Next Article in Journal
Ecological Network Optimization and Security Pattern Development for Kunming’s Main Urban Area Using the MSPA-MCR Model
Previous Article in Journal
Street Experiments Across EU Cities: An Exploratory Study on Leveraging Data for Urban Mobility Impact Evaluation
 
 
Font Type:
Arial Georgia Verdana
Font Size:
Aa Aa Aa
Line Spacing:
Column Width:
Background:
Article

Regional Integration and Urban Green and Low-Carbon Development: A Quasi-Natural Experiment Based on the Expansion of the Yangtze River Delta Urban Agglomeration

School of Economics, Shandong Normal University, Jinan 250300, China
*
Author to whom correspondence should be addressed.
Sustainability 2025, 17(8), 3621; https://doi.org/10.3390/su17083621
Submission received: 12 March 2025 / Revised: 13 April 2025 / Accepted: 15 April 2025 / Published: 17 April 2025

Abstract

In the context of high-quality economic development, the empowering effect of regional integration policies on urban green and low-carbon development has significantly strengthened, playing a crucial strategic role in achieving the coordinated development of the economy and ecology. This study uses the expansion of the Yangtze River Delta urban agglomeration as a quasi-natural experimental scenario, analyzing the pathways and mechanisms through which regional integration policies influence urban green and low-carbon development based on panel data from Chinese cities between 2004 and 2022, using a multi-period Difference-in-Differences (DID) model. The empirical results show the following: ① Regional integration policies significantly enhance the efficiency of urban green and low-carbon development, a conclusion that remains robust after a series of robustness tests, including PSM-DID estimation, placebo tests, instrumental variable methods, indicator reconstruction, and policy interference exclusion. ② Mechanism tests reveal that regional integration policies mainly drive the green and low-carbon transformation through three channels: innovation investment, industrial upgrading, and talent aggregation. ③ Heterogeneity analysis indicates that the positive impact of regional integration policies on the green and low-carbon development of cities is more significant in eastern regions, resource-based cities, small and medium-sized cities, and old industrial cities. Spatial effect tests show that regional integration development has a significant spatial spillover effect on urban green and low-carbon transformation. Based on these findings, it is recommended that, in the future, in global efforts should be made to continuously improve the regional collaborative governance system, strengthen multi-dimensional linkage mechanisms in urban agglomerations, and build a policy support framework that drives innovation and optimizes the allocation of factors. This study not only provides empirical support for the green efficiency enhancement mechanisms of regional integration policies but also offers decision-making references for promoting regional coordinated development and achieving green economic growth in the digital economy era.

1. Introduction

In recent years, global climate warming and environmental pollution have continued to intensify. Data show that the thickness of Arctic ice has reduced by an average of 40% over the past 30 years, desertification now covers 29% of the global land area, and the annual desertification rate reaches 6 million hectares [1]. Meanwhile, water scarcity, water pollution, and flood disasters pose enormous threats to human survival [2]. In the face of this severe situation, promoting green and low-carbon sustainable development has become a common consensus of the international community. As the world’s largest developing country, China has always placed green and low-carbon development at the core of its national strategy. In September 2020, President Xi Jinping proposed the goal of “achieving carbon peak by 2030 and carbon neutrality by 2060”, establishing the “dual carbon” target as an important strategic direction for transforming the national governance system. China has since introduced and implemented a series of supporting policies, initiating large-scale environmental protection and restoration efforts. As a result of these reform measures, by 2024, the average PM2.5 concentration in cities at or above the prefecture level in China has dropped to 29.3 micrograms per cubic meter, a 2.7% year-on-year decrease. The proportion of surface water with excellent (Class I–III) quality has exceeded 90%, marking a breakthrough in the eco-friendly development model. Given that cities serve as the spatial carriers of modern economic activities, their green transformation plays a crucial role in global sustainable development [3]. An in-depth exploration of urban green and low-carbon development pathways holds significant guiding value and theoretical importance. China has also made substantial progress in urban green and low-carbon development: by the end of 2024, many cities in China, including Shanghai and Shenzhen, have made remarkable progress in renewable energy utilization, with renewable energy accounting for over 25% of total energy consumption. Among these, solar photovoltaic and wind power installed capacity grew by 30% and 28%, respectively. By 2025, carbon emission intensity (carbon emissions per unit of GDP) in major cities in China is expected to decrease by an average of 15%. First-tier cities such as Beijing, Shanghai, and Guangzhou have reduced carbon emission intensity by over 18%, with some second-tier cities like Chengdu and Wuhan also achieving reductions of over 15%. With the efforts of various stakeholders, the path of green and low-carbon development in cities across China is widening.
As an emerging regional development paradigm, regional integration development increasingly demonstrates its role in promoting the collaborative development of diverse economies [4]. Regional integration breaks down administrative and economic barriers, enabling the efficient flow and optimal allocation of human, material, and financial capital across a broader spatial area [5,6]. Research shows that regional integration not only enhances cross-regional resource allocation efficiency but also extends the market reach of individual regions [7], making it a core driver for economic growth and the optimization of factor allocation, with significant strategic value in achieving balanced efficiency, common prosperity, and ecological protection. Internationally, the European Union has constructed a coordinated economic policy system and an environmental cross-domain governance mechanism [8], while the North American Free Trade Area has removed cross-border trade barriers, both confirming the role of regional integration in promoting deep cooperation between countries and improving people’s livelihoods. Focusing on the urban dimension, regional integration can significantly enhance the economic interconnectedness of urban agglomerations, promote the complementary circulation of heterogeneous urban factors, and optimize industrial structures, thus improving the utilization efficiency of factors such as talent and capital, which inevitably have a profound impact on the green and low-carbon transformation of cities. China began its urban regional integration practice relatively early, proposing the strategy of “building the Yangtze River Delta Economic Circle centered on Shanghai” in the 1980s. After over two decades of strategic expansion, a comprehensive collaborative structure covering three provinces and one municipality was eventually formed, releasing significant policy dividends [9]. In 2018, this regional development strategy was officially upgraded to a national strategy, strongly promoting the Yangtze River Delta urban agglomeration to become the national economic core area and a global innovation hub and green open demonstration zone [10]. Currently, the Yangtze River Delta, through breaking administrative boundaries, is conducting institutional innovations in areas such as multi-city coordination and complementary advantages, making it not only a strategic benchmark for regional coordinated development in China but also providing a Chinese solution for global regional integration practices.
Regional integration development and green transformation are deeply connected both conceptually and in practical pathways [11]. Conceptually, regional integration emphasizes the efficient allocation of resources and economic-environmental coordination, while green development provides directional guidance and ecological constraints [12]. Mechanistically, regional integration facilitates the flow of factors by breaking down administrative barriers, creating advantages in resource allocation for green development [13,14]. For example, the interregional environmental protection collaboration mechanism in the Yangtze River Delta has significantly enhanced environmental governance effectiveness, proving the mutually beneficial effects of their coordinated development. The regional integration process, represented by the expansion of the Yangtze River Delta, continues to drive industrial upgrading and low-carbon transformation in cities, illustrating the coordinated path of economic growth and ecological improvement. Based on this, analyzing the role of regional integration policies in urban green and low-carbon development under the background of the Yangtze River Delta expansion holds substantial academic value. The current academic community has already paid attention to the connection between regional integration and low-carbon development, but there are still some shortcomings. In terms of research methods, Ai et al.’s study used single-period DID to explore the promoting effect of the two [15], while this paper adopts a multi-period DID model and PSM method, which improves the accuracy and reliability of causal inference. In terms of sample selection, Feng et al.’s study selected data from 287 prefecture-level cities in China to explore the impact of urban agglomeration development on reducing carbon emissions [16], while this paper focuses on the expansion of the Yangtze River Delta urban agglomeration as a specific case, providing richer and more concrete empirical evidence. This paper aims to systematically evaluate the role and mechanisms of regional integration policies in promoting urban green and low-carbon development, explore the heterogeneous effects of this policy in different types of cities, and examine its spatial spillover effects. This study finds that regional integration development, represented by the Yangtze River Delta urban agglomeration, can effectively promote urban green and low-carbon transformation by increasing green investment, promoting industrial upgrading, and fostering talent aggregation. Moreover, its effects exhibit spatial spillover and heterogeneity at the urban level. And this paper also aims to enrich the theoretical research on the relationship between regional integration and green and low-carbon development, with the goal of providing relevant policy recommendations for regional coordinated development in China and globally, so we give some suggestions in this paper.

2. Literature Review

Currently, both domestic and international scholars have conducted extensive research on the relationship between regional integration and green development pathways, with the focus primarily on the following dimensions:
(1) The dual impact of regional integration on economic development and environmental improvement. In the field of economic development, Liu et al. [17] made a breakthrough by constructing a regional integration analysis framework from the perspective of new structural economics, systematically explaining the core role of urban endowment structures and industrial structures. Subsequent research has confirmed that regional integration can significantly promote regional economic growth [18], with this effect demonstrating notable technological diffusion and knowledge spillover characteristics [19]. Yin et al. conducted in-depth research, indicating that regional integration, through optimizing resource allocation and attracting foreign investment, can effectively promote the coordinated development of the economy and environment [20]. Regarding the mechanism, much of the academic focus has been on its effect on reducing transaction costs and trade barriers. It is argued that regional integration effectively breaks down inter-regional barriers by reducing transaction costs [21], thus promoting the collaborative development of regional economies. Notably, these studies emphasize the leading role of governments in regional integration, highlighting that government-guided institutional integration can significantly promote urban economic growth through facilitating the industrial division of labor and optimizing urban functions [22]. In environmental benefit studies, scholars have empirically analyzed the characteristics of urban carbon emissions under regional integration models, finding that regional integration significantly reduces urban carbon intensity and accelerates the green and low-carbon transformation process [23]. Mechanism studies further reveal that regional integration, through resource allocation optimization and technological innovation diffusion, can not only effectively improve industrial pollution emissions [24] but also comprehensively enhance urban carbon emission efficiency.
(2) The necessity and pathways of urban green transformation. In the context of worsening climate issues, all cities globally face the necessity of green and low-carbon transformation [25]. Scholars have successively identified the impacts of improved innovation levels, enhanced energy efficiency, industrial structure upgrading, and carbon reduction on urban green development. Mao et al. found that the improvement of urban innovation levels not only promotes economic development but also effectively drives urban green transformation [26]. Li researched the relationship between technological innovation, energy saving, emission reduction, and urban green development, asserting that technological innovation is key to promoting energy conservation, emission reduction, and urban green development [27]. In terms of energy efficiency enhancement, institutional quality optimization has significantly improved energy efficiency, providing crucial support for urban green development with noticeable spatial spillover effects [28]. Zhang’s research found that enhancing energy efficiency helps drive urban green transformation [29]. Furthermore, urban industrial structure upgrading has a significant positive effect on the efficiency of urban green development, with technological progress and resource allocation optimization being crucial pathways [30]. Zhu et al. noted that industrial structure upgrading reduces the proportion of high-pollution industries, significantly improving urban green development levels [31]. On low-carbon development, scholars generally agree that there is a significant synergistic effect between low-carbon development and green development [32,33]. Additionally, some scholars focus on the importance of regional collaborative governance and policy support, noting that multi-stakeholder participation and information sharing are key to achieving green urban transformation [34]. Liu et al. identified the crucial role of policy regulations in mitigating urban heat island effects and other environmental issues [35]. Other research suggests that cities should promote green transformation by decarbonizing energy supply systems and designing urban spaces in a more natural way [36], making urban low-carbon development more scientifically grounded.
(3) Regional integration and urban green and low-carbon development. In terms of impact effects, Sun et al. verified the promotion effect of regional integration on carbon emission benefits through a spatial econometric model, confirming that the regional integration process can significantly enhance urban carbon emission efficiency [37]. Regarding the mechanisms, Hu et al. explored the impact of low-carbon pilot policies on urban employment and found that the development of low-carbon cities mainly relies on multiple driving mechanisms, such as human resources and industrial clusters [38]. Subsequent research further reveals that regional integration can effectively promote urban energy efficiency improvement and industrial structure optimization, leading to more policy support for cities, thereby reducing carbon emission intensity and improving environmental quality [39,40]. Notably, the key role of policy coordination and green innovation in regional integration has gradually gained attention. Teklie et al.’s research confirmed that policy coordination can effectively optimize the factor allocation pattern, thus enhancing urban green development efficiency [41]; Li et al. argued that regional integration promotes green technology innovation through technological diffusion channels, further strengthening urban low-carbon development capabilities [42]. To delve deeper into the practical manifestation of these theoretical mechanisms, scholars have begun to conduct empirical research using typical case studies. Zhang et al.’s investigation of European urban agglomerations showed that regional integration significantly promotes urban green development through mechanisms, such as shared infrastructure construction and free flow of factors [43]; Chen’s study of the Yangtze River Economic Belt revealed a “U”-shaped dynamic characteristic of regional integration and green development, initially suppressing and later promoting it [44]. This conclusion was later confirmed in Wang’s research [45]. More in-depth studies have been conducted by Liu et al., who, using the expansion of the Yangtze River Delta as a quasi-natural experiment, empirically tested the role of regional integration in promoting the green development of urban agglomerations [46], providing important empirical evidence for understanding the mechanism between the two.
In conclusion, scholars both domestically and internationally have widely explored regional integration and urban green and low-carbon transformation. However, there are still some gaps in the existing research, mainly including the following: (1) While some scholars have empirically tested the impact of regional integration on carbon emission benefits [37], few have explored the role of regional integration policies in urban green and low-carbon development from the perspective of urban agglomeration expansion. (2) Some studies have proposed that urban employment [38], energy efficiency [39], and other factors are important channels for regional integration to promote urban green and low-carbon development, but they have not considered the roles of innovation investment, structural upgrading, and talent aggregation in driving urban green and low-carbon development through regional integration. (3) Few scholars have used spatial Durbin models to explore the spatial spillover effects of regional integration policies on urban green and low-carbon development. Based on this, this paper selects the Yangtze River Delta urban agglomeration as a case, using the large-scale expansion of the urban agglomeration in 2019 as a quasi-natural experiment. The study applies the Difference-in-Differences model to explore the impact of regional integration policies on urban green and low-carbon development from the perspective of urban agglomeration expansion, and further analyzes its mechanism, aiming to provide references for China’s urban green and low-carbon development. Compared to the existing literature, this paper’s potential marginal contributions are as follows: (1) By analyzing regional integration policies in the context of the expansion of the Yangtze River Delta, this paper explores their role in energy conservation and carbon reduction, enriching the research on the impact of regional integration on urban green and low-carbon development, offering a new perspective on the relationship between regional integration and green development, and contributing to the acceleration of achieving the “dual carbon” goals in the Yangtze River Delta. (2) There are multiple pathways through which regional integration affects green and low-carbon development. By clarifying the role of regional integration in urban green and low-carbon development from the aspects of innovation investment, structural upgrading, and talent aggregation, this paper helps to further leverage the carbon reduction potential of regional integration and highlights the importance of urban innovation, industrial structure optimization, and talent accumulation. (3) Regional integration will inevitably strengthen the connections between cities, making it a crucial contribution of this paper to incorporate spatial effects into the study of regional integration and urban green and low-carbon development. By using the spatial Durbin model to explore the spatial spillover effects of regional integration on urban green development, this paper provides valuable references for formulating regional coordinated development policies.

