A Dynamic Evolution and Spatiotemporal Convergence Analysis of the Coordinated Development Between New Quality Productive Forces and China’s Carbon Total Factor Productivity
Abstract
1. Introduction
2. Literature Review
2.1. Research Progress on NQPFs
2.2. Research Progress of CTFP
2.3. Research on the Coordinated Development of NQPFs and CTFP
3. Materials and Methods
3.1. The Selection of an Index System
3.1.1. Selection of CTFP Index
3.1.2. Selection of NQPF Index
3.2. Model Construction
3.2.1. SBM Model Construction
3.2.2. Entropy Weight Method
3.2.3. Dagum Gini Coefficient Decomposition
3.2.4. Calculation of Coupling Coordination Degree and Spatio-Temporal Evolution Model
4. Results
4.1. CTFP Measurement Results and Change Analysis
4.2. The Changing Trend of NQPFs
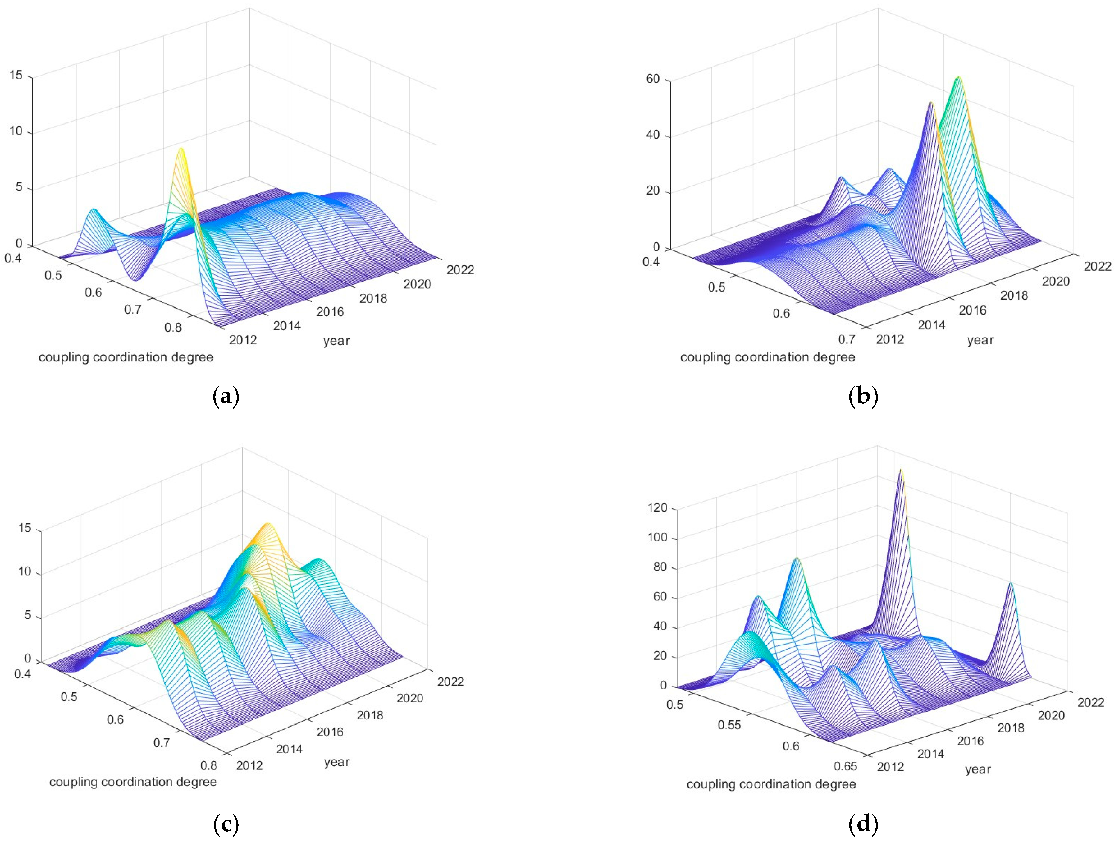
4.3. Dynamic Evolution Trend of Coupling Coordination Degree Between NQPFs and CTFP
4.4. Analysis of Regional Differences in Coupling and Coordination Degree
4.5. Analysis of Spatial Convergence of Coupling Coordination Degree
4.5.1. Spatial Correlation Test
4.5.2. Absolute β-Convergence and Conditional β-Convergence
4.6. Future Discussion
5. Conclusions
5.1. Research Conclusions
5.2. Suggestions and Future Prospects
Author Contributions
Funding
Institutional Review Board Statement
Informed Consent Statement
Data Availability Statement
Conflicts of Interest
References
- Chakraborty, D.; Mukherjee, S. How do trade and investment flows affect environmental sustainability? Evidence from panel data. Environ. Dev. 2013, 6, 34–47. [Google Scholar] [CrossRef]
- Gao, T. New Quality Productive Forces Promote and Facilitate High-quality Development. Highlights Bus. Econ. Manag. 2024, 45, 491–495. [Google Scholar] [CrossRef]
- Zheng, M.; Yan, S.; Xu, S. Digital Economy, Industry–Academia–Research Collaborative Innovation, and the Development of New-Quality Productive Forces. Sustainability 2025, 17, 318. [Google Scholar] [CrossRef]
- Fagerberg, J. Technological progress, structural change and productivity growth: A comparative study. Struct. Change Econ. Dyn. 2000, 11, 393–411. [Google Scholar] [CrossRef]
- Aydin, M.; Erdem, A. Analyzing the impact of resource productivity, energy productivity, and renewable energy consumption on environmental quality in EU countries: The moderating role of productivity. Resour. Policy 2024, 89, 104613. [Google Scholar] [CrossRef]
- Yao, L.; Li, A.; Yan, E. Research on digital infrastructure construction empowering new quality productivity. Sci. Rep. 2025, 15, 6645. [Google Scholar] [CrossRef]
- Xie, F.; Jiang, N.; Kuang, X. Towards an accurate understanding of ‘new quality productive forces’. Econ. Political Stud. 2024, 1–15. [Google Scholar] [CrossRef]
- Aydin, M.; Degirmenci, T.; Gurdal, T.; Yavuz, H. The role of green innovation in achieving environmental sustainability in European Union countries: Testing the environmental Kuznets curve hypothesis. Gondwana Res. 2023, 118, 105–116. [Google Scholar] [CrossRef]
- Feng, N.; Yan, M.; Yan, M. Spatiotemporal Evolution and Influencing Factors of New-Quality Productivity. Sustainability 2024, 16, 10852. [Google Scholar] [CrossRef]
