A Multi-Objective Evaluation Tool (MUVT) for Optimizing Inputs in Cropping Systems: A Case Study on Three Herbaceous Crops
Abstract
1. Introduction
2. Materials and Methods
2.1. The AquaCrop Model
2.2. Irrigation Management Scenarios
2.3. Development of the Operational Framework Behind MUVT
3. Results
3.1. Performance of the Cropping Systems Under Variable Irrigation Scenarios
3.2. Analysis of Cropping Systems Processed by MUVT
3.3. Multi-Objective Analysis of Maize, Sugar Beet and Processing Tomato
4. Discussion
4.1. Challenges and Advances in Agricultural Resource Optimization
4.2. The Role of MUVT in Multi-Objective Analysis
4.3. Evaluating System-Wide Optimization with MUVT
4.4. Sensitivity Analysis of MUVT with Varying k-Values
5. Conclusions
Supplementary Materials
Author Contributions
Funding
Institutional Review Board Statement
Informed Consent Statement
Data Availability Statement
Conflicts of Interest
References
- United Nations (UN). Transforming Our World: The 2030 Agenda for Sustainable Development; United Nations (UN): New York, NY, USA, 2015. Available online: https://www.un.org/sustainabledevelopment/ (accessed on 1 October 2024).
- Singh, A. An overview of the optimization modelling applications. J. Hydrol. 2012, 466–467, 167–182. [Google Scholar] [CrossRef]
- Yan, F.; Liu, X.; Bai, W.; Fan, J.; Zhang, F.; Xiang, Y.; Hou, X.; Pei, S.; Dai, Y.; Zeng, H.; et al. Multi-objective optimization of water and nitrogen regimes for drip-fertigated sugar beet in a desert climate. Field Crops Res. 2022, 288, 108703. [Google Scholar] [CrossRef]
- Vedula, S.; Mujumdar, P.P.; Sekhar, G.C. Conjunctive use modeling for multicrop irrigation. Agric. Water Manag. 2005, 73, 193–221. [Google Scholar] [CrossRef]
- Karamouz, M.; Zahraie, B.; Kerachian, R.; Eslami, A. Crop pattern and conjunctive use management: A case study. Irrig. Drain. 2008, 59, 161–173. [Google Scholar] [CrossRef]
- Agbeleye, O.A.; Akinyosoye, S.T.; Adetumbi, J.A. Correlation, path coefficient and principal component analysis of yield components in mung bean [Vigna radiata (L.) Wilczek] accessions. Trop. Agric. 2020, 97, 212–218. [Google Scholar]
- Hou, X.H.; Fan, J.L.; Hu, W.H.; Zhang, F.C.; Yan, F.L.; Xiao, C.; Li, Y.P.; Cheng, H.L. Optimal irrigation amount and nitrogen rate improved seed cotton yield while maintaining fiber quality of drip-fertigated cotton in northwest China. Ind. Crop. Prod. 2021, 170, 113710. [Google Scholar] [CrossRef]
- Chen, X.J.; Min, D.H.; Yasir, T.A.; Hu, Y.G. Evaluation of 14 morphological, yield-related and physiological traits as indicators of drought tolerance in Chinese winter bread wheat revealed by analysis of the membership function value of drought tolerance (MFVD). Field Crops Res. 2012, 137, 195–201. [Google Scholar] [CrossRef]
- Li, M.; Xu, W.; Zhu, T. Agricultural Water Allocation under Uncertainty: Redistribution of Water Shortage Risk. Am. J. Agric. Econ. 2019, 101, 134–153. [Google Scholar] [CrossRef]
- Xiao, C.; Zou, H.; Fan, J.; Zhang, F.; Li, Y.; Sun, S.; Pulatov, A. Optimizing irrigation amount and fertilization rate of drip-fertigated spring maize in northwest China based on multi-level fuzzy comprehensive evaluation model. Agric. Water Manag. 2021, 257, 107157. [Google Scholar] [CrossRef]
- Zhang, S.; Chen, S.; Hu, T.; Geng, C.; Liu, J. Optimization of irrigation and nitrogen levels for a trade-off: Yield, quality, water use efficiency and environment effect in a drip-fertigated apple orchard based on TOPSIS method. Sci. Hortic. 2023, 309, 111700. [Google Scholar] [CrossRef]
- Wang, H.; Cheng, M.; Zhang, S.; Fan, J.; Feng, H.; Zhang, F.; Xiang, Y. Optimization of irrigation amount and fertilization rate of drip-fertigated potato based on analytic hierarchy process and fuzzy comprehensive evaluation methods. Agric. Water Manag. 2021, 256, 107130. [Google Scholar]