3. Policy Background, Theoretical Analysis, and Research Hypotheses

3.1. Policy Background

The Yangtze River Delta (YRD) region, as a model of regional integration in China, traces its development trajectory back to the strategic vision proposed by the State Council in 1982, which called for the establishment of the “Yangtze River Delta Economic Circle centered on Shanghai”. In 1992, Shanghai and 14 other cities jointly initiated the establishment of the Yangtze River Delta Urban Economic Coordination Association, marking the preliminary establishment of the YRD urban agglomeration framework. During its early stages, the aim of this urban agglomeration was to create a world-class city cluster with global influence, promoting regional development through diversified approaches, such as enhancing industrial collaboration, transportation connectivity, information sharing, and ecological co-construction.
After years of development, this economically dynamic region, which occupies only 1/26 of the country’s land area and houses 1/6 of its population, has consistently contributed about one-quarter of the national economic output over the past five years. Eight cities within the region have joined the “trillion GDP club”, accounting for one-third of such cities nationwide. Research shows that the regional integration index of the YRD continues to rise [47], and as economic integration deepens, its strategic position as a high-quality development demonstration zone and economic growth engine becomes increasingly prominent.
The expansion of the YRD urban agglomeration and its integration development exhibit significant stages of progress. Since its first expansion in 1992, the region has undergone five major expansions in 2003, 2010, 2013, 2018, and 2019. The continued spatial expansion has not only promoted the deep integration of industrial chains but has also systematically advanced the collaborative governance of the ecological environment. In terms of green development, the establishment of the Yangtze River Delta Ecological Green Integration Development Demonstration Zone in 2019 aimed to explore new pathways for ecological priority and green development. This included the establishment of a cross-regional air pollution joint prevention and control mechanism and accelerating the application of new energy technologies. Additionally, leveraging the scale effect formed by the expansion, a support system covering green credit and green technology innovation was constructed, significantly enhancing the effectiveness of green research and development investment.
As shown in Table 1, with the expansion of the urban agglomeration, the level of regional market integration has continuously improved. Against the backdrop of rapid economic growth, resource utilization efficiency and carbon management capabilities have been enhanced simultaneously. Systematic breakthroughs have been made in areas such as innovation-driven development, shared outcomes, and green development. This not only highlights the role of regional integration policies in promoting coordinated economic, social, and environmental development but also contributes China’s wisdom to global climate governance and sustainable development.
Overall, selecting the Yangtze River Delta urban agglomeration expansion as a case study for regional integration development offers several key advantages: ① High representativeness of the YRD urban agglomeration. As one of China’s most economically dynamic, highly open, and innovation-driven regions, the YRD serves as a pioneer in China’s regional integration practices. Its development reflects the implementation outcomes and mechanisms of regional integration policies in economically advanced areas, making it a representative and exemplary model for such research. ② Extended development timeline. The YRD’s experience with regional integration spans several decades. The strategic vision of building a Yangtze River Delta economic circle centered on Shanghai dates back to the 1980s. Following multiple rounds of strategic expansion, the region ultimately evolved into a fully coordinated structure covering three provinces and one municipality. In 2018, the YRD’s development strategy was formally elevated to a national-level strategy, further accelerating its high-quality integrated development. Studying the YRD expansion allows researchers to draw on a rich backdrop of policy evolution and practical implementation, enabling an in-depth examination of how regional integration policies influence urban green and low-carbon development. ③ Strong data availability and quality. The YRD region provides extensive and high-quality data on economic performance, environmental indicators, and social conditions at the city level. This wealth of information supports robust quantitative analyses of regional integration policies and offers detailed contextual and comparative insights. Such data availability ensures a solid empirical foundation for the study and enhances the credibility and precision of the findings.

3.2. Theoretical Analysis and Research Hypotheses

3.2.1. Direct Effects

Urban green and low-carbon development refers to a sustainable development model that promotes a positive interaction between economic growth and environmental protection through systematic measures, such as reducing energy consumption intensity, decreasing total pollutant emissions, and enhancing resource utilization efficiency during the urbanization process [48,49]. From the perspective of trade efficiency and resource flow, regional integration breaks down trade barriers, strengthens resource allocation efficiency, and improves infrastructure construction, all of which contribute to the cross-regional rational allocation of production factors and the spatial optimization of industrial structures. This economic integration not only significantly enhances overall regional economic benefits and social welfare but also generates an important driving force for urban green and low-carbon transformation by improving capital circulation efficiency and reducing economic operational costs. In terms of institutional transaction costs, regional integration encourages cities to deepen collaborative cooperation in areas, such as policy regulations and standard systems [50]. This not only facilitates breakthroughs and the collaborative implementation of green and low-carbon policies but also effectively reduces cross-regional institutional friction costs, thereby establishing an institutional support system for urban green and low-carbon development. Taking the Yangtze River Delta urban agglomeration, a typical case of regional integration, as the subject of study, it is evident that through multiple rounds of administrative boundary expansion and policy coordination, the region has achieved significant improvements in clean energy adoption and energy efficiency, while simultaneously experiencing a reduction in total pollutant emissions and improvement in air quality. Figure 1 clearly illustrates the dynamic evolution of PM2.5 concentrations in the Yangtze River Delta from 2004 to 2021. Through the continuous deepening of regional coordination mechanisms, the YRD urban agglomeration is exploring a new type of urbanization path where economic development and ecological protection progress in tandem, fully demonstrating the positive guiding role of policy design. Therefore, this study proposes the following hypothesis:
Hypothesis H1:
Regional integration policies have a significant positive effect on urban green and low-carbon development.

3.2.2. Indirect Effects

The key elements driving urban development are capital, industry, and talent [51]. Regional integration development, exemplified by the Yangtze River Delta urban agglomeration, has enhanced resource allocation efficiency by breaking down barriers to capital flow and the free exchange of industries and talent. This improvement in resource utilization has facilitated the transformation of industrial economies towards high-speed, coordinated, and sustainable development, thereby contributing to the optimization of urban economic models and supporting the green and low-carbon transformation.
① Innovation Effect. Regional integration has a positive impact on city-level innovation activities, particularly those driven by innovation investment [52]. Firstly, within the context of integration, innovation resources and factors across cities are effectively integrated, providing broader space for innovation input. This integration allows for the efficient allocation of talent, capital, and technology, enhancing the overall level of innovation investment in the region. Secondly, regional integration promotes the formation of industrial clusters, generating significant economies of scale [53], which enables innovation inputs to produce collaborative effects across a larger region [54]. This reduces the financial barriers for research and development (R&D) entities, increasing the level of R&D investment. Thirdly, through policy coordination and institutional innovation, the Yangtze River Delta urban agglomeration has provided necessary policy support and a stable institutional environment for innovation input [55]. This has led to the creation of an incentive system for innovation investment, including fiscal subsidies, tax incentives, and R&D funding support, which further enhances the region’s overall innovation investment.
Simultaneously, the increase in innovation input directly supports technological research and development, significantly boosting urban innovation capacity. The improvement in urban innovation capabilities helps to modernize outdated production models, reduce energy consumption, enhance energy efficiency, decrease pollution from high-carbon processes, and drive green urban development [56]. Furthermore, the enhancement of innovation investment has supported the advancement of green technologies, promoting scientific progress in areas, such as clean energy and green transportation. This, in turn, increases the scale of green production and reduces industrial pollution. Additionally, the rise in innovation investment has provided financial backing for regional policy planning and government decision-making, facilitating the development of supporting policies and regulations. This strengthens the close cooperation between cities and regions, advancing regional green and low-carbon development [57]. Therefore, the innovation input effect is a crucial pathway through which the Yangtze River Delta region utilizes regional integration policies to achieve green and low-carbon development. Based on this, the following hypothesis is proposed:
Hypothesis H2:
Regional integration policies promote urban green and low-carbon development through the innovation input effect.
② Structural Effects. Upgrading industrial structures is an effective means of reducing carbon emissions [58]. First, the integration process allows economically advanced cities to transfer high-energy consumption, high-carbon industries to cities with lower development levels, which not only promotes the industrial upgrading of advanced cities but also stimulates economic growth and industrial improvement in less developed cities [59]. Second, regional integration fosters the clustering of high-tech industries, forming multiple industrial clusters. Through spatial spillover effects of technology and experience, this has stimulated technological innovation and industrial upgrading within the region [60,61]. Third, regional integration has facilitated the widespread application of new driving forces, such as the digital economy [62], giving rise to new business models, such as smart manufacturing and the sharing economy, thereby accelerating the upgrading of urban industrial structures.
At the same time, industrial structure upgrading plays a crucial role in promoting urban green development. First, during the upgrading process, the capacity and layout of traditional industries are reasonably adjusted [63], and constraints, such as environmental and energy efficiency standards, are updated, which drives the development of greener industries. Second, digital development has integrated advanced technologies like artificial intelligence, big data, and cloud computing into traditional industries, promoting the smart and efficient transformation of production processes. This reduces production waste and further supports urban green development. Third, upgrading industrial structures has helped raise residents’ awareness of environmental protection, encouraging the formation of green, low-carbon lifestyles [64], such as promoting green travel and energy conservation, which has further improved urban environmental standards. Therefore, the industrial structure upgrading effect is a key mechanism through which regional integration enhances urban green development. Based on this, the following hypothesis is proposed:
Hypothesis H3:
Regional integration policies promote urban green and low-carbon development through the industrial structure upgrading effect.
③ Agglomeration Effects. Talent is the core engine of urban reform and development. First, regional integration has promoted the coordinated development of urban economies, providing more job opportunities and higher income levels for talent. This has alleviated employment pressure and increased the attractiveness of cities to skilled workers. Research indicates that after the implementation of the Yangtze River Delta integration policies, talent aggregation levels increased by an average of 10.5%, and knowledge spillover increased by an average of 14.8% [65]. The economic integration of the Yangtze River Delta has provided a solid economic foundation for talent aggregation. Second, the region has created a favorable policy environment for talent attraction through policy coordination and institutional innovation [66], such as cross-regional talent recognition and mutual recognition of professional titles. These measures have broken down administrative barriers and facilitated the free movement of talent. Third, regional integration has strengthened transportation connections between cities, facilitating talent mobility while improving the sharing of public services, like education and healthcare, thus providing better living conditions for talent.
At the same time, talent agglomeration has a positive impact on urban green development. First, regions with concentrated talent attract more venture capital and risk investments [67], which is conducive to the incubation of green and emerging industries. Second, talent concentration fosters the creation of an innovation-driven environment, accelerating the commercialization and scaling up of green technologies. This, in turn, drives urban industrial transformation and reduces industrial pollution. Third, talent with a background in green development knowledge contributes to raising public awareness of environmental issues through education and advocacy, promoting a broader societal engagement in green development. This further enhances the level of urban green and low-carbon development. Based on these insights, the following hypothesis is proposed:
Hypothesis H4:
Regional integration policies promote urban green and low-carbon development through the talent agglomeration effect.

