Next Article in Journal
Outdoor Education for Sustainable Development: A Systematic Literature Review
Previous Article in Journal
Research on the Modification of the Coal Pore Structure by Indigenous Microbial Degradation
 
 
Font Type:
Arial Georgia Verdana
Font Size:
Aa Aa Aa
Line Spacing:
Column Width:
Background:
Article

Laboratory Testing of Resilience Effects of Water Microgrids for Sustainable Water Supply

School of Civil, Environmental and Infrastructure Engineering, Southern Illinois University, 1230 Lincoln Drive, Carbondale, IL 62901, USA
*
Author to whom correspondence should be addressed.
Sustainability 2025, 17(8), 3339; https://doi.org/10.3390/su17083339
Submission received: 26 February 2025 / Revised: 3 April 2025 / Accepted: 7 April 2025 / Published: 9 April 2025

Abstract

Traditional centralized water systems are facing sustainability challenges due to climate and socioeconomic changes, extreme weather events, and aging infrastructure and their uncertainties. The energy sector has addressed similar challenges using the microgrid approach, which involves decentralized energy sources and their supply, improving system resilience and sustainable energy supply. This study investigated the resilience effects of water microgrids, which feature operational interactions between centralized and local systems for sustainable water supply. A lab-scale water distribution model was tested to demonstrate centralized, decentralized, and microgrid water systems under the disruption scenarios of pump shutdown, pump rate manipulation, and pipe leaks/bursts. The water microgrids integrate centralized and local systems’ operations, while the decentralized system operates independently. Then, functionality-based resilience and its attributes were evaluated for each disruption scenario. The results reveal that, overall, the microgrid configuration, with increased water supply redundancy and flexible operational adjustment based on system conditions, showed higher resilience, robustness, and recovery rate and a lower loss rate across disruption scenarios. The resilience effect of water microgrids was more evident with longer and more severe disruptions. Considering global challenges in water security under climate and socioeconomic changes, the findings suggest insights into a hybrid water system as a strategy to enhance resilience and water use efficiency and provide adaptive operations for sustainable water supply.

1. Introduction

Recently, significant attention has been given to a decentralization strategy for water systems to tackle the sustainability challenges due to climate and socioeconomic changes [1,2,3,4]. As an implementation of the decentralization strategy, the concept of microgrids has emerged as an infrastructure option to address water service challenges in a resilient and sustainable way [5,6,7]. The concept of microgrids has been established and developed in the energy (power) supply sector, which faces service challenges similar to those in water systems [8]. Microgrids are intentional islands formed at a facility or in an electrical distribution system that contains at least one distributed energy resource and associated loads [9]. They can generate, store, and distribute electricity based on the operational needs of local communities and supplement the main grid during peak demand [8]. Microgrids can function in hybrid, islanded, and grid-connected modes [10]. When microgrids are in grid-connected mode, they are linked to the main power grid and can import or export electricity as needed. In islanded mode, each microgrid generates, stores, and distributes electricity locally using the distributed energy resources, functioning independently of the main grid. Depending on the main grid’s dependability and availability, microgrids can function in both grid-connected and islanded modes when in hybrid mode [11].
The microgrid approach in the energy sector has become popular as a sustainable solution for dealing with the increasing number of power outages caused by disruptive events, like severe weather conditions. Although microgrids have traditionally been found in places with clear boundaries, such as military installations or colleges, they are now being used in centralized power distribution systems. They have the potential to enhance energy resilience, integrate renewable energy, and reduce energy costs and environmental impact, making them one of many tools for addressing sustainability and resilience issues [8]. The development of microgrids can lead to economic, environmental and social benefits compared to the conventional power generation system [12].
Like electricity, water is one of the critical resources for our society, yet its delivery still relies on traditional large-scale centralized systems. These systems collect and treat source water, typically fresh surface water or groundwater, and distribute it to the users through a single, large distribution network [13]. However, similar to central electrical distribution systems, centralized water distribution systems (WDSs) are experiencing challenges in ensuring sustainable water delivery because of disruptive failure events and severe weather conditions. Examples include widespread pipe bursts due to freezing temperatures [14], water crises [15], water supply disruptions due to climate change [16], and cyberattacks on water systems [17]. Given the similar vulnerability of water and energy sectors to catastrophic events, the application of the microgrid concept to WDSs can offer a resilience strategy to address the challenges in sustaining water supply service under climate and socioeconomic changes.
Similar to energy microgrids, water microgrids are structured as a network of networks that can operate independently of an existing centralized system and include an information link that provides the necessary monitoring and control to create interactive operation with the centralized system. Individual water microgrids at the local scale can perform all of the features of a centralized water system. Water microgrids supply water from both the existing centralized water sources and diverse/distributed local sources, such as rainwater, storm water, or reclaimed wastewater, which are typically produced by water recycling and reuse as a sustainability option. The local water sources enhance water supply redundancy within water microgrids, serving as supplementary water during peak demand or backup during emergencies. Depending on users’ purpose, water microgrids can treat local water to meet either potable or non-potable quality. Local water tanks storing the treated water should have sufficient capacity to function as a buffer system, balancing quantitative and timing variations between local water production and demand while sustaining continuous water supply during normal and disrupted conditions. Stored water is conveyed through a separate series of pipelines, valves, and pumps. To meet critical water demand during disruptive events, water microgrids also feature an automation architecture. This establishes a communication link with the centralized system for real-time system monitoring (e.g., anomaly detection and localization) and control (increasing local water supply during pump/valve failure or pipe bursts). For instance, real-time monitoring with smart meters and sensors enables water microgrids to rapidly detect pipe bursts/leaks and implement emergency actions, such as valve closure or pump operational change through remote controls.
Adopting all of the above-mentioned characteristics, water microgrids can operate in centralized, decentralized, and hybrid supply system modes. In centralized system operation, water microgrids perform as a central water supply system with an existing centralized water source. The decentralized system can collect, treat, store, and distribute water using locally available water resources and can operate independently of the centralized system. Based on the varying water availability of the centralized and local systems, water microgrids can operate in a hybrid mode, employing the interactive operations of local water systems with the centralized system at various scales.
Compared to energy (electricity) microgrids, the concept and application of microgrids in the water sector has been less explored and investigated, despite the potential sustainability benefits over conventional centralized systems. Integrating a microgrid approach into an existing WDS requires careful study and planning to effectively enhance resilience, sustainability, and efficiency while minimizing capital and operational costs and complex controls.
There have been few studies on the application of microgrids in the water sector. Falco and Webb [5] suggested challenges to implement water microgrids by conceptually comparing water infrastructure and energy microgrids; however, they did not provide quantitative analyses specific to water microgrids. They reviewed the generation, storage, and distribution of electricity in energy microgrids and investigated parallel benefits for its application in water systems. Their study suggested further exploration of microgrid configurations in water systems to meet sustainability requirements with resiliency. The lack of research and practice regarding water microgrids highlights the need to evaluate the effects of physical water microgrids that demonstrate their resilience and complex operations for sustainable water supply services under disruptions. Cejudo et al. [6] developed a report on water microgrids, introducing key components, characteristics, scales, and grid-connected and islanded operation modes, and discussing insights into water microgrid management from the perspective of the water–energy–climate nexus. The study presented microgrids as an attractive solution for enhancing resilience and ensuring sustainable water supply during natural disruption and climate-related challenges. It also emphasized that proper planning, design, and maintenance are crucial for their effective implementation and presented design and operation factors for implementing water microgrids, such as maintenance, regulations, utility restoration, curtailment plans, emergency planning, and community engagement. However, while existing studies have presented water microgrids conceptually, they are limited in their understanding of the practical implementation of water microgrids and the quantitative effects of their resilience to disruptions to ensure a sustainable water supply.
The microgrid approach employs water or energy supply from distributed local sources in tandem with an existing centralized WDS. Thus, water microgrids have a similar configuration to decentralized WDSs. The decentralization strategy for water supply, which involves distributed alternative water sources through water reuse or recycling, has gained attention for enhancing water availability, reducing the burden on centralized WDSs, ensuring emergency use, and improving water security [3,18,19]. In this context, there have been extensive studies focusing on decentralized WDSs, while quantitative studies on water microgrids remain limited. However, the previous studies focusing on decentralized systems have primarily considered alternative water supply at the building scale, which can suggest a limited understanding of how the interactions between centralized and decentralized systems (hybrid systems) contribute to sustaining system performance under disruptions.
Leigh and Lee [2] highlighted that the integration of decentralization technologies in conventional systems offers more efficiency, robustness, and adaptability, and this transition should be tested on a small scale to build political support and public acceptance. Sapkota et al. [20] developed a framework of hybrid water systems that significantly reduced potable water demand and wastewater flow. Liu et al. [4] found that hybrid wastewater treatment and reuse showed better performance and resilience under various disruptions, highlighting the need to reassess traditional water systems and hybrid configurations as an alternative approach. In this context, this study investigates the resilience effects of the microgrid concept with operational interactions between centralized and decentralized systems to ensure sustainable water supply during disruptions. A lab-scale WDS was demonstrated to evaluate and compare the resilience effects of centralized, decentralized, and microgrid (hybrid) configuration options under various disruptive scenarios.
The major contributions of this study are (1) serving as a crucial foundation for the quantitative evaluation of water microgrids from a resilience perspective for sustainable water supply; (2) demonstrating a physical lab-scale model of water microgrids and offering empirical insights into system performance under disruptions; and (3) providing discussions and insights on incorporating the microgrid approach into existing WDSs. This study holds significant importance, as it presents a sustainable infrastructure solution to the growing global challenges of water security and infrastructure management, driven by climate and socioeconomic changes, infrastructure aging, and energy and financial constraints. By demonstrating how the microgrid approach can enhance water system resilience to disruptions, it provides a practical approach for regions facing water service challenges related to water scarcity, severe droughts, water infrastructure investment and expansion, and increasing water demand. This aligns with global sustainability efforts, particularly the United Nations’ Sustainable Development Goal 6, which aims to ensure the availability and sustainable management of water and sanitation for all.