- Yan, F.L.; Zhang, F.C.; Fan, X.K.; Wang, Y.; Hou, X.H.; He, Q. Optimal irrigation and nitrogen application amounts for spring maize based on evaluation model in sandy soil area in Ningxia. Trans. Chin. Soc. Agric. Eng. 2020, 9, 257–265. [Google Scholar]
- Garofalo, P.; Campi, P.; Vonella, A.V.; Mastrorilli, M. Application of multi-metric analysis for the evaluation of energy performance and energy use efficiency of sweet sorghum in the bioethanol supply-chain: A fuzzy-based expert system approach. Appl. Energy 2018, 220, 313–324. [Google Scholar]
- Steduto, P.; Hsiao, T.C.; Raes, D.; Fereres, E. AquaCrop—The FAO Crop Model to Simulate Yield Response to Water: I. Concepts and Underlying Principles. Agron. J. 2009, 101, 426–437. [Google Scholar]
- Dhouib, M.; Zitouna-Chebbi, R.; Prévot, L.; Molénat, J.; Mekki, I.; Jacob, F. Multicriteria evaluation of the AquaCrop crop model in a hilly rainfed Mediterranean agrosystem. Agric. Water Manag. 2022, 273, 107912. [Google Scholar]
- Muroyiwa, G.A.T.M.; Mhizha, T.; Mashonjowa, E.; Muchuweti, M. Evaluation of FAO AquaCrop Model for ability to simulate attainable yields and water use for field tomatoes grown under deficit irrigation in Harare, Zimbabwe. Afr. Crop Sci. J. 2022, 30, 245–269. [Google Scholar]
- Raes, D.; Steduto, P.; Hsiao, T.C.; Fereres, E. AquaCrop—The FAO Crop Model to Simulate Yield Response to Water: II. Main Algorithms and Software Description. Agron. J. 2009, 101, 438–447. [Google Scholar]
- Wellens, J.; Raes, D.; Fereres, E.; Diels, J.; Coppye, C.; Adiele, J.G.; Ezui, K.S.G.; Becerra, L.-A.; Selvaraj, M.G.; Dercon, G.; et al. Calibration and validation of the FAO AquaCrop water productivity model for cassava (Manihot esculenta Crantz). Agric. Water Manag. 2022, 263, 107491. [Google Scholar]
- Paredes, P.; de Melo-Abreu, J.P.; Alves, I.; Pereira, L.S. Assessing the performance of the FAO AquaCrop model to estimate maize yields and water use under full and deficit irrigation with focus on model parameterization. Agric. Water Manag. 2014, 144, 81–97. [Google Scholar]
- García-Vila, M.; Morillo-Velarde, R.; Fereres, E. Modeling sugar beet responses to irrigation with AquaCrop for optimizing water allocation. Water 2019, 11, 1918. [Google Scholar] [CrossRef]
- Rinaldi, M.; Garofalo, P.; Rubino, P.; Steduto, P. Processing tomatoes under different irrigation regimes in Southern Italy: Agronomic and economic assessments in a simulation case study. J. Agrometeorol. 2011, 3, 39–56. [Google Scholar]
- Francaviglia, R.; Di Bene, C. Deficit drip irrigation in processing tomato production in the Mediterranean basin: A data analysis for Italy. Agriculture 2019, 9, 79. [Google Scholar] [CrossRef]
- Uygan, D.; Cetin, O.; Alveroglu, V.; Sofuoglu, A. Improvement of water saving and economic productivity based on irrigation with sugar content of sugar beet using linear move sprinkler irrigation. Agric. Water Manag. 2021, 255, 106989. [Google Scholar]
- Corbari, C.; Ben Charfi, I.; Mancini, M. Optimizing irrigation water use efficiency for tomato and maize fields across Italy combining remote sensing data and the AquaCrop model. Hydrology 2021, 8, 39. [Google Scholar] [CrossRef]
- Emberger, L. Une classification biogéographique des climats. In Recueil des Travaux du Laboratoire Géolo-Zoologique de la Faculté des Sciences de Montpellier; Service Botanique: Montpellier, France, 1955; Volume 7, pp. 3–43. [Google Scholar]
- ISMEAmercati. Listino dei Prezzi Alla Produzione Agricola. Available online: https://www.ismeamercati.it/flex/cm/pages/ServeBLOB.php/L/IT/IDPagina/1189 (accessed on 1 October 2024).
- Garofalo, P.; Riccardi, M.; Di Tommasi, P.; Tedeschi, A.; Rinaldi, M.; De Lorenzi, F. AquaCrop model to optimize water supply for sustainable processing tomato cultivation in the Mediterranean area: A multi-objective approach. Agric. Syst. 2025, 223, 104198. [Google Scholar]
- Agerborsamerci. Listino Prezzi Agricoli. Available online: https://www.agerborsamerci.it/listino/listino.html (accessed on 1 October 2024).
