. Spatial Spillover Effects of Low-Carbon City Pilot Policies

The effective implementation of low-carbon city pilot policies not only improves the energy efficiency of pilot cities, but also generates significant spatial spillover effects on the energy efficiency of neighboring cities.
Firstly, low-carbon policies promote green technological progress in neighboring cities through technology diffusion and knowledge spillovers [53]. The successful experiences of low-carbon pilot cities in green technological innovation can spread to neighboring cities through technology cooperation and talent mobility, thereby enhancing their energy efficiency [54].
Secondly, low-carbon city pilot policies improve the energy efficiency of neighboring cities through the synergistic effects of industrial chains. By promoting green supply chain management, low-carbon pilot cities facilitate the green transformation of upstream and downstream enterprises in the industrial chain, thereby enhancing the energy efficiency of the entire region [55]. From an enterprise perspective, the green supply chain management practices of low-carbon pilot cities can drive enterprises in neighboring cities to adopt more efficient energy technologies through industrial chain synergy, thus improving their energy efficiency [56].
Lastly, low-carbon city pilot policies promote energy efficiency in neighboring cities through the demonstration effect of environmental regulations. The successful experiences of low-carbon pilot cities in environmental regulation can spread to neighboring cities through policy learning and imitation, encouraging these cities to strengthen environmental regulations and improve energy efficiency [57].
In summary, the effective implementation of low-carbon city pilot policies generates significant spatial spillover effects on the energy efficiency of neighboring cities through technology diffusion, industrial chain synergy, and the demonstration effect of environmental regulations. Technology diffusion and knowledge spillovers promote green technological progress in neighboring cities, industrial chain synergy enhances their energy efficiency, and the demonstrated effect of environmental regulations encourages neighboring cities to strengthen environmental regulations, further improving energy efficiency [53,55].
Based on this, this study proposes:
Hypothesis 3.
The effective implementation of low-carbon city pilot policies generates spatial spillover effects on the energy efficiency of neighboring cities.
Based on the above theoretical analysis, the research flowchart of this study is shown in Figure 1:

3.2. Research Design

3.2.1. Variable Description

(1) Explanatory variable: the core explanatory variable in this study is the low-carbon city pilot policy. Referring to the research of Zhang Bingbing et al. [17], a dummy variable interaction term posttreat is constructed, with its coefficient representing the net effect of the low-carbon city pilot policy on urban green energy efficiency estimated using the difference-in-differences (DID) method. Based on whether a city is a low-carbon pilot city, this study categorizes Chinese cities that implemented low-carbon city pilot policies after 2010 as the treatment group (Policy = 1) and cities that have not yet implemented carbon emission trading pilot policies as the control group (Policy = 0). A time dummy variable is constructed, where the year is assigned a value of 1 for years after the policy implementation and 0 for other years. The interaction term between the policy dummy variable and the time dummy variable, Policykt × Yearkt (i.e., posttreat), is then constructed.
(2) Explained variable: the explained variable in this study is urban green energy efficiency. Referring to the research of Shi Dan et al. and Gao Fengping et al. [29,58], this study selects the green total factor energy efficiency (GTFEE) at the city level as the indicator to measure urban green energy efficiency. The GTFEE is calculated based on the non-radial slack-based measure (SBM) model and the Malmquist–Luenberger (ML) index. The specific construction process is as follows:
First, each provincial administrative region is set as a decision-making unit (DMU), denoted as the input matrix X, the desirable output matrix Y, and the undesirable output matrix Z. The corresponding slack variables are denoted as S , S + , and S b , respectively. There are n DMUS, and m, S 1 , and S 2 represent the number of corresponding variables.
Second, in the matrix, each row represents a variable, and each column represents a DMU. It can represent the k-th input variable of the i-th DMU. Each DMU has m inputs and S outputs, including S 1 types of desirable outputs and S 2 types of undesirable outputs. The target parameter λ is set as the weight vector of cross-sectional observations, and the SBM model is constructed for each specific DMU, as shown in Equation (1). Here, ρ is the efficiency score, and the current DMU is considered efficient if and only if ρ = 1. Finally, based on Equation (3), the final green energy efficiency is obtained.
min ρ = 1 + 1 S 1 +   S 2 { i = 1 S 1 S i g y ik g + i = 1 S 2 S i b y ik b } 1 1 m i = 1 m S i x ik
s . t . { X λ + S = x k Y g λ S g = y k g Y b λ S b = y k b λ 0 , S 0 , S g 0 , S b 0
ML t t + 1 = 1 +   D 0 t ( x t ,   y t ,   b t ;   y t , b t ) 1 +   D 0 t ( x t + 1 ,   y t + 1 ,   b t + 1 ;   y t + 1 , b t + 1 ) × 1 +   D 0 t + 1 ( x t ,   y t ,   b t ;   y t , b t ) 1 +   D 0 t + 1 ( x t + 1 ,   y t + 1 ,   b t + 1 ;   y t + 1 , b t + 1 )
In the calculation of green energy efficiency, this study refers to the input indicators used by Zhang Hongyuan [59], which include labor input, capital input, and energy input. Labor input is measured by the year-end employment in the municipal districts (in ten thousand people). Capital input is calculated using the perpetual inventory method to determine the year-end capital stock of the city (in CNY ten thousand). Energy input is measured using the city’s nighttime light data (in ten thousand tons of coal equivalent). The desirable output indicator is measured by the actual GDP of each prefecture-level city calculated at constant 2006 prices (in CNY ten thousand). For the undesirable output indicators, referring to the research of Li Tao et al. [60], industrial SO2 emissions (in tons), industrial wastewater discharge (in ten thousand tons), and industrial smoke and dust emissions (in tons) are used. The above indicators are synthesized into comprehensive environmental pollution indicators by entropy method, and the missing data are supplemented by interpolating method. Table 1 shows the Accounting Indicators of green energy efficiency.
(3) Control Variables and Literature
To avoid the influence of other city-level data on the research results, this study selects the following control variables:
① Financial development level (Finance): the financial development level reflects the maturity and liquidity of a city’s financial market. The sophistication of financial markets affects the ability of enterprises and governments to access funds, thereby influencing investments in and implementation of green energy projects. Therefore, controlling for financial development level can reduce the interference of financial factors on green energy efficiency [60].
② Fiscal investment intensity (Invest): fiscal investment intensity reflects the government’s investment in infrastructure and public projects. Government fiscal investment may promote the construction and development of green energy projects [61]. Thus, controlling for this variable can better isolate the independent impact of low-carbon city pilot policies.
③ Population density (Pop): population density affects energy consumption patterns and the difficulty of implementing green energy projects. Areas with high population density may have higher energy demands, but may also find it easier to implement centralized green energy projects [62]. Therefore, controlling for population density allows for a more accurate assessment of policy effects.
④ Urban economic level (Level): the urban economic level reflects the stage and structure of a city’s economic development. The tertiary sector typically has lower energy dependency, so differences in economic structure may influence green energy efficiency [63]. Controlling for this variable reduces the interference of economic structure differences in the results.
(4) Mediating Variables and Literature
Based on the theoretical analysis above, this study selects industrial chain resilience, green finance, and technological innovation as mediating variables.
① Industrial chain resilience (IRC): industrial chain resilience refers to the ability of an industrial chain to quickly adapt, adjust, and recover from external shocks (e.g., policy changes, market fluctuations, environmental pressures). Low-carbon policies promote the greening of industrial chains, requiring enterprises to improve energy efficiency and reduce carbon emissions, thereby enhancing the overall resilience of the industrial chain [64]. The improvement of industrial chain resilience, in turn, promotes the enhancement of green energy efficiency. A resilient industrial chain can more effectively integrate resources, optimize production processes, reduce energy consumption and emissions, and improve urban green energy efficiency [65]. Therefore, this study selects industrial chain resilience as a mediating variable, measuring it through industrial structure level, industrial structure upgrading, industrial structure advancement, and a comprehensive index calculated using the entropy method.
② Technological innovation (Innovation): low-carbon policies promote enterprises’ investment in green technology R&D by providing funding support, policy incentives, and market guidance [66]. Technological innovation enhances green energy efficiency by improving energy conversion efficiency, reducing energy consumption, and lowering pollution emissions [67]. Thus, technological innovation is selected as a mediating variable.
③ Green finance (GreenFinance): green finance refers to the use of financial tools and market mechanisms to channel funds into green industries and low-carbon projects, supporting sustainable development. This includes green credit, green bonds, and carbon finance. Low-carbon policies guide the establishment of green financial systems, providing financing support for green energy projects, reducing enterprises’ financing costs, and incentivizing investments in green technologies and energy efficiency improvements [68]. Green finance optimizes resource allocation, promotes the implementation of green energy projects, and thereby enhances urban green energy efficiency [69]. Therefore, this study selects green finance as a mediating variable.
Among these, there is no particularly clear measurement method for green finance in China, and the measurement system is not unified. Most studies borrow measurement methods from previous research. Considering the comprehensiveness of measuring green finance development, this study refers to the research of Yan Tianshun et al. [68], constructing China’s green finance index system from four dimensions, green credit, green securities, green insurance, and green investment, and using the entropy method for calculation. Table 2 shows the green financial accounting index system.
First, data standardization is performed:
For positive indicators:
y ij = x ij   min ( x ij ) max ( x ij )   min ( x ij )
For negative indicators:
y ij = max ( x ij )   x ij max ( x ij )   min ( x ij )
Among these, y ij represents the j-th indicator of the i-th province. The standardized values are then shifted to avoid calculation errors in subsequent steps.
Next, the weights of the indicators are determined using the following formula:
p ij = y ij i = 1 n x ij
Among these, p ij represents the weight of the i-th province under the j-th indicator. In the third step, the information entropy value of the j-th indicator is calculated using the following formula:
e j = k ( i = 1 n p ij lnp ij ) , k > 0 , 0 < e ij < 1
Among these, k is generally a constant:
k = 1 ln   n
Next, the coefficient of variation and the weight of the j-th indicator are calculated using the following formula:
g i = 1 e j
w i = g i j = 1 m g i
Finally, the linear weighting method is applied to multiply the shifted standardized data of each indicator by the corresponding weights to obtain the value of the comprehensive index of green finance development level, which represents the green finance development index for region i. The formula is as follows:
v i = j = 1 m w j x ij
Similarly, to ensure data availability and scientific rigor, this study draws on the research of Chen Xiaodong et al. [70] and Sun Hongxue [71] and uses prefecture-level cities as the analysis unit to comprehensively evaluate industrial chain resilience from two dimensions: resistance–recovery capacity and transformation–renewal capacity. Resistance–recovery capacity is characterized by industrial structure level, industrial structure upgrading, and industrial advancement, with the Hirschman–Herfindahl Index (HHI) used as the measurement indicator. A lower HHI indicates a higher degree of industrial diversification, implying a stronger ability of the industrial chain to maintain stable operation in response to external shocks. Transformation–renewal capacity (Renew) is measured by the number of invention patents authorized in the city. A higher value of this indicator indicates stronger capabilities in new product development and upgrading, reflecting the industrial chain’s adaptability and renewal capacity for future development paths. After calculating the resistance–recovery capacity index and the transformation–renewal capacity index separately, the entropy weight method is used to weight the two, ultimately deriving a comprehensive index of industrial chain resilience.
(5) Instrumental Variables
In robustness tests, to address the endogeneity caused by sample selection bias, this study employs the propensity score matching method and the two-stage least squares (2SLS) method for endogeneity testing. For the selection of instrumental variables in the 2SLS method, this study fully considers the correlation between the instrumental variables and the explanatory variables and the exogeneity of the explained variables. The interaction term between the low-carbon city pilot policy and urban carbon emissions, as well as the level of government intervention, are selected to replace the explanatory variables.
① Interaction term of low-carbon city pilot and urban carbon emissions (posttreat × carbon intensity): when selecting low-carbon city pilots, China typically prioritizes cities with higher carbon emission intensity, as these cities have greater potential for emission reduction in achieving the “dual carbon” goals (carbon peak and carbon neutrality) [71]. Therefore, urban carbon emissions influence the selection of low-carbon city pilots, meaning this interaction term is correlated with the low-carbon city pilot policy (explanatory variable). Moreover, urban carbon emissions themselves are the result of factors such as economic structure and energy consumption patterns, and do not have a direct causal relationship with urban green energy efficiency (explained variable). Thus, this interaction term can be considered exogenous and does not directly affect green energy efficiency, satisfying the basic assumptions for instrumental variable selection.
② Government intervention (Cov): in cities with a higher degree of government intervention, the government usually has stronger motivation and resource investment in implementing low-carbon city pilot policies [72]. Therefore, the level of government intervention is correlated with the intensity of low-carbon city pilot policy implementation. Additionally, the level of government intervention is typically determined by the political, economic, and social context of the city [73], rather than being directly driven by green energy efficiency. Thus, government intervention can be considered exogenous and does not directly affect green energy efficiency, satisfying the basic assumptions for instrumental variable selection.
Table 3 presents the indicators used for the calculation of each variable in this study:

3.2.2. Model Construction

  • Hausman Test
This study employs panel data at the city level in China from 2011 to 2022 to examine the impact of low-carbon city pilot policies on urban green total factor energy efficiency. Drawing on the research of Li Jicheng [74] and HouYu [75], the low-carbon city pilot policies issued in 2010, 2012, and 2017 were treated as three quasi-natural experiments. A multi-period difference-in-differences (DID) model was used for the baseline empirical analysis. Before constructing the specific model, the Hausman test was first conducted.
According to the results of the Hausman test, the Hausman test statistic is 95.71, with a p-value of 0.000, indicating that the fixed effects model is more suitable for examining the causal effect between the pilot policies and green energy efficiency.
2.
Model Specification
To evaluate the effects of the low-carbon city pilot policies, based on the results of the Hausman test, this study refers to the research of Fan Dan and Liu Tingting [76] to construct a fixed-effects multi-period DID model for the baseline regression. Given that city-level panel data were used in this study, there may be individual characteristics that do not vary over time and time characteristics that do not vary across individuals, which could affect the true impact of the independent variables on the dependent variable. Therefore, a two-way fixed effects model was adopted to reduce omitted variable bias. The model is constructed as follows:
eff kt = α 0 + α 1 posttreat kt + α 0 Controls kt + ξ k + δ t + ε kt
Among these, eff kt is the explained variable representing urban green energy efficiency, posttreat is the explanatory variable representing the low-carbon city pilot policy, Controls are the city-level control variables: k represents the region, tt represents the year, ξ k represents the region fixed effects, δ t represents the time fixed effects, and ε kt is the random error term.
To examine the mechanisms through which the low-carbon city pilot policy affects urban green energy efficiency, this study employs a stepwise regression approach to construct the mediation model as follows:
eff kt = η 0 + η 1 posttreat kt + η 2 Controls kt + ξ k + δ t + ε kt
Mediator kt = ϕ 0 + ϕ 1 posttreat kt + ϕ 2 Controls kt + ξ k + δ t + ε kt
eff kt = γ 0 + γ 1 posttreat kt + γ 2 Mediator kt + γ 3 Controls kt + ξ k + δ t + ε kt
Among these, Mediator kt represents the mediating variable. According to the mediation effect test using the stepwise regression method, in models (13), (14), and (15), if η 1 is significant and ϕ 1 is significant, while γ 1 is not significant and γ 2 is significant, it indicates a complete mediation effect. If γ 1 is significant, it indicates a partial mediation effect.
To examine whether the impact of the low-carbon city pilot policy on urban green energy efficiency has spatial spillover effects, this study constructs a spatial spillover effect model as follows:
eff kt = ρ × W × eff kt + β × X kt + ξ k + δ t + ε kt
Among these, ρ is the spatial autoregressive coefficient, measuring the strength of the spatial spillover effect; W is the spatial weight matrix, describing the spatial relationships between cities; β is the coefficient vector of the explanatory variables; and X is the matrix of explanatory variables and control variables. If the spatial autoregressive coefficient is significantly different from zero, it indicates the presence of a spatial spillover effect.