2. Materials and Methods

To dynamically demonstrate centralized, decentralized, and microgrid WDSs under various disruption scenarios, this study built a physical lab-scale model of a WDS. The configuration of the lab-scale WDS model was inspired by the C-town WDS [21]; however, it consisted of four DMAs (district metered areas) with centralized and local water sources, pipes, valves, pumps, and demand nodes (Figure 1). Sensors were installed into the model to measure water flow and pressure, which were used to quantify the performance (resilience) of the WDS under various disruptions. Below is a summary of the key features of the lab-scale model:
  • The system consists of four DMAs, each equipped with local water storage and supply components. The centralized system includes 1 centralized tank, 2 pumps in series, 27 pipes, and 13 valves, while the local system has 2 local sources and operates through a gravity-driven supply with 4 water tanks, 8 pipes, and 8 valves.
  • The physical configuration of the lab-scale model integrating both the centralized and local systems represents a decentralized WDS model In microgrid operation, the system integrates centralized and local elements through information and control rather than additional physical infrastructure. If the overall system’s water supply performance is disrupted, the centralized and local water systems dynamically adjust their operations in water supply amount and timing.
  • In normal conditions, the centralized system mainly supplies water, while the local system provides partial support. During emergencies or peak demand periods, the local system’s contribution increases or serves as a backup.
  • The interactive operation between centralized and local water systems allows for trade-offs in their water supply portions and timing, based on varying demand levels and supply disruptions.
Figure 1. The lab-scale WDS model: (a) top view photo; (b) schematic representation.
Figure 1. The lab-scale WDS model: (a) top view photo; (b) schematic representation.
Sustainability 17 03339 g001

2.1. Network Layout

As shown in Figure 1a, the lab-scale WDS model consisted of the existing centralized (central) system and local system. The centralized system represented four DMAs, and its size was 8 ft long and 8 ft wide, with 36 ft in total pipe length. It comprised a main source tank and distribution section connected by a supply line. The source tank supplied pressurized water to the distribution pipelines. The distribution section consisted of twenty 3/4-inch PVC pipes assembled in a square loop topology. Each DMA had a 2 to 2.5 ft long branch pipeline to simulate demand. The DMAs were configured into square loops. Each DMA was 2 ft long and 2 ft wide. The entire setup was raised to a height of 2.5 ft from the ground.
The local system consisted of two water sources at ground level and four elevated cylindrical water tanks. Therefore, each of the four DMAs received local water partially or as a backup from its respective local water tank, depending on the system operating conditions. PVC pipes (3/4 inch) were fitted in the water tanks to deliver the water to each DMA. Each DMA had a length of 5 ft 2 inches of pipeline, adding up to a total of 20 ft 8 inches of pipeline in the local system. Similar fittings to those in the centralized system were used.
Water was pumped through a 12-inch diameter pipe into the centralized system, which included two pumps, a source tank (140-gallon plastic tank), and a supply pipeline. Two speed variable centrifugal pumps were used to supply water from the tank to the distribution pipelines. The two pumps operated in series, adjusting their pump speeds to control the water flow rate and pressure levels in the central WDS.
Two 21-gallon plastic tanks were used as local water sources in the local system for decentralization. The local water was supplied from these sources to four cylindrical tanks (10-inch diameter and 20 inches high) elevated at a height of 4 ft by the pumps, which had similar features to the ones in the central system. Water from these local tanks was supplied to the respective DMAs by gravity.

2.2. Sensors and Data Acquisition

A total of 18 sensors were deployed in the central system of the lab-scale WDS model, consisting of 9 flow sensors and 9 pressure sensors. The local system had four flow sensors and four pressure sensors, each installed at the local water demand nodes. The sensors were selected based on their easy interface with microcontrollers such as Arduino, working range, and enough precision required for this study. These sensor specifications made them applicable to measuring the flow and pressure levels with the required resolution and precision. The sensors were located at every entry and exit (demand nodes) of the DMAs.
Data from all the flow and pressure sensors were recorded using three Arduino boards, which were connected to the sensors. All the sensory data were recorded at one-second intervals to capture meaningful trends and time efficiency and to reduce noise effects.

2.3. WDS Operation Options

This study examined three operational configurations of the lab-scale WDS: (1) a completely centralized water system (CT-WDS), (2) a decentralized water system without operational interactions between the central and local water systems (DC-WDS), and (3) a water microgrid system with central–local system interactions (MG-WDS). The local water system was assumed to supply potable or non-potable water produced from rainwater harvesting, recycled greywater, or reclaimed wastewater.
The CT-WDS option represents the conventional, existing WDSs that rely on a single central water source. The performance of this option was used as a reference to compare the resilience effects of the decentralized and hybrid water systems in this study. The DC-WDS option incorporates local water systems into the existing central WDS. This option supplies a fixed amount of water at predetermined times, regardless of the overall WDS’s water supply performance. It does not consider operational flexibility in adjusting the amount and timing of water supply from local sources in the case of physical and operational failures in the system. The MG-WDS option has a physical configuration similar to the DC-WDS but allows for the operational flexibility of local water systems to support the central water system depending on the system’s physical (e.g., pipe bursts) and operational (e.g., cyberattacks or peak demand periods) conditions. Such operational interactions can enhance water supply efficiency under normal conditions and minimize water supply losses during disruptions to ensure sustainable water services.
This study considered varying water demand during non-peak and peak hours in demonstrating the lab-scale WDS model. The time variation of the water demand was assumed, as shown in Figure S1 in the Supplementary Materials.