3.2.3. Spatial Effects

This study further focuses on the spatial spillover mechanisms of regional integration on urban green and low-carbon development. First, based on industrial agglomeration and selection effects [68], regional integration guides the tertiary industry to agglomerate in economically advanced and technologically leading core cities while pushing the secondary industry to gradual transfer to surrounding areas. By constructing a specialized division of labor, it accelerates regional industrial structure upgrading, effectively curbing the expansion of high-energy-consumption and high-pollution enterprises and cultivating green industry growth points. Second, regional coordinated development strengthens the network connectivity of urban agglomerations, significantly enhancing the spatial radiation efficiency of green development effects through infrastructure interconnectivity and cross-regional resource sharing. Additionally, studies confirm that environmental regulations have positive spatial spillover effects [69]. Regional integration, through policy coordination and standard alignment, forms cross-regional environmental governance communities, enabling advanced green development cities to drive less developed areas through technology spillover and institutional demonstration, thereby promoting the spatial diffusion of green and low-carbon technologies. Based on this, the following hypothesis is proposed:
Hypothesis H5:
The impact of regional integration policies on urban green and low-carbon development exhibits spatial spillover effects.

4. Research Design

4.1. Model Specification

To empirically examine the impact of the expansion of the Yangtze River Delta (YRD) region on urban green and low-carbon development, drawing on the research of Zhang et al. [70], the econometric model is specified as follows:
Enkt = β0 + β1Treatedkt + β2Controlskt + ζk + δt + εkt
In Model (1), used to analyze the impact of the expansion of the Yangtze River Delta (YRD) region on urban green and low-carbon development, the dependent variable is Enkt, which represents the green and low-carbon level of city k in year t. The explanatory variable is the interaction term Treatedkt, which captures the shock of being in the YRD urban agglomeration. Controlskt represents a series of city-level control variables. ζk denotes regional fixed effects, δt denotes time fixed effects, and εkt is the random error term of the equation. The coefficient β1 is the key parameter of interest. If β1 is significantly less than 0, it indicates that the regional integration development driven by the expansion of the YRD urban agglomeration significantly promotes the improvement of urban green and low-carbon levels.

4.2. Variable Definitions

4.2.1. Dependent Variable

Given that urban pollution emissions include waste gases, waste liquids, and solid waste, and considering the entropy method as an objective weighting approach, which determines the weights based on the dispersion of indicator data, this method effectively eliminates the subjective influence of human factors on weight determination and enhances the objectivity of the data. Therefore, this study refers to the work of Qiao et al. [71], who used the entropy method to construct a comprehensive urban environmental level index (Ens). Considering sulfur dioxide (SO2) as a major acidic gas and a typical industrial toxic emission with significant environmental and health risks, this study, following the research by Kou et al. [72], uses the annual sulfur dioxide emissions of cities (Exg, ten thousand tons) to represent urban air pollution. Wastewater is one of the main sources of urban water pollution, including domestic sewage, industrial wastewater, and more. Increased wastewater discharge leads directly to higher pollutant concentrations in water bodies, which in turn affects the ecological functions and water quality. Following the work of Pundir et al. [73], this study uses the annual wastewater discharge of cities (Waw, hundred million tons) to represent liquid pollution. Considering that industrial slag and dust account for a large proportion of industrial solid waste and that current monitoring technologies for industrial slag and dust emissions are relatively mature, enabling the accurate tracking and recording of emission volumes, this study uses the annual industrial slag and dust emissions of cities (Sow, ten thousand tons) to represent solid pollution. The entropy method is used to combine the annual Ens values of cities, and this index is positively correlated with pollution emissions, meaning that higher values indicate worse environmental quality in the city. A detailed measurement system is provided in Table 2.

4.2.2. Explanatory Variables

To construct the core variable of the Difference-in-Differences (DID) model, Time × Treated, the cities in the Yangtze River Delta urban agglomeration expansion are set as the treatment group, while other cities in East China serve as the control group. For the three expansion events between 2004 and 2022, we set time dummy variables (taking the value of 1 for the year of policy implementation and after, and 0 otherwise) and policy dummy variables (taking the value of 1 for cities in the treatment group after expansion, and 0 otherwise). The interaction term Time × Treated is used to capture the policy treatment effect.

4.2.3. Control Variables

Considering that other factors at the urban level may have potential impacts on the green and low-carbon development of cities, this study follows the approach of Zhuang et al., selecting factors that could influence urban green and low-carbon development as control variables [74]. The selection of control variables are shown in the Appendix A Table A1.

4.3. Data Sources

This study selects 72 prefecture-level cities in East China from 2004 to 2022 as the research sample. The data are sourced from the China City Statistical Yearbook and the CSMAR database. Given that the Yangtze River Delta (YRD) urban agglomeration has undergone three large-scale expansions, the study uses the latest expansion in 2019 as a quasi-natural experiment for empirical analysis. The following data processing steps were undertaken: ① Data Cleaning: Due to administrative division adjustments, data for the Laiwu region were excluded. ② Missing Value Treatment: Missing values were filled using linear interpolation. ③ Outlier Treatment: To eliminate the influence of extreme values, the dependent variable was winsorized at the 1% level on both ends.
After the above processing, the final sample includes 33 cities incorporated into the YRD urban agglomeration after the expansion and 22 control cities that were not incorporated. The definitions of the variables and descriptive statistical results are detailed in Table 3 and Table 4.

5. Analysis of Empirical Results

5.1. Parallel Trend Test

Effective implementation of the Difference-in-Differences (DID) approach relies on the assumption that the treatment and control groups follow parallel trends prior to policy intervention. If significant differences in trends exist before the policy is enacted, then any observed changes in urban carbon emissions may stem from pre-existing trajectories rather than from the policy itself. Figure 2 presents the results of the parallel trends test for the policy. The horizontal axis marks the timeline surrounding the policy implementation, including multiple time points before the policy (pre_5 to pre_2), the policy enactment year (current, proxied by pre_1), and several years after implementation (post_1 to post_5). The vertical axis reflects the dynamic effects of the policy, capturing its estimated impact on the outcome variable over time. Each dot represents the estimated treatment effect at a specific point in time, while the dashed lines indicate the confidence intervals around these estimates, providing a visual indication of their statistical uncertainty. The horizontal zero line serves as a benchmark for assessing whether the estimated effects significantly deviate from zero. As shown in the figure, the estimated coefficients fluctuate around zero in the years leading up to the 2019 Yangtze River Delta urban agglomeration expansion, suggesting that the treatment and control groups followed similar trends prior to the intervention—thus validating the parallel trends assumption. After the expansion, the coefficients shift markedly away from zero, confirming that the parallel trend test holds and the observed effects are not driven by underlying temporal trends. Therefore, it can be reasonably inferred that the notable reduction in pollutant concentrations within the treatment group is attributable to the regional integration policy, rather than a continuation of previous trends.

5.2. Baseline Regression Analysis

This study empirically examines the impact of regional integration on urban green development based on the difference-in-differences (DID) model. Table 5 reports the estimation results of the expansion of the Yangtze River Delta (YRD) urban agglomeration on urban green and low-carbon development. After controlling for individual and time fixed effects, column (1) of Table 5 shows that the coefficient of Treated is −0.015 and is statistically significant at the 1% level, indicating that regional integration significantly reduces urban environmental pollution levels and promotes urban green and low-carbon development. The results in columns (2), (3), and (4) further support this conclusion. Overall, the regional integration development marked by the expansion of the YRD urban agglomeration effectively promotes urban green and low-carbon transformation, validating research hypothesis H1.

5.3. Mechanism Test Results

The regional integration driven by the expansion of the Yangtze River Delta urban agglomeration has effectively facilitated the green and low-carbon transformation of cities by enhancing urban innovation investment, promoting industrial transformation and upgrading, and fostering talent aggregation. Drawing on Jiang’s research, this study conducts a mechanism test on these three channels [75]. Specifically, in reference to the study by He et al., the level of urban innovation investment is measured using the annual regional research and experimental development expenditure (in ten thousand yuan) (R&D) [76]; industrial upgrading, which is directly reflected in changes in employment structure, is measured using the number of people employed in the tertiary sector of the city in the current year (ten thousand people), as suggested by Wang et al. [77]; considering the critical role of scientific and technological personnel in green transformation, the number of scientific research and technical services workers in the city in the current year (ten thousand people) is used to measure talent aggregation, following the work of Li et al. [78]. The empirical results in column (1) of Table 6 show that the coefficient of Treated is 26.66, which is significantly positive at the 1% level. This indicates that the expansion of the Yangtze River Delta urban agglomeration significantly increased urban innovation investment, providing essential financial support for green transformation reforms and green innovation R&D. This finding aligns with the conclusions of Zhang et al. [79]. The results in column (2) show that the coefficient of Treated is 7.254, which is also significantly positive at the 1% level, suggesting that the expansion significantly promoted the regional industrial structure’s transformation and upgrading, increasing the proportion of the tertiary industry, which in turn, contributed to green and low-carbon development. The results in column (3) show that the coefficient of Treated is 0.345, which is significantly positive at the 1% level, indicating that the expansion significantly strengthened the talent aggregation effect in high-tech sectors, enhanced regional environmental protection and energy-saving capacity, and reinforced the consensus on green development, thus fostering the synergistic development of the green economy.
In conclusion, the mechanism test results in Table 6 confirm that the innovation input effect, industrial upgrading effect, and talent aggregation effect are the three key channels through which regional integration drives the green and low-carbon transformation of cities. These findings further support research hypotheses H2, H3, and H4.

5.4. Spatial Effect Test

Drawing on the study by Wang et al. [77], this paper identifies the Spatial Durbin Model (SDM) with two-way fixed effects as the optimal research method. Table 7 presents the spatial spillover effects of regional integration development on urban green and low-carbon transformation. The results in Column (1) show that the spatial autoregressive coefficient is significantly negative at the 1% level, indicating that the green development of geographically proximate cities exhibits a mutual driving effect. Furthermore, this study decomposes the impact of regional integration on green and low-carbon transformation into direct effects, indirect effects, and total effects, with the indirect effect serving as the key indicator for testing spatial spillover effects. As shown in Column (3) of Table 7, the indirect effect is significantly negative at the 1% level, and the spatial autoregressive coefficient is also significantly negative at the 1% level. This confirms that regional integration development has a significant spatial spillover effect on urban green and low-carbon transformation, thereby validating Hypothesis H5.

6. Extended Analysis

6.1. Heterogeneity in Urban Location

The geographic location of a city plays a crucial role in its economic development. In this study, based on the geographic distribution of the sample cities, we divide them into Eastern and Central region cities and perform a heterogeneity test for each group. The results are shown in columns (1) and (2) of Table 8. Column (1) indicates that in the sample of Eastern region cities, the coefficient of Treated is −0.017, which is statistically significant at the 1% level. In contrast, column (2) shows that for the sample of Central region cities, the coefficient of Treated is 0.001, which does not pass the significance test. This suggests that the positive impact of regional integration development, represented by the expansion of the Yangtze River Delta urban agglomeration, on urban green transformation is more pronounced in the Eastern region compared to the Central region. The possible reasons for this include the following: first, the Eastern region has a more robust economic foundation, with a diversified industrial structure dominated by high-end manufacturing and services, which are more adaptable to and demand-driven for green and low-carbon development; second, cities in the Central region are located farther from the center of the Yangtze River Delta urban agglomeration, making them less affected by regional integration, with a relatively delayed integration process, leading to less noticeable integration effects; third, cities in the Eastern region, particularly core cities, like Shanghai and Nanjing, have a significant advantage in green technology innovation, with substantial investments in green technology R&D and application, stronger driving forces, and more comprehensive supporting systems. In conclusion, differences in economic foundations, the extent of regional integration influence, and innovation capabilities have jointly contributed to the more significant green development effects of the Yangtze River Delta expansion on cities in the Eastern region.

6.2. Heterogeneity in Resource Endowments

The resource endowment of a city plays a crucial role in its green transformation. Drawing on the research of Feng et al. [80], this study classifies cities where the extraction and processing of natural resources, such as minerals and forests, are the dominant industries as resource-based cities, while the rest are categorized as non-resource-based cities. A heterogeneity analysis is then conducted based on this classification, with the results shown in columns (3) and (4) of Table 8. Column (3) indicates that in the sample of resource-based cities, the coefficient of Treated is −0.023, which is statistically significant at the 1% level. In contrast, column (4) shows that for non-resource-based cities, the coefficient of Treated is −0.001, which does not pass the significance test. This suggests that the expansion of the Yangtze River Delta urban agglomeration has a differential impact on the green and low-carbon transformation of resource-based versus non-resource-based cities, with a more pronounced effect in resource-based cities. This disparity may stem from the fact that resource-based cities typically rely on the extraction of minerals, energy, and other resources. As resources deplete and environmental constraints increase, the demand for green transformation in these cities becomes more urgent [81]. Following the expansion of the Yangtze River Delta urban agglomeration, policy support and the improvement of regional coordination mechanisms provided stronger transformative impetus and resource backing for resource-based cities, thereby significantly accelerating their green and low-carbon development.