- Ma, Y. Entrepreneurs’ Spirit and Corporate Green Development: The Mediating Role of New-Quality Productivity. Sustainability 2024, 16, 7648. [Google Scholar] [CrossRef]
- Shan, Y.; Wen, Z.; Zhiqing, Y. Carbon Reduction Effect of Digital New Quality Productivity: Theoretical Analysis and Empirical Evidence. J. Environ. Earth Sci. 2025, 7, 47–66. [Google Scholar]
- Ahmed, N.; Khan, N.A.; Ober, J. The role of carbon peaking targets in urban green economic transition: Insights from U.S. city-level climate action plans. Glob. Transit. 2025, 7, 69–80. [Google Scholar]
- D'Amato, D.; Korhonen, J. Integrating the green economy, circular economy and bioeconomy in a strategic sustainability framework. Ecol. Econ. 2021, 188, 107143. [Google Scholar]
- Shobande, O.A.; Ogbeifun, L.; Tiwari, A.K. Extricating the impacts of emissions trading system and energy transition on carbon intensity. Appl. Energy 2024, 357, 122461. [Google Scholar]
- Chen, D.; Liao, H.; Tan, H. Can carbon trading policy boost upgrading and optimization of industrial structure? An empirical study based on data from China. Humanit. Soc. Sci. Commun. 2024, 11, 1234. [Google Scholar]
- Harris, J.L.; Sunley, P. Multi-system dynamics in regional path upgrading: The intra- and inter-path dynamics of green industrial transitions in the Solent marine and maritime pathway. Prog. Econ. Geogr. 2023, 1, 100005. [Google Scholar]
- Zhu, Q.; Liu, C.; Li, X.; Zhou, D. The total factor carbon emission productivity in China’s industrial Sectors: An analysis based on the global Malmquist-Luenberger index. Sustain. Energy Technol. Assess. 2023, 56, 103094. [Google Scholar]
- Chang, T.-P.; Hu, J.-L. Total-factor energy productivity growth, technical progress, and efficiency change: An empirical study of China. Appl. Energy 2010, 87, 3262–3270. [Google Scholar]
- Kumar, S.; Jain, R.K. Carbon-sensitive meta-productivity growth and technological gap: An empirical analysis of Indian thermal power sector. Energy Econ. 2019, 81, 104–116. [Google Scholar] [CrossRef]
- Ladu, M.G.; Meleddu, M. Is there any relationship between energy and TFP (total factor productivity)? A panel cointegration approach for Italian regions. Energy 2014, 75, 560–567. [Google Scholar] [CrossRef]
- Duran, H.E. Asymmetries in regional development: Does TFP or capital accumulation matter for spatial inequalities? J. Econ. Asymmetries 2019, 20, e00119. [Google Scholar]
- Asafu-Adjaye, J.; Mahadevan, R. Implications of CO2 reduction policies for a high carbon emitting economy. Energy Econ. 2013, 38, 32–41. [Google Scholar]
- Hassan, T.; Khan, Y.; He, C.; Chen, J.; Alsagr, N.; Song, H.; Naveed, k. Environmental regulations, political risk and consumption-based carbon emissions: Evidence from OECD economies. J. Environ. Manag. 2022, 320, 115893. [Google Scholar]
- Feroz, A.K.; Zo, H.; Chiravuri, A. Digital Transformation and Environmental Sustainability: A Review and Research Agenda. Sustainability 2021, 13, 1530. [Google Scholar] [CrossRef]
- Kovacikova, M.; Janoskova, P.; Kovacikova, K. The Impact of Emissions on the Environment within the Digital Economy. Transp. Res. Procedia 2021, 55, 1090–1097. [Google Scholar]