2.4. Disruption Scenario Configuration

This study introduced four disruptive event scenarios for a WDS: pump shutdown, pump rate manipulation, and pipe leaks/burst with or without the isolation of disrupted DMAs, which represent physical and operational failures, and evaluated the resilience of the CT-WDS, DC-WDS, and MG-WDS options. Such disruptions can arise from various causes; for example, pump shutdown can result from power outages or man-made and natural disasters (e.g., earthquake). Cyber–physical attacks manipulating sensor readings, communication links, or system control can lead to both pump shutdown and pump rate manipulation [22]. Pipe leaks/bursts can occur due to freezing in extreme cold weather, physical deterioration with aging, or natural disasters [23]. The specifications of the disruptive event scenarios are presented in Table 1.
For all disruption scenarios, both the DC-WDS and MG-WDS options supply 70% of the total water demand from the central water system and 30% from the local system under normal operating conditions [24]. During disrupted conditions, the MG-WDS option increases the local water supply from 30% to 40% to minimize water supply losses, while the DC-WDS option maintains the same supply ratio in the normal operating conditions.
Here, this study also incorporated a more complex interactive operation between the central and local water systems for the relatively longer disruption (8 h) in the pipe leaks/bursts scenario, as shown in Figure S6. For example, when severe pipe leaks or busts occur in a DMA with delayed isolation or emergency actions, the following operational adjustments can be made:
(1)
The local water supply in the disrupted DMA increases from 30% to 50% until the local water is exhausted. Other DMAs in normal conditions maintain their original water supply portions between the central and local water systems.
(2)
Once local water is depleted in the disrupted DMA, the central supply increases from 70% to 80% to minimize the losses of water supply and pressure. To compensate for the increased central water supply to the disrupted DMA, other DMAs reduce their central supply from 70% to 60% while increasing their local supply from 30% to 40%.

2.5. Resilience Evaluation

This study employed a functionality-based measure to evaluate the resilience of the CT-WDS, DC-WDS, and MG-WDS options under the disruptive event scenarios in Table 1. The functionality-based resilience measure has been widely adopted in evaluating various water systems’ resilience because it can provide a comprehensive evaluation of systems’ withstanding, absorptive, adaptive, and restorative capabilities based on the time variation of system functionality before, during, and after disruptions (Figure 2) [22,25].
Further details for the functionality-based measure can be found in [25]. The mathematical metric for the functionality-based resilience is represented as follows:
R = t d t r F ( t ) d t t d t r F N ( t ) d t
where F ( t ) is the functionality at time t; t d is the start time for disruption; t r is the recovered state time; and F N is the functionality under normal conditions. The functionality can be considered as a system performance of interest, e.g., the ratio of supplied water to water demand [26]. Its value is estimated as a normalized value between 0 and 1 (or 100%), calculated as the ratio of the system performance in a disrupted condition to that in a normal condition. The functionality level is 100% under normal conditions, while it decreases below 100% during disruptions and can drop to the lowest possible level of functionality ( F m i n ). This study defined the functionality as the supplied water demand compared to the water demand in normal conditions.
Meanwhile, evaluating WDS performance using a single resilience measure can suggest limited information for decision making on resilience-based strategies. This is because resilience is a complex concept characterized by its various attributes, e.g., robustness (minimizing system losses), resourcefulness (recovery resource availability), redundancy (alternative resources), rapidity (rapid recovery), failure duration (total time period of disruption), and rate of functionality degradation [22,26,27]. From an engineering perspective, identifying week resilience attributes and implementing strategies addressing the week attributes will contribute to effectively enhancing WDS resilience. In this regard, this study considered robustness (the minimum level of functionality during disruption, RS), the loss rate (the average rate of functionality drop during disruption, LR), and the recovery rate (the average rate of functionality recovery, RR) as the resilience attributes. The metrics for the attributes were adopted from those used in [26,28]. The equations for each resilience attribute metrics are summarized in Figure 2.

3. Results and Discussions

This study investigated the resilience and attributes of a WDS in centralized, decentralized, and microgrid options using a laboratory test of its physical model. Quantitative evaluations were performed for CT-WDS, DC-WDS, and MG-WDS options under disruptive events, including pump shutdown, pump rate manipulation, and pipe leaks/bursts. The findings characterize the resilience and attributes of different WDS configurations and operations to the disruptions.

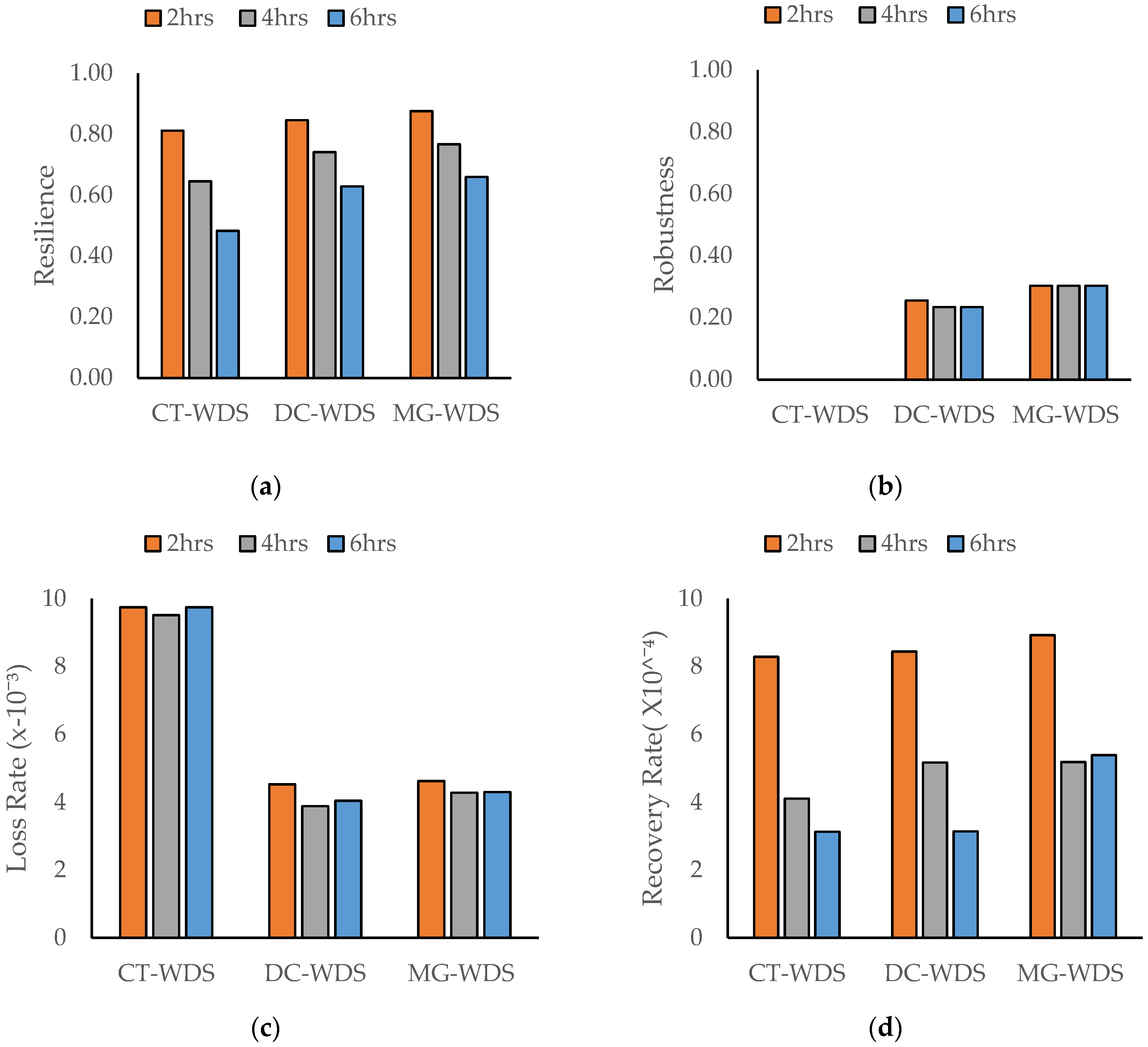
3.1. A Microgrid System Is More Resilient to Pump Shutdown