- Fullbrook, D. Food as security. Food Secur. 2010, 2, 5–20. [Google Scholar]
- Alexandratos, N.; Bruinsma, J. World Agriculture Towards 2030/2050: The 2012 Revision; FAO: Rome, Italy, 2012. [Google Scholar]
- Malhi, G.S.; Kaur, M.; Kaushik, P. Impact of climate change on agriculture and its mitigation strategies: A review. Sustainability 2021, 13, 1318. [Google Scholar] [CrossRef]
- Shahzad, A.; Ullah, S.; Dar, A.A.; Sardar, M.F.; Mehmood, T.; Tufail, M.A.; Haris, M. Nexus on climate change: Agriculture and possible solutions to cope with future climate change stresses. Environ. Sci. Pollut. Res. 2021, 28, 14211–14232. [Google Scholar]
- Nsabiyeze, A.; Ma, R.; Li, J.; Luo, H.; Zhao, Q.; Tomka, J.; Zhang, M. Tackling climate change in agriculture: A global evaluation of the effectiveness of carbon emission reduction policies. J. Clean. Prod. 2024, 468, 142973. [Google Scholar]
- Bibi, F.; Rahman, A. An overview of climate change impacts on agriculture and their mitigation strategies. Agriculture 2023, 13, 1508. [Google Scholar] [CrossRef]
- Shi, W.; Zhang, Q.; Xie, R.; Sheng, K.; Tan, J.; Wang, Y. Blending loss-control and normal urea maximizes nitrogen utilization of summer maize by mitigating ammonia volatilization and nitrate leaching. Plant Soil 2023, 490, 125–141. [Google Scholar]
- Miao, B.L.; Liu, Y.; Fan, Y.B.; Niu, X.J.; Jiang, X.Y.; Tang, Z. Optimization of Agricultural Resource Allocation among Crops: A Portfolio Model Analysis. Land 2023, 12, 1901. [Google Scholar] [CrossRef]
- Elia, A.E.; Conversa, G. A decision support system (GesCoN) for managing fertigation in open-field vegetable crops. Part I—Methodological approach and description of the software. Front. Plant Sci. 2015, 6, 319. [Google Scholar]
- Garofalo, P.; Parlavecchia, M.; Giglio, L.; Campobasso, I.; Ventrella, D. Developing a software for measuring carbon and water footprint of organic durum wheat cultivation systems: The Smart Future Organic Farming (SFOF) project. In Proceedings of the XXV National Agrometeorology Conference, Matera, Italy, 14–16 June 2023; pp. 100–103. [Google Scholar]
- Garofalo, P.; Cammerino, A.R.B. Modeling the performance of a continuous durum wheat cropping system in a Mediterranean environment: Carbon and water footprint at different sowing dates, under rainfed and irrigated water regimes. Agriculture 2025, 15, 259. [Google Scholar] [CrossRef]
- Mirás-Avalos, J.M.; Rubio-Asensio, J.S.; Ramírez-Cuesta, J.M.; Maestre-Valero, J.F.; Intrigliolo, D.S. Irrigation-Advisor—A decision support system for irrigation of vegetable crops. Water 2019, 11, 2245. [Google Scholar] [CrossRef]