- Lai, P.; Du, M.; Wang, B.; Chen, Z. Assessment and Decomposition of Total Factor Energy Efficiency: An Evidence Based on Energy Shadow Price in China. Sustainability 2016, 8, 408. [Google Scholar] [CrossRef]
- Yu, X.; Zeng, Z. Impact of heterogeneous environmental regulation on total factor productivity: An empirical study based on China’s provincial data. Environ. Dev. Sustain. 2024, 26, 17813–17835. [Google Scholar]
- Mai, Q.; Bai, M.; Li, L. Study on the Dynamic Evolution and Regional Differences of the Level of High-Quality Economic and Social Development in China. Sustainability 2023, 15, 382. [Google Scholar]
- Sheng, Z.; Zhu, C.; Chen, M. Exploring the Impact of the Digital Economy on Green Total Factor Productivity—Evidence from Chinese Cities. Sustainability 2024, 16, 2734. [Google Scholar] [CrossRef]
- Zeng, P.; Wang, Y.; Tian, Z. Regional differences, source decomposition and formation mechanism of urban digital economy and energy market integration in China. J. Clean. Prod. 2024, 451, 141960. [Google Scholar]
- Lin, L.; Gu, T.; Shi, Y. The Influence of New Quality Productive Forces on High-Quality Agricultural Development in China: Mechanisms and Empirical Testing. Agriculture 2024, 14, 1022. [Google Scholar] [CrossRef]
- Lee, C.-C.; Wang, F.; Lou, R. Digital financial inclusion and carbon neutrality: Evidence from non-linear analysis. Resour. Policy 2022, 79, 102974. [Google Scholar]
- Carraro, C.; Favero, A.; Massetti, E. “Investments and public finance in a green, low carbon, economy”. Energy Econ. 2012, 34, S15–S28. [Google Scholar]
- Eren, B.M.; Taspinar, N.; Gokmenoglu, K.K. The impact of financial development and economic growth on renewable energy consumption: Empirical analysis of India. Sci. Total Environ. 2019, 663, 189–197. [Google Scholar]
- Campiglio, E. Beyond carbon pricing: The role of banking and monetary policy in financing the transition to a low-carbon economy. Ecol. Econ. 2016, 121, 220–230. [Google Scholar]
- Charfeddine, L.; Kahia, M. Impact of renewable energy consumption and financial development on CO2 emissions and economic growth in the MENA region: A panel vector autoregressive (PVAR) analysis. Renew. Energy 2019, 139, 198–213. [Google Scholar]
- Yang, T.; Sun, Z.; Du, M.; Du, Q.; Li, L.; Shuwaikh, F. The impact of the degree of coupling coordination between green finance and environmental regulations on firms’ innovation performance: Evidence from China. Ann. Oper. Res. 2023. [Google Scholar] [CrossRef]
- Cook, W.D.; Seiford, L.M. Data envelopment analysis (DEA)—Thirty years on. Eur. J. Oper. Res. 2009, 192, 1–17. [Google Scholar]
- Ayres, R.U.; Williams, E. The digital economy: Where do we stand? Technol. Forecast. Soc. Change 2004, 71, 315–339. [Google Scholar]
- Janowski, T. Implementing Sustainable Development Goals with Digital Government—Aspiration-capacity gap. Gov. Inf. Q. 2016, 33, 603–613. [Google Scholar]
- Qian, J.; Zhou, Y.; Hao, Q. The effect and mechanism of digital economy on green total factor productivity—Empirical evidence from China. J. Environ. Manag. 2024, 372, 123237. [Google Scholar]
- Karki, T.K.; Tao, L. How accessible and convenient are the public bicycle sharing programs in China? Experiences from Suzhou city. Habitat Int. 2016, 53, 188–194. [Google Scholar]