6.3. Heterogeneity in City Size

Previous studies have found that there is a strong interactive relationship between city size and regional innovation behaviors, as well as economic growth [82]. Therefore, it is essential to examine the variation in effects across different city sizes. This study, referencing the work of Wang Han et al., categorizes cities with a population size of less than 5 million as medium and small cities, and cities with a population greater than 5 million as large cities. Empirical analysis is then conducted separately for each group, with results shown in columns (1) and (2) of Table 9. As the table indicates, in the sample of medium and small cities, the coefficient of Treated is −0.022, which is significantly negative at the 1% level, whereas in the sample of large cities, the coefficient of Treated is −0.001, with the results lacking statistical significance. In summary, regional integration development, represented by the expansion of the Yangtze River Delta urban agglomeration, has a more significant impact on the green and low-carbon development of medium and small cities than on large cities. Possible reasons for this include the following: ① Under policy guidance, the Yangtze River Delta region has incorporated green and low-carbon development into its overall regional planning, driving the optimization and upgrading of urban industrial structures [83]. Given the smaller scale of medium and small cities, the implementation of policies and the allocation of resources can be more rapidly translated into tangible outcomes, thus amplifying the effects. ② Regional integration accelerates the diffusion and application of green and low-carbon technologies within the Yangtze River Delta urban agglomeration. Due to relatively weaker innovation foundations, medium and small cities experience a more pronounced “siphoning” effect from the introduction of new technologies, enabling them to adopt and apply green technologies more quickly, thus driving their green transformation. ③ Regional integration has facilitated the interconnection of transportation, energy, and other infrastructure [84], offering broader market spaces and resource access channels for cities. Due to their smaller size, medium and small cities can more rapidly benefit from these infrastructure improvements, while large cities, with relatively well-developed infrastructure, face limited opportunities for further enhancement. In conclusion, the effects of regional integration development on the green and low-carbon development of medium and small cities in the Yangtze River Delta urban agglomeration are more pronounced. This is due to the faster realization of policy effects, more significant advancements in green technology, and noticeable improvements in urban development conditions. These factors combined result in a more substantial impact on the green and low-carbon development of medium and small cities.

6.4. Heterogeneity in Industrial Foundations

A city’s industrial foundation often determines the primary direction of its economic activities. Cities with a strong industrial base typically have a greater capacity for industrial optimization, upgrading, and green transformation innovation [85]. In this study, based on the national layout of China, cities that rely on major heavy industrial enterprises are classified as old industrial cities, while other cities are categorized as non-old industrial cities. A heterogeneity analysis is then conducted, with the results shown in columns (3) and (4) of Table 9.
In the sample of old industrial cities, the coefficient of Treated is −0.018, which is statistically significant at the 5% level. In contrast, in the sample of non-old industrial cities, the coefficient of Treated is −0.016, significant at the 1% level. The coefficient for Treated in the old industrial cities sample is larger than that in the non-old industrial cities sample, indicating that regional integration development, as represented by the expansion of the Yangtze River Delta urban agglomeration, has a more significant impact on the green transformation of cities with a more mature industrial base.
The possible reasons for this include: ① Cities with more mature industrial development typically occupy core positions within green innovation networks. These cities, in the process of regional integration, can more effectively promote green technology innovation and application through technological cooperation and resource sharing. ② Cities with advanced industrial development can use regional integration to transfer high-pollution and high-energy consumption industries outward, focusing resources on developing high-end manufacturing and strategic emerging industries. This typically enables a faster optimization of the city’s industrial structure and accelerates green and low-carbon development. Therefore, old industrial cities, due to their central position in green technology innovation and advantages in industrial transformation, achieve more effective green and low-carbon development under regional integration policies.

6.5. Heterogeneity in Digital Infrastructure

Previous studies have examined the impact of urban digital infrastructure development (such as 5G networks, the Internet of Things, etc.) on urban green development, suggesting that the better the digital infrastructure, the higher the effect of urban green development [86]. Since large-scale infrastructure construction typically requires government-led planning and implementation, this study follows the approach of Li et al. [87] and measures the level of urban digital infrastructure development based on the frequency of digital infrastructure-related terms in city government work reports. After assessing the digital infrastructure level of the sample cities, those with a frequency of digital infrastructure terms greater than one standard deviation above the average are categorized as cities with better digital infrastructure, while those with a frequency below one standard deviation are categorized as cities with insufficient infrastructure conditions. Empirical analysis is conducted for each group. The results shown in columns (1) and (2) of Table 10 indicate that cities with better digital infrastructure experience a more significant impact of regional integration development on their green development. The possible reasons for this phenomenon include the following: ① The construction of digital infrastructure enables efficient information sharing and real-time data exchange between cities, allowing governments, businesses, and the public to have a clearer understanding of the current state and needs of green and low-carbon development. ② Infrastructure applications involving digital and green technologies, such as smart grids, intelligent transportation, and smart buildings, can significantly reduce urban energy consumption and carbon emissions, promoting urban green development. ③ Regions with better digital infrastructure typically have stronger technological absorption and diffusion capacities, making it easier for green and low-carbon technologies and concepts to spread and be applied within the region under the influence of regional integration. Therefore, for cities with better digital infrastructure, the impact of regional integration on their green and low-carbon transformation is more pronounced.

6.6. Heterogeneity in Energy Efficiency

The higher the energy utilization efficiency in a city, the lower the energy consumption per unit of production and pollutant emissions, leading to a significant impact on green and low-carbon development. To systematically examine the role of energy utilization efficiency in advancing green transformation through regional integration, this study follows the approach of Kong et al. [88] to calculate the total factor energy efficiency of cities. The specific methods and formulas for this calculation can be found in Appendix B. Cities with energy utilization efficiency greater than one standard deviation above the mean are defined as efficient cities, while those with efficiency below one standard deviation are categorized as inefficient cities. Empirical analyses are conducted for each group. The results in columns (3) and (4) of Table 10 indicate that regional integration has a more significant effect on improving the green development levels of cities with lower energy efficiency. The reasons for this might include the following: first, inefficient cities typically lack advanced green technologies and energy management experience. Regional integration provides opportunities for technological diffusion and knowledge spillovers, helping these cities rapidly improve their energy utilization efficiency; second, regional integration has driven the construction of energy infrastructure, such as energy internet systems, facilitating the efficient allocation and sharing of energy across cities. This enables inefficient cities to access cleaner, more stable energy supplies, significantly increasing the proportion and efficiency of clean energy usage, thereby more effectively promoting the green and low-carbon development of these cities.

7. Robustness Tests

7.1. PSM-DID Estimation

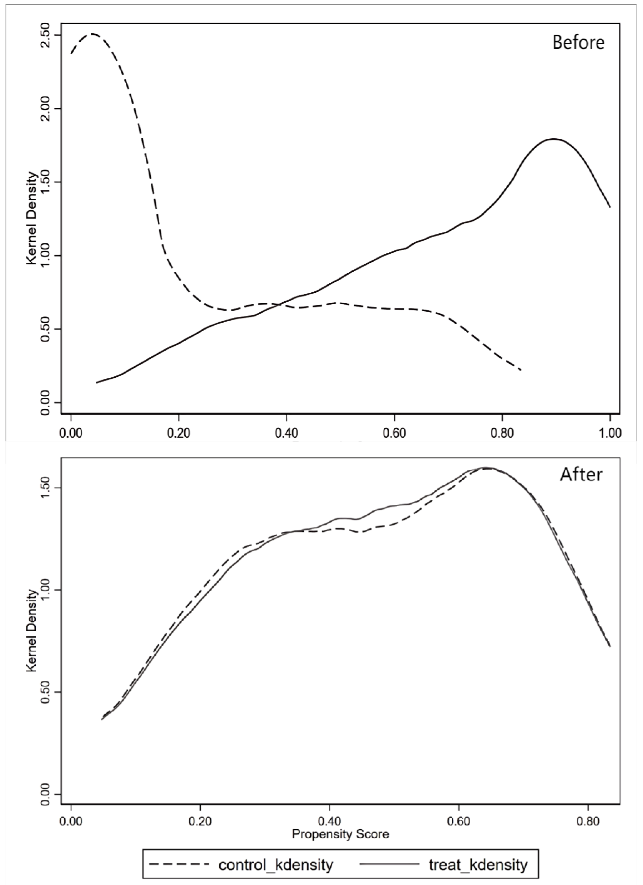
To overcome potential sample selection bias at the city level, this study attempts to perform covariate matching. Since the linear model incorporates key covariates that influence the policy, such as regional GDP and population density, which are closely related to the policy implementation, it can effectively capture regional differences. Moreover, the linear structure is simple and easy to interpret, aligning with the general expectation of linear relationships in research. This approach allows for a straightforward understanding of the direction and magnitude of each factor’s impact through regression coefficients, ensuring that the matching process accurately balances the distribution of covariates between the treatment and control groups, thereby more accurately assessing the policy effects. Based on this, the study selects a linear model and uses propensity score matching (PSM), designating the cities within the Yangtze River Delta urban agglomeration as the treatment group, and other cities in East China (mainly cities from Shandong, Fujian, and Jiangxi) as the control group. The model is constructed as Equation (2). Here, the dependent variable Policyk is a dummy variable indicating whether a city is located within the Yangtze River Delta urban agglomeration, and the model uses the same city-level control variables as mentioned earlier as matching variables, with θk representing the error term.The relevant annotations for the content of Figure 3 can be found in Table A2. And Figure 3 shows that before matching, there were significant differences in kernel density between the two groups, but after matching, the differences were significantly reduced. This indicates that after matching, the characteristic variables of the two sample groups became more aligned, suggesting a good matching effect. The selection of matching variables is reasonable, and the matching results are both valid and reliable. The explanation of the elements in Figure 3 can be found in Table A1.
Policyk = α0 + α1GPD + α2Pop + α3R&D + α4Fin + α5Ope + α6Ind + α7Gov + θk
After applying the PSM method, this study conducts empirical analyses using three models: one without control variables, one with partial control variables, and one with all control variables. The analyses are performed while controlling for individual and time fixed effects, and the results are presented in Table 11. The interaction term coefficients are significantly negative at the 1%, 1%, and 5% levels, respectively, indicating that even after propensity score matching, the conclusion that regional integration policies promote urban green and low-carbon development remains robust. This further validates the reliability of the research findings.

7.2. Placebo Test

This study conducts a placebo test by randomly assigning the treatment group and policy implementation timing to construct a simulated experiment. Regression analysis is then performed on the simulated experiment, and the probability distribution of the estimated coefficients from the baseline regression is used to assess the robustness of the research conclusions. To enhance the validity of the placebo test, this process is repeated 500 times, and the distribution of the PSM-DID estimated coefficients is plotted. As shown in Figure 4, the solid line represents the actual policy coefficient, while the randomly assigned difference-in-differences (DID) estimated coefficients are uniformly distributed around zero, exhibiting a normal distribution pattern. Moreover, the actual coefficient is significantly different from these randomly generated estimates. These results indicate that urban green and low-carbon development is primarily driven by regional integration policies, with no evident issues related to omitted variables. Therefore, the research conclusions are robust.

7.3. Adding Control Variables

Previous research has shown that the improvement of modern intelligent economy levels, represented by information network technologies, enhances human capital accumulation, thereby amplifying the talent agglomeration effect [89]. Therefore, it is essential to account for the initial conditions of talent agglomeration in the study. Li et al.’s research indicates that the proportion of college graduates in a city is positively correlated with business output growth [90], suggesting that this factor has a significant influence on the talent agglomeration effect. Since urban talent levels are constrained by education levels, and educational levels are typically reflected by the number of education professionals, this study includes the number of education professionals in a city as a control variable in the empirical model. The results in column (1) of Table 12 show that the coefficient of Treated is −0.018, which is statistically significant at the 1% level. This indicates that even after controlling for the impact of urban education levels, regional integration development, represented by the expansion of the Yangtze River Delta urban agglomeration, still has a significantly positive effect on improving green development levels.

7.4. Removing Data from Abnormal Years

In 2020, the COVID-19 pandemic caused significant disruptions to global and Chinese economic and social development. Referring to the research by Ikram et al. [91], after excluding the sample data from 2020, the empirical results shown in column (2) of Table 12 reveal that the coefficient of Treated is −0.014, which is significantly negative at the 1% level. This indicates that even after excluding data from an anomalous year, regional integration development, as represented by the expansion of the Yangtze River Delta urban agglomeration, still has a significant positive effect on improving the green and low-carbon transformation levels of cities, and the research findings remain robust.

7.5. Changing the Dependent Variable

To further verify the promoting effect of regional integration development on urban green development and eliminate potential random errors introduced by a single explanatory variable, this study draws on the research of Gong et al. [92] and attempts to use alternative explanatory variables for empirical analysis. Since urban PM2.5 primarily originates from fossil fuel combustion, its concentration reduction typically indicates a decrease in fossil fuel use. Additionally, reducing PM2.5 emissions helps improve residents’ quality of life, aligning with the goals of green and low-carbon development. Therefore, following the work of Bi et al. [93], the model selects the annual average PM2.5 concentration (En) of a city as a proxy variable for urban green and low-carbon development levels. The regression results, shown in column (3) of Table 12, reveal that the coefficient of Treated is −9.201, which is significantly negative at the 1% level. This suggests that even after changing the dependent variable, regional integration development, represented by the expansion of the Yangtze River Delta urban agglomeration, still has a significant positive effect on improving the green and low-carbon transformation levels of cities, and the research findings remain robust.