- Urso, G.D.; Michele, C.D.; Bolognesi, S.F. IRRISAT: The Italian on-line satellite irrigation advisory service. In Proceedings of the EFITA-WCCA-CIGR Conference, Turin, Italy, 24–27 June 2013. [Google Scholar]
- Bonfante, A.; Monaco, E.; Manna, P.; De Mascellis, R.; Basile, A.; Buonanno, M.; Brook, A. LCIS DSS—An irrigation supporting system for water use efficiency improvement in precision agriculture: A maize case study. Agric. Syst. 2019, 176, 102646. [Google Scholar]
- Vanuytrecht, E.; Raes, D.; Steduto, P.; Hsiao, T.C.; Fereres, E.; Heng, L.K.; Vila, M.G.; Moreno, P.M. AquaCrop: FAO’s crop water productivity and yield response model. Environ. Model. Softw. 2014, 62, 351–360. [Google Scholar]
- Brisson, N.; Gary, C.; Justes, E.; Roche, R.; Mary, B.; Ripoche, D.; Sinoquet, H. An overview of the crop model STICS. Eur. J. Agron. 2003, 18, 309–332. [Google Scholar]
- Stöckle, C.O.; Kemanian, A.R.; Nelson, R.L.; Adam, J.C.; Sommer, R.; Carlson, B. CropSyst model evolution: From field to regional to global scales and from research to decision support systems. Environ. Model. Softw. 2014, 62, 361–369. [Google Scholar]
- Jones, J.W.; Hoogenboom, G.; Porter, C.H.; Boote, K.J.; Batchelor, W.D.; Hunt, L.A.; Ritchie, J.T. The DSSAT cropping system model. Eur. J. Agron. 2003, 18, 235–265. [Google Scholar]
- Zhang, C.; Xie, Z.; Wang, Q.; Tang, M.; Feng, S.; Cai, H. AquaCrop modeling to explore optimal irrigation of winter wheat for improving grain yield and water productivity. Agric. Water Manag. 2022, 266, 107580. [Google Scholar]
- Raes, D.; Fereres, E.; Vila, M.G.; Curnel, Y.; Knoden, D.; Çelik, S.K.; Wellens, J. Simulation of alfalfa yield with AquaCrop. Agric. Water Manag. 2023, 284, 108341. [Google Scholar]
- Fazel, F.; Ansari, H.; Aguilar, J. Determination of the most efficient forage sorghum irrigation scheduling strategies in the US Central High Plains using the AquaCrop model and field experiments. Agronomy 2023, 13, 2446. [Google Scholar] [CrossRef]
- Silva, L.; Conceição, L.A.; Lidon, F.C.; Patanita, M.; D’Antonio, P.; Fiorentino, C. Digitization of crop nitrogen modelling: A review. Agronomy 2023, 13, 1964. [Google Scholar] [CrossRef]
- Smith, M. CROPWAT: A Computer Program for Irrigation Planning and Management; FAO Irrigation and Drainage Paper No. 46; Food and Agriculture Organization: Rome, Italy, 1992. [Google Scholar]
- Garofalo, P.; Gaeta, L.; Vitti, C.; Giglio, L.; Leogrande, R. Optimizing water footprint, productivity, and sustainability in southern Italian olive groves: The role of organic fertilizers and irrigation management. Land 2025, 14, 318. [Google Scholar] [CrossRef]