3.2.3. Data Sources

The research topic of this study is the impact of low-carbon city pilot policies on urban green energy efficiency. City-level panel data from China are selected, and considering data availability and timeliness, this study uses panel data from 2011 to 2022. The data are primarily sourced from the China City Statistical Yearbook, China Energy Statistical Yearbook, China Environmental Yearbook, China Financial Yearbook, and government work reports of various cities. Before conducting the econometric regression, to avoid the influence of outliers on the results, the following standardization procedures were applied to the raw data: (1) city samples with a missing data rate of >15% were excluded; (2) linear interpolation was used to fill in non-continuous missing values. Ultimately, a balanced panel dataset covering 281 prefecture-level cities is obtained, totaling 3934 valid observations; (3) for the spatial spillover effects of the policy, this study calculates the spatial economic–geographic nested matrix between Chinese cities, comprehensively measuring the distances between cities from the perspectives of GDP and latitude/longitude.

3.3. Baseline Regression Results

3.3.1. Multicollinearity Diagnosis

Before conducting the baseline regression, to test for the presence of multicollinearity among the variables, a multicollinearity test was performed. The test results are shown in Table 4. According to the results in Table 4, the variance inflation factor (VIF value) for each variable is less than five, indicating no severe multicollinearity. Therefore, further empirical analysis could be conducted.

3.3.2. Parallel Trend Test

Before using the difference-in-differences (DID) model to evaluate policy effects, it is essential to ensure that the parallel trend assumption is satisfied. This assumption implies that the trajectories of energy efficiency changes in low-carbon pilot cities and non-pilot cities should be consistent before the implementation of the policy. To verify this assumption, this study employed the event study approach, extended the sample period to the five years prior to the first pilot policy implementation, expanded the sample period to 2005–2022, and constructed the following model for in-depth analysis.
eff kt = ζ 0 + t = 1 5 ψ t pre kt + t = 1 5 ψ t post kt + ζ 2 W kt + ξ k + δ t + ε kt
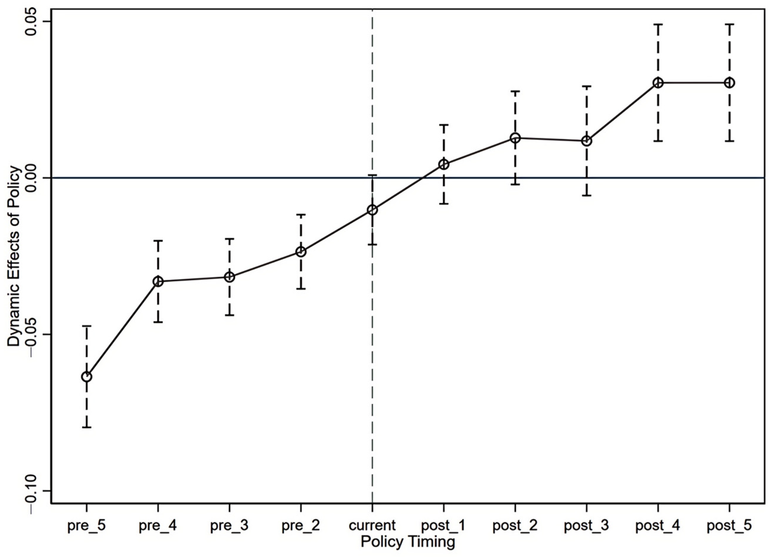
In Equation (17), pre kt represents the t-th year before the implementation of the policy in low-carbon pilot city k, while post kt denotes the t-th year after the policy implementation, W kt stands for control variables,   ω k captures city fixed effects, δ t accounts for time fixed effects, and ε kt is the error term. Figure 2 presents the results of the parallel trend test. The solid line in the figure represents the estimated dynamic effects of the policy, while the dashed lines indicate the 95% confidence intervals. The horizontal axis denotes the policy timeline, including both pre-implementation and post-implementation years. The vertical axis measures the dynamic effects of the policy on urban green energy efficiency, reflecting the magnitude of policy impacts at different time points. The zero line serves as the benchmark in policy effect evaluation—if the estimated policy effect (solid line) deviates from the zero line and its confidence interval (dashed lines) excludes zero, it indicates statistically significant policy effects.
This study uses the year before the implementation of the pilot policy as the baseline period, where Pre5—Pre2 represent the fifth to second years before the policy implementation, and Post1—Post5 represent the first to fifth years after the policy implementation. As shown in Figure 2, the estimated coefficients for all periods before the policy implementation are not statistically significant, indicating that the research sample satisfies the parallel trend assumption. Additionally, the coefficient values for the periods after the policy implementation are all positive, with the fourth and fifth periods showing high significance. This further confirms the significant positive impact of the low-carbon city pilot policy on urban green energy efficiency.

3.3.3. Analysis of Baseline Regression Results

This study first conducts a baseline regression using the OLS model without controlling for time and city effects. The baseline regression results are shown in Table 5. According to the results in Table 5, the estimated coefficient of the pilot policy dummy variable (posttreat) is significantly positive at the 1% level. Columns (2) to (5) present the estimation results with control variables gradually introduced. It can be observed that the estimated coefficient of posttreat remains significantly positive at the 1% significance level. After including all control variables, the results show that the implementation of the pilot policy can increase urban green energy efficiency by an average of 0.013 units, validating Hypothesis 1.
From the perspective of control variables, population density and urban economic structure have a positive impact on green energy efficiency, while financial development level and fiscal investment intensity have a negative impact. In densely populated areas, economies of scale are more likely to form, promoting the centralized construction and efficient utilization of green energy infrastructure [77,78]. Additionally, the optimization of economic structure, particularly the increase in the proportion of the tertiary sector, helps reduce energy consumption intensity and fosters the application of green energy technologies [79]. Conversely, the negative effects of financial development level and fiscal investment intensity on green energy efficiency may stem from the following reasons: due to historical factors, excessive activity in financial markets may channel funds into high-pollution, high energy-consuming traditional industries rather than the green energy sector. Moreover, if fiscal investment increases without proper planning, it may lead to energy waste or inefficient use, thereby inhibiting the improvement of green energy efficiency [80].
Next, this study employs a two-way fixed effects multi-period DID model to identify the impact of the low-carbon city pilot policy on urban green energy efficiency. The baseline regression results are shown in Table 6. Column (1) presents the regression results without control variables, where the estimated coefficient of the pilot policy dummy variable (posttreat) is significantly positive at the 5% level. Columns (2) to (5) display the estimation results with control variables gradually introduced. It can be observed that the estimated coefficient of posttreat remains significantly positive at the 1% significance level, indicating that the low-carbon city pilot policy significantly enhances urban green energy efficiency, thereby validating Hypothesis 1. After including all control variables, the implementation of the pilot policy increases urban green energy efficiency by an average of 0.023 units. Although there is some deviation from the results in Table 5, it does not affect the validity of Hypothesis 1.
From the perspective of control variables, financial development level, population density, and industrial structure level have a positive impact on urban green energy efficiency, while investment level has a negative impact. These findings are largely consistent with the conclusions drawn from the baseline regression results in Table 5. However, in this case, financial development level exerts a positive effect, likely because controlling for time and city factors eliminates biases caused by historical factors and city-specific characteristics. Driven by the “dual carbon” strategic goals, cities with higher financial development levels place greater emphasis on investments in green sectors. Consequently, higher financial development levels may positively influence urban green energy efficiency.