The performances of the CT-WDS, DC-WDS, and MG-WDS options were tested using a physical lab-scale WDS model under disruptions due to pump shutdown over 2 h, 4 h, and 6 h. Figure 3 presents the results from the evaluation of their resilience, robustness, loss rate, and recovery rate. As observed in Figure 3a, the DC-WDS and MG-WDS options showed higher resilience to disruption from the central main pump shutdowns, compared to the CT-WDS option. This is attributed to increased redundancy in water supply with local water sources. During the pump shutdown, the central system failed to feed water into the distribution network. However, the DC-WDS and MG-WDS options sustained the water supply for a portion of the demand through local water supply. This led to lower losses in water supply and rapid recovery from the less disrupted functionality state than the CT-WDS option, which represents the characteristics of a resilient system.
The higher resilience of DC-WDS and MG-WDS was well captured through the resilience attributes. Figure 3b shows that the CT-WDS option produced the lowest robustness. Notably, during the shutdown of the central main pump, the functionality of the CT-WDS option dropped to zero robustness. This is because the CT-WDS option relies on a single pump, which failed to feed water during the shutdown, while no local or backup water sources were available. Figure 3c,d show that the CT-WDS option had a higher loss rate and a lower recovery rate than the other options. This illustrates that the CT-WDS option rapidly lost its functionality during disruption and took more time to recover. Therefore, the DC-WDS and MG-WDS options are more resilient configurations of a WDS during pump shutdown.
Figure 3a also shows that the MG-WDS option demonstrated higher resilience than DC-WDS. Although their difference is not substantial, the resilience attributes also clearly follow a similar trend. This is because, unlike DC-WDS, which supplied a fixed amount of local water regardless of the operational conditions of the centralized system, the MG-WDS options adjusted the local water supply based on the central system’s condition and, in turn, further mitigated water supply loss. Therefore, the coordination of centralized and local water systems with their interactive operations can enhance resilience.
Meanwhile, Figure 3 shows that the overall resilience of the three WDS options decreased as the duration of disruption from pump shutdown increased. The DC-WDS and MG-WDS options can offer water supply redundancy to compensate for the water supply loss; however, their effect is limited during long-term disruptions. This is because longer failures or disruptions can exceed the systems’ ability to redistribute water through local water systems, e.g., local water availability can be depleted due to limited storage. However, as observed in Figure 3a, the rate of resilience decline was lower in DS-WDS than in CT-WDS and the lowest in MG-WDS. Therefore, more distributed and multiple local sources in a water microgrid can help mitigate the resilience loss during longer-term disruptions.

3.2. A Microgrid System Can Handle Pump Rate Manipulation More Effectively

The resilience and its attributes under disruptions due to pump rate manipulation were evaluated and compared for the CT-WDS, DC-WDS, and MG-WDS options. Figure 4 presents the resilience levels of the three WDS options under pump rate manipulation scenarios, with reductions of 8%, 13%, to 22%. Overall, the resilience levels were higher than in the pump shutdown scenario, as pump rate manipulation disrupts system operations rather than causing a complete failure in water supply (e.g., no water supply due to pump shutdown). It is also noted that the CT-WDS option had the lowest resilience, and the MG-WDS option showed the highest resilience. Similar to the pump shutdown scenario, this is because of the absence of redundant water sources in the CT-WDS option to compensate for the water supply loss of the central water system from the reduction of the pump rate. Redundant local water sources, including back-up water sources, can help maximize the robustness (Figure 4b) by reducing the deviation in water supply service levels from the required levels. In addition, as observed in Figure 4a, while the DC-WDS and MG-WDS options have similar configurations, the MG-WDS option outperformed DC-WDS in resilience. This implies that the operational adjustment in the local system depending on central water system conditions enhances the resilience of MG-WDS. This resilience effect of MG-WDS will be greater in large-scale and complex WDSs [29].
The analysis of resilience attributes highlights the performance differences among the three WDS options more clearly. Figure 4b–d present the robustness, loss rate, and recovery rate for the WDS options. The robustness of CT-WDS was 11% lower than the DC-WDS and 16% lower than the MG-WDS when the pump rate was reduced by 22%. A similar trend continued during the pump rate reductions of 13% and 8%. It is noted in Figure 4 that the CT-WDS option lost its functionality rapidly during pump rate reduction and took more time to recover from the disruption, which produced the lowest resilience. Therefore, the CT-WDS option is a WDS configuration more vulnerable to the disruption from pump rate manipulation (which can be caused by cyber–physical attacks or pump malfunction), while the MG-WDS option is a more resilient approach, with low functionality drop and a high recovery rate.
Additionally, as the manipulation rate (the reduction rate of pump rate) increased, the resilience effect of the MG-WDS option was more evident compared to the CT-WDS option, as shown in Figure 4b–d. This implies that the MG-WDS option with operational adjustment in the local water supply can enhance resilience more effectively than the CT-WDS and DC-WDS options, as the pump manipulation rate was higher.
Reductions in the pump rate by malicious manipulation can lower energy consumption but can also reduce service reliability [30], increase the risk of water quality degradation [31], lead to failure to supply adequate water throughout the service periods [32], and increase the vulnerability to secondary attacks [33]. Therefore, resilience to pump rate manipulation, especially caused by cyber–physical attacks, can be further increased to ensure sustainable water supply if the water microgrids strengthen early warning and anomaly detection capabilities, i.e., cyber–physical water microgrids [22,25].

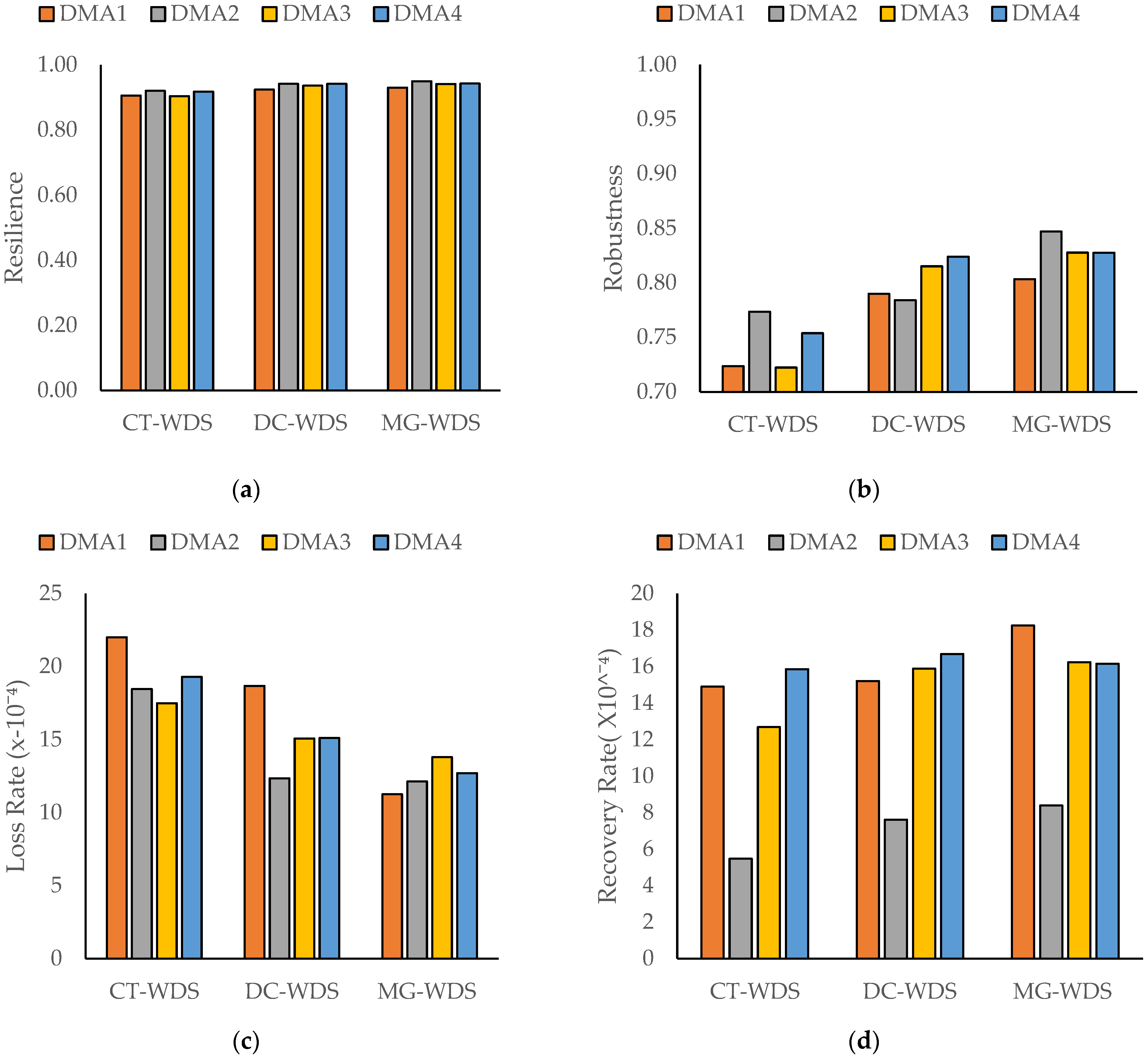
3.3. Flexible Operational Adjustment Between Centralized and Local Systems Can Enhance Resilience to Pipe Leaks/Bursts