7.6. Removing Outliers

To avoid the interference of outliers on the research results, this study follows the approach of Chu [94] by removing the extreme lower values from the dependent variable and re-running the regression analysis. From the scatter plot of the variable values, it is evident that there are significant jumps at values greater than 0.6 and 0.5. Therefore, after excluding data with Ens values greater than 0.6 and 0.5, the regression analysis was conducted, with the results shown in columns (1) and (2) of Table 13. In both samples, the coefficients of Treated are −0.014 and −0.011, respectively, both of which are statistically significant at the 1% level. This indicates that even after removing extreme values, regional integration development, represented by the expansion of the Yangtze River Delta urban agglomeration, still has a significant positive impact on improving the green and low-carbon transformation levels of cities. The conclusions remain unchanged in the truncated samples, further confirming the robustness of the results.

8. Discussion

As global climate change intensifies, the green and low-carbon transformation of cities has become increasingly urgent. Regional integration development, as a significant trend in global development, offers cities a new approach to low-carbon growth. Against this backdrop, existing research has delved into the carbon emission trading policies. In terms of impact effects, some scholars have verified the carbon reduction benefits of regional integration development [37]. Teklie et al.’s research also confirmed the objective role of macro policies in driving urban green development [41]. Some studies further highlighted the spatial spillover effects of regional integration policies [68]. This study also examines the impact of regional integration policies on urban green development. The empirical results show that regional integration policies, represented by the expansion of the Yangtze River Delta urban agglomeration, can improve the level of urban green development by an average of 0.015 units, further confirming the findings of existing research.
At the level of policy mechanisms, Huggins et al.’s study focused on the green development benefits brought by increased innovation investment under regional integration [52], while Zheng et al. found that industrial structure upgrading is a key path to carbon reduction [58]. Shi et al. explored the positive synergistic relationship between talent aggregation and the integration development of the Yangtze River Delta [64]. Regarding mechanisms, this study’s results indicate that regional integration can drive green and low-carbon development efficiency in cities by promoting innovation investment, facilitating industrial upgrading, and fostering talent aggregation.
Building upon the existing literature, this study introduces innovations in both perspective and content. In terms of perspective, there has been limited attention given to the expansion of the Yangtze River Delta urban agglomeration in the existing research. However, under regional integration, the Yangtze River Delta urban agglomeration has already demonstrated strong green improvement capabilities. Therefore, this study focuses on the development trajectory of the Yangtze River Delta, using concrete examples to illustrate the role of regional integration in promoting urban green economic efficiency. In terms of content, while the existing literature has explored the mechanisms by which regional integration works at a macro level, such as enhancing urban green innovation capacity and promoting talent “siphoning”, this study further investigates these mechanisms. The mechanism test results show that regional integration can improve urban green and low-carbon levels through enhanced technological innovation, industrial upgrading, and talent aggregation. Secondly, although li et al.’s study focused on the expansion of the Yangtze River Delta urban agglomeration [95], their research only examined the green development of industries within this context, resulting in a relatively narrow measurement of green development. In contrast, this paper comprehensively assesses the urban green level from three dimensions: gas, liquid, and solid. This approach enhances the objectivity and comprehensiveness of the research. Thirdly, while some studies have also explored the impact of regional integration on urban green development [96], they have failed to pay attention to the spatial spillover effects of this impact. In contrast, this paper examines this aspect and finds that regional integration has a positive spatial spillover effect on urban green and low-carbon development. Furthermore, while existing studies on the heterogeneity of regional integration’s effects have focused on differences in city size and resource endowments [81,83], less attention has been given to differences in urban digital infrastructure and energy use efficiency. This study expands on the existing research by investigating these dimensions and finds that regional integration development has a more significant impact on cities in the Eastern region, resource-based cities, medium and small cities, old industrial cities, cities with better digital infrastructure, and cities with lower energy efficiency.
In conclusion, this study not only validates the positive impact of regional integration development on urban green and low-carbon economic development but also makes significant breakthroughs in perspective and content compared to the existing literature. It provides insights and references for future multi-perspective analyses of regional integration development.
However, this study has certain limitations, mainly including the following: ① Data limitations: The panel data used for Chinese cities from 2004 to 2022 has a relatively narrow time span and data range. ② Limitations in variable selection: although multiple control variables were chosen to account for other factors, there may still be important variables not included in the model, such as natural geographic conditions, historical cultural backgrounds, and social welfare levels, which were not fully considered in this study. ③ Measurement of regional integration policies: this study mainly uses the expansion of the Yangtze River Delta urban agglomeration as a quasi-natural experiment and analyzes policy implementation through dummy variables. This approach is relatively simplified and may not fully capture the specific implementation intensity of regional integration policies in different cities, the diversity of policy tools, and the dynamic changes during policy execution. Based on the above analysis, future research could improve upon this study in the following ways: ① Expand the data range and time span, adding more city samples and extending the time period to more comprehensively reflect the long-term impacts and dynamic changes of regional integration policies. ② Enrich the selection of variables and indicators, incorporating more factors that may influence urban green and low-carbon development. ③ Adopt multi-dimensional policy measurement indicators and attempt to construct a comprehensive indicator system that includes different types of policy tools.

9. Conclusions and Policy Recommendations

In the context of high-quality economic development, regional integration policies have a positive impact on urban green and low-carbon development. This study uses the Difference-in-Differences (DID) method to systematically examine the mechanisms through which regional integration policies affect urban green and low-carbon development. The study finds the following: ① Regional integration policies effectively drive urban green and low-carbon transformation, and the conclusion remains robust after PSM-DID estimation and a series of robustness tests. ② Regional integration policies promote urban green and low-carbon development through technological innovation investment, advanced industrial restructuring, and talent aggregation. ③ The positive impact of regional integration policies is more pronounced in eastern cities, resource-based cities, and medium and small cities. ④ Regional integration has a significant positive spatial spillover effect on urban green and low-carbon transformation.
Based on these findings, the study offers the following policy recommendations:
1. Deepening Regional Coordination. Improve cross-regional coordination mechanisms, eliminate administrative barriers, promote infrastructure connectivity and the integration of factor markets, and build an urban agglomeration development model centered on “joint innovation research, industry prosperity, and ecological co-construction”.
2. Strengthening Innovation Incentives. Establish a support system combining “fiscal subsidies, tax incentives, and financial innovation”, pilot green technology trading platforms, deepen collaborative innovation networks, and overcome key technological bottlenecks.
3. Optimizing Industrial Policy. Implement a dual-track strategy for greening traditional industries and decarbonizing emerging industries, establish industry entry standards based on life cycle evaluation, guide social capital into green industries, and use market-oriented methods to promote the transformation of energy-intensive industries.
4. Improving Talent Mechanisms. Develop a flexible talent recruitment mechanism, pilot the cross-regional mutual recognition of professional titles and social security integration, establish green technology talent training bases, and improve the talent development chain.
5. Implementing Differentiated Development. Establish classified guidance policies, directing core cities, resource-based cities, and medium and small cities to focus on green technology R&D, ecological restoration technology applications, and the development of specialized environmental protection industries, avoiding homogenized competition.
6. Innovating Environmental Governance. Promote public participation mechanisms, build environmental information sharing platforms, establish corporate environmental credit evaluation systems, create a collaborative governance system, and cultivate a low-carbon cultural ecosystem.

Author Contributions

Conceptualization, S.C. and Y.L.; data curation, Y.D.; writing—original draft preparation, S.C. All authors have read and agreed to the published version of the manuscript.

Funding

This research received no external funding.

Institutional Review Board Statement

Not applicable.

Informed Consent Statement

Not applicable.

Data Availability Statement

The data sets used in this study are available from the Yearbook, the Chinese Bureau of Statistics, http://www.stats.gov.cn/sj/.

Conflicts of Interest

The authors declare no conflict of interest.

Appendix A

Table A1. Selection of control variables.
Table A1. Selection of control variables.
Variable NameSymbolDefinition
Population DensityLnPopThe higher the population density, the more severe the pollution caused by urban traffic exhaust, domestic sewage discharge, and production of necessities of life, and the greater the resistance to urban green and low-carbon development. Therefore, its significant impact needs to be considered.
Financial Development LevelFinThe higher the level of financial development, the lower the difficulty of urban financing, which can provide necessary financial support for the development of green and environmentally friendly industries and promote the development of urban green and environmentally friendly undertakings.
Degree of Opening Up to the Outside WorldOpeThe higher the degree of opening up to the outside world, the more vulnerable the city is to the impact of the development of advanced economies [97], which is more conducive to the development of green industries within the city. Moreover, it can reduce local pollution emissions by importing high-pollution products, thereby promoting urban green emission reduction.
Urban Industrial StructureLnIndThe higher the level of urban industrial structure, the more developed the secondary and tertiary industries [98], the less pollution from heavy industrial production, and the lower the industrial pollution emissions, which is of great significance to urban green development.
Degree of Government InterventionGovThe intervention and guidance of the urban government can strongly urge urban industries to evolve towards a green and sustainable direction [99], so considering the level of government intervention is of research significance.
Level of Economic DevelopmentLnGDPThe higher the level of economic development, the more optimized the urban industrial structure, the fewer the proportion of polluting enterprises, and the more resources the city has to promote green and low-carbon development.
Table A2. The explanation of the elements in Figure 3.
Table A2. The explanation of the elements in Figure 3.
AxisUnitRange/ValueExplanation
Horizontal axis (X-axis)Propensity Score0–1The probability that an individual will receive treatment given the covariates, calculated using a logistic regression model.
Vertical axis (Y-axis)Kernel DensityNo specific unit, standardized valueKernel density is a measure of relative frequency, indicating the sample density around a specific propensity score value, used to smoothly display the distribution of data, calculated using kernel density estimation methods.

Appendix B

The method for calculating urban energy usage efficiency is based on the research by Kong et al. [89], using the super-efficient SBM model to measure the total factor energy efficiency of cities. This model assumes that a complete production system consists of m decision-making units (DMUs), each containing n inputs, k expected outputs, and s undesirable outputs. The specific model formula is as follows:
θ * = m i n 1 n i = 1 n x i ¯ / x i j 1 k + s ( t = 1 k y t a ¯ / y t j a + v = 1 s y v b ¯ / y v j b )
s . t . x ¯ i = 1 , j m η i · x i + w i , i = 1 , , n y v b ¯ v = 1 , 0 m η v y v b w v b , v = 1 , , s y t a ¯ v = 1 , 0 m η t y t a w t a , t = 1 , , k x i ¯ x i j , y t a ¯ y t j a , y v b ¯ y v j b , η 0 i = 1 , j m η i = 1 , t = 1 , j m η t = 1 , v = 1 , j m η v = 1
wherein: θ* is the efficiency value for the DMU under assessment, reflecting the level of total factor energy efficiency. xi denotes the i-th input, yta the a-th desirable output, and yvb the v-th undesirable output. wi, wvb, and yta represent the slack variables for inputs, desirable outputs, and undesirable outputs, respectively, while η is a weight vector. The variables with overbars refer to the projection values for inputs or outputs in the model, and the subscript t indicates the decision-making unit being evaluated.