3.3.4. Robustness Tests

  • Propensity Score Matching
Although the DID method provides an initial estimation of the policy effect in the baseline regression, its results may be influenced by factors such as sample selection bias [81]. To verify the reliability of the research conclusions, it is necessary to employ other methods for robustness testing. Drawing on the research of Mao Qilin (2024) [82] and Liu Naiquan (2017) [83], this study uses propensity score matching (PSM) and the synthetic control method (SCM) to conduct counterfactual causal inference, addressing confounding factors in the causal effect.
For propensity score matching, the treatment group data consists of actual observed values of green energy efficiency indicators in pilot cities before and after policy implementation, which directly reflect real changes in green energy efficiency following the policy intervention in these cities. The control group data is constructed by calculating each city’s probability of being selected as a pilot city prior to policy implementation through the PSM method. This model uses a series of characteristic variables from the year preceding policy implementation as inputs. By matching non-pilot cities with similar propensity scores, we establish a control group that shares comparable pre-policy characteristics with the treatment group cities. The specific construction methodology is as follows:
First, this study uses Δ eff k , t + s 1 to represent the change in the degree of green transformation for the treatment group cities from year t to year t + s, and Δ eff k , t + s 0 to represent the change in green energy efficiency for the treatment group cities if they had not been selected as low-carbon city pilots during the same period. The average treatment effect (ATE) of being selected as a low-carbon city pilot on urban green energy efficiency can be expressed as:
E { Δ eff k , t + s 1 Δ eff k , t + s 0 | posttreat kt = 1 } = E { Δ eff k , t + s 1 | posttreat kt = 1 } E { Δ eff k , t + s 0 | posttreat kt = 1 }
Since the changes in green energy efficiency that cities selected as low-carbon city pilots would have experienced in the absence of the policy cannot be directly observed, this study constructs a counterfactual using cities at the prefecture level that had similar characteristics in the year before the policy implementation, but did not participate in the initiative. In this case, Equation (18) can be transformed into:
E { Δ eff k , t + s 1 Δ eff k , t + s 0 | posttreat kt = 1 } = E { Δ eff k , t + s 1 | posttreat kt = 1 , z k , t 1 } E { Δ eff k , t + s 0 | posttreat kt = 0 , z k , t 1 }
Specifically, construct a Probit model:
P ( posttreat kt = 1 | z k , t 1 ) = G ( z k , t 1 )
Among these, posttreat kt indicates whether city k was selected as a pilot in year t, taking the value 1 if selected and 0 otherwise.   z k , t 1 represents a series of characteristics of city k in year t − 1, including financial development level (Finance), urban investment level (Invest), population density (Pop), and economic structure (Level).
The propensity score matching (PSM) method effectively addresses sample selection bias and confounding factors in causal inference, as the construction of the control group ensures that the treatment and control groups share similar observable characteristics prior to policy implementation. Through this comparative approach, this study can more accurately assess the true policy effects, thereby validating the reliability and validity of the baseline regression results.
A single matching method may introduce matching bias, meaning systematic differences could still persist in the matched sample. Employing multiple matching methods helps identify and mitigate such bias while accommodating different data distributions and leveraging the strengths of various approaches. This enhances the robustness, precision, and credibility of the research findings. In the experiment, this study employs three propensity score matching methods: 1:1 nearest neighbor matching, radius matching, and kernel matching for baseline regression analysis [84]. Figure 3 displays, in counterclockwise order, the kernel density plots of treatment and control groups before matching, followed by post-matching densities after nearest neighbor matching, radius matching, and kernel matching, respectively.
Table 7(1) presents baseline regression results using nearest neighbor matching. The coefficient of posttreat demonstrates statistically significant positive effects on urban green energy efficiency at the 1% significance level, indicating that the pilot policy increases urban green energy efficiency by 0.021 units on average. These results align with the baseline regression in Table 6(5), confirming robustness and validating Hypothesis 1.
Table 7(2)–(3) report results from radius matching and kernel matching. After matching, the posttreat coefficients remain statistically significant at the 5% level, with estimated policy effects of 0.030 units. This marginally higher effect compared to Table 6(5) baseline results suggests more pronounced net policy impacts after eliminating confounding factors through matching.
2.
Synthetic Control Method
Although the propensity score matching method can mitigate the issue of sample selection bias to some extent, it still conducts causal analysis under quasi-natural experimental conditions. In contrast, the synthetic control method can construct counterfactual outcomes for the treatment group in the absence of intervention by leveraging the pre-treatment characteristics of the control group [85]. This paper employs the synthetic control method to assess the actual impact of the low-carbon city pilot policy on green energy efficiency by simulating a “virtual pilot city unaffected by the policy”. For the control group data, we construct a synthetic control group through a weighted combination of pre-intervention data from control cities, selecting eff, Finance, Invest, Pop, and Level as matching variables to ensure its pre-policy characteristics closely resemble those of the treatment group. The treatment group data are derived from actual observations.
The construction process of the synthesis control group is as follows:
For each policy simulation, the goal is to construct a synthetic control group whose characteristics before the policy implementation are as close as possible to those of the treatment group. The formula is as follows:
Synthetic   control   group = k control units w k × Y kt
Among these, w k represents the weight of the control group city j, and Y kt denotes the characteristic value of control group city j at time t. The weights are determined by minimizing the characteristic differences between the treatment group and the synthetic control group before the policy implementation:
t pre period   w k min ( Y treat , t k control units w k × Y kt ) 2
Among these, Y treat , t represents the characteristic value of the treatment group at time t, and pre-period refers to the time period before policy implementation,. This study extends the sample interval. Since 2010 was the implementation year of the first batch of low-carbon city pilot policies, the data for the explained variable and control variables from the five years before the policy implementation (2005, 2006, 2007, 2008, and 2009) are selected for constructing the synthetic control group.
This study examines the impact of the low-carbon city pilot policy on urban green energy efficiency. China established three batches of low-carbon pilot cities in 2010, 2012, and 2017, respectively. Correspondingly, this paper leverages the quasi-natural experiments formed by the implementation of these three batches of pilot policies, simulating three randomized experiments to explore the policy’s effect on urban green energy efficiency. Figure 4, Figure 5 and Figure 6 present the implementation effects of the three batches of low-carbon city pilot policies.
Figure 4 illustrates the policy treatment effect for the 2010 cohort. Before 2010, the trends in green energy efficiency between the treatment group cities and the synthetic control group were relatively similar. However, after the implementation of the pilot policy in 2010, the green energy efficiency of the treatment group cities (solid line) became significantly higher than that of the synthetic control group (dashed line), indicating a positive policy effect.
Figure 5 displays the policy treatment effect for the 2012 cohort. Similarly to the 2010 results, the green energy efficiency trends of the treatment and synthetic control groups were closely aligned before the policy implementation in 2012. After the policy took effect, the pilot cities exhibited a significant improvement in green energy efficiency, with the gap gradually widening over time, confirming the effectiveness of the 2012 pilot policy.
Figure 6 presents the policy treatment effect for the 2017 cohort. Before the third batch of pilot policies was implemented in 2017, the treatment group’s green energy efficiency was slightly higher than that of the synthetic control group. This may be attributed to the fact that some cities had already adopted low-carbon city policies prior to 2017, leading to their higher baseline efficiency. Additionally, since 2012, China has placed strong emphasis on urban sustainable development, resulting in an upward trend in green energy efficiency for both the treatment and control groups. After the 2017 policy implementation, the treatment group’s green energy efficiency showed a marked increase compared to the synthetic control group, as evidenced by the steeper slope of the solid line relative to the dashed line in Figure 6.
Through the synthetic control method, this study further validates that all three batches of low-carbon city pilot policies had a significant positive impact on urban green energy efficiency, with the effects strengthening over time. These findings corroborate the baseline regression results, demonstrating that the low-carbon city pilot policy plays an active role in promoting urban green energy transition and improving energy efficiency.
3.
Replacement of Core Indicators
In the baseline regression, the urban green energy efficiency indicator used in this study is calculated using the Super-SBM model. Column (4) of Table 7 presents the results of replacing the Super-SBM model with the DEA-CCR model [86], using the input and output indicators from Table 1 to calculate urban green energy efficiency. Column (4) of Table 7 shows that after replacing the explained variable indicator, the low-carbon city pilot policy still has a positive impact on urban green energy efficiency at the 1% significance level, with each unit increase in posttreat leading to an average increase of 0.032 units in eff. Although this value is larger than that in Column (5) of Table 6, which may be due to differences in measurement methods, it does not affect the conclusions drawn from the baseline regression.
Column (5) of Table 7 uses the Super-SBM model and the GML index to measure urban green total factor productivity, replacing the green energy efficiency indicator in the baseline regression [87]. Column (5) of Table 7 shows that after replacing the explained variable indicator again, the low-carbon city pilot policy has a positive impact on urban green energy efficiency at the 1% significance level, with each unit increase in posttreat leading to an average increase of 0.023 units in eff. This value shows no significant deviation from Column (5) of Table 6, further verifying the robustness of the baseline regression results.
4.
Exclusion of Outliers
To eliminate the confounding effects of outliers on the causal relationship under study, this study applies a two-sided 1% winsorization and truncation to continuous variables and excludes extreme samples from the first year of the pandemic (2020) in the baseline regression.
Columns (1) to (3) of Table 8 present the regression results after winsorization, truncation, and exclusion of the first year of the pandemic, respectively. According to the results in Table 8, each unit increase in posttreat leads to average increases of 0.021, 0.021, and 0.022 units in eff, respectively. These values show no significant deviation from the baseline regression results in Column (5) of Table 6, further validating the robustness of the baseline regression results.
5.
Exclusion of Policy Interference
The effects of the low-carbon city pilot policy may be confounded with those of other policies. If these interferences are not excluded, they may lead to incorrect estimates of the effects of the low-carbon pilot policy [88]. Additionally, if other policies also significantly impact green energy efficiency and are not controlled for, the effects of the low-carbon pilot policy may be overestimated.
To enhance the internal validity of the research findings and ensure the reliability of the conclusions in specific contexts, this study refers to the research of Mao Qilin (2024), [82] and selects two policies implemented within the same timeframe as the low-carbon city pilot policy that may affect urban green energy efficiency. These policies are included in Model (12) for baseline regression to verify the net effects of the policy, thereby providing more scientific and credible evidence for policymakers.
Specifically, this study selects the air quality control region (AQCR) pilot policy and the Broadband China pilot policy. These policies may be implemented simultaneously with the low-carbon city pilot policy, and could influence urban green energy efficiency. If not controlled for, their effects may be confounded with those of the low-carbon pilot policy, leading to biased conclusions [89]:
① Air quality control region (AQCR) pilot policy: this policy aims to reduce air pollutant emissions and may overlap with the low-carbon pilot policy in terms of environmental protection and energy structure adjustment. Through interaction analysis, the independent effect of the low-carbon pilot policy on green energy efficiency can be isolated:
② Broadband China pilot policy: this policy aims to promote the application of informatization and intelligent technologies, which may affect green energy efficiency by improving energy management efficiency. Through interaction analysis, the independent effect of the low-carbon pilot policy beyond technological applications can be verified.
Column (4) of Table 8 reports the baseline regression results after including the AQCR pilot policy. Here, the coefficient of posttreat is 0.023 and is significantly positive for eff at the 1% level, while the coefficient of AQCR is 0.003 and lacks strong significance, verifying the independent effect of the low-carbon city pilot policy on urban green energy efficiency. Column (5) of Table 8 reports the baseline regression results after including the Broadband China pilot policy. Here, the coefficient of posttreat is 0.023 and is significantly positive for eff at the 1% level, while the coefficient of Broadband China is 0.005 and lacks strong significance, further verifying the independent effect of the low-carbon city pilot policy. Column (6) of Table 8 reports the baseline regression results after including both policies in Model (12). Here, the coefficient of posttreat is 0.022 and is significantly positive for eff at the 1% level, while the coefficients of AQCR and Broadband China are 0.003 and 0.005, respectively, and lack strong significance, further confirming the independent effect of the low-carbon city pilot policy. By including these two policies in the baseline regression, the independent effect of the low-carbon pilot policy is isolated, avoiding confounding factors and verifying the robustness of the baseline regression conclusions.
6.
Endogeneity Test
Endogeneity refers to the correlation between explanatory variables and the error term, leading to biased and inconsistent estimates from ordinary least squares (OLS). In this study, the selection of low-carbon city pilot policies may not be random, but based on certain city characteristics, potentially causing endogeneity issues. Instrumental variables (IV) can address this by providing an exogenous variable correlated with the explanatory variable but uncorrelated with the error term, thereby yielding consistent estimates [90]. Additionally, the time-series correlation of variables in the model and the lagged effects of policy impacts may also introduce endogeneity. A lagged model can mitigate this by incorporating lagged terms to capture the dynamic characteristics of time-series data.
(1)
Two-stage least squares
To account for the endogeneity of explanatory variables, this study first replaces the explanatory variables with the interaction term between the low-carbon city pilot policy and urban carbon emissions, as well as the level of government intervention, employing the two-stage least squares (2SLS) method for baseline regression. Columns (1)–(4) of Table 9 report the two-stage regression results for the two instrumental variables, both of which pass the weak instrument test.
Columns (1)–(2) of Table 9 present the two-stage regression results for Instrumental Variable 1, the interaction between the low-carbon city pilot policy and urban carbon emission intensity. In column (1), the coefficient of posttreat is 0.136 and significant at the 1% level, indicating that, without considering the interaction term, the pilot policy itself has a positive correlation with the dependent variable. The level of urban carbon emissions is a key criterion for selecting pilot cities. In column (2), the coefficient of posttreat becomes 0.042 and remains significant at the 1% level, suggesting that the policy effect strengthens with higher carbon emission intensity. Cities with higher carbon emission intensity experience more pronounced improvements in urban green energy efficiency due to the pilot policy. Compared with the baseline regression results in Table 6 (5), the findings from Instrumental Variable 1 remain consistent, confirming the robustness of the baseline results.
Columns (3)–(4) of Table 9 report the two-stage regression results for Instrumental Variable 2, the degree of government intervention. In column (3), the coefficient of Cov is 0.774 and significant at the 1% level, indicating a positive correlation between government intervention and the dependent variable—cities with higher government intervention exhibit greater green energy efficiency. This may be due to additional support and resources provided during policy implementation. In column (4), the coefficient of posttreat is 0.407 and significant at the 1% level, further validating the significant positive impact of the low-carbon city pilot policy on urban green energy efficiency. Compared with the baseline regression results in Table 6 (5), the coefficient is larger, demonstrating that the policy effect remains robust and significant under different model specifications.
(2)
Lag model
Furthermore, considering the lagged effects of policy and the persistent time-series correlation of urban green energy efficiency, this study applies varying degrees of lags to the explanatory and dependent variables [91]. Columns (5)–(9) of Table 9 present the regression results of the lagged models, where the system GMM model passes both the AR test and Hansen test.
To compare with the baseline and benchmark regression results, this study constructs OLS and fixed-effects (FE) lagged models with one- and two-period lags for the explanatory variables. The regression results are shown in columns (5)–(8) of Table 9. After a one-period lag of the low-carbon city pilot policy, the policy remains positively significant at the 1% level for urban green energy efficiency, supporting Hypothesis 1 and aligning with the conclusions from Table 5 and Table 6. After a two-period lag, the policy still shows a significant positive effect, confirming the robustness of the results in Table 5 and Table 6 and further validating Hypothesis 1.
For the dependent variable, to accurately capture dynamic effects and address endogeneity, this study employs the system GMM method with one–two period lags for the dependent variable, using the previously selected control variables as endogenous instruments with two–four lagged periods and Gov as an exogenous instrument. The regression results in column (9) of Table 9 show that, under the SYS-GMM approach, the pilot policy remains positively significant at the 1% level for urban green energy efficiency. The results also pass the AR and Hansen tests, confirming the robustness of the findings in Table 5 and Table 6.

3.4. Heterogeneity Test Results

To explore policy heterogeneity, this study conducts heterogeneity analysis on cities with different regional locations, resource endowments, city sizes, and industrial bases to observe the effects of the policy across various regions.

3.4.1. Regional Heterogeneity

To capture the differences in policy effects across regions, this study uses urban agglomeration divisions and geographical divisions to measure regional heterogeneity. Due to significant differences in economic development levels, resource endowments, industrial structures, energy consumption patterns, and environmental governance capabilities among urban agglomerations and regions in China, the implementation effects of the low-carbon city pilot policy may be influenced by these regional characteristics. By introducing urban agglomeration heterogeneity and geographical divisions, the regional heterogeneity of policy effects can be more accurately identified, revealing the differentiated performance of the policy in developed versus less developed regions, as well as in eastern coastal versus central and western inland areas. This not only helps comprehensively evaluate the overall effectiveness of the policy, but also provides region-specific decision-making insights for future policy optimization, thereby better achieving the goals of improving green energy efficiency and promoting low-carbon development.
Table 10 reports the measurement results of urban agglomeration heterogeneity. In the Beijing–Tianjin–Hebei urban agglomeration, the coefficient of posttreat is 0.013 and not significant, indicating that the low-carbon city pilot policy has a limited impact on green energy efficiency. This may be related to the region’s industrial structure, which is dominated by heavy and traditional manufacturing industries, and its reliance on administrative measures for environmental governance. Despite substantial policy support and funding, regional development imbalances constrain policy effectiveness [92]. In the Yangtze River Delta urban agglomeration, the coefficient of posttreat is 0.027 and significant at the 10% level, indicating a weak positive impact of the policy on green energy efficiency. The Yangtze River Delta region, with its developed economy and industrial structure focused on high-tech and modern services, has a solid foundation for green transformation. However, as its green energy efficiency is already relatively high, the policy’s potential for further improvement is limited [93]. In the Middle Yangtze River urban agglomeration, the coefficient of posttreat is 0.045 and significant at the 1% level, indicating a significant positive impact of the policy on green energy efficiency. As a manufacturing base and transportation hub, this region has moderate economic development levels and significant potential for green transformation. Strong policy implementation [93] has effectively driven improvements in green energy efficiency. In the Chengdu–Chongqing urban agglomeration, the coefficient of posttreat is −0.177 and significant at the 1% level, indicating a significant negative impact of the policy on green energy efficiency. This may be related to the region’s industrial structure, which is dominated by traditional manufacturing and resource-based industries, as well as the challenges of green transformation [92]. In the Pearl River Delta urban agglomeration, the coefficient of posttreat is 0.000 and not significant, indicating no significant impact of the policy on green energy efficiency. The Pearl River Delta region, with its developed economy and solid foundation for green transformation, has limited room for further policy-driven improvements due to its already high green energy efficiency. Additionally, its high level of marketization [93] reduces enterprises’ sensitivity to the policy, weakening its effectiveness.
Columns (1) to (4) of Table 11 report the measurement results of geographical heterogeneity. In the eastern region, the coefficient of posttreat is 0.056 and significant, indicating that the pilot policy has improved green energy efficiency. This is attributed to the region’s developed economy, well-established infrastructure, and strong policy implementation capabilities, which facilitate the promotion of green energy projects [94]. In the central region, the coefficient is 0.007 but not significant, while in the western region, it is 0.014 and also not significant. This suggests that these regions may experience limited policy effects due to their relatively lower economic development levels, insufficient funding and technology, and weak implementation capabilities [86]. In the northeastern region, the coefficient is close to 0 and not significant, reflecting the challenges of industrial structure dominated by traditional industries, difficulties in transformation, and low policy implementation efficiency, which hinder the expected effectiveness of the pilot policy [94]. Overall, the pilot policy shows significant effects in regions with strong economic foundations and implementation capabilities, while its effects are limited in other regions due to resource and capacity constraints. This indicates that policy implementation must fully consider regional differences to achieve broader positive impacts.

3.4.2. City Size Heterogeneity

City size may also influence policy implementation effects. Large cities, with more resources, technological capabilities, policy implementation experience, and industrial structures dominated by high-tech industries, have a solid foundation for green transformation, leading to significant policy effects [83]. In contrast, small- and medium-sized cities, with limited resources and industrial structures dominated by traditional manufacturing, face greater challenges in green transformation, resulting in weaker policy effects [78]. Additionally, large cities’ high marketization levels make enterprises more sensitive to policies and quicker to respond, while small- and medium-sized cities’ lower marketization levels reduce policy effectiveness. By analyzing city size heterogeneity, the implementation effects of the policy across different types of cities can be comprehensively evaluated, providing insights for future targeted policy design.
Columns (5) to (6) of Table 11 report the measurement results of city size heterogeneity. In large cities, the coefficient of posttreat is 0.036 and significant, indicating that the pilot policy has improved green energy efficiency. In small- and medium-sized cities, the coefficient is 0.012 but not significant, suggesting limited policy effects. Large cities, with their strong economic foundations, well-established infrastructure, and robust policy implementation capabilities, can effectively promote green energy projects. In contrast, small- and medium-sized cities face constraints due to limited resources and capabilities. This indicates that the pilot policy is effective in large cities, while small- and medium-sized cities require stronger support and guidance.