- Anagnostopoulos, A.; Navarro, M.E.; Stefanidou, M.; Seferlis, P.; Gaidajis, G.; Ding, Y. Effect of carbon on the performance of red mud-molten salt composites for thermal management and waste heat recovery applications. J. Energy Storage 2021, 44, 103363. [Google Scholar]
- Dhir, A.; Koshta, N.; Goyal, R.K.; Sakashita, M.; Almotairi, M. Behavioral reasoning theory (BRT) perspectives on E-waste recycling and management. J. Clean. Prod. 2021, 280, 124269. [Google Scholar]
- Chen, B.; Tan, D. Industrial Robots and the Employment Quality of Migrant Workers in the Manufacturing Industry. Sustainability 2023, 15, 7998. [Google Scholar] [CrossRef]
- Albrizio, S.; Kozluk, T.; Zipperer, V. Environmental policies and productivity growth: Evidence across industries and firms. J. Environ. Econ. Manag. 2017, 81, 209–226. [Google Scholar]
- Wang, S.; Song, Y.; Min Du, A.; Liang, J. The digital economy and entrepreneurial dynamics: An empirical analysis of urban regions in China. Res. Int. Bus. Financ. 2024, 71, 102459. [Google Scholar]
- Levy, F. Computers and populism: Artificial intelligence, jobs, and politics in the near term. Oxf. Rev. Econ. Policy 2018, 34, 393–417. [Google Scholar]
- Xiaoping, Z.; Yuanfang, L.; Wenjia, W. Evaluation of urban resource and environmental efficiency in China based on the DEA model. J. Resour. Ecol. 2014, 5, 11–19. [Google Scholar]
- Wang, S.; Wang, A.; Liu, S.; Zhang, C.; Qiao, L.; Li, X. Research on the coupling coordination relationship between the digital economy and high-quality energy development: Evidence from China. Heliyon 2024, 10, e24637. [Google Scholar]
- Guo, J.; Zhao, X.; Fu, Y. Green finance, technological innovation, and low-carbon development in logistics industry: Mechanisms and threshold effects. Environ. Dev. Sustain. 2025. [Google Scholar] [CrossRef]
- Lin, B.; Sun, A.; Xie, Y. Digital transformation and green total factor productivity of heavy pollution enterprises: Impact, mechanism and spillover effect. J. Environ. Manag. 2025, 373, 123619. [Google Scholar]
- Zhao, C. Is low-carbon energy technology a catalyst for driving green total factor productivity development? The case of China. J. Clean. Prod. 2023, 428, 139507. [Google Scholar]
- Chen, H.; Yi, J.; Chen, A.; Peng, D.; Yang, J. Green technology innovation and CO2 emission in China: Evidence from a spatial-temporal analysis and a nonlinear spatial durbin model. Energy Policy 2023, 172, 113338. [Google Scholar] [CrossRef]
- Wang, L.; Wang, H.; Cao, Z.; He, Y.; Dong, Z.; Wang, S. Can industrial intellectualization reduce carbon emissions?—Empirical evidence from the perspective of carbon total factor productivity in China. Technol. Forecast. Soc. Change 2022, 184, 121969. [Google Scholar]
- Xu, Q.; Dong, Y. How digital technology contributes to the low-carbon transformation of industries—A segmentation perspective based on three major industries. Environ. Dev. Sustain. 2024. [Google Scholar] [CrossRef]
- Li, J.; Noorliza, K.; Zhang, X. Enhancing Environmental, Social, and Governance Performance through New Quality Productivity and Green Innovation. Sustainability 2024, 16, 4843. [Google Scholar] [CrossRef]