References

  1. Majumder, S.; Goes, M.; Polito, P.S.; Lumpkin, R.; Schmid, C.; Lopez, H. Propagating Modes of Variability and Their Impact on the Western Boundary Current in the South Atlantic. J. Geophys. Res. Ocean. 2019, 124, 3168–3185. [Google Scholar] [CrossRef]
  2. Shamsudduha, M. Redefining flood hazard and addressing emerging risks in an era of extremes. npj Nat. Hazards 2025, 2, 29. [Google Scholar] [CrossRef]
  3. Ringholm, T. Energy citizens—Conveyors of changing democratic institutions? Cities 2022, 126, 103678. [Google Scholar] [CrossRef]
  4. Ma, S. Growth effects of economic integration: New evidence from the Belt and Road Initiative. Econ. Anal. Policy 2022, 73, 753–767. [Google Scholar] [CrossRef]
  5. Zhou, A.; Wang, S.; Chen, B. Impact of new energy demonstration city policy on energy efficiency: Evidence from China. J. Clean. Prod. 2023, 422, 138560. [Google Scholar] [CrossRef]
  6. Wu, K.; Yang, S.; Li, Y.; Zhu, M. The effect of regional integration on the efficiency of enterprise resource allocation. Sci. Rep. 2025, 15, 708. [Google Scholar] [CrossRef]
  7. Deng, C.; Cao, Z.W.; He, L.Q. Financial integration and regional economic coordination under high-quality development—An empirical study based on the financial cross-domain support network. Int. Financ. Res. 2024, 4, 3–13. [Google Scholar] [CrossRef]
  8. Feng, Y.; Sun, M.; Pan, Y.; Zhang, C. Fostering inclusive green growth in China: Identifying the impact of the regional integration strategy of Yangtze River Economic Belt. J. Environ. Manag. 2024, 358, 120952. [Google Scholar] [CrossRef]
  9. Yu, R.; Chen, Y.; Jin, Y.; Zhang, S. Evaluating the Impact of Digital Transformation on Urban Innovation Resilience. Systems 2024, 13, 8. [Google Scholar] [CrossRef]
  10. Zheng, J.; Guo, Y.X.; Tang, L. Can regional integration cooperation promote industrial structure upgrading?—A quasi-natural experiment based on the Yangtze River Delta Urban Economic Coordination Council. China Soft Sci. 2021, 8, 1–15. [Google Scholar] [CrossRef]
  11. Cheng, K.; Yin, J.; Wang, F.; Wang, M. The impact pathway of new quality productive forces on regional green technology innovation: A spatial mediation effect based on intellectual property protection. PLoS ONE 2025, 20, e0319838. [Google Scholar] [CrossRef] [PubMed]
  12. Ma, S.; Li, L.; Zuo, J.; Gao, F.; Ma, X.; Shen, X.; Zheng, Y. Regional integration policies and urban green innovation: Fresh evidence from urban agglomeration expansion. J. Environ. Manag. 2024, 354, 120485. [Google Scholar] [CrossRef]
  13. Jiang, L.; Zhang, M.; Hu, S. Digital economy, green innovation and regional resource allocation efficiency: Evidence from 257 cities in China. Front. Environ. Sci. 2025, 13, 1529946. [Google Scholar] [CrossRef]
  14. Zhu, M.; Pan, B.; Zhang, W.W. Fiscal support for finance: Building a global leading Chinese zero-carbon financial system. Financ. Res. 2022, 2, 18–28. [Google Scholar] [CrossRef]
  15. Ai, K.; Xu, N. Does Regional Integration Improve Carbon Emission Performance?—A Quasi-Natural Experiment on Regional Integration in the Yangtze River Economic Belt. Sustainability 2023, 15, 15154. [Google Scholar] [CrossRef]
  16. Feng, Y.; Peng, D.; Li, Y.; Liu, S. Can regional integration reduce carbon intensity? Evidence from city cluster in China. Environ. Dev. Sustain. 2024, 26, 5249–5274. [Google Scholar] [CrossRef]
  17. Liu, S.; Tang, X.; Zhao, Y. Global Value Chain Participation, Employment Structure, and Urban–Rural Income Gap in the Context of Sustainable Development. Sustainability 2024, 16, 1931. [Google Scholar] [CrossRef]
  18. Pomerlyan, E.; Belitski, M. Integration—Growth relationship: A literature review and future research agenda using a TCCM approach. Eur. Manag. J. 2023, 41, 1106–1118. [Google Scholar] [CrossRef]
  19. Guo, L.; Tang, M.; Wu, Y.; Bao, S.; Wu, Q. Government-led regional integration and economic growth: Evidence from a quasi-natural experiment of urban agglomeration development planning policies in China. Cities 2025, 156, 105482. [Google Scholar] [CrossRef]
  20. Yin, S.; Zhou, Y.; Zhang, C.; Wu, N. Impact of regional integration policy on urban ecological resilience: A case study of the Yangtze River Delta region, China. J. Clean. Prod. 2024, 485, 144375. [Google Scholar] [CrossRef]
  21. Feng, Y.; Lee, C.-C.; Peng, D. Does regional integration improve economic resilience? Evidence from urban agglomerations in China. Sustain. Cities Soc. 2023, 88, 104273. [Google Scholar] [CrossRef]
  22. Sun, C.Z.; Li, B.; Guo, J.K.; Peng, F.; Yan, X.L.; Gai, M.; Liu, T.B.; Liu, K.; Wang, Z.Y.; Di, Q.B.; et al. The progress and prospects of marine economic geography research in China since the reform and opening up. Econ. Geogr. 2021, 41, 117–126. [Google Scholar] [CrossRef]
  23. Zhao, J.; Chen, W.; Liu, Z.; Liu, W.; Li, K.; Zhang, B.; Zhang, Y.; Yu, L.; Sakai, T. Urban expansion, economic development, and carbon emissions: Trends, patterns, and decoupling in mainland China’s provincial capitals (1985–2020). Ecol. Indic. 2024, 169, 112777. [Google Scholar] [CrossRef]
  24. He, X.M.; Lai, Y.J.; Nie, A.Y. Regional integration and regional environmental pollution emission convergence—A natural ex-periment based on the Yangtze River Delta regional integration. Soft Sci. 2016, 30, 41–45. [Google Scholar] [CrossRef]
  25. Liu, M.; Chen, L.; Sheng, X.; Xu, Y.; Yuan, X.; Wang, Q.; Ma, Q.; Zuo, J. Zero-waste city pilot and urban green and low-carbon transformation: Quasi-experimental evidence from China. Resour. Conserv. Recycl. 2024, 206, 107625. [Google Scholar] [CrossRef]
  26. Mao, J.; Liu, Y. The Impact of Undertaking Industrial Relocation on Green Innovation Efficiency in the Yellow River Basin: A Two-Stage Analysis from an Innovation Value Chain Perspective. Sustainability 2025, 17, 1581. [Google Scholar] [CrossRef]
  27. Li, L.B.; Li, H.J. Technological innovation, energy conservation, emission reduction and urban green development. Soft Sci. 2021, 35, 46–51. [Google Scholar] [CrossRef]
  28. Wang, L.; Shao, J. Research on energy saving effect of spatial correlation network of digital infrastructure: Based on the analysis of network centrality. Environ. Sci. Pollut. Res. 2024, 31, 60159–60177. [Google Scholar] [CrossRef]
  29. Zhang, S.Y.; Wang, Q.X.; Yuan, J.X.; Wang, J.W. Spatial-temporal differentiation characteristics of the coupling of urban resilience and green development efficiency in resource-based cities. J. Zhejiang Univ. Sci. Ed. 2024, 51, 753–768. [Google Scholar] [CrossRef]
  30. Sun, J.; Tang, D.; Kong, H.; Boamah, V. Impact of Industrial Structure Upgrading on Green Total Factor Productivity in the Yangtze River Economic Belt. Int. J. Environ. Res. Public Health 2022, 19, 3718. [Google Scholar] [CrossRef]
  31. Zhu, B.; Zhang, M.; Zhou, Y.; Wang, P.; Sheng, J.; He, K.; Wei, Y.-M.; Xie, R. Exploring the effect of industrial structure adjustment on interprovincial green development efficiency in China: A novel integrated approach. Energy Policy 2019, 134, 110946. [Google Scholar] [CrossRef]
  32. Zhang, H.; Zhang, K.; Yan, T.; Cao, X. The impact of digital infrastructure on regional green innovation efficiency through industrial agglomeration and diversification. Humanit. Soc. Sci. Commun. 2025, 12, 220. [Google Scholar] [CrossRef]
  33. Wu, C.X. A study on the synergistic effect of China’s low-carbon economic development. World Manag. 2021, 37, 105–117. [Google Scholar] [CrossRef]
  34. Huang, X.; Zhan, W.; Qi, T.; Guo, Y.; Bai, R.; Hong, T. Research on Regional Collaborative Governance Between Central and Local Governments Under the Background of Green Innovation. Systems 2025, 13, 153. [Google Scholar] [CrossRef]
  35. Liu, Z.-H.; Yuan, Q.-L.; Li, C.; Gao, L.; Xu, J.-W. Research on the Synergistic Effect of Low-carbon Economy and High-quality Development Under the “Dual-carbon” Strategy: A Case Study of Beijing-Tianjin-Hebei Urban Agglomeration. Environ. Sci. 2024, 45, 6301–6312. [Google Scholar] [CrossRef]
  36. Fu, L.; Han, X.; Peng, J. The impact of innovation-driven policies on urban resilience. Humanit. Soc. Sci. Commun. 2025, 12, 484. [Google Scholar] [CrossRef]
  37. Sun, A.; He, Q.; Xiao, C.; Hua, Y.; Zhang, J. The spatial spillover effects of regional integration on carbon emissions. Int. Rev. Econ. Finance 2024, 95, 103447. [Google Scholar] [CrossRef]
  38. Hu, Y.; Zhang, A.W. The ecological optimization effect of regional integration in the Yangtze River Delta. Urban Issues 2020, 6, 20–28. [Google Scholar] [CrossRef]
  39. Wang, Z.; Zhang, X.; Zhang, C.; Yang, Q. How Regional Integration Affects Urban Green Development Efficiency: Evidence from Urban Agglomeration in the Middle Reaches of the Yangtze River. Int. J. Environ. Res. Public Health 2022, 19, 7937. [Google Scholar] [CrossRef]
  40. Wang, L.; Shao, J. How does regional integration policy affect urban energy efficiency? A quasi-natural experiment based on policy of national urban agglomeration. Energy 2025, 319, 135003. [Google Scholar] [CrossRef]
  41. Teklie, D.K.; Yağmur, M.H. The Role of Green Innovation, Renewable Energy, and Institutional Quality in Promoting Green Growth: Evidence from African Countries. Sustainability 2024, 16, 6166. [Google Scholar] [CrossRef]
  42. Li, W.Y.; Yang, S.G.; Wu, Y.M. The impact of regional market integration on carbon emission benefits—A spatial econometric analysis from the Yangtze River Delta region. Soft Sci. 2018, 32, 52–55+71. [Google Scholar] [CrossRef]
  43. Adebanjo, A.U.; Shafiq, N.; Kumar, V.; Olatoyan, O.J.; Razak, S.N.A.; Yusof, N.F. Innovative Green Infrastructure Initiatives for Development in the Construction Industry. In Sustainable Green Infrastructure; Shaffie, E., Hassan, R., Arshad, A.K., Bhkari, N.M., Sidek, M.N.M., Eds.; Springer: Singapore, 2025. [Google Scholar] [CrossRef]
  44. Chen, X. Analysis of Urban Economic Spatial Development and Integrated Development Strategies in the Yangtze River Delta. Inf. Syst. Econ. 2024, 5, 82–95. [Google Scholar] [CrossRef]
  45. Wang, Y.; Liang, H.; Dong, L.; Zhu, Y.; Wang, Y. Harmonizing new-type urbanization and eco-efficiency: Spatial–temporal coupling coordination in the Yangtze River Economic Belt. Environ. Dev. Sustain. 2025, 25, 1–40. [Google Scholar] [CrossRef]
  46. Liu, Z.; Zhang, S. Exploring the relationship between urban green development and heat island effect within the Yangtze River Delta Urban Agglomeration. Sustain. Cities Soc. 2025, 121, 106204. [Google Scholar] [CrossRef]
  47. Wang, J.K.; Fan, Q.X.; Hu, J.Y. Can regional integration enhance urban resilience?—A multidimensional perspective of urban resilience. Financ. Econ. Res. 2024, 50, 4–18. [Google Scholar] [CrossRef]
  48. Liu, Q.; Li, M. Can regional integration strategy drive urban economic resilience improvement?—A quasi-natural experiment based on the Yangtze River Economic Belt integration strategy. J. Chongqing Univ. Sci. Technol. Soc. Sci. Ed. 2024, 2, 12–27. [Google Scholar] [CrossRef]
  49. Cai, R.; Wang, X.; Vong, C.C.; Zhao, S.; Zhang, T. Low-carbon urban development hot topics and frontier evolution: A bibliometric study from a global perspective. Front. Built Environ. 2024, 10, 1464529. [Google Scholar] [CrossRef]
  50. Dorado-Rubín, M.J.; Guerrero-Mayo, M.J.; Navarro-Yáñez, C.J. Policy integration in urban policies as multi-level policy mixes. Policy Sci. 2025, 58, 45–67. [Google Scholar] [CrossRef]
  51. Gu, H.; Jie, Y. Escaping from “dream city”? Housing price, talent, and urban innovation in China. Habitat Int. 2024, 145, 103015. [Google Scholar] [CrossRef]
  52. Huggins, R.; Thompson, P. Cities, innovation and entrepreneurial ecosystems: Assessing the impact of the COVID-19 pandemic. Camb. J. Reg. Econ. Soc. 2022, 15, 635–661. [Google Scholar] [CrossRef]
  53. Zhao, J.; Chen, N.; Jin, Z. The more centralized the spatial structure is, the greater the economic growth? Evidence from urban agglomerations in western China. Humanit. Soc. Sci. Commun. 2025, 12, 483. [Google Scholar] [CrossRef]
  54. Du, Y.; Wang, Q.; Song, Y.; Xin, Y. How cross-regional collaborative innovation networks affect regional economic resilience: Evidence from 283 cities in China. Technol. Forecast. Soc. Chang. 2025, 215, 124057. [Google Scholar] [CrossRef]
  55. Chen, X. Promotion Strategy of Integrated Development in the Yangtze River Delta Region Based on Innovation-Driven and Green Development. Popul. Resour. Environ. Econ. 2024, 5, 68–74. [Google Scholar] [CrossRef]
  56. Zhang, R.; Ji, C.; Tan, L.; Sun, Y. Evaluation and construction of the capacities of urban innovation chains based on efficiency improvement. PLoS ONE 2022, 17, e0274092. [Google Scholar] [CrossRef]
  57. Dai, L.; Yang, A.; Song, G. Regional synergy between green technology innovation and low carbon development in China: A quantitative study of provinces and economic belts. Energy Rep. 2025, 13, 1085–1094. [Google Scholar] [CrossRef]
  58. Zheng, Y.; Wang, M.; Ma, X.; Zhu, C.; Gao, Q. The Dynamic Relationship Between Industrial Structure Upgrading and Carbon Emissions: New Evidence from Chinese Provincial Data. Sustainability 2024, 16, 10118. [Google Scholar] [CrossRef]
  59. Chang, Y.-T.; Zhang, N.; Danao, D.; Zhang, N. Environmental efficiency analysis of transportation system in China: A non-radial DEA approach. Energy Policy 2013, 58, 277–283. [Google Scholar] [CrossRef]
  60. Cui, W. Shadow and spillover: The influence of neighboring innovative cities on regional innovation growth. China Econ. Rev. 2025, 90, 102355. [Google Scholar] [CrossRef]
  61. Liu, Z.; Li, M. Research on the Spatial Spillover Effect of Digital Economy on Science and Technology Innovation. In Business Intelligence and Information Technology. BIIT 2023. Smart Innovation, Systems and Technologies; Hassanien, A.E., Zheng, D., Zhao, Z., Fan, Z., Eds.; Springer: Singapore, 2024; Volume 394. [Google Scholar] [CrossRef]
  62. Pan, W.; Xie, T.; Wang, Z.; Ma, L. Digital economy: An innovation driver for total factor productivity. J. Bus. Res. 2022, 139, 303–311. [Google Scholar] [CrossRef]
  63. Litvinenko, V.S. Digital Economy as a Factor in the Technological Development of the Mineral Sector. Nat. Resour. Res. 2020, 29, 1521–1541. [Google Scholar] [CrossRef]
  64. Feng, Z.; Cheng, S.; Qu, G.; Cui, Y.; Ye, J. Research on Theoretical Mechanism and Promotion Path of Digital Economy Driving China’s Green Development under “Double Carbon” Background. Int. J. Environ. Res. Public Health 2023, 20, 437. [Google Scholar] [CrossRef]
  65. Zhu, P.; Chen, J.; Yuan, F.; Liu, W. The Formation of Knowledge Flow Networks in the Yangtze River Delta, China: Knowledge Implicitness and Proximity Effect. Sustainability 2025, 17, 740. [Google Scholar] [CrossRef]
  66. Shi, W.; Yang, W.; Mu, X.; Yang, F. Analysis of spatial characteristics and influencing factors of the flow network of highly educated talents from national and local perspective. Sci. Rep. 2024, 14, 9657. [Google Scholar] [CrossRef] [PubMed]
  67. Zhou, Z.; Liu, W.; Cheng, P.; Li, Z. The Impact of the Digital Economy on Enterprise Sustainable Development and Its Spatial-Temporal Evolution: An Empirical Analysis Based on Urban Panel Data in China. Sustainability 2022, 14, 11948. [Google Scholar] [CrossRef]
  68. Li, M.; Wang, X.; Wang, Z.; Maqbool, B.; Hussain, A.; Khan, W.A. Bibliometric Analysis of the Research on the Impact of Environmental Regulation on Green Technology Innovation Based on CiteSpace. Int. J. Environ. Res. Public Health 2022, 19, 13273. [Google Scholar] [CrossRef]
  69. Xie, W.; Qing, Y.; Tao, L.; Li, W.; Wen, C. Spatial spillover effects of environmental regulation on ecological industrialization: Evidence from the upper reaches of the Yangtze River. Int. Rev. Econ. Finance 2025, 98, 103862. [Google Scholar] [CrossRef]
  70. Zhang, L.; Tao, Y.; Nie, C. Does broadband infrastructure boost firm productivity? Evidence from a quasi-natural experiment in China. Financ. Res. Lett. 2022, 48, 102886. [Google Scholar] [CrossRef]
  71. Qiao, Z.; Xu, X.; Wang, X.; Zhang, Y. Comprehensive Evaluation of Urban Renewal Based on Entropy and TOPSIS Method: A Case of Shandong Province. J. Contemp. Urban Aff. 2025, 9, 1–15. [Google Scholar] [CrossRef]
  72. Kou, D.X.; Huang, J. The emission reduction effect of productive service industry agglomeration on manufacturing industry—A panel data analysis of 285 cities from 2003 to 2019. China’s Circ. Econ. 2021, 35, 78–88. [Google Scholar] [CrossRef]
  73. Pundir, A.; Thakur, M.S.; Radha; Goel, B.; Prakash, S.; Kumari, N.; Sharma, N.; Parameswari, E.; Senapathy, M.; Kumar, S.; et al. Innovations in textile wastewater management: A review of zero liquid discharge technology. Environ. Sci. Pollut. Res. 2024, 31, 12597–12616. [Google Scholar] [CrossRef] [PubMed]