- Naghdi, S.; Bozorg-Haddad, O.; Khorsandi, M.; Chu, X. Multi-objective optimization for allocation of surface water and groundwater resources. Sci. Total Environ. 2021, 776, 146026. [Google Scholar]
- Kaim, A.; Cord, A.F.; Volk, M. A review of multi-criteria optimization techniques for agricultural land use allocation. Environ. Model. Softw. 2018, 105, 79–93. [Google Scholar]
- Miettinen, K.; Mäkelä, M.M. On scalarizing functions in multiobjective optimization. OR Spectr. 2002, 24, 193–213. [Google Scholar]
- Memmah, M.M.; Lescourret, F.; Yao, X.; Lavigne, C. Metaheuristics for agricultural land use optimization: A review. Agron. Sustain. Dev. 2015, 35, 975–998. [Google Scholar]
- Whittaker, G.; Färe, R.; Grosskopf, S.; Barnhart, B.; Bostian, M.; Mueller-Warrant, G.; Griffith, S. Spatial targeting of agri-environmental policy using bilevel evolutionary optimization. Omega 2017, 66, 15–27. [Google Scholar]
- Du, J.; Liu, R.; Cheng, D.; Wang, X.; Zhang, T.; Yu, F. Enhancing NSGA-II algorithm through hybrid strategy for optimizing maize water and fertilizer irrigation simulation. Symmetry 2024, 16, 1062. [Google Scholar] [CrossRef]


| Crop | Man | Irr. | Dry_y | Drainage | Blue_FP | IUE | WUE | Net_Inc |
|---|---|---|---|---|---|---|---|---|
| mm | t ha−1 | mm | mm t−1 | kg mm−1 | kg mm−1 | € ha−1 | ||
| Maize | Irr_10 | 63 (±5) h | 8.84 (±1.60) d | 0.00 (±0.00) c | 7.13 (±1.02) h | 140.12 (±26.75) a | 22.01 (±1.61) a | 2693 (±499) d |
| Irr_20 | 126 (±10) g | 10.66 (±1.51) c | 0.00 (±0.00) c | 11.84 (±1.60) g | 84.44 (±9.73) b | 22.68 (±1.34) a | 3163 (±466) cd | |
| Irr_40 | 252 (±19) f | 13.05 (±1.37) b | 0.00 (±0.00) c | 19.34 (±1.60) f | 51.71 (±4.68) c | 23.47 (±1.12) a | 3759 (±416) ab | |
| Irr_60 | 379 (±29) e | 14.58 (±0.50) ab | 0.00 (±0.00) c | 25.97 (±0.49) e | 38.51 (±0.75) cd | 23.80 (±0.86) a | 3997 (±138) a | |
| Irr_80 | 505 (±39) d | 14.67 (±0.34) a | 0.00 (±0.00) c | 34.42 (±0.34) d | 29.05 (±0.32) d | 23.71 (±0.79) a | 3787 (±73) ab | |
| Full | 631 (±49) c | 14.62 (±0.35) a | 7.10 (±16.62) c | 43.15 (±0.62) c | 23.18 (±0.25) de | 23.81 (±0.82) a | 3404 (±197) bc | |
| Sur_20 | 757 (±59) b | 14.62 (±0.35) a | 83.13 (±70.94) b | 51.77 (±0.51) b | 19.32 (±0.20) de | 23.63 (±0.82) a | 3139 (±56) cd | |
| Sur_40 | 883 (±69) a | 14.62 (±0.35) a | 210.98 (±77.65) a | 60.42 (±0.60) a | 16.55 (±0.17) e | 23.64 (±0.82) a | 2820 (±48) d | |
| Sbeet | Irr_10 | 57 (±8) h | 8.96 (±1.51) c | 0.00 (±0.00) c | 6.35 (±0.80) h | 157.48 (±18.90) a | 22.58 (±2.85) a | 13570 (±2297) b |
| Irr_20 | 114 (±15) g | 10.51 (±1.40) c | 0.67 (±0.82) c | 10.83 (±1.41) g | 92.38 (±19.14) b | 22.94 (±2.27) a | 15849 (±2129) b | |