3.4.3. Resource Endowment Heterogeneity

Significant differences in natural resources, technological resources, and human resources across cities directly influence the application and promotion of green energy technologies [65]. Cities rich in resources can implement low-carbon policies more efficiently, driving improvements in green energy efficiency, while cities with scarce resources may face technological bottlenecks and funding shortages, limiting policy effectiveness [95]. By analyzing resource endowment heterogeneity, the implementation differences in the policy under varying resource conditions can be revealed, providing a scientific basis for optimizing resource allocation and formulating differentiated policies.
Columns (1) to (6) of Table 12 report the regression results of resource endowment heterogeneity. For resource-based cities, the coefficient of posttreat is 0.020 but not significant, indicating the limited impact of the pilot policy on these cities. For non-resource-based cities, the coefficient is 0.022 and significant at the 5% level, suggesting that the policy has some effect in these cities. Further dividing resource-based cities, the coefficients for growing resource-based cities, mature resource-based cities, declining resource-based cities, and regenerating resource-based cities are 0.049 (not significant), 0.019 (not significant), 0.053 (significant), and 0.000 (not significant), respectively.
Resource-based cities, due to their long-term reliance on resource extraction and single economic structure, face difficulties in transformation, leading to limited policy effectiveness [92]. In contrast, non-resource-based cities, with their diversified economic structures and strong transformation momentum, can effectively promote green energy applications through the policy. Growing and mature resource-based cities, with their rapid economic development but high resource dependence and mature industries but insufficient innovation drive, respectively, experience constrained policy effects [79]. Declining resource-based cities, facing resource depletion, have a strong demand for transformation, and policy support can effectively promote green energy development [87]. Regenerating resource-based cities, having completed initial transformations and with low resource dependence, are less affected by the pilot policy [91].
Resource heterogeneity indicates that the pilot policy has limited effects in cities with high resource dependence and transformation difficulties, but shows significant effects in cities with diversified economic structures and strong transformation momentum. This suggests that policy implementation must consider cities’ resource endowments and economic development stages, adopting differentiated strategies to enhance green energy efficiency.

3.4.4. Other Heterogeneity

In addition to regional heterogeneity, city size heterogeneity, and resource endowment heterogeneity, this study also considers industrial base, transportation conditions, and environmental regulation intensity heterogeneity to comprehensively evaluate the impact of the low-carbon city pilot policy on green energy efficiency. First, industrial base heterogeneity reflects differences in industrial structures across cities. Traditional industrial cities, dominated by heavy and high energy-consuming industries, face greater challenges in green transformation, while cities with high-tech industries have a solid foundation for green transformation, leading to more significant policy effects. Second, transportation condition heterogeneity considers the completeness of urban transportation infrastructure. Cities with well-developed transportation systems can indirectly improve green energy efficiency by optimizing logistics and reducing energy consumption. Finally, environmental regulation intensity heterogeneity measures differences in environmental governance and policy enforcement across cities. Cities with stronger environmental regulations can more effectively promote green energy efficiency through strict supervision and incentive measures. By comprehensively considering these heterogeneity factors, this study can more thoroughly reveal the implementation effects of the low-carbon city pilot policy under different conditions, providing a scientific basis for formulating precise and differentiated low-carbon policies.
Columns (1) to (6) of Table 13, respectively, present the impact of the low-carbon city pilot policy on cities with different transportation conditions, industrial bases, and environmental regulation intensities. The heterogeneity test results in Table 13 show that for transportation hub cities, the coefficient of posttreat is 0.027 but not significant, while for non-transportation hub cities, it is 0.030 and significant. For old industrial base cities, the coefficient is 0.025 and close to significant, while for non-old industrial base cities, it is 0.023 and significant. For key environmental protection cities, the coefficient is 0.037 and significant, while for non-key environmental protection cities, it is 0.001 and not significant.
For transportation hub cities, the concentration of logistics and passenger flows, along with high and complex energy demands, poses challenges for green energy promotion, resulting in insignificant policy effects. In contrast, non-transportation hub cities, with simpler energy structures, face less resistance to policy implementation, leading to more noticeable effects [83]. Old industrial base cities, with industrial structures skewed toward traditional industries, face difficulties in transformation, limiting policy effectiveness, while non-old industrial base cities, with more flexible economic structures, experience more significant policy-driven improvements in green energy efficiency [37]. Key environmental protection cities, benefiting from policy and financial support, smoothly advance green energy projects, resulting in significant policy effects, while non-key environmental protection cities, lacking resource allocation, show insignificant policy effects [87].
Through multidimensional heterogeneity analysis, this study comprehensively evaluates the implementation effects of the low-carbon city pilot policy, providing policymakers with precise decision-making insights to better achieve the goals of improving green energy efficiency and promoting low-carbon development.

3.5. Mechanism Test Results

To delve deeper into the causal pathways through which the low-carbon city pilot policy affects urban green energy efficiency, this study selects industrial chain resilience, green finance, and technological innovation as mediating variables. Finally, it explores the synergistic effects of these three mechanisms on urban green energy efficiency.

3.5.1. Industrial Chain Resilience

Industrial chain resilience represents a city’s ability to adapt to and recover from external shocks, such as policy changes and market fluctuations, directly influencing the promotion and application of green energy technologies [41]. The low-carbon city pilot policy enhances industrial chain resilience by optimizing resource allocation, promoting technological innovation, and strengthening corporate competitiveness, thereby indirectly driving improvements in green energy efficiency [44]. By analyzing the mediating effect of industrial chain resilience, the mechanisms through which the policy affects green energy efficiency can be more thoroughly revealed, providing a scientific basis for policy optimization.
For industrial chain resilience, this study measures it from the dimensions of industrial structure level, industrial structure upgrading, overall industrial progress, and a comprehensive index calculated using the entropy method.
(1)
Industrial Structure Level (Structure)
The industrial structure level reflects the diversity and stability of a city’s industries. Higher diversity strengthens the industrial chain’s ability to withstand shocks, as a diversified industrial structure can disperse risks and mitigate the impact of fluctuations in any single industry on the overall economy [42]. For example, if a city has manufacturing, services, and high-tech industries, other sectors can act as buffers when one industry is hit by external shocks, maintaining economic stability. Additionally, cities with higher industrial structure levels typically have more complete industrial chains and stronger resource integration capabilities, enabling them to respond more flexibly to changes in the external environment, such as policy adjustments, market demand fluctuations, or technological innovations [64]. Therefore, the industrial structure level is an important dimension for measuring industrial chain resilience and provides strong support for the implementation effects of the low-carbon city pilot policy.
Columns (1) to (2) of Table 14 report the baseline regression results with industrial structure level as the mediating variable. In Column (1) of Table 14, the coefficient of posttreat is 0.038 and significant at the 1% level. In Column (2) of Table 14, the coefficient of posttreat is 0.023 and significant at the 1% level, indirectly indicating that industrial chain resilience plays a partial mediating role. The low-carbon city pilot policy promotes the optimization of industrial structure by reducing the proportion of high energy-consuming and high-pollution industries and increasing the share of low energy-consuming and low-pollution industries, thereby enhancing green energy efficiency. This demonstrates that the policy has achieved positive results in promoting industrial structure optimization, laying the foundation for improving green energy efficiency.
(2)
Industrial Structure Upgrading (Upgrading)
Industrial structure upgrading reflects the technological content and added value of industries. A higher degree of upgrading indicates stronger technological innovation and adaptability of the industrial chain. Upgraded industries, typically dominated by high-tech and knowledge-intensive sectors, have higher R&D investments and innovation capabilities, driving the industrial chain toward higher value-added segments and contributing to green energy efficiency [65]. Additionally, upgraded industries are more adaptable to market changes, enabling them to respond quickly to policy adjustments and technological transformations, thereby enhancing industrial chain resilience [53]. Therefore, industrial structure upgrading is a key dimension for measuring industrial chain resilience and provides important support for the implementation effects of the low-carbon city pilot policy.
Columns (3) to (4) of Table 14 report the baseline regression results with industrial structure upgrading as the mediating variable. In Column (3) of Table 14, the coefficient of posttreat is 0.130 and significant at the 1% level. In Column (4) of Table 14, the coefficient of posttreat is 0.037 and significant at the 1% level, indirectly indicating that industrial chain resilience plays a partial mediating role. Specifically, the low-carbon city pilot policy incentivizes technological innovation and industrial upgrading within cities, driving industries toward higher levels of development, thereby improving energy efficiency and reducing carbon emissions.
(3)
Overall Industrial Progress (Advanced)
Overall industrial progress measures the sustainable development capacity of the industrial chain. Faster progress indicates stronger recovery and upgrading capabilities in the industrial chain. Overall industrial progress not only reflects comprehensive improvements in technology, management, and market expansion but also demonstrates the potential to address internal and external challenges [54]. Additionally, overall industrial progress means the industrial chain can quickly adapt to policy changes, market demand fluctuations, and technological innovations, enabling rapid recovery and upgrading in the face of external shocks [56]. Therefore, overall industrial progress is an important dimension for measuring industrial chain resilience and provides strong support for the implementation effects of the low-carbon city pilot policy.
Columns (5) to (6) of Table 14 report the baseline regression results with overall industrial progress as the mediating variable. In Column (5) of Table 14, the coefficient of posttreat is 0.054 and significant at the 1% level. In Column (6) of Table 14, the coefficient of posttreat is 0.030 and significant at the 1% level, indirectly indicating that industrial chain resilience plays a partial mediating role. The low-carbon city pilot policy can promote the adoption of more efficient production technologies and management practices by providing financial support, policy incentives, and market guidance, thereby improving energy efficiency and reducing energy consumption and pollution emissions.
(4)
Comprehensive Dimension (IRC)
This study calculates a comprehensive index of industrial chain resilience using the entropy method, fully reflecting the complexity and dynamics of the industrial chain. By measuring multiple dimensions, industrial chain resilience can be more accurately assessed, revealing its key role in low-carbon transformation and avoiding the limitations of single indicators.
Columns (7) to (8) of Table 14 report the baseline regression results with the comprehensive index of industrial chain resilience as the mediating variable. In Column (7) of Table 14, the coefficient of posttreat is 0.011 and significant at the 1% level. In Column (8) of Table 14, the coefficient of posttreat is 0.017 and significant at the 10% level. Compared to Column (7), the significance of the coefficient decreases, indicating that industrial structure upgrading plays a mediating role. Cities with stronger industrial chain resilience can better withstand external shocks, optimize resource allocation, and promote technological innovation, thereby more effectively implementing green energy projects. Additionally, cities with strong industrial chain resilience have advantages in policy implementation and market adaptation, enabling them to respond quickly to policy requirements and drive green transformation [57].
By measuring the mediating role of industrial chain resilience across multiple dimensions, the mechanisms through which the low-carbon city pilot policy affects green energy efficiency can be more comprehensively revealed. First, the industrial structure level dimension indicates that a diversified industrial structure can disperse risks and enhance the industrial chain’s ability to withstand shocks, thereby providing stable support for the promotion of green energy technologies. Second, the industrial structure upgrading dimension highlights the critical role of high-tech and high value-added industries in driving green transformation. Through technological innovation and resource optimization, these industries indirectly enhance green energy efficiency. Additionally, the overall industrial progress dimension reflects the contribution of the industrial chain’s sustainable development capacity to policy effectiveness. Industrial chains with faster progress can more flexibly adapt to policy changes, driving improvements in green energy efficiency. Finally, the comprehensive dimension calculated using the entropy method integrates the above factors, providing a holistic assessment of the mediating effect of industrial chain resilience. Through multidimensional analysis, this study not only validates the important role of industrial chain resilience in policy implementation, but also provides a scientific basis for the precise and differentiated design of future policies, thereby better achieving the goals of improving green energy efficiency and promoting low-carbon development.

3.5.2. Green Finance

In the process of the low-carbon city pilot policy exerting its macro-level impact, green finance can indirectly enhance green energy efficiency by providing financial support, promoting the research and application of green technologies, and optimizing resource allocation [68]. This study treats green finance as a mediating variable and tests its mediating effect.
Columns (1) to (2) of Table 15 report the mechanism test results for green finance. In Column (1) of Table 15, the coefficient of posttreat is 0.006 and significant at the 1% level, indicating that the low-carbon city pilot policy has a significant positive impact on green energy efficiency through green finance. In Column (2) of Table 15, the coefficient of posttreat is 0.033 and also significant at the 1% level, confirming the partial mediating role of green finance between the policy and green energy efficiency.
Specifically, green finance can provide financial support for green projects, reduce corporate financing costs, and incentivize investments in green technology research and application [49]. Through such financial support, green finance optimizes resource allocation, directs funds toward green industries and low-carbon projects, and promotes the implementation of green energy projects. It serves as a crucial bridge between the low-carbon city pilot policy and the improvement of green energy efficiency [69], making it a key pathway for achieving urban green energy development goals.

3.5.3. Technological Innovation

In the process of the low-carbon city pilot policy exerting its macro-level impact, technological innovation can indirectly enhance green energy efficiency by providing technical support, promoting the research and application of green technologies, and optimizing production processes [45]. This study treats technological innovation as a mediating variable and tests its mediating effect. Columns (3) to (4) of Table 15 report the mechanism test results for technological innovation. In Column (1) of Table 15, the coefficient of posttreat is 0.006 and significant at the 1% level, indicating that the low-carbon city pilot policy has a significant positive impact on green energy efficiency through technological innovation. In Column (4) of Table 15, the coefficient of posttreat is 0.033 and also significant at the 1% level, confirming the partial mediating role of technological innovation between the policy and green energy efficiency.
Specifically, technological innovation can provide technical support for green projects, promote the research and application of green technologies, improve energy conversion efficiency [46], and optimize production processes, thereby reducing energy consumption and pollution emissions [47]. These factors collectively influence the green energy efficiency of the cities involved.