  74. Zhuang, Z.; Li, S.; Li, J. Effect of smart city construction on an urban transition to a low-carbon economy: Evidence from China. Environ. Sci. Pollut. Res. 2024, 31, 55046–55064. [Google Scholar] [CrossRef]
  75. Jiang, T. A study on the mediating effect and moderating effect in causal inference empirical research. China Ind. Econ. 2022, 5, 100–120. [Google Scholar] [CrossRef]
  76. He, Y.; Li, Z.; Wang, X.; Chen, X. Government investment, human capital flow, and urban innovation: Evidence from smart city construction in China. Int. Rev. Financ. Anal. 2025, 99, 103916. [Google Scholar] [CrossRef]
  77. Wang, X.; Zhang, X.; Ye, A. Dynamic spatial Durbin threshold with two-way fixed effects: Model, method, and test. Appl. Econ. Lett. 2023, 31, 1166–1171. [Google Scholar] [CrossRef]
  78. Li, Y.; Sun, F.; Li, M.Y. Innovative talent agglomeration, spatial spillover effects and regional innovation performance—Analyzing the threshold effect of government support. PLoS ONE 2024, 19, e0311672. [Google Scholar] [CrossRef]
  79. Zhang, Y.S.; Zhang, Y.X.; Deng, S.Y. Heterogeneous environmental regulation and urban economic resilience—An empirical test based on 278 prefecture-level cities in China. Guizhou Soc. Sci. 2022, 11, 135–143. [Google Scholar] [CrossRef]
  80. Feng, H.Y.; Tang, X.M.; Li, Z.L. A study on the coupling coordination of natural resources and urbanization from the perspective of urban agglomeration coordinated development—A case study of the Beijing-Tianjin-Hebei urban agglomeration. Agric. Technol. 2022, 42, 108–113. [Google Scholar] [CrossRef]
  81. Wang, L.; Li, Z.; Xu, Z.; Yue, X.; Yang, L.; Wang, R.; Chen, Y.; Ma, H. Carbon emission scenario simulation and policy regulation in resource-based provinces based on system dynamics modeling. J. Clean. Prod. 2024, 460, 142619. [Google Scholar] [CrossRef]
  82. Chen, D.; Hu, W.; Li, Y.; Zhang, C.; Lu, X.; Cheng, H. Exploring the temporal and spatial effects of city size on regional economic integration: Evidence from the Yangtze River Economic Belt in China. Land Use Policy 2023, 132, 106770. [Google Scholar] [CrossRef]
  83. Yan, K.; Zhou, Q.; Gao, H.B.; Tian, J.P.; Chen, L.J. A study on the path of industrial parks from energy consumption double control to carbon emission double control. Environ. Sci. Res. 2024, 37, 1204–1214. [Google Scholar] [CrossRef]
  84. Ma, S.; Li, L.; Ma, X. Innovative cities: A literature review, research agenda, and conceptual framework. Environ. Sci. Pollut. Res. 2025, 25, 1–21. [Google Scholar] [CrossRef] [PubMed]
  85. Zhang, J.; Pan, X.; Sui, X.; Sun, J.; Wang, Y. Research on China’s Innovation Capability: Spatial and Temporal Evolution Characteristics and Influencing Factors Based on Spatial Perspective Analysis. Results Eng. 2025, 26, 104789. [Google Scholar] [CrossRef]
  86. Qin, B.; Yu, Y.; Ge, L.; Liu, Y.; Zheng, Y.; Liu, Z. The role of digital infrastructure construction on green city transformation: Does government governance matters? Cities 2024, 155, 105462. [Google Scholar] [CrossRef]
  87. Chen, H.; Dong, Y.; Li, H.; Tian, S.; Wu, L.; Li, J.; Lin, C. Optimized green infrastructure planning at the city scale based on an interpretable machine learning model and multi-objective optimization algorithm: A case study of central Beijing, China. Landsc. Urban Plan. 2024, 252, 105191. [Google Scholar] [CrossRef]
  88. Kong, L.Q.; Wang, M.L.; Yu, S.H. The impact of innovation-driven policies on total factor energy efficiency—An examination based on the national innovative city pilot policy. Resour. Sci. 2023, 45, 1884–1898. [Google Scholar]
  89. Xiaoyue, L.; Chuan, J.M. Talent agglomeration research within digital economy development: Trend analysis and research prospects. World, J. Adv. Res. Rev. 2024, 23, 302–315. [Google Scholar] [CrossRef]
  90. Li, J.; Xue, E.; Wei, Y.; He, Y. How popularising higher education affects economic growth and poverty alleviation: Empirical evidence from 38 countries. Humanit. Soc. Sci. Commun. 2024, 11, 520. [Google Scholar] [CrossRef]
  91. Ikram, M.; Sayagh, Y. The Consequences of COVID-19 Disruption on Sustainable Economy in the Top 30 High-Tech Innovative Countries. Glob. J. Flex. Syst. Manag. 2023, 24, 247–269. [Google Scholar] [CrossRef]
  92. Gong, Z.; Huo, X. Assessing the Impact of Regional Integration Strategies on the Development of Urban Green Economies: A Study Based on an Empirical Analysis of Ten Major Urban Agglomerations. Sustainability 2024, 16, 3258. [Google Scholar] [CrossRef]
  93. Bi, S.; Chen, M.; Tian, Z.; Jiang, P.; Dai, F.; Wang, G. Optimizing Urban Green Spaces for Air Quality Improvement: A Multiscale Land Use/Land Cover Synergy Practical Framework in Wuhan, China. Land 2024, 13, 1020. [Google Scholar] [CrossRef]
  94. Chu, Y.Y. A Study on the Impact of High-Speed Rail Opening on Urban Green Total Factor Productivity. Ph.D. Thesis, Shanghai University of Finance and Economics, Shanghai, China, 2023. [Google Scholar] [CrossRef]
  95. Li, S.; Wu, L. Can regional integration promote industrial green transformation? Empirical evidence from Yangtze River Delta Urban Agglomeration. J. Environ. Stud. Sci. 2024, 14, 117–134. [Google Scholar] [CrossRef]
  96. Yan, D.; Li, P. Can Regional Integration Reduce Urban Carbon Emission? An Empirical Study Based on the Yangtze River Delta, China. Int. J. Environ. Res. Public Health 2023, 20, 1395. [Google Scholar] [CrossRef] [PubMed]
  97. Wang, S.; Yang, Z.; Liu, H. Impact of urban economic openness on real estate prices: Evidence from thirty-five cities in China. China Econ. Rev. 2011, 22, 42–54. [Google Scholar] [CrossRef]
  98. Wang, Z.; Fu, H.; Liu, H.; Liao, C. Urban development sustainability, industrial structure adjustment, and land use efficiency in China. Sustain. Cities Soc. 2023, 89, 104338. [Google Scholar] [CrossRef]
  99. Peng, W.; Su, X.; Tang, Y. Spatial Evolution Characteristics and Influencing Factors of Urban Green Innovation in China. Chin. Geogr. Sci. 2025, 35, 234–249. [Google Scholar] [CrossRef]
Figure 1. PM2.5 Concentration in the Yangtze River Delta Region from 2004 to 2021.
Figure 1. PM2.5 Concentration in the Yangtze River Delta Region from 2004 to 2021.
Sustainability 17 03621 g001
Figure 2. Test for the randomness of policy implementation timing.
Figure 2. Test for the randomness of policy implementation timing.
Sustainability 17 03621 g002
Figure 3. Results before and after matching.
Figure 3. Results before and after matching.
Sustainability 17 03621 g003
Figure 4. Placebo test.
Figure 4. Placebo test.
Sustainability 17 03621 g004
Table 1. Index of regional market integration and sub-indices in the Yangtze River Delta.
Table 1. Index of regional market integration and sub-indices in the Yangtze River Delta.
201720182019202020212022
Overall Index110.5115.9119.8122.7127.9129.5
Demonstration and Leading Role109.5115.8119.7121.1123.1124.2
Innovative Co-construction112.8124.3130.1135.8146.8150.9
Coordinated Development101.6104.8112.2118.3125.4128.6
Openness and Mutual Benefit122.2130.3135.9139.6148.4152.0
Green Protection109.5107.3101.6103.8110.0106.8
Livelihood Sharing110.1112.9119.8121.4125.0126.6
Table 2. Entropy method calculation details.
Table 2. Entropy method calculation details.
VariableEntropyDifference CoefficientWeight
Exg0.93710.06290.3647
Waw0.93100.06700.4001
Sow0.95950.04050.2352
Table 3. Variable explanations.
Table 3. Variable explanations.
VariableSymbolDefinition
Urban Green Development LevelEnsScore calculated by the entropy method
Waste Gas Emission LevelExgAnnual sulfur dioxide emission of the city (ten thousand tons)
Waste Liquid Emission LevelWawAnnual sewage discharge of the city (ten thousand tons)
Solid Waste Emission LevelSowAnnual slag dust emission of the city (ten thousand tons)
Regional Integration Policy Dummy VariableTreatedInteraction term of policy implementation dummy variable and time dummy variable
Urban Population DensityLnPopLogarithm of the ratio of the total urban population (hundreds of people) to the total area of the region (square kilometers)
Urban Financial Development LevelFinLogarithm of the total amount of loans from financial institutions at the end of the year
Degree of Urban Opening Up to the Outside WorldOpeThe proportion of the city’s total import and export volume (ten thousand yuan) to GDP (ten thousand yuan)
Urban Industrial StructureLnIndLogarithm of the percentage of the secondary industry in the total industrial output value
Degree of Government InterventionGovThe proportion of urban fiscal expenditure (ten thousand yuan) to urban GDP (ten thousand yuan)
Urban Economic FoundationLnGDPLogarithm of the city’s GDP (ten thousand yuan) in the current year
Table 4. Descriptive statistics of variables.
Table 4. Descriptive statistics of variables.
VariableNMeanSDMinMax
Ens10450.1330.1100.0070.783
Exg104510.201.1985.82613.11
Waw10458.8730.9745.47611.48
Sow10451.6571.1830.1297.0531
LnPop10451.8290.1550.2233.13
LnInd10453.8880.1743.2454.410
Fin104516.681.36113.8120.69
Ope10450.4880.5880.0105.888
Gov10450.1340.0700.0431.485
lnGDP104516.761.03714.1719.92
Table 5. Baseline regression results.
Table 5. Baseline regression results.
VariablesEnsExgWawSow
(1)(2)(3)(4)
Treated−0.015 ***0.368 ***−0.149 ***−0.057 **
(0.004)(−0.065)(0.0436)(−0.045)
LnPop−0.011−0.080 ***0.203 *−0.0317
(0.011)(−0.027)(0.108)(0.112)
LnInd0.173 ***0.0746 ***0.961 ***0.106
(0.012)(−0.004)(0.123)(0.129)
Fin0.025 ***−0.615 ***−0.137 *0.177 **
(0.007)(−0.110)(0.0731)(0.0763)
Ope0.034 ***−0.190 ***−0.251 ***0.220 ***
(0.004)(−0.061)(0.0412)(0.0430)
Gov−0.04031.589 ***0.435−0.616 **
(0.027)(−0.403)(0.272)(0.284)
lnGDP−0.044 ***−0.2170.0440−0.421 ***
(0.009)(−0.142)(0.0945)(0.0987)
Constant−0.209 ***20.66 ***6.445 ***5.394 ***
(0.079)(−0.908)(0.795)(0.830)
YearYesYesYesYes
CityYesYesYesYes
N1045104510451045
R20.4720.4610.5380.441
Values in parentheses are standard errors, * p < 0.1, ** p < 0.05, *** p < 0.01.
Table 6. Mechanism testing results.
Table 6. Mechanism testing results.
VariablesInnovation Investment EffectIndustrial Upgrading EffectTalent Agglomeration Effect
(1)(2)(3)
Treated26.66 ***7.254 ***0.345 **
(8.616)(1.881)(0.141)
LnPop324.313.11 ***1.635 ***
(454.7)(4.640)(0.347)
LnInd−234.3 ***−61.46 ***−4.510 ***
(24.58)(5.316)(0.397)
Fin−92.75 ***−17.24 ***−1.621 ***
(14.97)(3.153)(0.236)
Ope−62.87 ***−18.26 ***−1.083 ***
(8.176)(1.777)(0.133)
Gov124.8 **25.32 **1.455 *
(53.82)(11.74)(0.877)
lnGDP92.45 ***20.95 ***1.945 ***
(19.00)(4.076)(0.305)
Constant404.4186.7 ***10.48 ***
(797.7)(34.30)(2.564)
YearYesYesYes
CityYesYesYes
N104510451045
R20.6240.5180.472
Values in parentheses are standard errors, * p < 0.1, ** p < 0.05, *** p < 0.01.
Table 7. Spatial spillover effects results.
Table 7. Spatial spillover effects results.
Variables(1) Main(2) LR_Direct(3) LR_Indirect(4) LR_Total
Treated−0.004 ***−0.016 ***−0.044 **−0.118 ***
(−9.06)(0.004)(−3.06)(−6.46)
LnPop−0.0260.007−0.055 *0.001
(0.025)(0.010)(0.034)(0.012)
LnInd0.244 ***0.066 ***0.204 ***0.095 ***
(0.019)(0.007)(0.016)(0.011)
Fin0.0805 **0.176 ***0.0805 **0.176 ***
(2.69)(5.42)(2.69)(5.42)
Ope0.034 *0.0340.034 *0.034
(2.12)(1.94)(2.12)(1.94)
Gov−0.164 **−0.320 ***−0.164 **−0.320 ***
(−2.86)(−4.67)(−2.86)(−4.67)
lnGDP0.011−0.0050.012−0.005
(0.18)−0.116 ***(0.17)−0.116 ***
Spatial Autoregressive Coefficient−1.250 ***---
(0.089)
W×treated−0.061 ***---
(−3.88)
sigma2_e0.011 ***---
(14.70)
YearYesYesYesYes
CityYesYesYesYes
N432432432432
R20.2180.2180.2180.218
Values in parentheses are standard errors, * p < 0.1, ** p < 0.05, *** p < 0.01.
Table 8. Heterogeneity analysis results (1).
Table 8. Heterogeneity analysis results (1).
VariablesUrban Geographical LocationUrban Resource Endowments
Eastern CitiesCentral CitiesResource-Based CitiesNon-Resource-Based CitiesUrban
(1)(2)(3)(4)
Treated−0.017 ***0.001−0.023 ***0.001
(0.006)(0.004)(0.006)(0.005)
LnPop−0.002−0.006−0.0170.011
(0.015)(0.008)(0.017)(0.010)
LnInd0.246 ***0.068 ***0.206 ***0.099 ***
(0.020)(0.008)(0.018)(0.013)
Fin0.046 ***−0.0020.022 **0.005
(0.011)(0.005)(0.010)(0.008)
Ope0.035 ***−0.0050.042 ***0.007
(0.005)(0.007)(0.005)(0.011)
Gov−0.050−0.108 ***−0.052−0.096 *
(0.035)(0.030)(0.033)(0.055)
lnGDP−0.064 ***−0.012−0.027 **−0.024 **
(0.014)(0.007)(0.013)(0.010)
Constant−0.500 ***0.065−0.559 ***0.017
(0.121)(0.067)(0.111)(0.091)
YearYesYesYesYes
CityYesYesYesYes
N680346688316
R20.5120.5470.6120.401
Values in parentheses are standard errors, * p < 0.1, ** p < 0.05, *** p < 0.01.
Table 9. Heterogeneity analysis results (2).
Table 9. Heterogeneity analysis results (2).
VariablesUrban SizeUrban Industrial Foundation
Small and Medium-Sized CitiesLarge CitiesOld Industrial Cities Non-Old Industrial Cities
(1)(2)(3)(4)
Treated−0.022 ***−0.001−0.018 **−0.016 ***
(0.007)(0.005)(0.009)(0.005)
LnPop−0.0230.005−0.057 *0.001
(0.025)(0.010)(0.034)(0.012)
LnInd0.262 ***0.081 ***0.087 ***0.182 ***
(0.021)(0.014)(0.025)(0.014)
Fin0.0100.007−0.0170.024 ***
(0.012)(0.008)(0.014)(0.008)
Ope0.039 ***0.014 **0.067 ***0.043 ***
(0.005)(0.007)(0.018)(0.004)
Gov0.002−0.184 ***−0.061−0.060 **
(0.036)(0.046)(0.095)(0.030)
lnGDP−0.011−0.021 **0.010−0.033 ***
(0.016)(0.011)(0.018)(0.011)
Constant−0.793 ***0.0120.016−0.430 ***
(0.146)(0.081)(0.198)(0.087)
YearYesYesYesYes
CityYesYesYesYes
N517423199758
R20.6170.4550.7240.533
Values in parentheses are standard errors, * p < 0.1, ** p < 0.05, *** p < 0.01.
Table 10. Heterogeneity analysis results (3).
Table 10. Heterogeneity analysis results (3).
VariablesDigital Infrastructure LevelEnergy Efficiency Level
Well-Developed InfrastructureLess-Developed InfrastructureLow EfficiencyHigh Efficiency
(1)(2)(3)(4)
Treated−0.163 ***−0.010−0.018 ***0.014
(0.061)(0.005)(0.004)(0.013)
LnPop−0.001−0.0040.1470.169 *
(0.003)(0.004)(0.091)(0.097)
LnInd0.0000.001 *0.090 ***0.103 ***
(0.001)(0.001)(0.014)(0.025)
Fin−0.0030.031 **0.009−0.015
(0.020)(0.012)(0.009)(0.013)
Ope0.060 ***0.011 *0.028 ***0.109 ***
(0.019)(0.006)(0.007)(0.010)
Gov−0.320 ***0.113−0.038−0.263 ***
(0.116)(0.084)(0.025)(0.097)
lnGDP0.0020.012−0.0110.013
(0.026)(0.021)(0.012)(0.018)
Constant0.227−0.541 *−0.447 ***−0.571 **
(0.479)(0.292)(0.166)(0.228)
YearYesYesYesYes
CityYesYesYesYes
N395562199448
R20.5130.4390.7260.577
Values in parentheses are standard errors, * p < 0.1, ** p < 0.05, *** p < 0.01.
Table 11. PSM-DID results.
Table 11. PSM-DID results.
VariablesNo Control VariablesPartial Control Variables(3) Full Control Variables
Treated−0.025 ***−0.050 ***−0.013 **
(0.007)(0.006)(0.006)
LnPop 0.088 ***0.036 **
(0.019)(0.017)
LnInd 0.167 ***0.057 ***
(0.017)(0.016)
Fin 0.035 ***−0.037 ***
(0.002)(0.008)
Ope 0.088 ***
(0.005)
Gov −0.051
(0.043)
lnGDP 0.078 ***
(0.010)
Constant0.142 ***−0.692 ***−0.884 ***
(0.004)(0.045)(0.059)
YearYesYesYes
CityYesYesYes
N104510451045
R20.4290.4410.469
Values in parentheses are standard errors, ** p < 0.05, *** p < 0.01.
Table 12. Robustness tests.
Table 12. Robustness tests.
VariablesControl for Education LevelRemove 2020 DataChange Dependent Variable
(1)(2)(3)
Treated−0.018 ***−0.014 ***−9.201 ***
(0.004)(0.004)(2.686)
LnPop0.005−0.012412.890 ***
(0.011)(0.011)(141.757)
LnInd0.157 ***0.175 ***66.159 ***
(0.013)(0.013)(7.663)
Fin0.016 **0.026 ***1.961
(0.007)(0.008)(4.667)
Ope0.041 ***0.032 ***2.372
(0.004)(0.004)(2.549)
Gov−0.059 **−0.04240.115 **
(0.027)(0.028)(16.777)
lnGDP−0.020 **−0.046 ***26.693 ***
(0.010)(0.010)(5.923)
Edu−0.003 ***
(0.001)
Constant−0.395 ***−0.187 **−656.0 ***
(0.076)(0.081)(132.5)
YearYesYesYes
CityYesYesYes
N10459901045
R20.5620.4610.651
Values in parentheses are standard errors, ** p < 0.05, *** p < 0.01.
Table 13. Truncated regression results.
Table 13. Truncated regression results.
VariablesRemove Outliers > 0.6Remove Outliers > 0.5
(1)(2)
Treated−0.162 ***−0.018 ***
(−0.017)(0.004)
LnPop0.036 **−0.001
(0.017)(0.003)
LnInd0.057 ***0.000
(0.016)(0.001)
Fin0.026 ***0.025 ***
(0.007)(0.007)
Ope0.021 ***0.010 **
(0.005)(0.005)
Gov−0.038−0.036
(0.026)(0.025)
lnGDP−0.046 ***−0.055 ***
(0.009)(0.009)
Constant0.373 ***0.441 ***
(0.062)(0.059)
N10371021
R20.4600.417
Values in parentheses are standard errors, ** p < 0.05, *** p < 0.01.
Disclaimer/Publisher’s Note: The statements, opinions and data contained in all publications are solely those of the individual author(s) and contributor(s) and not of MDPI and/or the editor(s). MDPI and/or the editor(s) disclaim responsibility for any injury to people or property resulting from any ideas, methods, instructions or products referred to in the content.