Pipe leaks/bursts are common in WDSs, particularly in aging infrastructure. Continuous leaks/bursts without emergency actions can lead to substantial water loss, pressure imbalance, and service outages. Figure 5 shows the resilience and its attributes of the CT-WDS, DC-WDS, and MG-WDS options under disruption due to pipe leaks/bursts in each of the four DMAs. As observed in Figure 5a, the MG-WDS option demonstrated higher resilience, while CT-WDS showed the lowest resilience. The higher resilience of MG-WDS, as previously discussed, is attributed to the availability of redundant local water sources, alternative pipe routes, and the operational adjustment of the local system based on the central system’s conditions. Figure 5a also shows that relatively lower resilience was produced when pipe leaks/bursts occurred in DMA 1 and DMA 3, which have relatively higher water demand, although the difference is small. Therefore, it is noted that implementing a microgrid that integrates local water sources and supply into the existing centralized system can enhance resilience to pipe leaks/bursts, particularly in high-demand DMAs.
Similar to the disruption scenarios discussed previously, Figure 5b–d also show that the MG-WDS option had a higher robustness and recovery rate and a lower loss rate than the CT-WDS option, which aligns with the resilience evaluation results in Figure 5a. Therefore, even in the absence of emergency actions or pipe isolation, the microgrid configuration and its flexible, interactive operations between central and local systems can contribute to enhancing resilience to disruptions under pipe leaks/bursts.
Meanwhile, Figure 5e illustrates the resilience of the DC-WDS and MG-WDS options to pipe leaks/bursts in DMA 2 for 4 h and 8 h durations. As expected, the resilience decreased with longer disruption durations; however, the decline was less significant in MG-WDS compared to DC-WDS. Notably, in the 4 h pipe leaks/bursts scenario, the MG-WDS option employed a simple operation adjustment—an increase in local water supply from 30% to 40% when the central system was disrupted—representing a passive operational interaction. On the other hand, the 8 h scenario incorporated more complex operational adjustment considering local water availability—an active operational interaction (see Section 2.4). This highlights that a flexible operational adjustment strategy, considering the operational conditions (e.g., water availability and losses and operation time) of central and local systems can contribute more effectively to enhancing resilience. Figure 5f also compares the resilience of MG-WDS with the active operational adjustment to the DC-WDS option under the 8 h pipe leaks/bursts scenario. Compared to Figure 5a, Figure 5f notes that MG-WDS, with the active operational adjustment, demonstrated greater effectiveness in enhancing resilience than DC-WDS and MG-WDS, with passive operational interaction.

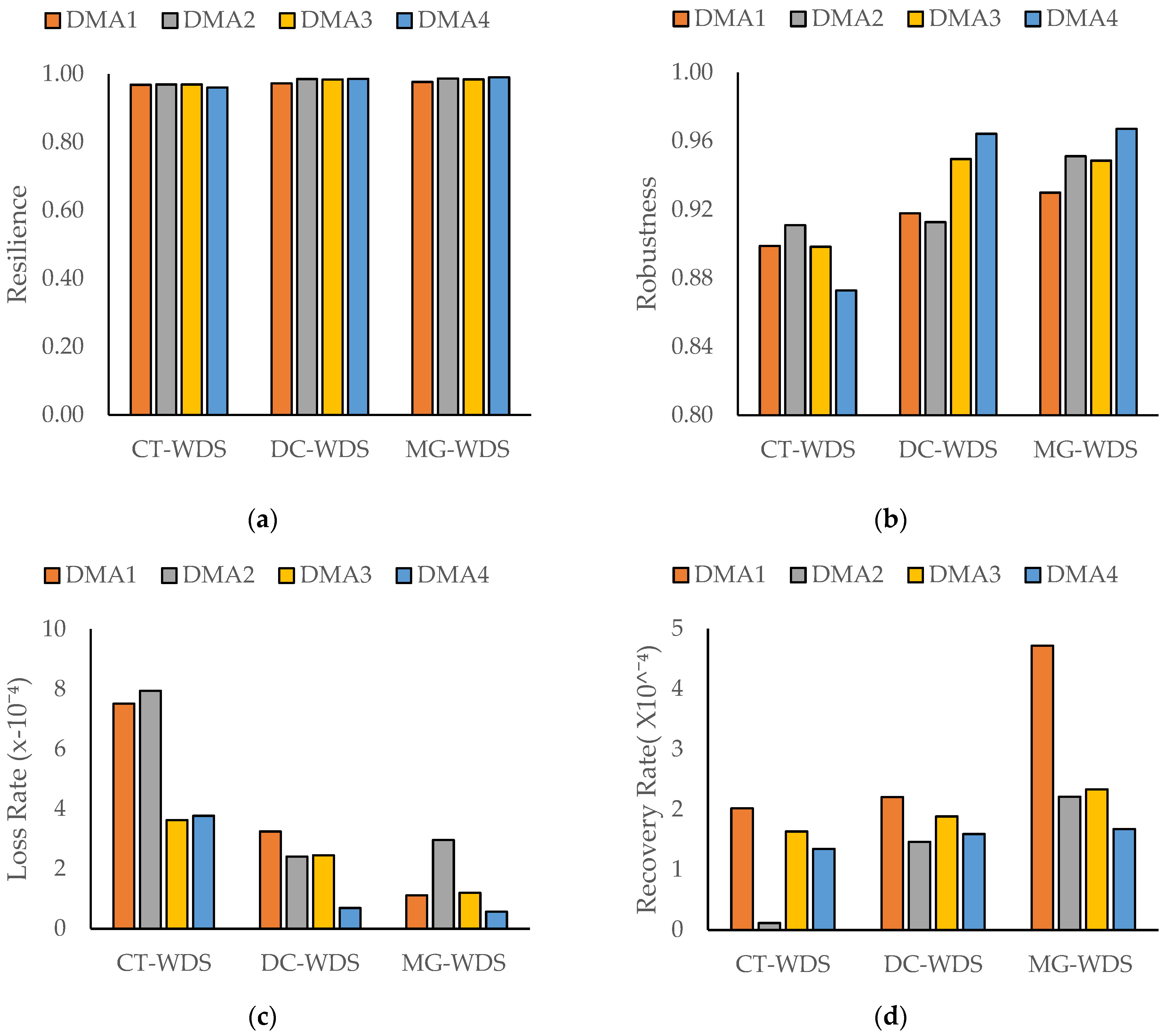
3.4. Water Microgrids Can Mitigate Water Service Loss in Isolated Areas Due to Pipe Leaks/Bursts