- Du, M.; Zhang, J.; Hou, X. Decarbonization like China: How does green finance reform and innovation enhance carbon emission efficiency? J. Environ. Manag. 2025, 376, 124331. [Google Scholar]
- Chintrakarn, P. Environmental regulation and U.S. states' technical inefficiency. Econ. Lett. 2008, 100, 363–365. [Google Scholar] [CrossRef]






| Categories | Primary Indicator | Secondary Indicator | Detailed Description | Attribute |
|---|---|---|---|---|
| Laborers | Investment in New Quality Human Capital | Investment in Science and Technology | Annual Fiscal Expenditure for Scientific and Technological Innovation | Positive |
| Education Investment | Annual Fiscal Expenditure on Education | Positive | ||
| Investment in Scientific and Technological Personnel | Full-Time Equivalent of R&D Personnel in Industrial Enterprises above Designated Size | Positive | ||
| Advanced Production Level | Labor Productivity of Industrial Enterprises above Designated Size | Positive | ||
| Higher Education Level | Total Number of Students Enrolled in Colleges and Above | Positive | ||
| Means of Labor | Energy Consumption Level | Energy Consumption Intensity | Total Energy Consumption/GDP | Negative |
| Degree of Digital Infrastructure Development | Internet Penetration Rate | Internet Broadband Access Subscribers | Positive | |
| Mobile Phone Penetration Rate | Number of Mobile Phones per 100 People | Positive | ||
| Telecom Business Penetration Rate | Total Telecom Business per Capita | Positive | ||
| Software Business Penetration Rate | Software Business Revenue | Positive | ||
| Digital Infrastructure | Length of Optical Cable Lines/Regional Area | Positive | ||
| Level of Robot Application | Popularization Rate of Industrial Robots | Installed Capacity of Robots× Employment Rate | Positive | |
| Level of Digital Innovation | Digital Innovation Capability | Innovation Funding of Industrial Enterprises above Designated Size | Positive | |
| Digital Economy Index | Positive | |||
| Number of Patent Authorizations/Total Population | Positive | |||
| Objects of Labor | Environmental Protection | Pollution Reduction | Industrial SO2 Emissions/GDP | Negative |
| Fiscal Expenditure on Environmental Protection/Government Fiscal Expenditure | Positive | |||
| Green Resources | Forest Coverage Rate | Forest Coverage Rate | Positive | |
| Green Innovation | Green Invention Achievements | Number of Green Patent Applications/Number of Patent Applications | Positive |
| Stage of Coupling Coordination | Level of Coupling Coordination |
|---|---|
| High Coordination | 0.8 < D ≤ 1.0 |
| Moderate Coordination | 0.6 < D ≤ 0.8 |
| Basic Coordination | 0.4 < D ≤ 0.6 |
| Moderate Imbalance | 0.2 < D ≤ 0.4 |
| Extreme Imbalance | 0.0 ≤ D ≤ 0.2 |
| Variable | Obs | Mean | Std. Dev. | Min | Max |
|---|---|---|---|---|---|
| IE | 330 | 9.118 | 0.626 | 7.325 | 10.486 |
| IV | 330 | 8.829 | 0.979 | 6.178 | 10.791 |
| CO2 | 330 | 1.713 | 1.137 | 0.185 | 5.837 |
| ER | 330 | 0.105 | 0.121 | 0.001 | 1.103 |
| GTI | 330 | 6.022 | 5.187 | 0.001 | 20.910 |
| Variable | (1) | (2) | (3) |
|---|---|---|---|
| ER | −0.296 ** | −0.257 ** | −0.227 * |
| (−2.185) | (−2.097) | (−1.838) | |