| Irr_40 | 228 (±30) f | 12.58 (±0.97) b | 1.02 (±1.14) c | 18.09 (±1.54) f | 55.28 (±14.78) c | 22.99 (±1.57) a | 18851 (±1481) a | |
| Irr_60 | 341 (±45) e | 13.86 (±0.63) ab | 2.98 (±0.98) c | 24.64 (±1.32) e | 40.59 (±5.35) cd | 22.77 (±1.25) a | 20592 (±962) a | |
| Irr_80 | 455 (±60) d | 14.51 (±0.52) a | 3.07 (±0.69) c | 31.37 (±1.35) d | 31.88 (±2.39) cd | 22.27 (±1.16) a | 21368 (±785) a | |
| Full | 569 (±75) c | 14.72 (±0.45) a | 3.52 (±2.81) c | 38.66 (±1.27) c | 25.87 (±1.38) d | 21.22 (±1.09) a | 21370 (±658) a | |
| Sur_20 | 683 (±90) b | 14.88 (±0.54) a | 133.70 (±22.34) b | 45.90 (±1.23) b | 21.79 (±0.87) d | 21.57 (±1.21) a | 21401 (±808) a | |
| Sur_40 | 797 (±105) a | 14.86 (±0.58) a | 293.55 (±50.13) a | 53.62 (±1.17) a | 18.65 (±0.79) d | 21.37 (±1.16) a | 21056 (±869) a | |
| PTom | Irr_10 | 53 (±5) h | 2.86 (±0.82) d | 0.00 (±0.00) c | 14.45 (±3.93) g | 73.93 (±21.57) a | 9.76 (±1.38) d | 5788 (±1684) d |
| Irr_20 | 106 (±10) g | 3.74 (±0.86) cd | 0.00 (±0.00) c | 32.36 (±7.26) f | 32.28 (±7.50) b | 10.36 (±1.30) cd | 7505 (±1763) cd | |
| Irr_40 | 211 (±19) f | 4.87 (±0.84) c | 0.00 (±0.00) c | 40.66 (±6.84) ef | 25.19 (±4.29) bc | 11.26 (±1.00) bc | 9716 (±1716) c | |
| Irr_60 | 317 (±29) e | 6.56 (±0.87) b | 2.27 (±0.94) c | 47.85 (±6.42) de | 21.20 (±2.73) bc | 12.43 (±0.99) ab | 12960 (±1775) b | |
| Irr_80 | 422 (±39) d | 7.59 (±0.59) ab | 4.92 (±1.86) c | 56.29 (±4.00) cd | 17.84 (±1.26) bc | 12.99 (±0.69) a | 14840 (±1188) ab | |
| Full | 530 (±49) c | 8.06 (±0.20) a | 8.08 (±2.53) c | 65.58 (±3.38) c | 15.41 (±1.11) c | 13.19 (±0.62) a | 15557 (±506) a | |
| Sur_20 | 634 (±58) b | 8.06 (±0.21) a | 110.18 (±23.46) b | 76.81 (±2.17) b | 13.03 (±0.36) c | 13.02 (±0.63) a | 15333 (±398) ab | |
| Sur_40 | 739 (±68) a | 8.06 (±0.20) a | 185.67 (±37.92) a | 91.18 (±2.59) a | 10.97 (±0.31) c | 13.01 (±0.64) ab | 15060 (±393) ab |
| Crop | Variable | Parameter | ||||||
|---|---|---|---|---|---|---|---|---|
| β0 | βi | βii | R2 | α_β0 | α_βi | α_βii | ||
| Maize | Dry_Y | −2.24 | −7.83 × 10−6 | 9.89 × 10−3 | 8.20 × 10−1 | 0 | 0 | 0 |
| Drainage | 6.72 × 10−2 | 8.63 × 10−6 | −5.45 × 10−3 | 7.90 × 10−1 | 7.29 × 10−1 | 0 | 0 | |
| Blue_FP | −1.51 | 4.19 × 10−7 | 3.18 × 10−3 | 9.90 × 10−1 | 0 | 1.95 × 10−2 | 0 | |
| IUE | 2.2 | 7.10 × 10−6 | −9.37 × 10−3 | 8.40 × 10−1 | 0 | 0 | 0 | |
| WUE | −9.22 × 10−1 | −5.33 × 10−6 | 6.28 × 10−3 | 2.70 × 10−1 | 6.00 × 10−4 | 1.02 × 10−2 | 1.70 × 10−3 | |
| Net_Inc | −1.55 | −1.00 × 10−5 | 1.14 × 10−2 | 6.40 × 10−1 | 0 | 0 | 0 | |
| Sbeet | Dry_Y | −2.11 | −7.87 × 10−6 | 9.70 × 10−3 | 8.48 × 10−1 | 0 | 0 | 0 |
| Drainage | −6.84 × 10−2 | 1.00 × 10−5 | −5.99 × 10−3 | 8.48 × 10−1 | 6.67 × 10−1 | 0 | 0 | |