When a pipe bursts, the first emergency action is to shut off the nearest valve to isolate the break area and prevent further water loss. In this context, this study analyzed the resilience and its attributes for CT-WDS, DC-WDS, and MG-WDS under pipe leaks/bursts, incorporating an operational strategy that isolate the disrupted DMA, as shown in Figure 6. It is noted that the DC-WDS and MG-WDS options incorporating local water supply showed higher resilience than CT-WDS. Once the disrupted DMA with pipe leaks/bursts is isolated, no water is supplied to the isolated area, and the leak/burst flows are stopped [34]. In this case, DC-WDS and MG-WDS could partially supply water to the isolated DMA from local water sources, which mitigated a significant drop in resilience (Figure 6a) and robustness (Figure 6b). However, CT-WDS could not provide water to the isolated DMA because it relies solely on the central water source in the water supply, which resulted in lower resilience and robustness, as shown in Figure 6. In addition, MG-WDS demonstrated slightly higher resilience than DC-WDS due to its operational adjustments, which increased the portion of the local water supply during disruption. Therefore, compared to a WDS with a local water system operating independently from its existing centralized system, the implementation of operational adjustment strategies considering the operating conditions of both central and local water systems can enhance resilience and robustness when the water supply to an isolated area is disrupted due to pipe leaks/bursts.
Meanwhile, similar to the resilience evaluation results (Figure 6a), the robustness and recovery rate of CT-WDS were lower and the loss rate was higher than those of DC-WDS and MG-WDS, as no water was supplied to the isolated DMA (Figure 6b–d). Typically, valve closure in a disrupted area can unintentionally disconnect other adjacent areas from their water sources, i.e., unintended isolated regions [34]. In this regard, isolating a disrupted area due to pipe leaks/bursts may result in lower resilience, reduced robustness and recovery rates, and higher loss rates than those demonstrated in this study. Therefore, incorporating local water systems into the existing centralized system with operational adjustments based on system-operational conditions—the microgrid approach—can enhance the resilience attributes and, in turn, ultimately improve resilience and contribute to sustainable water supply under disruptions.

4. Conclusions

As a water sustainability strategy, alternative water sources based on water reuse and recycling and their distributed supply based on a “fit-for-purpose” approach have gained attention over the last decade. However, various disruptive events, such as natural and man-made disasters, cyber–physical attacks, and infrastructure aging, pose challenges to sustainable water supply in both the short and long term. In this regard, this study applied the microgrid approach to a WDS as a resilience strategy against such disruptions. A lab-scale physical WDS model was developed to demonstrate centralized (CT-WDS), decentralized (DC-WDS), and microgrid (hybrid, MG-WDS) system operations and was tested through various disruptive scenarios (pump shutdown, pump rate manipulation, and pipe leaks/bursts). The overall results from the evaluation of functionality-based resilience and its attributes (robustness, loss rate, and recovery rate) suggest that the microgrid approach, with decentralized local water sources and operational interactions with the existing centralized system, enhanced resilience more effectively than the conventional CT-WDS and DC-WDS, contributing to sustainable water supply during disruptions. The primary takeaways from this study are as follows:
  • MG-WDS demonstrated higher resilience than CT-WDS and DC-WDS by sustaining partial water supply during pump shutdowns and adjusting the operation of local water supply based on the central system’s conditions. While the resilience levels decreased with longer disruptions, the MG-WDS option produced the lowest rate of resilience decline, which highlights the resilience effect of water microgrids with operational interactions between centralized and local systems.
  • MG-WDS produced the highest resilience to pump rate manipulation (pump rate reduction) by the operational adjustment of local water systems based on system disruptions. CT-WDS remained the most vulnerable due to its lack of redundant water sources. The resilience effect of MG-WDS became more evident with higher pump rate reductions.
  • Water microgrids showed the highest resilience to pipe leaks/bursts, outperforming CT-WDS and DC-WDS due to increased redundancy from local water sources and adaptive operational adjustments. The active operational adjustment of the local system, considering the availability of local and central water sources and system operation conditions, demonstrated more effectiveness in enhancing resilience than other WDS options and passive operational interactions (simple increase in local water supply when the system is disrupted).
  • MG-WDS showed higher resilience than CT-WDS and DC-WDS under the pipe leaks/bursts scenarios with the isolation of a disrupted DMA, as it could partially supply water to the isolated area from its local sources and change the local water system’s operations to mitigate water service loss.
In general, resilience-based options focus on minimizing water service loss during disruption and quickly recovering to the original or a better state after the disruption. Based on the findings of this study, the transformation of current WDSs to water microgrids can enhance resilience attributes, ultimately improving overall system resilience and contributing to a sustainable water supply under disruptions.
This study analyzed and discussed the variation of resilience and its attributes across combinations of various WDS operation options and disruption scenarios. However, disruptions can occur from a wider range of causes, with uncertainty regarding their intensities and durations. Therefore, a more comprehensive statistical analysis of the variations in resilience and its attributes across a broader range of disruption events (e.g., hydraulic transient, contaminant intrusion, and cyberattack/failures), intensities, and durations is needed to improve the understanding of the resilience effects of hybrid water systems or water microgrids. In addition, the resilience effects of water microgrids can vary with physical and operational configurations, e.g., water pipe connectivity, WDS size, valve/tank placement, local storage capacity, backup pump/power supply, and the local water supply schedule. Therefore, further investigation with statistical approaches (e.g., significance test and sensitivity analysis) is also needed to test and compare the resilience effects of centralized, decentralized, and microgrid water systems under diverse configurations. Such investigations will offer insights into developing a more practical approach to determine their resilience effects in decision making.
Meanwhile, identifying critical parameters in the design and operation of water microgrids can help effectively enhance WDS resilience. For example, water supply failures during peak demand periods or with low redundancy in water supply routes due to limited pipe connectivity can lead to severe losses in water supply performance. This will make the system more vulnerable, resulting in lower resilience. In addition, the design parameters, such as the local storage size, local water supply schedules, and local water quality, can impose limitations on local water system operations during WDS disruptions, which will also affect system resilience. Therefore, analyzing and evaluating design parameters critical to the resilience levels and variations of water microgrids under various disruption types, intensities, and durations and considering these critical parameters in water microgrid design and operation can contribute to enhancing resilience more effectively. In this regard, understanding critical design parameters (e.g., local water storage capacity and locations, pump/gravity-driven supply, and demand patterns) using a sensitivity analysis with various disruption scenarios and WDS operation options is further needed for optimizing the design, operations, and performance of water microgrids.
While this study provides insights into the resilience effects of water microgrids using a lab-scale model demonstration, it is important to note that the model is a hypothetical representation and was not scaled down from a real WDS using hydraulic similarity. Therefore, translating the findings from this study to full-scale or large-scale WDSs with more complex interactions may pose limitations in understanding the system performance and resilience effects of real-scale water microgrids. Since a full-scale water microgrid system has not yet been implemented, a future study can investigate scaling up the results of the lab-scale model using hydraulic simulation models (e.g., EPANET2 and WaterGEMS). This future study will provide an understanding of how key resilience features observed in the lab-scale model can translate to larger, more complex WDSs.
In addition to the microgrid configuration, rapid detection of system anomalies, identification of disruptive events, and accurate localization of problematic components can further help strengthen resilience through rapid implementation of timely emergency and recovery actions. However, monitoring systems, designed for this purpose using cyber system components (e.g., sensors/meters, communication links, and controllers), can become more vulnerable to cyber–physical attacks. Therefore, further studies that include sensor placement, anomaly detection and early warning, multiple communication networks, and cyber security are needed to develop a smart system or cyber–physical system framework for water microgrids incorporating advanced monitoring and real-time control.
Additionally, implementing water microgrids involves local water production and distribution with additional treatment, storage, pumping, and dual piping systems. This will lead to significant capital and operational costs, increased energy consumption, and potential environmental impacts. Further investigation into the sustainable implementation (development) of water microgrids is needed to balance resilience enhancement with minimizing social, environmental, and economic impacts.