3.5.4. Synergistic Effects of Mechanisms

This study not only considers the independent mediating roles of each mechanism but also introduces interaction terms to further analyze the synergistic effects among the three mechanisms. These interaction terms are named interaction1, interaction2, and interaction3, corresponding to the interaction between industrial chain resilience and green finance, industrial chain resilience and technological innovation, and green finance and technological innovation, respectively.
To avoid multicollinearity caused by the interaction terms, the data for the three mechanisms were centered before creating the interaction terms [88]. Additionally, the dynamic panel data model (Arellano–Bond) within the generalized method of moments (GMM) framework was employed to address endogeneity issues in panel data and provide more accurate estimation results.
According to the regression results of the dynamic panel data model in Table 16, the coefficient of the lagged term L.eff is 0.122 and significant at the 1% level, indicating that green energy efficiency exhibits significant dynamic persistence. This means that past efficiency levels have a positive impact on the current level, suggesting that improving green energy efficiency requires continuous investment and policy support. The coefficient of posttreat is 0.058 and significant at the 1% level, indicating that the low-carbon city pilot policy has a significant positive direct impact on urban green energy efficiency. Implementing the pilot policy can increase urban green energy efficiency by an average of approximately 0.058 units.
The coefficient of Interaction1 is 3.186 and significant at the 1% level, indicating that the synergistic effect of industrial chain resilience and green finance significantly enhances green energy efficiency. Industrial chain resilience reflects a city’s ability to adapt to and recover from external shocks. Cities with stronger resilience can optimize resource allocation more effectively and promote the development of green finance, enabling more efficient resource integration, risk reduction, and accelerated deployment of green energy technologies during the green transition [51].
The coefficient of Interaction2 is 2.609 and significant at the 5% level, indicating that the synergistic effect of industrial chain resilience and technological innovation improves green energy efficiency. Cities with strong industrial chain resilience can better withstand external shocks, optimize resource allocation, and promote the application of advanced scientific technologies. Technological innovation is a core driver of green energy efficiency, as it enhances energy conversion efficiency and optimizes production processes, thereby influencing urban green energy efficiency [66].
The coefficient of Interaction3 is 2.022 and significant at the 10% level, indicating that the synergistic effect of green finance and technological innovation also enhances urban green energy efficiency [49]. Green finance provides financial support, reducing the costs of financing green projects and promoting the research and development of green technologies. This helps cities to respond quickly to policy requirements and drives improvements in green energy efficiency [67].
Both the individual mediating effects of each mechanism and the synergistic effects among them play significant roles in the impact of the low-carbon city pilot policy on urban green energy efficiency, validating Hypothesis 2. Policymakers should emphasize the synergistic effects among mechanisms by integrating multidimensional support, such as industrial chain resilience, green finance, and technological innovation, to maximize policy effectiveness and achieve comprehensive improvements in green energy efficiency and low-carbon development goals.

3.6. Spillover Effect Test Results

The spillover effect of policies is also a dimension for evaluating policy effectiveness. However, the existing literature has insufficiently explored the spatial spillover effects of the low-carbon city pilot policy, neglecting the potential spatial effects of the policy. To more comprehensively reveal the policy’s impact mechanisms [89], this study further incorporates spatial factors into the analytical framework and employs spatial econometric models for extended research. By introducing a spatial weight matrix, the spatial spillover effects of the policy across different regions can be captured, and the spatial transmission mechanisms of the low-carbon city pilot policy on green energy efficiency can be analyzed. This provides a more scientific basis for policy optimization and reveals the spillover effects of the policy.

3.6.1. Global Spatial Correlation Test

First, this study calculates the spatial economic-geographical nested matrix and uses the global Moran’s I index to test the spatial correlation between the low-carbon city pilot policy and green energy efficiency. The results in Table 17 show that the Moran’s I indices for both the pilot policy and energy efficiency are not zero, indicating significant spatial correlation between the two. This suggests that the low-carbon city pilot policy not only affects local green energy efficiency, but may also influence neighboring cities through spatial spillover effects. Therefore, to more accurately assess the policy effects, this study constructs a spatial econometric model to further analyze the spatial transmission mechanisms of the policy, providing a more comprehensive scientific basis for policy optimization.

3.6.2. Spatial Econometric Model Test and Result Analysis

In Table 18, the results of the LM and Robust LM tests indicate that both the spatial error term and the spatial lag term pass the significance test. Considering the diffusion and lag effects of policy implementation, this study employs the spatial autoregressive (SAR) model to examine the spatial correlation between the low-carbon city pilot policy and urban green energy efficiency. Additionally, to ensure the robustness of the spatial econometric tests, this study uses the spatial error model (SEM), spatial lag model (SAR), and spatial Durbin model (SDM) to account for the main effects of policy spillovers and the spatial autoregressive coefficients. The regression results of these models are presented in Table 19.
In the SAR model, the coefficient of Main_posttreat is 0.020 and significant at the 5% level, indicating that the low-carbon city pilot policy has a significant positive main effect on green energy efficiency. The spatial autoregressive coefficient is 0.258 and significant at the 1% level, suggesting that improvements in green energy efficiency in neighboring cities positively influence the green energy efficiency of the local city.
In the SEM, the coefficient of Main_posttreat is 0.021 and significant at the 1% level, further confirming the positive main effect of the low-carbon city pilot policy. The spatial autoregressive coefficient is 0.218 and significant at the 1% level, also indicating significant spatial spillover effects.
In the SDM, the coefficient of Main_posttreat is 0.019 and significant at the 5% level, once again validating the positive main effect of the low-carbon city pilot policy. The spatial autoregressive coefficient is 0.133 and significant at the 1% level, indicating that spatial spillover effects remain significant, though slightly weaker compared to the SEM and SAR models.
Furthermore, Table 20 reports the regression results of the spatial autoregressive model. In Column (1) of the table, the direct effect of posttreat is 0.022 and significant at the 1% level, indicating that the low-carbon city pilot policy has a significant positive direct effect on the green energy efficiency of pilot cities. The pilot policy has achieved positive results in improving the green energy efficiency of the cities themselves. In Column (2) of the table, the indirect effect of posttreat is 0.006 and significant at the 5% level, indicating that the low-carbon city pilot policy has a significant positive indirect effect on the green energy efficiency of neighboring cities. The pilot policy not only enhances the green energy efficiency of pilot cities but also promotes the green energy efficiency of neighboring cities through spatial spillover effects. In Column (3) of the table, the total effect of posttreat is 0.028 and significant at the 5% level, indicating that the low-carbon city pilot policy has a significantly positive total effect on green energy efficiency. The total effect combines the direct and indirect effects, further validating the spillover effects and positive impact of the pilot policy in improving green energy efficiency.
The results of the spatial econometric model regression show that the low-carbon city pilot policy not only significantly improved the green energy efficiency of the pilot cities but also promoted the green energy efficiency of surrounding cities through spatial spillover effects, thereby validating Hypothesis 3. This spatial effect may stem from mechanisms such as technology diffusion, policy learning, and regional collaboration. In future policy formulation and implementation, policymakers should further strengthen inter-regional cooperation and collaboration, fully utilizing spatial spillover effects to achieve the national goal of enhancing green energy on a broader scale.

4. Discussion

Previous studies have shown that low-carbon city pilot (LCCP) policies have positive effects on reducing carbon emissions and improving energy efficiency. Zhang et al. (2021) [17] conducted a quasi-natural experiment analysis using the difference-in-differences (DID) method on three batches of pilot policies, demonstrating that these policies robustly and significantly enhanced total-factor energy efficiency in cities. Fan et al. (2022) [76] also found that LCCP policies improved urban energy efficiency by optimizing industrial structure and promoting technological innovation. Wang et al. (2023) [18] highlighted that LCCP policies significantly reduced urban carbon emission intensity and facilitated green, low-carbon development. The results of this study align with these findings, further validating the effectiveness of LCCP policies in enhancing green energy efficiency.
However, existing research has insufficiently explored the causal relationship between low-carbon pilot policies and green energy efficiency, with limited analysis of mechanisms and spatial spillover effects. Addressing these gaps, this study empirically investigates the impact of LCCP policies on urban green energy efficiency and their underlying mechanisms. Baseline regression results indicate that LCCP policies significantly improved urban green energy efficiency, with pilot cities experiencing an average increase of 0.023 units, highlighting the policy’s success in optimizing energy structures and enhancing energy utilization efficiency. These findings address lack of integration between LCCP policies and green energy efficiency in the literature.
Second, the effects of LCCP policies vary significantly across regions, city sizes, and resource endowments. The policies exhibit stronger impacts in eastern regions, large cities, and non-resource-based cities, while weaker effects are observed in northeastern regions, small- to medium-sized cities, and resource-based cities. This suggests that policy effectiveness is influenced by urban economic development levels, industrial structures, and resource endowments, addressing the literature’s insufficient exploration of heterogeneous policy effects.
Furthermore, LCCP policies enhance green energy efficiency indirectly by improving industrial chain resilience, advancing green finance and technological innovation, and leveraging their synergistic effects to optimize resource allocation and promote technological progress, thereby clarifying the causal pathways of policy impacts.
Despite employing multi-period DID and spatial econometric models for a comprehensive evaluation, this study has limitations. First, constrained by data availability, the analysis covers only the 2011–2022 period, potentially limiting the assessment of long-term policy effects. Second, while the super-efficiency SBM model effectively handles undesirable outputs in measuring green energy efficiency, its reliance on specific assumptions may not fully capture the complexity of efficiency dynamics. Third, the mechanism analysis focuses on industrial chain resilience, green finance, and technological innovation, potentially overlooking other pathways such as environmental regulations and public participation.
Future research could extend in three directions: (1) extending the timeframe to evaluate long-term policy sustainability; (2) incorporating additional mechanisms (e.g., environmental regulations, public engagement) to deepen understanding of policy pathways; and (3) utilizing granular data (e.g., firm- or community-level) to analyze differential impacts across sectors and social groups.

5. Policy Recommendations

Based on the above research in this paper, the following policy recommendations are proposed:
(1)
Strengthen policy implementation and supervision:
Benchmark regression shows that low-carbon city pilot projects have a significant positive effect on urban green energy efficiency, and the government should further strengthen the implementation of low-carbon city pilot policies to ensure the effective implementation of policies in various regions. The government can establish a multi-level policy implementation mechanism to clarify the division of responsibilities of governments at all levels and ensure the smooth transmission of policies from the central government to the local government. At the same time, we should establish a strict supervision and evaluation mechanism, regularly monitor and evaluate the effect of policy implementation, and urgently find and solve problems in policy implementation. In addition, regions and departments with inadequate policy implementation should be held accountable, and local governments should be encouraged to actively implement policies through reward and punishment mechanisms to ensure the realization of policy objectives.
(2)
Optimize industrial structure and layout:
The results of the mechanism test show that the resilience of industrial chain plays a partial intermediary role in the pilot improvement of urban green energy efficiency in low-carbon cities. According to the regional resource endowment and comparative advantages, the government should rationally plan and adjust the industrial structure. For resource-based cities, we should encourage them to transform to a diversified industrial model, develop emerging industries and service industries with low energy consumption and high added value, and reduce excessive dependence on resource industries. For example, through policy guidance and financial support, we can promote resource-based cities to develop new energy, intelligent manufacturing, and modern service industries, and optimize the industrial structure. For the eastern region and major cities, we should support them to give full play to their industrial and technological advantages, promote industrial upgrading and innovation, while driving the coordinated development of surrounding areas, forming industrial complementarity and synergy between regions, and improving the overall green energy efficiency. Through the establishment of regional industrial alliances, we can promote the cooperation between upstream and downstream enterprises in the industrial chain and realize resource sharing and complementary advantages.
(3)
Strengthen green financial support:
The results of mechanism test show that green finance plays a partial intermediary role in the pilot improvement of urban green energy efficiency in low-carbon cities. Financial institutions are encouraged to develop more financial products and services suitable for green projects, such as green credit and green bonds, so as to reduce the financing cost of green projects. The government can explore the innovative mode of green financial products and services and improve the marketization level of green finance by setting up a green financial innovation pilot zone. The government can set up special funds for green finance, subsidize and guarantee green energy projects, guide social capital to invest in green fields, and promote the research and development and application of green energy technologies. We can reduce the risk of financial institutions and improve their enthusiasm to participate in green finance by establishing a risk sharing mechanism for green finance.
(4)
Promote scientific and technological innovation and application:
The results of mechanism test show that scientific and technological innovation plays a partial intermediary role in improving urban green energy efficiency in low-carbon cities. We will increase investment in green technology research and development and support enterprises and scientific research institutions to carry out cutting-edge green technology research. We will also establish an industry university research cooperation mechanism, accelerate the transformation and application of scientific and technological achievements, and improve the market competitiveness of green technology. By establishing a green technology transfer platform, we can promote the transformation and application of scientific and technological achievements and improve the marketization level of green technology. Strengthen the protection of intellectual property rights, encourage enterprises to carry out technological innovation and patent applications, create a good innovation environment, and promote the continuous improvement of green energy efficiency.
(5)
Promote regional synergy and cooperation:
Spatial econometrical regression results show that the pilot policy of low-carbon cities has a spatial spillover effect. The government needs to strengthen regional cooperation and exchanges, break administrative barriers, realize resource sharing and complementary advantages, and promote regional cooperation and exchanges through the establishment of regional green energy cooperation alliances to achieve resource sharing and complementary advantages. In addition, we should establish a cross regional green energy cooperation mechanism, jointly carry out green energy projects, and promote the diffusion and application of green technologies. By establishing a regional green energy project cooperation platform, we can promote regional cooperation and exchanges and promote the implementation of green energy projects. Through regional coordination, we should improve green energy efficiency and achieve the goal of regional sustainable development. We can support the implementation of regional green energy projects and promote the development of regional green energy by establishing a regional green energy development fund. In addition, we can also promote the implementation of regional green energy policies and improve regional green energy efficiency by strengthening policy coordination among regions.
(6)
Formulate differentiated policies according to local conditions:
The analysis of heterogeneity shows that the effect of policies on different types of regions is different, which enlightens policymakers to formulate differentiated low-carbon policies according to the characteristics of different regions, city size, and resource endowment. More policy support and financial assistance should be given to areas with low economic development levels and poor resource endowment to help them improve green energy efficiency. For example, special funds can be set up to support green energy projects in these areas and improve their green energy efficiency. For resource-based cities, special industrial transformation policies should be formulated to support the development of alternative industries and green economy, reduce resource dependence and achieve sustainable development. By establishing industrial transformation demonstration zones, we can explore the path and mode of industrial transformation of resource-based cities and promote their green transformation. In addition, we can also promote the green transformation of resource-based cities and improve their green energy efficiency by strengthening policy guidance.

Author Contributions

Conceptualization, Y.W., Y.D. and R.L.; Data curation, Y.W. and Y.D.; Formal analysis, Y.W. and Y.D.; Writing—original draft, Y.W. and Y.D.; Writing—review & editing, Y.W. and Y.D.; Funding acquisition, R.L.; Supervision; Validation, R.L.; Writing—original draft, R.L. All authors have read and agreed to the published version of the manuscript.

Funding

This research was funded by the China College Students’ Innovation and Entrepreneurship Training Program (research on Turning “Carbon” into “Gold”: A Study on the Pathways for Corporate Transformation Based on the Decision-Making Mechanism of Carbon Trading Pricing—Taking Typical Energy Enterprises along the Yellow River as Examples), grant number 202410445021.

Institutional Review Board Statement

This study primarily focuses on prefecture-level cities in China. The main data sources are city-level panel data, and the study does not involve ethical concerns.