| Blue_FP | −1.56 | 4.82 × 10−9 | 3.95 × 10−3 | 9.90 × 10−1 | 0 | 9.84 × 10−1 | 0 | |
| IUE | 2.15 | 9.05 × 10−6 | −1.05 × 10−2 | 8.17 × 10−1 | 0 | 0 | 0 | |
| WUE | 4.08 × 10−1 | −1.56 × 10−6 | −1.80 × 10−4 | 1.40 × 10−1 | 2.84 × 10−1 | 5.60 × 10−1 | 9.36 × 10−1 | |
| Net_Inc | −2.14 | −9.17 × 10−6 | 1.05 × 10−2 | 8.08 × 10−1 | 0 | 0 | 0 | |
| Ptom | Dry_Y | −2.08 | −7.24 × 10−6 | 9.34 × 10−3 | 9.12 × 10−1 | 0 | 0 | 0 |
| Drainage | −1.50 × 10−1 | 1.00 × 10−5 | −5.56 × 10−3 | 8.68 × 10−1 | 3.18 × 10−1 | 0 | 0 | |
| Blue_FP | −1.54 | −1.47 × 10−7 | 4.23 × 10−3 | 9.40 × 10−1 | 0 | 8.52 × 10−1 | 0 | |
| IUE | 1.98 | 9.13 × 10−6 | −1.01 × 10−2 | 7.00 × 10−1 | 0 | 0 | 0 | |
| WUE | −1.88 | −7.83 × 10−6 | 9.12 × 10−3 | 6.70 × 10−1 | 0 | 0 | 3.00 × 10−4 | |
| Net_Inc | −2.12 | −8.26 × 10−6 | 1.00 × 10−2 | 8.90 × 10−1 | 0 | 0 | 0 | |
| Crop | Variable | Parameter | Judgment | |||||
|---|---|---|---|---|---|---|---|---|
| WRf_β0 | WRf_βi | WRf_Βii | WR_R2 | STVi | WVi | |||
| Maize | Dry_Y | 1.00 | 1.00 | 1.00 | 1.00 | 3.07 | 1.00 | Very strong |
| Drainage | 0.00 | 1.00 | 1.00 | 0.75 | 0.60 | −0.11 | Not Significant | |
| Blue_FP | 1.00 | 0.33 | 1.00 | 1.00 | 2.51 | −1.00 | Very strong | |
| IUE | 1.00 | 1.00 | 1.00 | 1.00 | 3.05 | 1.00 | Very strong | |
| WUE | 1.00 | 0.33 | 0.66 | 0.25 | 0.99 | 0.47 | Moderate | |
| Net_Inc | 1.00 | 1.00 | 1.00 | 0.75 | 2.04 | 0.99 | Very strong | |
| Sbeet | Dry_Y | 1.00 | 1.00 | 1.00 | 1.00 | 2.96 | 1.00 | Very strong |
| Drainage | 0.00 | 1.00 | 1.00 | 1.00 | 0.85 | −0.30 | Poor | |
| Blue_FP | 1.00 | 0.00 | 1.00 | 1.00 | 2.55 | −1.00 | Very strong | |
| IUE | 1.00 | 1.00 | 1.00 | 1.00 | 2.97 | 1.00 | Very strong | |
| WUE | 0.00 | 0.00 | 0.00 | 0.00 | 0.00 | 0.01 | Not significant | |
| Net_Inc | 1.00 | 1.00 | 1.00 | 1.00 | 2.96 | 1.00 | Very strong | |
| Ptom | Dry_Y | 1.00 | 1.00 | 1.00 | 1.00 | 3.00 | 1.00 | Very strong |
| Drainage | 0.00 | 1.00 | 1.00 | 1.00 | 0.87 | −0.17 | Not significant | |
| Blue_FP | 1.00 | 0.00 | 1.00 | 1.00 | 2.48 | −1.00 | Very strong | |
| IUE | 1.00 | 1.00 | 1.00 | 0.75 | 2.52 | 1.00 | Very strong | |
| WUE | 1.00 | 1.00 | 1.00 | 0.75 | 2.39 | 1.00 | Very strong | |
| Net_Inc | 1.00 | 1.00 | 1.00 | 1.00 | 3.02 | 1.00 | Very strong | |
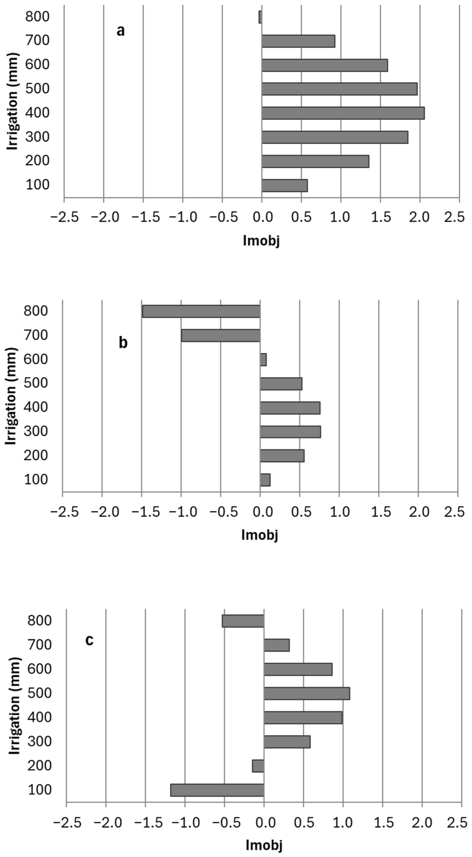
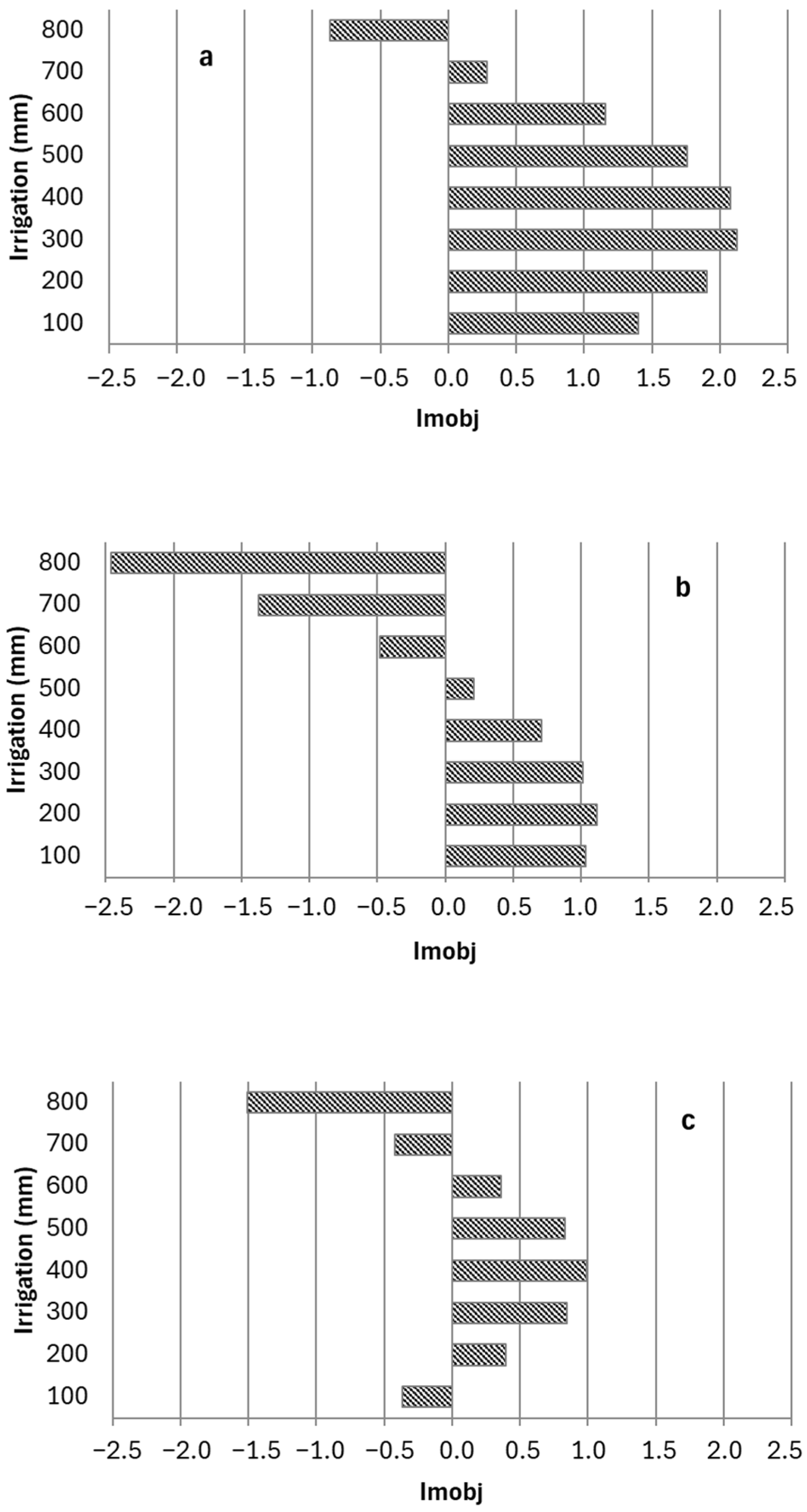
| Crop | Irrigation | Parameter | |||||
|---|---|---|---|---|---|---|---|
| Dry_Y | Drainage | Blue_FP | IUE | WUE | Net_Inc | ||
| Maize | 100 | −1.33 | 0.04 | 1.19 | 1.34 | −0.16 | −0.51 |
| 200 | −0.57 | 0.07 | 0.86 | 0.61 | 0.06 | 0.33 | |
| 300 | 0.03 | 0.08 | 0.52 | 0.03 | 0.22 | 0.96 | |
| 400 | 0.47 | 0.08 | 0.17 | −0.41 | 0.34 | 1.40 | |