Supplementary Materials

The following supporting information can be downloaded at https://www.mdpi.com/article/10.3390/su17083339/s1: Figure S1. Time variation in water demand under normal condition; Figure S2. Original vs. disrupted water demand under pump shutdown for: (a) 2 h; (b) 4 h; (c) 6 h; Figure S3. Original vs. disrupted water demand under pump rate manipulation, rate reduced by: (a) 22%; (b) 13%; (c) 8%; Figure S4. Original vs. disrupted water demand under leakage on DMA4; Figure S5. Original vs. disrupted water demand under pipe bursts on DMA4; Figure S6. The operation of the local water system under leakage for 8 h.

Author Contributions

Conceptualization, S.S. and B.A.M.; methodology, S.S. and B.A.M.; software, B.A.M.; validation, B.A.M., A.H., A.G. and K.A.; formal analysis, S.S. and B.A.M.; investigation, B.A.M., A.H., A.G., K.A. and S.S.; resources, S.S.; data curation, B.A.M., A.H., A.G. and K.A.; writing—original draft preparation, B.A.M., A.H., A.G., K.A. and S.S.; writing—review and editing, S.S. and B.A.M.; visualization, S.S. and B.A.M.; supervision, S.S.; funding acquisition, S.S. All authors have read and agreed to the published version of the manuscript.

Funding

This material is based upon work supported by the National Science Foundation under Grant No. 2301663.

Institutional Review Board Statement

Not applicable.

Informed Consent Statement

Not applicable.

Data Availability Statement

The data presented in this study are available upon request from the corresponding authors.

Conflicts of Interest

The authors declare no conflicts of interest.