Informed Consent Statement

Because this paper uses urban level panel data, the data comes from macro data sets such as China Statistical Yearbook, and does not involve ethical review.

Data Availability Statement

This paper selects the panel data at the urban level in China and the panel data at the urban level from 2011–2022. The data mainly comes from the China Urban Statistical Yearbook, China Energy Yearbook, China Environmental Yearbook, China Financial Yearbook and the government work reports of cities.

Conflicts of Interest

The authors have no conflicts of interest.

References

  1. Stern, N. Economics: Current climate models are grossly misleading. Nature 2016, 530, 407–409. [Google Scholar] [CrossRef]
  2. Nordhaus, W. Climate change: The ultimate challenge for economics. Am. Econ. Rev. 2019, 109, 1991–2014. [Google Scholar] [CrossRef]
  3. Quan, C.; Cheng, X.; Yu, S.; Ye, X. Analysis on the inffuencing factors of carbon emission in China’s logistics industry based on LMDI method. Sci. Total Environ. 2020, 34, 138473. [Google Scholar] [CrossRef]
  4. Banker, R.D.; Charnes, A.; Cooper, W.W. Some models for estimating technical and scale inefficiencies in data envelopment analysis. Manag. Sci. 1984, 30, 1078–1092. [Google Scholar] [CrossRef]
  5. Li, W.; Lu, C. The effect of carbon emission trading policy on carbon emission reduction: Evidence from China. Energy Policy 2020, 144, 111695. [Google Scholar]
  6. Ma, J.; Hu, Q.; Shen, W.; Wei, X. Does the low-carbon city pilot policy promote green technology innovation? Based on green patent data of Chinese A-share listed companies. Int. J. Environ. Res. Public Health 2021, 18, 3695. [Google Scholar] [CrossRef]
  7. Kapsalyamova, Z.; Mezher, T.; Al Hosany, N.; Tsai, I.-T. Are low carbon cities attractive to cleantech firms? Empirical evidence from a survey. Sustain. Cities Soc. 2014, 13, 125–138. [Google Scholar] [CrossRef]
  8. Zhang, K.; Wang, Q.; Liang, Q. A bibliometric analysis of research on carbon tax from 1989 to 2014. Renew. Sustain. Energy Rev. 2021, 58, 297–310. [Google Scholar] [CrossRef]
  9. Chen, J.; Wang, P.; Cui, L. The impact of carbon emissions trading on energy efficiency: Evidence from China. Energy Econ. 2021, 95, 105091. [Google Scholar]
  10. Shen, L.; Wu, Y.; Shuai, C.; Lu, W.; Chau, K.W.; Chen, X. Analysis on the evolution of low carbon city from process characteristic perspective. J. Clean. Prod. 2018, 187, 348–360. [Google Scholar] [CrossRef]
  11. Aparicio, J.; Ruiz, J.L.; Sirvent, I. Closest targets and minimum distance to the Pareto-efficient frontier in DEA. J. Product. Anal. 2007, 28, 209–218. [Google Scholar] [CrossRef]
  12. Bergquist, A.; Söderholm, K.; Kinneryd, H.; Lindmark, M.; Söderholm, P. Command-and-control revisited: Environmental compliance and technological change in Swedish industry 1970–1990. Ecol. Econ. 2013, 85, 6–19. [Google Scholar] [CrossRef]
  13. Chung, Y.; Färe, R.; Grosskopf, S. Productivity and undesirable outputs: A directional distance function approach. J. Environ. Manag. 1997, 51, 229–240. [Google Scholar] [CrossRef]
  14. Wang, Q.; Zhang, F. The effects of trade openness on decoupling carbon emissions from economic growth—Evidence from 182 countries. J. Clean. Prod. 2021, 279, 123838. [Google Scholar] [CrossRef]
  15. Zhang, H. Can low-carbon city pilot policies reduce carbon emissions?—Evidence from a quasi-naturalistic experiment. Econ. Manag. 2020, 42, 25–41. [Google Scholar]
  16. Huang, H.; He, G.; Xiao, Y. Carbon emission reduction effect of the low-carbon city pilot policy. Resour. Sci. 2023, 45, 1044–1058. [Google Scholar]
  17. Zhang, B.; Zhou, J.; Yan, Z. Low-carbon city pilot policy and total factor energy efficiency improvement—Comes from the quasi-natural experiment of the implementation of three batches of pilot policies. Econ. Rev. 2021, 32–49. [Google Scholar] [CrossRef]
  18. Wang, Z.; Peng, B.; Guo, J.; Tan, H. Can the low-carbon transformation improve the enterprise environment-society-governance performance?—A quasi-natural experiment based on the “low-carbon city pilot”. Financ. Theory Pract. 2023, 44, 139–145. [Google Scholar]
  19. He, X.; Ou, S.; Gan, Y.; Lu, Z.; Wang, M. Greenhouse gas consequences of the China dual credit policy. Nat. Commun. 2020, 11, 5214. [Google Scholar] [CrossRef]
  20. Färe, R.; Grosskopf, S.; Tyteca, D. An activity analysis model of the environmental performance of firms application to fossil-fuel-fired electric utilities. Ecol. Econ. 1996, 18, 161–175. [Google Scholar] [CrossRef]
  21. Wang, S.; Zhu, R. Can the construction of low-carbon cities help the government achieve the goal of carbon peak and carbon neutrality?—A quasi-natural experiment based on a low-carbon city pilot. Discuss. Mod. Econ. 2022, 10–17+40. (In Chinese) [Google Scholar] [CrossRef]
  22. Tian, S.; Xia, M.; Xu, W. Enterprise performance and its credit constraints under the low-carbon economy—A quasi-natural experimental analysis based on the “low-carbon city” pilot policy. Financ. Theory Ser. 2022, 49–58. (In Chinese) [Google Scholar] [CrossRef]
  23. Zhao, S.; Duan, W.; Zhao, D.; Song, Q. Identifying the inffuence factors of residents? low-carbon behavior under the background of “carbon neutrality”: An empirical study of Qingdao city, China. Energy Rep. 2022, 8, 6876–6886. [Google Scholar] [CrossRef]
  24. Han, Y. Impact of environmental regulation policy on environmental regulation level: A quasi-natural experiment based on carbon emission trading pilot. Environ. Sci. Pollut. Res. 2020, 27, 23602–23615. [Google Scholar] [CrossRef]
  25. Charnes, A.W.; Cooper, W.W.; Rhodes, E.L. Measuring the efficiency of decision making units. Eur. J. Oper. Res. 1979, 2, 429–444. [Google Scholar] [CrossRef]
  26. Hu, J.L.; Wang, S.C. Total-factor energy efficiency of regions in China. Energy Policy 2006, 34, 3206–3217. [Google Scholar] [CrossRef]
  27. Guo, R.; Yuan, Y.J. Different types of environmental regulations and heterogeneous influence on energy efficiency in the industrial sector: Evidence from Chinese provincial data. Energy Policy 2020, 145, 11747. [Google Scholar] [CrossRef]
  28. Oh, D. A global Malmquist-Luenberger productivity index. J. Product. Anal. 2010, 34, 183–197. [Google Scholar] [CrossRef]
  29. Shi, D.; Li, S. Emissions trading system and energy efficiency-Measurement and demonstration of cities at prefecture level and above. China Ind. Econ. 2020, 9, 5–23. [Google Scholar] [CrossRef]
  30. Xu, Y, Cheng, Y, Wang, J, Liu, N Temporal and spatial evolution and influencing factors of carbon emission efficiency in low-carbon pilot cities in China. J. Nat. Resour. 2022, 37, 1261–1276. (In Chinese)
  31. Song, Q.; Qin, M.; Wang, R. The effect of China’s low-carbon city pilot policy on carbon emissions: Based on the synthetic control method. J. Clean. Prod. 2020, 275, 122739. [Google Scholar]
  32. Deng, R.; Zhang, A.; Chen, M. The impact of low-carbon pilot policies on ecological efficiency and spillover effects—Empirical analysis based on spatial dual difference. Res. World 2022, 38–47. [Google Scholar] [CrossRef]
  33. Fan, X.; Guo, P. Impact of low-carbon city pilot policy on high-quality development of urban economy. Econ. Longit. 2023, 40, 3–14. [Google Scholar]
  34. Gibbs, D.; Jonas, A.E.G. Governing climate change in cities: The role of low-carbon experiments. Environ. Plan. C Politics Space 2020, 38, 831–848. [Google Scholar]
  35. Gong, X. A Study on the Regional Heterogeneity of the Impact of Green Finance on the Quality of Economic Development. Master’s Thesis, Lanzhou University of Finance and Economics, Lanzhou, China, 2022. (In Chinese). [Google Scholar]
  36. Guan, Y.; Li, L. Do the low-carbon city policies improve the total factor productivity of enterprises?—Review based on high-quality development requirements. J. Hainan Univ. Humanit. Soc. Sci. Ed. 2021, 39, 149–158. [Google Scholar]
  37. Guo, J.; Guo, M.; Guo, S. How does the digital infrastructure construction affect the total factor productivity of enterprises?—A quasi-natural experiment based on the “Broadband China” strategy. Secur. Mark. Her. 2021, 6, 13–23. (In Chinese) [Google Scholar]
  38. Guo, P.; Liang, D. Whether the low carbon pilot policy improves the efficiency of urban carbon emission—A quasi-natural experimental study based on low carbon pilot cities. J. Nat. Resour. 2022, 37, 1876–1892. [Google Scholar]
  39. Zheng, J.; Shao, X.; Liu, W.; Kong, J.; Zuo, G. The impact of the pilot program on industrial structure upgrading in low-carbon cities. J. Clean. Prod. 2021, 290, 125868. [Google Scholar] [CrossRef]
  40. Hui, X. Green credit policy, financial resource allocation and green total factor productivity of enterprises—Based on the evidence of heavily polluting enterprises in China. Southwest. Financ. 2022, 65–77. (In Chinese). Available online: https://link.cnki.net/urlid/51.1587.F.20220930.1559.008 (accessed on 10 April 2025).
  41. Li, H.; Zhao, Q. Green finance, technological progress and environmental quality—Empirical study based on mediation effect. Reg. Financ. Res. 2021, 5–11. (In Chinese). Available online: https://kns.cnki.net/kcms2/article/abstract?v=O_n6o0K2eiqKLmbGcAFQIFYEM1VHm7AccYXii6Mxh0zvWugD4a8rkWAiCzC0-kXvoxxZrEQChU50A4fO5pLUX1wD0AKBBNgT2k4WhKxRXHFjiZrOfdqBysphl22bXFHS8b19jPaeHWmcBgu9Td2XGYUujPe6rM-1zEAFATTBawvB42MCG_7eGQ==&uniplatform=NZKPT&language=CHS (accessed on 10 April 2025).
  42. Li, T.; Sha, W. Research on the influence of digital economy on regional Total factor energy efficiency—Analysis of the intermediary effect based on market trade. Financ. Theory Pract. 2022, 43, 120–127. [Google Scholar]
  43. Li, Y.; Xu, X.; Zheng, Y. The impact of environmental regulation intensity on industrial total factor energy efficiency in China—Empirical study based on 30 provincial panel data from 2003 to 2016. Manag. Rev. 2019, 31, 40–48. [Google Scholar]
  44. Cheng, Y.; Ge, C. Does the low-carbon city policy make a difference? Empirical evidence from China. Energy Policy 2020, 137, 111131. [Google Scholar]
  45. Liu, S.; Li, M.; Song, W. Dual-carbon constraints, energy consumption structure and total factor energy efficiency. Stat. Decis.-Mak. 2024, 40, 83–88. [Google Scholar]
  46. Liu, W.; Du, M.; Bai, Y. The influence of environmental regulation on green total factor productivity—Based on the perspective of technological progress. Chin. Popul. Resour. Environ. 2022, 32, 95–107. [Google Scholar]
  47. Xuan, L. Research on the impact of Low-carbon city pilot Policy on green innovation of Listed Companies. Compr. Util. Tire Resour. China 2024, 28–30. (In Chinese) [Google Scholar] [CrossRef]
  48. Lu, J.; Wang, X.; Liu, L. Upgrading effect of industrial structure of low-carbon city policy—Quasi-natural experiment based on low-carbon city pilot. J. Xi’an Jiaotong Univ. Soc. Sci. Ed. 2020, 40, 104–115. [Google Scholar]
  49. Lu, J.; Wang, X. The impact of low-carbon pilot policy on urban technology innovation in China—A quasi-natural experimental study based on low-carbon city pilot. J. China Univ. Geosci. Soc. Sci. Ed. 2019, 19, 128–141. [Google Scholar]
  50. Ma, Q.; He, L.; Yuan, E. Emerging infrastructure construction and urban industrial structure upgrading—A quasi-natural experiment based on the “Broadband China” pilot. Financ. Econ. Sci. 2021, 76–90. Available online: https://kns.cnki.net/kcms2/article/abstract?v=O_n6o0K2eiofW2P-3wUj_TeRmc6jRsmZ01otQT4CLSTnaoYBqW-15eFOOwbTpyefEbrxMhb_7-5k2fpcauNQrxRrPfNclvkcuoxLeN_zGYGzNXX8iBeou7YGRTsdvydiIwxe_SQMEQkjuWyk_J7jEV32ah3ykVx5KZRCi_NB8KHoTXLyYnmNcQ==&uniplatform=NZKPT&language=CHS (accessed on 10 April 2025).
  51. Ma, Y.; Luo, L. Research on the energy-saving effect of green finance reform and innovation. Econ. Manag. Res. 2024, 45, 22–38. [Google Scholar]
  52. Broto, V.C.; Bulkeley, H. A survey of urban climate change experiments in 100 cities. Glob. Environ. Change 2013, 23, 92–102. [Google Scholar] [CrossRef] [PubMed]
  53. Peng, L. Study on the influence effect of low-carbon city pilot policy on industrial structure upgrading. J. Hunan Univ. Financ. Econ. 2024, 40, 79–89. [Google Scholar]
  54. Sha, W.; Peng, X. Low-carbon economic transformation and the quality of enterprise exports: A quasi-natural experiment based on the low-carbon city pilot. World Econ. Res. 2023, 103–118+136. (In Chinese) [Google Scholar] [CrossRef]
  55. Shao, S.; Fan, M.; Yang, L. Economic structural adjustment, green technology progress and China’s low-carbon transformation development—Based on the perspective of overall technology frontier and space spillover effect. Manag. World 2022, 38, 46–69+4–10. [Google Scholar]
  56. Shao, S.; Li, J. Can the “low-carbon city” pilot policy promote green technology progress?—Based on the progressive two-fold difference model of the investigation. J. Beijing Inst. Technol. Soc. Sci. Ed. 2022, 24, 151–162. [Google Scholar]
  57. Shi, X.; Xu, Y. Evaluation of the effect of fair carbon emission reduction of low-carbon city pilot policies—Based on the perspective of industrial carbon emission. J. Public Adm. 2023, 20, 84–96+173. [Google Scholar]
  58. Gao, F.; Wen, T. Carbon emission right trading system and green total factor energy efficiency. Financ. Theory Pract. 2022, 60–68. Available online: https://link.cnki.net/urlid/41.1078.F.20220214.1347.014 (accessed on 10 April 2025).
  59. Zhang, H.; Ding, Y. Global value chain embedding and green total factor energy efficiency—Evidence from China’s manufacturing industry. Zhejiang Soc. Sci. 2022, 4–13+26+155. [Google Scholar]
  60. Pan, A.; Zhang, W.N.; Shi, X.P.; Dai, L. Climate policy and low-carbon innovation: Evidence from low-carbon city pilots in China. Energy Econ. 2022, 112, 106129. [Google Scholar] [CrossRef]
  61. Tao, F.; Wang, X.; Xu, Y.; Zhu, P. Digital transformation, industrial chain and supply chain resilience, and enterprise productivity. Ind. Econ. China 2023, 118–136. (In Chinese) [Google Scholar] [CrossRef]
  62. Ostrom, E. Polycentric systems for coping with collective action and global environmental change. Glob. Environ. Change 2010, 20, 550–557. [Google Scholar] [CrossRef]
  63. Wang, F.; Ge, X. Does low carbon transition impact employment—Empirical evidence from low carbon city pilot. Ind. Econ. China 2022, 81–99. (In Chinese) [Google Scholar] [CrossRef]
  64. Wang, H.; Zhang, R. The impact of climate change on agricultural productivity: Evidence from global panel data. J. Environ. Econ. Manag. 2022, 111, 102591. [Google Scholar]
  65. Wang, X. How does the pilot project of low-carbon cities affect urban green technology innovation—From the perspective of synergy between government intervention and public participation. J. Lanzhou Univ. 2022, 50, 41–53. (In Chinese) [Google Scholar]
  66. Wang, Y.; Shi, M.; Romain, S. Green finance and enterprise total factor energy efficiency: Impact mechanism and empirical test. Contemp. Econ. Res. 2024, 8, 114–128. (In Chinese) [Google Scholar]
  67. Wang, Y.; Tao, W. Impact and effect of low-carbon city pilot on urban green total factor productivity growth. Chin. Popul. Resour. Environ. 2021, 31, 78–89. [Google Scholar]
  68. Yan, T.; Ma, L. Research on the carbon emission reduction effect of green finance—An Empirical Analysis Based on China’s provincial panel data. Financ. Theory Teach. 2024, 42, 19–25. [Google Scholar]
  69. Wang, C.; Wang, H. Low-carbon city pilot policy and high-quality development of enterprises—Based on the two-dimensional perspective of economic efficiency and social benefits. Econ. Manag. 2022, 44, 43–62. [Google Scholar]
  70. Chen, X.; Liu, Y.; Zhou, K. Research on the Path of digital Economy to enhance the resilience of China’s industrial chain. Econ. Syst. Reform 2022, 1, 95–102. (In Chinese) [Google Scholar]
  71. Sun, H.; Zhu, J. Will the establishment of pilot free trade zones enhance the resilience of China’s industrial chain?—Mediation mechanism test based on the aggregation of various innovative elements. Discuss. Mod. Econ. 2023, 72–84. (In Chinese) [Google Scholar] [CrossRef]
  72. Wu, X.; Tian, Z. Does the emission trading system promote the green development efficiency of prefecture-level cities in China?—Empirical study based on the dual difference method. Read. River Acad. J. 2021, 13, 84–94+122. [Google Scholar]
  73. Xiong, G.; Shi, D.; Li, M. The impact of the low-carbon city pilot on the green technology innovation of enterprises. Sci. Res. Manag. 2020, 41, 93–102. [Google Scholar]
  74. Li, J.; Li, R.; Zhang, Z. Can the “low-carbon city” policy enable the technological complexity of export products to increase. World Econ. Res. 2025, 4, 104–118+136. (In Chinese) [Google Scholar]
  75. Hou, Y.; Zhai, M. Research on the impact of low-carbon pilot policy on urban green total factor productivity. J. Lanzhou Univ. Financ. Econ. 2025, 1–16. (In Chinese). Available online: http://kns.cnki.net/kcms/detail/62.1213.F.20250326.1708.014.html (accessed on 10 April 2025).
  76. Fan, D.; Liu, T. Impact mechanism and heterogeneity study of low-carbon city pilot policies on total factor energy efficiency. Ind. Econ. Rev. 2022, 93–111. (In Chinese) [Google Scholar] [CrossRef]
  77. Yu, D.; Yan, Y. Environmental regulation, technological innovation and green total factor productivity of manufacturing industry. Urban Environ. Res. 2022, 58–79. (In Chinese). Available online: https://kns.cnki.net/kcms2/article/abstract?v=O_n6o0K2eiqJbqGrclGFcGK0mo5b9ox4z9-Alruqhw3MSgDujFsUHiLSo1eGuZ9DHq2EMpz7bPFT37xrKBw_jVzN7uTkemiUTUa8zf7zuHcAxwCc_RFrgJ3aVZBxQRtbCsgtHjlTdbbDFg9vPoY75DBmzo-niL-BmMfEJOr3YPNE6j4Zcd0jug==&uniplatform=NZKPT&language=CHS (accessed on 10 April 2025).
  78. Yu, X.; Chen, N.; Li, M. Research on carbon emission characteristics and carbon emission reduction path of low-carbon pilot cities in China. Popul. China’s Resour. Environ. 2020, 30, 1–9. [Google Scholar]
  79. Zang, C.; Sun, P. Does low-carbon city construction promote local green development?—Empirical evidence from quasi-natural experiments. Financ. Trade Res. 2021, 32, 27–40. [Google Scholar]
  80. Tan, S.; Yang, J.; Yan, J. Development of the low-carbon city indicator (LCCI) framework. Energy Procedia 2015, 75, 2516–2522. [Google Scholar] [CrossRef]
  81. Zhou, X.; Zhang, M.; Zhou, M.; Zhou, M. A comparative study on decoupling relationship and inffuence factors between China’s regional economic development and industrial energy–related carbon emissions. J. Clean. Prod. 2016, 142, 783–800. [Google Scholar] [CrossRef]