Share and Cite

MDPI and ACS Style

Chen, S.; Du, Y.; Liu, Y. Regional Integration and Urban Green and Low-Carbon Development: A Quasi-Natural Experiment Based on the Expansion of the Yangtze River Delta Urban Agglomeration. Sustainability 2025, 17, 3621. https://doi.org/10.3390/su17083621

AMA Style

Chen S, Du Y, Liu Y. Regional Integration and Urban Green and Low-Carbon Development: A Quasi-Natural Experiment Based on the Expansion of the Yangtze River Delta Urban Agglomeration. Sustainability. 2025; 17(8):3621. https://doi.org/10.3390/su17083621

Chicago/Turabian Style

Chen, Shang, Yuanhe Du, and Yeye Liu. 2025. "Regional Integration and Urban Green and Low-Carbon Development: A Quasi-Natural Experiment Based on the Expansion of the Yangtze River Delta Urban Agglomeration" Sustainability 17, no. 8: 3621. https://doi.org/10.3390/su17083621

APA Style

Chen, S., Du, Y., & Liu, Y. (2025). Regional Integration and Urban Green and Low-Carbon Development: A Quasi-Natural Experiment Based on the Expansion of the Yangtze River Delta Urban Agglomeration. Sustainability, 17(8), 3621. https://doi.org/10.3390/su17083621

Note that from the first issue of 2016, this journal uses article numbers instead of page numbers. See further details here.

Article Metrics

Back to TopTop