| 500 | 0.75 | 0.05 | −0.18 | −0.71 | 0.41 | 1.64 | |
| 600 | 0.88 | 0.01 | −0.54 | −0.86 | 0.43 | 1.68 | |
| 700 | 0.85 | −0.05 | −0.92 | −0.88 | 0.40 | 1.52 | |
| 800 | 0.66 | −0.13 | −1.30 | −0.75 | 0.32 | 1.16 | |
| Sbeet | 100 | −1.22 | 0.17 | 1.16 | 1.19 | 0.00 | −1.18 |
| 200 | −0.48 | 0.26 | 0.76 | 0.42 | 0.00 | −0.41 | |
| 300 | 0.09 | 0.29 | 0.37 | −0.17 | 0.00 | 0.18 | |
| 400 | 0.51 | 0.26 | −0.03 | −0.59 | 0.00 | 0.59 | |
| 500 | 0.78 | 0.17 | −0.42 | −0.82 | 0.00 | 0.82 | |
| 600 | 0.88 | 0.02 | −0.82 | −0.87 | 0.00 | 0.86 | |
| 700 | 0.83 | −0.59 | −1.21 | −0.73 | 0.00 | 0.72 | |
| 800 | 0.62 | −0.46 | −1.61 | −0.42 | 0.00 | 0.40 | |
| Ptom | 100 | −1.22 | 0.10 | 1.12 | 1.06 | −1.04 | −1.20 |
| 200 | −0.50 | 0.15 | 0.70 | 0.33 | −0.37 | −0.45 | |
| 300 | 0.07 | 0.16 | 0.28 | −0.22 | 0.15 | 0.13 | |
| 400 | 0.50 | 0.13 | −0.13 | −0.58 | 0.51 | 0.56 | |
| 500 | 0.78 | 0.07 | −0.54 | −0.77 | 0.72 | 0.81 | |
| 600 | 0.92 | −0.02 | −0.94 | −0.77 | 0.77 | 0.90 | |
| 700 | 0.91 | −0.15 | −1.35 | −0.59 | 0.67 | 0.83 | |
| 800 | 0.76 | −0.31 | −1.75 | −0.23 | 0.40 | 0.59 | |
Disclaimer/Publisher’s Note: The statements, opinions and data contained in all publications are solely those of the individual author(s) and contributor(s) and not of MDPI and/or the editor(s). MDPI and/or the editor(s) disclaim responsibility for any injury to people or property resulting from any ideas, methods, instructions or products referred to in the content. |
© 2025 by the authors. Licensee MDPI, Basel, Switzerland. This article is an open access article distributed under the terms and conditions of the Creative Commons Attribution (CC BY) license (https://creativecommons.org/licenses/by/4.0/).
Share and Cite
Garofalo, P.; Vonella, A.V. A Multi-Objective Evaluation Tool (MUVT) for Optimizing Inputs in Cropping Systems: A Case Study on Three Herbaceous Crops. Sustainability 2025, 17, 3030. https://doi.org/10.3390/su17073030
Garofalo P, Vonella AV. A Multi-Objective Evaluation Tool (MUVT) for Optimizing Inputs in Cropping Systems: A Case Study on Three Herbaceous Crops. Sustainability. 2025; 17(7):3030. https://doi.org/10.3390/su17073030
Chicago/Turabian StyleGarofalo, Pasquale, and Alessandro Vittorio Vonella. 2025. "A Multi-Objective Evaluation Tool (MUVT) for Optimizing Inputs in Cropping Systems: A Case Study on Three Herbaceous Crops" Sustainability 17, no. 7: 3030. https://doi.org/10.3390/su17073030
APA StyleGarofalo, P., & Vonella, A. V. (2025). A Multi-Objective Evaluation Tool (MUVT) for Optimizing Inputs in Cropping Systems: A Case Study on Three Herbaceous Crops. Sustainability, 17(7), 3030. https://doi.org/10.3390/su17073030