  82. Mao, Q.L. Stone step super. The road to green development: Intelligent manufacturing and green transformation of enterprises. World Econ. 2024, 47, 152–182. [Google Scholar]
  83. Liu, N.; Wu, Y. Can the expansion of the Yangtze River Delta promote the common growth of regional economy. Ind. Econ. China 2017, 79–97. (In Chinese) [Google Scholar] [CrossRef]
  84. Jiang, W.; Kang, W. A review on the low-carbon city study: Development and trends. Chin. J. Urban Environ. Stud. 2019, 7, 1950006. [Google Scholar] [CrossRef]
  85. Li, S.; Wang, P.; Zhang, Q. Urban green energy efficiency and carbon emissions: A spatial econometric analysis. Energy Econ. 2023, 122, 105–124. [Google Scholar]
  86. Stoerk, T.; Dudek, D.J.; Yang, J. China’s national carbon emissions trading scheme: Lessons from the pilot emis-sion trading schemes, academic literature, and known policy details. Clim. Policy 2019, 19, 472–486. [Google Scholar] [CrossRef]
  87. Wang, X.; Wang, Y. Research on green credit policy promoting green innovation. Manag. World 2021, 37, 173–188+11. (In Chinese) [Google Scholar]
  88. Li, Y.; Hu, H.; Li, H. An empirical analysis of the impact of green credit on the upgrading of China’s industrial structure based on China’s Provincial Panel Data. Econ. Issues 2020, 1, 37–43. (In Chinese) [Google Scholar]
  89. Sarker, N.I.; Hossin, A.; Yin, X.H.; Anusara, J.; Warunyu, S.; Chanthamith, B.; Sarkar, K.; Kumar, N.; Shah, S. Low carbon city development in China in the context of new type of urbanization. Low Carbon Econ. 2018, 9, 45–61. [Google Scholar] [CrossRef]
  90. Sun, W.; Liang, S.; Zhao, X. Expanding domestic demand, industrial upgrading and the formation of new productive forces—A general equilibrium analysis of the change of income distribution. Quant. Econ. Res. 2025, 16, 1–30. (In Chinese) [Google Scholar]
  91. Zhao, F.; Liu, F.; Liu, Z.; Hao, H. The correlated impacts of fuel consumption improvements and vehicle electriff-cation on vehicle greenhouse gas emissions in China. J. Clean. Prod. 2019, 207, 702–716. [Google Scholar] [CrossRef]
  92. Zhou, Q.; Cui, X.; Ni, H.; Gong, L. The impact of environmental regulation policy on firms’ energy-saving behavior: A quasi-natural experiment based on China’s lowcarbon pilot city policy. Res. Policy 2022, 76, 102538. [Google Scholar] [CrossRef]
  93. Zhu, C.; Lee, C.C. The effects of low-carbon pilot policy on technological innovation: Evidence from prefecture-level data in China. Technol. Forecast. Soc. Change 2022, 183, 121955. [Google Scholar] [CrossRef]
  94. Wen, H.; Zhong, Q.; Lee, C.C. Digitalization, competition strategy and corporate innovation: Evidence from Chi-nese manufacturing listed companies. Int. Rev. Financ. Anal. 2022, 82, 102166. [Google Scholar] [CrossRef]
  95. Wen, H.; Chen, S.; Lee, C.C. Impact of low-carbon city construction on ffnancing, investment, and total factor productivity of energy-intensive enterprises. Energy J. 2023, 44, 51–74. [Google Scholar] [CrossRef]
Figure 1. Research flowchart.
Figure 1. Research flowchart.
Sustainability 17 03775 g001
Figure 2. Parallel trend test.
Figure 2. Parallel trend test.
Sustainability 17 03775 g002
Figure 3. Tendency score kernel density distribution.
Figure 3. Tendency score kernel density distribution.
Sustainability 17 03775 g003
Figure 4. Implementation effect of pilot policies in 2010.
Figure 4. Implementation effect of pilot policies in 2010.
Sustainability 17 03775 g004
Figure 5. Implementation effect of pilot policies in 2012.
Figure 5. Implementation effect of pilot policies in 2012.
Sustainability 17 03775 g005
Figure 6. Implementation effect of pilot policies in 2017.
Figure 6. Implementation effect of pilot policies in 2017.
Sustainability 17 03775 g006
Table 1. Green energy efficiency accounting indicators.
Table 1. Green energy efficiency accounting indicators.
Green Energy Efficiency Accounting Indicators
First-level indicatorsSecond-level indicatorsThird-level indicatorUnits
Input indicatorsLabor inputNumber of employees in the municipal area at the end of the yearTen thousand people
Capital investmentThe perpetual inventory method is used to calculate the capital stockCNY ten thousand
Energy inputAfter simulating and measuring the nighttime light data, the provincial energy consumption data are decomposed into various prefecture level cities according to the light data values, and then divided by the regional GDP to obtain10,000 ton coal standard
Expected output indicatorsGRDPActual regional gross domestic productCNY ten thousand
Unexpected output indicatorsUrban three wastesIndustrial SO2 emissionsTon
Industrial wastewater discharge volumeTen thousand tons
Industrial smoke and dust emissionsTon
Table 2. Evaluation system of green finance indicators.
Table 2. Evaluation system of green finance indicators.
Green Finance Indicator System
Secondary indicatorsThird level indicatorsIndicator description
Green creditProportion of newly added bank loans from listed environmental protection companiesThe proportion of newly added bank loans from A-share listed environmental protection companies to the total loans from A-share listed companies to banks
Proportion of interest expenses in high energy-consuming industriesInterest expenses/total industrial interest for the six high energy-consuming industries
Green securitiesMarket value proportion of A-share listed environmental protection companiesMarket value of listed environmental protection companies/total market value of A-share listed companies
Proportion of A-share market value of high energy consuming enterprises listed on the A-share marketMarket value of high energy-consuming companies listed on A-shares/total market value of A-share listed companies
Green InsuranceScale of environmental pollution insuranceAgricultural insurance income/property insurance income
Compensation ratio of environmental pollution insuranceAgricultural insurance expenditure/agricultural insurance income
Green investmentProportion of investment in environmental pollution controlInvestment in environmental pollution control/GDP
Proportion of fiscal environmental protection expenditureFiscal environmental protection expenditure/total fiscal expenditure
Table 3. Variable explanation.
Table 3. Variable explanation.
Variable TypeVariableDefinitionMeasure
Explained variableeffUrban green energy efficiencySuper-efficient SBM model
Explanatory variableposttreatPilot policies for low-carbon citiesPolicy dummy variable × time dummy variable
Control variableFinanceFinancial development levelYear-end balance of deposits and loans of financial institutions/regional GDP
InvestFinancial investment intensityFixed assets investment/general government expenditure
PopPopulation densityPopulation density (per square kilometer per person)
LevelUrban economic levelValue added of the tertiary industry/regional gross domestic product
Intermediary variableIRCIndustrial chain resilienceMeasuring from the level of industrial structure, upgrading of industrial structure, overall upgrading of industrial structure, and comprehensive dimensions
InnovationTechnological innovationScience and technology expenditure/general government financial expenditure
Green financeGreen financeCalculation based on entropy method
Instrumental variableposttreat × carbon intensityInteraction between pilot policies and carbon emission intensityCarbon emission intensity is calculated by dividing CO2 (in billions of tons) by regional GDP (in CNY tens of thousands)
GovDegree of government interventionGovernment fiscal expenditure/regional gross domestic product
Table 4. Collinearity diagnosis.
Table 4. Collinearity diagnosis.
VariableVIF1/VIF
Level1.9000.527
Finance1.8400.544
posttreat1.0700.938
Invest1.0600.943
Pop1.0600.944
MeanVIF1.380
Table 5. Baseline regression.
Table 5. Baseline regression.
Variableseff
(1)(2)(3)(4)(5)
posttreat0.017 ***0.017 ***0.018 ***0.011 ***0.013 ***
(0.005)(0.005)(0.005)(0.003)(0.005)
Finance −0.0000.000−0.002−0.024 ***
(0.002)(0.002)(0.002)(0.002)
Invest 0.002 ***0.000−0.001
(0.001)(0.001)(0.001)
Pop 0.000 ***0.000 ***
(0.000)(0.000)
Level 0.439 ***
(0.031)
constant0.335 ***0.336 ***0.323 ***0.289 ***0.175 ***
(0.003)(0.006)(0.007)(0.007)(0.011)
N34203420342034203420
R2-Adjust0.7300.7300.7630.7320.786
Note: values in parentheses are standard errors, *** p < 0.01.
Table 6. Benchmark regression.
Table 6. Benchmark regression.
Variableseff
(1)(2)(3)(4)(5)
posttreat0.022 **0.023 ***0.023 ***0.023 ***0.023 ***
(0.009)(0.009)(0.009)(0.009)(0.009)
Finance 0.005 *0.0030.0030.005
(0.003)(0.003)(0.003)(0.003)
Invest −0.002 ***−0.002 ***−0.002 **
(0.001)(0.001)(0.001)
Pop 0.0001 ***0.0001 ***
(0.000)(0.000)
Level 0.122 ***
(0.042)
constant0.306 ***0.297 ***0.308 ***0.190 ***0.231 ***
(0.005)(0.008)(0.009)(0.022)(0.026)
cityyesyesyesyesyes
yearyesyesyesyesyes
N34203420342034203420
R2-Adjust0.7120.7130.7160.7250.728
Note: values in parentheses are standard errors, * p < 0.1, ** p < 0.05, *** p < 0.01.
Table 7. Robustness Test I.
Table 7. Robustness Test I.
Variableseff
PSM-DIDReplace Core Indicators
Radius MatchingKernel MatchingNeighbor MatchingEff-CCRGtfp-SBM
(1)(2)(3)(4)(5)
posttreat0.030 **0.030 **0.021 ***0.032 ***0.023 ***
(0.013)(0.013)(0.008)(0.009)(0.008)
Constant0.331 ***0.344 ***0.299 ***0.553 ***0.261 ***
(0.123)(0.127)(0.040)(0.041)(0.038)
Control variableControlControlControlControlControl
cityYesYesYesYesYes
YearYesYesYesYesYes
N34203420342034203420
R2-Adjust0.6030.6070.6180.6440.618
Note: values in parentheses are standard errors, ** p < 0.05, *** p < 0.01.
Table 8. Robustness Test II.
Table 8. Robustness Test II.
Variableseff
Exclude Extreme Value SamplesEliminate Policy Interference
DockingDiscontinuityExclude 2020Pilot Program for Key Atmospheric Control CitiesBroadband Pilot in Chinese CitiesSimultaneously Included
(1)(2)(3)(4)(5)(6)
posttreat0.021 ***0.021 ***0.022 **0.023 ***0.023 ***0.022 ***
(0.007)(0.008)(0.008)(0.008)(0.008)(0.008)
AQCR 0.003 0.003
(0.005) (0.005)
Broadband-China 0.0050.005
(0.006)(0.006)
Constant0.190 ***0.299 ***0.316 ***0.308 ***0.553 ***0.261 ***
(0.022)(0.040)(0.040)(0.040)(0.041)(0.038)
Control variableControlControlControlControlControlControl variable
cityYesYesYesYesYesYes
YearYesYesYesYesYesYes
N326434203113342034203420
R2-Adjust0.7410.7200.6320.6220.6400.590
Note: values in parentheses are standard errors, ** p < 0.05, *** p < 0.01.
Table 9. Results of endogeneity test.
Table 9. Results of endogeneity test.
Variableeff
IV1IV2
(1)(2)(3)(4)
posttreat 0.042 ***
(0.007)
0.407 ***
(0.059)
posttreat × Carbon intensity0.136 ***
(0.003)
Cov 0.774 ***
(0.092)
Control variableYesYesYesYes
Weak instrumental variable test 2782.59
[16.38]
70.56
[16.38]
YearYesYesYesYes
CityYesYesYesYes
Constant−0.142 ***
(0.027)
0.190 ***
(0.010)
0.180 ***
(0.040)
0.182 ***
(0.018)
N3324332433963396
R2-Adjust0.6900.6890.4310.419
Variableeff
Lag by One PeriodLag by Two PeriodsSystem GMM
OLSFEOLSFESYS-GMM
(5)(6)(7)(8)(9)
L.posttreat0.017 ***0.020 **
(0.005)(0.009)
L2.posttreat 0.017 ***0.033 ***
(0.006)(0.009)
L.eff 0.649 ***
(0.072)
posttreat 0.056 ***
(0.019)
Control variableYesYesYesYesYes
CityNoYesNoYesYes
YearNoYesNoYesYes
Constant0.339 ***0.255 ***0.340 ***0.079 ***0.138 ***
(0.003)(0.029)(0.003)(0.029)(0.027)
N31353135285028503135
AR (1)----0.000
AR (2)----0.182
Hansen----0.102
R2-Adjust0.6280.6180.6200.591-
Note: values in parentheses are standard errors, ** p < 0.05, *** p < 0.01. The value (16.38) in parentheses of the weak instrumental variable test statistics is usually the critical value used to judge the strength of the instrumental variable. If the test statistics are greater than this critical value, this indicates that the instrumental variable is strong enough and there is no weak instrumental variable problem. AR (1) and AR (2) are statistics used to detect whether there is autocorrelation in the residual term of the model. If the weak AR (1) < 0.1 and AR (2) > 0.1, there is no autocorrelation; Hansen statistics are used to test the exogenous of instrumental variables. If the p-value of Hansen statistics is greater than 0.1, the instrumental variables are valid.
Table 10. Heterogeneity Test I.
Table 10. Heterogeneity Test I.
Variableeff
Urban Agglomeration Division
Beijing-Tianjin-HebeiChangjiang DeltaThe Middle Reaches of the Yangtze RiverChengdu ChongqingPRD
(1)(2)(3)(4)(5)
posttreat0.0130.027 *0.045 ***−0.177 ***0.000
(0.055)(0.014)(0.012)(0.059)(.)
Constant0.322 *0.275 **−0.2040.266−1.285 **
(0.186)(0.111)(0.128)(0.330)(0.590)
Control variableYesYesYesYesYes
CityYesYesYesYesYes
YearYesYesYesYesYes
N168312324180108
R2-Adjust0.4880.4060.3730.3650.312
Note: values in parentheses are standard errors, * p < 0.1, ** p < 0.05, *** p < 0.01.
Table 11. Heterogeneity Test II.
Table 11. Heterogeneity Test II.
Variableeff
RegionalizationUrban Scale Division
EastMiddleWestNortheastBigSmall- and Medium-Sized
(1)(2)(3)(4)(5)(6)
posttreat0.056 ***0.0070.0140.0000.036 ***0.012
(0.016)(0.012)(0.012)(.)(0.013)(0.010)
Constant0.0100.319 ***0.454 ***0.4310.521 ***0.159 ***
(0.102)(0.060)(0.059)(0.317)(0.078)(0.046)
Control variableYesYesYesYesYesYes
CityYesYesYesYesYesYes
YearYesYesYesYesYesYes
N1032960102038412002172
R2-Adjust0.7030.5700.4130.3270.7400.672
Note: values in parentheses are standard errors, *** p < 0.01.
Table 12. Heterogeneity Test III.
Table 12. Heterogeneity Test III.
Variableeff
Is It a Resource-Based CityInternal Division of Resources
YesNoGrowth OrientedMaturityDeclining TypeRegenerative Type
(1)(2)(3)(4)(5)(6)
posttreat0.0200.022 **0.0490.0190.053 ***0.000
(0.014)(0.010)(0.102)(0.018)(0.019)(.)
Constant0.0940.291 ***0.501−0.1570.131−0.332 **
(0.068)(0.051)(0.354)(0.108)(0.088)(0.142)
Control variableYesYesYesYesYesYes
CityYesYesYesYesYesYes
YearYesYesYesYesYesYes
N13562016168732276180
R2-Adjust0.4000.6410.5420.4410.6170.376
Note: values in parentheses are standard errors, ** p < 0.05, *** p < 0.01.
Table 13. Heterogeneity Test IV.
Table 13. Heterogeneity Test IV.
Variableeff
Is It a Transportation Hub?Is It an Old Industrial Base?Is It a Key Environmental Protection City?
YesNoYesNoYesNo
(1)(2)(3)(4)(5)(6)
posttreat0.0270.030 ***0.025 *0.023 **0.037 ***0.001
(0.031)(0.008)(0.013)(0.010)(0.013)(0.011)
Constant1.060 ***0.252 ***0.217 ***0.298 ***0.456 ***0.223 ***
(0.231)(0.040)(0.072)(0.049)(0.073)(0.047)
Control variableYesYesYesYesYesYes
CityYesYesYesYesYesYes
YearYesYesYesYesYesYes
N10329601116225613202052
R2-Adjust0.5200.4980.4390.5300.6080.575
Note: Values in parentheses are standard errors, * p < 0.1, ** p < 0.05, *** p < 0.01.
Table 14. Mechanism Inspection I.
Table 14. Mechanism Inspection I.
VariableIndustrial Chain Resilience
Industrial Structure LevelAdvanced Industrial StructureOverall Industrial UpgradingComprehensive Indicators
StructureeffUpgradingeffAdvancedeffIRCeff
(1)(2)(3)(4)(5)(6)(7)(8)
posttreat0.038 ***0.023 ***0.130 ***0.037 ***0.054 ***0.030 ***0.011 ***0.017 *
(0.005)(0.009)(0.027)(0.008)(0.007)(0.008)(0.003)(0.009)
Constant0.135 ***0.231 ***−0.493 ***0.139 ***2.005 ***−0.097−0.0970.313 ***
(0.021)(0.026)(0.119)(0.037)(0.033)(0.064)(0.064)(0.029)
Control variableYesYesYesYesYesYesYesYes
CityYesYesYesYesYesYesYesYes
YearYesYesYesYesYesYesYesYes
N34203420342034203420342034203420
R2-Adjust0.6300.7280.5320.6970.6200.7500.5490.640
Note: values in parentheses are standard errors, * p < 0.1, *** p < 0.01.
Table 15. Mechanism Inspection II.
Table 15. Mechanism Inspection II.
VariableGreen FinanceTechnological Innovation
Green FinanceeffInnovationeff
(3)(4)(1)(2)
posttreat0.020 ***0.029 ***0.006 ***0.033 ***
(0.003)(0.008)(0.001)(0.008)
Constant0.086 ***0.106 ***−0.0060.145 ***
(0.014)(0.037)(0.004)(0.037)
Control variableYesYesYesYes
CityYesYesYesYes
YearYesYesYesYes
N3420342034203420
R2-Adjust0.6330.7230.7200.733
Note: values in parentheses are standard errors, *** p < 0.01.
Table 16. Dynamic panel data model regression.
Table 16. Dynamic panel data model regression.
Variableeff
L.eff0.122 ***
(0.019)
posttreat0.058 ***
(0.013)
Interaction13.186 ***
(0.329)
Interaction22.609 **
(1.292)
Interaction32.022 *
(1.045)
Constant0.355 ***
(0.008)
Wald279.34
(0.000)
N3420
Note: Values in parentheses are standard errors, * p < 0.1, ** p < 0.05, *** p < 0.01. The value in parentheses of Wald statistics represents the corresponding p-value of the statistics.
Table 17. Global spatial correlation test.
Table 17. Global spatial correlation test.
YearPilot PoliciesGreen Total Factor Energy Efficiency
Moran’IMoran’I
20110.36060.1700
20120.25100.1159
20130.25100.0673
20140.25100.0735
20150.25100.1077
20160.25100.0787
20170.18580.1080
20180.18580.1133
20190.18580.1293
20200.18580.1208
20210.18580.0985
20220.18580.0985
Table 18. LM test.
Table 18. LM test.
Inspection IndicatorsTesting MethodStatistical Valuep Value
LM_error testLM_error276.8380.000
LM_error_robust23.4010.000
LM_lagtestLM_lag259.1420.000
LM_lag_robust5.7040.017
Table 19. Main effect regression results of spatial econometric model.
Table 19. Main effect regression results of spatial econometric model.
Variableeff
SARSEMSDM
(1)(2)(3)
Main_posttreat0.020 **0.021 ***0.019 **
(0.008)(0.008)(0.019)
Spatial autoregressive coefficient0.258 ***0.218 ***0.133 ***
(0.047)(0.046)(0.006)
sigma2_e0.006 ***0.006 ***0.006 ***
(0.000)(0.000)(0.000)
Control variableYesYesYes
CityYesYesYes
YearYesYesYes
N332433243396
R2-Adjust0.2100.3290.256
Note: values in parentheses are standard errors, ** p < 0.05, *** p < 0.01. The value in parentheses of sigma2_e statistics represents the corresponding p-value of the statistics.
Table 20. Regression results of spatial autoregressive model.
Table 20. Regression results of spatial autoregressive model.
Variableeff
DirectIndirectTotal
(1)(2)(3)
posttreat0.022 ***0.006 **0.028 **
(0.008)(0.003)(0.011)
Spatial autoregressive coefficient0.258 ***--
(0.047)--
sigma2_e0.006 ***--
(0.000)--
Control variableYes--
CityYesYesYes
YearYesYesYes
N332433243324
R2-Adjust0.2100.2100.210
Note: values in parentheses are standard errors, ** p < 0.05, *** p < 0.01. The value in parentheses of sigma2_e statistics represents the corresponding p-value of the statistics.
Disclaimer/Publisher’s Note: The statements, opinions and data contained in all publications are solely those of the individual author(s) and contributor(s) and not of MDPI and/or the editor(s). MDPI and/or the editor(s) disclaim responsibility for any injury to people or property resulting from any ideas, methods, instructions or products referred to in the content.