| IE | 0.068 | 0.011 | 0.001 * |
| (0.896) | (1.632) | (1.852) | |
| CO2 | −0.265 *** | −0.244 *** | −0.267 *** |
| (−6.671) | (−6.815) | (−7.279) | |
| CO2 | 0.005 *** | 0.005 *** | 0.004 *** |
| (10.36) | (10.92) | (7.006) | |
| GTI | 0.079 *** | 0.078 *** | 0.081 *** |
| (7.398) | (8.113) | (8.305) | |
| Constant | 0.604 *** | 0.471 *** | 0.615 *** |
| (4.728) | (3.797) | (4.687) | |
| Individual effect | √ | √ | √ |
| Time effect | √ | √ | √ |
| Observations | 330 | 286 | 253 |
| R-squared | 0.548 | 0.614 | 0.563 |
| Variable | Obs | Mean | Std. dev. | Min | Max |
|---|---|---|---|---|---|
| Structure | 330 | 1.388169 | 0.7503831 | 0.6112102 | 5.24401 |
| PGDP | 330 | 10.9078 | 0.4446038 | 9.849393 | 12.15472 |
| IL | 330 | 0.0612295 | 0.0547815 | 0.0151435 | 0.2900732 |
| HT | 330 | 2.233171 | 0.0920408 | 2.016735 | 2.540115 |
| GF | 330 | 0.3293167 | 0.125355 | 0.0903952 | 0.6317453 |
| Variable | (1) | (2) | (3) |
|---|---|---|---|
| Structure | 0.0237 *** | 0.0168 ** | 0.0285 * |
| (2.608) | (2.051) | (1.714) | |
| PGDP | 0.124 *** | 0.142 *** | 0.154 *** |
| (8.357) | (9.281) | (3.864) | |
| IL | 0.746 *** | 0.720 *** | 0.902 *** |
| (16.81) | (15.62) | (19.50) | |
| HT | −0.0873 | −0.123 | 0.141 |
| (−0.929) | (−1.560) | (0.661) | |
| GF | 0.232 *** | 0.166 *** | 0.207 ** |
| (4.052) | (3.423) | (2.108) | |
| Constant | −1.141 *** | −1.216 *** | −1.995 *** |
| (−7.698) | (−7.673) | (−4.856) | |
| Individual effect | √ | √ | √ |
| Time effect | √ | √ | √ |
| Observations | 330 | 240 | 90 |
| R-squared | 0.767 | 0.840 | 0.930 |
| Year | Overall Gini Coefficient | Differences Within the Region | |||
|---|---|---|---|---|---|
| East (E) | Central (C) | West (W) | Northeast (N) | ||
| 2012 | 0.059 | 0.049 | 0.042 | 0.039 | 0.005 |
| 2013 | 0.063 | 0.053 | 0.040 | 0.044 | 0.009 |
| 2014 | 0.064 | 0.056 | 0.033 | 0.044 | 0.011 |
| 2015 | 0.066 | 0.058 | 0.032 | 0.043 | 0.014 |
| 2016 | 0.070 | 0.059 | 0.030 | 0.051 | 0.010 |
| 2017 | 0.066 | 0.062 | 0.017 | 0.042 | 0.012 |
| 2018 | 0.062 | 0.060 | 0.012 | 0.038 | 0.011 |
| 2019 | 0.056 | 0.057 | 0.011 | 0.028 | 0.014 |
| 2020 | 0.054 | 0.057 | 0.008 | 0.025 | 0.016 |
| 2021 | 0.092 | 0.081 | 0.024 | 0.053 | 0.023 |
| 2022 | 0.097 | 0.086 | 0.031 | 0.057 | 0.015 |
| Year | Differences Between Regions | Rate of Contribution (%) | |||||||
|---|---|---|---|---|---|---|---|---|---|
| E—C | E—W | E—N | C—W | C—N | W—N | ||||
| 2012 | 0.079 | 0.084 | 0.071 | 0.042 | 0.033 | 0.031 | 21.58 | 59.28 | 19.14 |
| 2013 | 0.082 | 0.091 | 0.076 | 0.044 | 0.032 | 0.035 | 21.88 | 60.79 | 17.33 |
| 2014 | 0.083 | 0.096 | 0.081 | 0.041 | 0.026 | 0.034 | 21.50 | 65.10 | 13.41 |
| 2015 | 0.087 | 0.097 | 0.092 | 0.039 | 0.029 | 0.035 | 21.27 | 64.85 | 13.88 |
| 2016 | 0.088 | 0.101 | 0.104 | 0.044 | 0.034 | 0.043 | 21.47 | 65.44 | 13.09 |
| 2017 | 0.085 | 0.100 | 0.109 | 0.034 | 0.028 | 0.038 | 20.83 | 70.33 | 8.84 |
| 2018 | 0.089 | 0.085 | 0.113 | 0.029 | 0.030 | 0.042 | 20.68 | 69.53 | 9.79 |
| 2019 | 0.082 | 0.072 | 0.109 | 0.025 | 0.031 | 0.046 | 20.10 | 72.86 | 7.04 |
| 2020 | 0.080 | 0.068 | 0.109 | 0.023 | 0.032 | 0.050 | 19.71 | 73.94 | 6.34 |
| 2021 | 0.109 | 0.141 | 0.150 | 0.053 | 0.052 | 0.044 | 19.82 | 72.73 | 7.45 |