References

  1. Sapkota, M.; Arora, M.; Malano, H.; Moglia, M.; Sharma, A.; George, B.; Pamminger, F. An Overview of Hybrid Water Supply Systems in the Context of Urban Water Management: Challenges and Opportunities. Water 2015, 7, 153–174. [Google Scholar] [CrossRef]
  2. Leigh, N.G.; Lee, H. Sustainable and Resilient Urban Water Systems: The Role of Decentralization and Planning. Sustainability 2019, 11, 918. [Google Scholar] [CrossRef]
  3. Lawson, E.; Farmani, R.; Woodley, E.; Butler, D. A Resilient and Sustainable Water Sector: Barriers to the Operationalisation of Resilience. Sustainability 2020, 12, 1797. [Google Scholar] [CrossRef]
  4. Liu, L.; Zhou, X.; Dueñas-Osorio, L.; Stadler, L.; Li, Q. Hybrid Wastewater Treatment and Reuse Enhances Urban Water System Resilience to Disruptive Incidents. Nat. Water 2023, 1, 1048–1058. [Google Scholar] [CrossRef]
  5. Falco, G.J.; Webb, W.R. Water Microgrids: The Future of Water Infrastructure Resilience. Procedia Eng. 2015, 118, 50–57. [Google Scholar] [CrossRef][Green Version]
  6. Cejudo Marmolejo, C.E.; Stoughton, K.L.M.; Piazza, A.M.; Gunderson, P.K.; Yoon, J.J.; Ekre, R.; Pamintuan, B.C. Water Microgrids: A Primer for Facility Managers; PNNL-32463; U.S. Department of Energy Pacific Northwest National Laboratory: Richland, WA, USA, 2021. [CrossRef]
  7. Magar, B.A.; Acharya, K.; Ghimire, A.B.; Shin, S. Evaluating the Resilience of Hybrid Centralized and Decentralized Water Supply Systems. In Proceeding of the World Environmental and Water Resources Congress, Milwaukee, WI, USA, 19–22 May 2024; pp. 1316–1325. [Google Scholar] [CrossRef]
  8. Shahzad, S.; Abbasi, M.A.; Ali, H.; Iqbal, M.; Munir, R.; Kilic, H. Possibilities, Challenges, and Future Opportunities of Microgrids: A Review. Sustainability 2023, 15, 6366. [Google Scholar] [CrossRef]
  9. Kroposki, B.; Basso, T.; DeBlasio, R. Microgrid Standards and Technologies. In Proceedings of the 2008 IEEE Power and Energy Society General Meeting—Conversion and Delivery of Electrical Energy in the 21st Century, Pittsburgh, PA, USA, 20–24 July 2008; pp. 1–4. [Google Scholar] [CrossRef]
  10. Ekanayake, U.N.; Navaratne, U.S. A Survey on Microgrid Control Techniques in Islanded Mode. J. Electr. Comput. Eng. 2020, 2020, 6275460. [Google Scholar] [CrossRef]
  11. Kumar, G.V.B.; Palanisamy, K. A Review of Energy Storage Participation for Ancillary Services in a Microgrid Environment. Inventions 2020, 5, 63. [Google Scholar] [CrossRef]
  12. Parag, Y.; Ainspan, M. Sustainable Microgrids: Economic, Environmental and Social Costs and Benefits of Microgrid Deployment. Energy Sustain. Dev. 2019, 52, 72–81. [Google Scholar] [CrossRef]
  13. Daigger, G.T. Wastewater Management in the 21st Century. J. Environ. Eng. 2007, 133, 671–680. [Google Scholar] [CrossRef]
  14. Bruaset, S.; Sægrov, S. An Analysis of the Potential Impact of Climate Change on the Structural Reliability of Drinking Water Pipes in Cold Climate Regions. Water 2018, 10, 411. [Google Scholar] [CrossRef]
  15. Salehi, M. Global Water Shortage and Potable Water Safety; Today’s Concern and Tomorrow’s Crisis. Environ. Int. 2022, 158, 106936. [Google Scholar] [CrossRef] [PubMed]
  16. Amarasinghe, P.; Liu, A.; Egodawatta, P.; Barnes, P.; McGree, J.; Goonetilleke, A. Quantitative Assessment of Resilience of a Water Supply System under Rainfall Reduction Due to Climate Change. J. Hydrol. 2016, 540, 1043–1052. [Google Scholar] [CrossRef]
  17. Tuptuk, N.; Hazell, P.; Watson, J.; Hailes, S. A Systematic Review of the State of Cyber-Security in Water Systems. Water 2021, 13, 81. [Google Scholar] [CrossRef]
  18. Tsegaye, S.; Missimer, T.M.; Kim, J.-Y.; Hock, J. A Clustered, Decentralized Approach to Urban Water Management. Water 2020, 12, 185. [Google Scholar] [CrossRef]
  19. Garrido-Baserba, M.; Sedlak, D.L.; Molinos-Senante, M.; Barnosell, I.; Schraa, O.; Rosso, D.; Verdaguer, M.; Poch, M. Using Water and Wastewater Decentralization to Enhance the Resilience and Sustainability of Cities. Nat. Water 2024, 2, 953–974. [Google Scholar] [CrossRef]
  20. Sapkota, M.; Arora, M.; Malano, H.; Moglia, M.; Sharma, A.; George, B.; Pamminger, F. An Integrated Framework for Assessment of Hybrid Water Supply Systems. Water 2016, 8, 4. [Google Scholar] [CrossRef]
  21. Taormina, R.; Galelli, S.; Tippenhauer, N.O.; Salomons, E.; Ostfeld, A. Characterizing Cyber-Physical Attacks on Water Distribution Systems. J. Water Resour. Plan. Manag. 2017, 143, 4017009. [Google Scholar] [CrossRef]
  22. Shin, S.; Lee, S.; Burian, S.J.; Judi, D.R.; McPherson, T. Evaluating Resilience of Water Distribution Networks to Operational Failures from Cyber-Physical Attacks. J. Environ. Eng. 2020, 146, 4020003. [Google Scholar] [CrossRef]
  23. Klise, K.A.; Bynum, M.; Moriarty, D.; Murray, R. A Software Framework for Assessing the Resilience of Drinking Water Systems to Disasters with an Example Earthquake Case Study. Environ. Model. Softw. 2017, 95, 420–431. [Google Scholar] [CrossRef]
  24. Abou-Shady, A.; Siddique, M.S.; Yu, W. A Critical Review of Recent Progress in Global Water Reuse during 2019–2021 and Perspectives to Overcome Future Water Crisis. Environments 2023, 10, 159. [Google Scholar] [CrossRef]
  25. Shin, S.; Lee, S.; Judi, D.R.; Parvania, M.; Goharian, E.; McPherson, T.; Burian, S.J. A Systematic Review of Quantitative Resilience Measures for Water Infrastructure Systems. Water 2018, 10, 164. [Google Scholar] [CrossRef]
  26. Wu, J.; Yu, Y.; Jin, Z.; Zhang, W. Multi-Dimensional Resilience Assessment Framework of Offshore Structure under Mooring Failure. Reliab. Eng. Syst. Saf. 2024, 247, 110108. [Google Scholar] [CrossRef]
  27. Cimellaro, G.P.; Reinhorn, A.M.; Bruneau, M. Framework for Analytical Quantification of Disaster Resilience. Eng. Struct. 2010, 32, 3639–3649. [Google Scholar] [CrossRef]
  28. Khaghani, F.; Jazizadeh, F. MD-Resilience: A Multi-Dimensional Approach for Resilience-Based Performance Assessment in Urban Transportation. Sustainability 2020, 12, 4879. [Google Scholar] [CrossRef]
  29. Bajwa, A.A.; Mokhlis, H.; Mekhilef, S.; Mubin, M. Enhancing power system resilience leveraging microgrids: A review. J. Renew. Sustain. Energy 2019, 11, 035503. [Google Scholar] [CrossRef]
  30. Egito, T.B.D.; Azevedo, J.R.G.D.; Bezerra, S.D.T.M. Optimization of the operation of water distribution systems with emphasis on the joint optimization of pumps and reservoirs. Water Supply 2023, 23, 1094–1105. [Google Scholar] [CrossRef]
  31. Tchórzewska-Cieślak, B.; Rak, J.; Pietrucha-Urbanik, K.; Piegdoń, I.; Boryczko, K.; Szpak, D.; Żywiec, J. Water Supply Safety Assessment Considering the Water Supply System Resilience. Desalination Water Treat. 2023, 288, 26–36. [Google Scholar] [CrossRef]
  32. Dadar, S.; Đurin, B.; Alamatian, E.; Plantak, L. Impact of the Pumping Regime on Electricity Cost Savings in Urban Water Supply System. Water 2021, 13, 1141. [Google Scholar] [CrossRef]
  33. Palleti, V.R.; Adepu, S.; Mishra, V.K.; Mathur, A. Cascading Effects of Cyber-Attacks on Interconnected Critical Infrastructure. Cybersecurity 2021, 4, 8. [Google Scholar] [CrossRef]
  34. Zhuang, B.; Lansey, K.; Kang, D. Resilience/Availability Analysis of Municipal Water Distribution System Incorporating Adaptive Pump Operation. J. Hydraul. Eng. 2013, 139, 527–537. [Google Scholar] [CrossRef]
Figure 2. Resilience attributes throughout disruption.
Figure 2. Resilience attributes throughout disruption.
Sustainability 17 03339 g002
Figure 3. The performance of CT-WDS, DC-WDS, and MG-WDS under pump shutdown for 2 h, 4 h, and 6 h: (a) resilience; (b) robustness; (c) loss rate; (d) recovery rate.
Figure 3. The performance of CT-WDS, DC-WDS, and MG-WDS under pump shutdown for 2 h, 4 h, and 6 h: (a) resilience; (b) robustness; (c) loss rate; (d) recovery rate.
Sustainability 17 03339 g003
Figure 4. The performance of CT-WDS, DC-WDS, and MG-WDS under pump rate manipulation (pump rate reductions of 8%, 13%, and 22%): (a) resilience; (b) robustness; (c) loss rate; (d) recovery rate.
Figure 4. The performance of CT-WDS, DC-WDS, and MG-WDS under pump rate manipulation (pump rate reductions of 8%, 13%, and 22%): (a) resilience; (b) robustness; (c) loss rate; (d) recovery rate.
Sustainability 17 03339 g004aSustainability 17 03339 g004b
Figure 5. The performance of CT-WDS, DC-WDS, and MG-WDS under pipe leaks/bursts in each of the DMAs: (a) resilience to pipe leaks/bursts for a 4 h duration; (b) robustness; (c) loss rate; (d) recovery rate; (e) resilience to pipe leaks/bursts in DMA2 for 4 h and 8 h durations; (f) resilience to pipe leaks/bursts in DMAs 2 and 4 for an 8 h duration.
Figure 5. The performance of CT-WDS, DC-WDS, and MG-WDS under pipe leaks/bursts in each of the DMAs: (a) resilience to pipe leaks/bursts for a 4 h duration; (b) robustness; (c) loss rate; (d) recovery rate; (e) resilience to pipe leaks/bursts in DMA2 for 4 h and 8 h durations; (f) resilience to pipe leaks/bursts in DMAs 2 and 4 for an 8 h duration.
Sustainability 17 03339 g005aSustainability 17 03339 g005b
Figure 6. The performance of CT-WDS, DC-WDS, and MG-WDS under pipe leaks/bursts with the isolation of the disrupted DMA: (a) resilience; (b) robustness; (c) loss rate; (d) recovery rate.
Figure 6. The performance of CT-WDS, DC-WDS, and MG-WDS under pipe leaks/bursts with the isolation of the disrupted DMA: (a) resilience; (b) robustness; (c) loss rate; (d) recovery rate.
Sustainability 17 03339 g006
Table 1. Disruption scenarios demonstrated for the lab-scale WDS model.
Table 1. Disruption scenarios demonstrated for the lab-scale WDS model.
ScenarioSpecification DurationDemonstration
Pump
shutdown
No water supply
from central pumps
  • 04:00–06:00 (2 h)
  • 04:00–08:00 (4 h)
  • 04:00–10:00 (6 h)
Figure S2
(three scenarios)
Pump rate
manipulation
8%, 13%, and 22% reductions in pump rate
  • 03:00–05:00 (2 h)
  • 09:00–11:00 (2 h)
Figure S3
(three scenarios)
Pipe leaks/
bursts
30% water loss in each of the four DMAs
  • 04:00–08:00 (4 h)
  • 03:00–11:00 (8 h)
Figure S4
(two scenarios)
Pipe-burst-induced isolation of each of the four DMAs
  • 04:00–08:00 (4 h)
Figure S5
(one scenario)
Disclaimer/Publisher’s Note: The statements, opinions and data contained in all publications are solely those of the individual author(s) and contributor(s) and not of MDPI and/or the editor(s). MDPI and/or the editor(s) disclaim responsibility for any injury to people or property resulting from any ideas, methods, instructions or products referred to in the content.

Share and Cite

MDPI and ACS Style

Ale Magar, B.; Hasnat, A.; Ghanaatikashani, A.; Acharya, K.; Shin, S. Laboratory Testing of Resilience Effects of Water Microgrids for Sustainable Water Supply. Sustainability 2025, 17, 3339. https://doi.org/10.3390/su17083339

AMA Style

Ale Magar B, Hasnat A, Ghanaatikashani A, Acharya K, Shin S. Laboratory Testing of Resilience Effects of Water Microgrids for Sustainable Water Supply. Sustainability. 2025; 17(8):3339. https://doi.org/10.3390/su17083339

Chicago/Turabian Style

Ale Magar, Binod, Arif Hasnat, Amirmahdi Ghanaatikashani, Kriti Acharya, and Sangmin Shin. 2025. "Laboratory Testing of Resilience Effects of Water Microgrids for Sustainable Water Supply" Sustainability 17, no. 8: 3339. https://doi.org/10.3390/su17083339

APA Style

Ale Magar, B., Hasnat, A., Ghanaatikashani, A., Acharya, K., & Shin, S. (2025). Laboratory Testing of Resilience Effects of Water Microgrids for Sustainable Water Supply. Sustainability, 17(8), 3339. https://doi.org/10.3390/su17083339

Note that from the first issue of 2016, this journal uses article numbers instead of page numbers. See further details here.

Article Metrics

Back to TopTop