Share and Cite

MDPI and ACS Style

Wang, Y.; Du, Y.; Liu, R. The Impact of Low-Carbon City Pilot Policies on Urban Green Energy Efficiency: A Quasi-Natural Experiment Based on Three Batches of Pilot Policy Implementation. Sustainability 2025, 17, 3775. https://doi.org/10.3390/su17093775

AMA Style

Wang Y, Du Y, Liu R. The Impact of Low-Carbon City Pilot Policies on Urban Green Energy Efficiency: A Quasi-Natural Experiment Based on Three Batches of Pilot Policy Implementation. Sustainability. 2025; 17(9):3775. https://doi.org/10.3390/su17093775

Chicago/Turabian Style

Wang, Yilin, Yuanhe Du, and Rongkun Liu. 2025. "The Impact of Low-Carbon City Pilot Policies on Urban Green Energy Efficiency: A Quasi-Natural Experiment Based on Three Batches of Pilot Policy Implementation" Sustainability 17, no. 9: 3775. https://doi.org/10.3390/su17093775

APA Style

Wang, Y., Du, Y., & Liu, R. (2025). The Impact of Low-Carbon City Pilot Policies on Urban Green Energy Efficiency: A Quasi-Natural Experiment Based on Three Batches of Pilot Policy Implementation. Sustainability, 17(9), 3775. https://doi.org/10.3390/su17093775

Note that from the first issue of 2016, this journal uses article numbers instead of page numbers. See further details here.

Article Metrics

Back to TopTop