| 2022 | 0.112 | 0.151 | 0.153 | 0.061 | 0.053 | 0.043 | 19.94 | 72.73 | 7.33 |
| Year | Moran’s I | Z | P | Year | Moran’s I | Z | P |
|---|---|---|---|---|---|---|---|
| 2012 | 0.190 | 3.158 | 0.002 | 2018 | 0.282 | 4.540 | 0.000 |
| 2013 | 0.195 | 3.249 | 0.001 | 2019 | 0.261 | 4.252 | 0.000 |
| 2014 | 0.246 | 3.982 | 0.000 | 2020 | 0.245 | 4.017 | 0.000 |
| 2015 | 0.288 | 4.598 | 0.000 | 2021 | 0.358 | 5.620 | 0.000 |
| 2016 | 0.290 | 4.615 | 0.000 | 2022 | 0.359 | 5.631 | 0.000 |
| 2017 | 0.291 | 4.677 | 0.000 |
| Variable | Overall | East | Central | West | Northeast |
|---|---|---|---|---|---|
| β | −0.306 *** (−6.16) | −0.052 (−0.88) | −0.132 ** (−1.76) | −0.089 * (−1.83) | −0.592 *** (−3.09) |
| ρ | 0.533 *** (5.70) | −0.134 (−0.68) | 0.768 *** (12.58) | 0.842 *** (22.68) | −0.752 *** (−4.07) |
| Convergence rate s (%) | 3.67 | 1.41 | 0.93 | 9.00 | |
| Half-life (Year) | 18.88 | 49.15 | 74.53 | 7.70 | |
| Result | Converge | Diverge | Converge | Converge | Converge |
| Variable | Overall | East | Central | West | Northeast |
|---|---|---|---|---|---|
| β | −0.376 *** (−7.21) | −0.117 (−1.43) | −0.405 *** (−3.51) | −0.378 *** (−4.41) | −0.344 ** (−2.09) |
| ρ | 0.488 *** (4.94) | −0.129 (−0.64) | 0.523 *** (4.46) | 0.817 *** (17.92) | 0.603 *** (6.31) |
| Convergence rate s (%) | 4.74 | 5.18 | 4.77 | 4.22 | |
| Half-life (Year) | 14.62 | 13.38 | 14.52 | 16.42 | |
| Result | Converge | Diverge | Converge | Converge | Converge |
Disclaimer/Publisher’s Note: The statements, opinions and data contained in all publications are solely those of the individual author(s) and contributor(s) and not of MDPI and/or the editor(s). MDPI and/or the editor(s) disclaim responsibility for any injury to people or property resulting from any ideas, methods, instructions or products referred to in the content. |
© 2025 by the authors. Licensee MDPI, Basel, Switzerland. This article is an open access article distributed under the terms and conditions of the Creative Commons Attribution (CC BY) license (https://creativecommons.org/licenses/by/4.0/).
Share and Cite
Gao, X.; Li, S. A Dynamic Evolution and Spatiotemporal Convergence Analysis of the Coordinated Development Between New Quality Productive Forces and China’s Carbon Total Factor Productivity. Sustainability 2025, 17, 3137. https://doi.org/10.3390/su17073137
Gao X, Li S. A Dynamic Evolution and Spatiotemporal Convergence Analysis of the Coordinated Development Between New Quality Productive Forces and China’s Carbon Total Factor Productivity. Sustainability. 2025; 17(7):3137. https://doi.org/10.3390/su17073137
Chicago/Turabian StyleGao, Xinpeng, and Sufeng Li. 2025. "A Dynamic Evolution and Spatiotemporal Convergence Analysis of the Coordinated Development Between New Quality Productive Forces and China’s Carbon Total Factor Productivity" Sustainability 17, no. 7: 3137. https://doi.org/10.3390/su17073137
APA StyleGao, X., & Li, S. (2025). A Dynamic Evolution and Spatiotemporal Convergence Analysis of the Coordinated Development Between New Quality Productive Forces and China’s Carbon Total Factor Productivity. Sustainability, 17(7), 3137. https://doi.org/10.3390/su17073137

