Toward Sustainable Land Management: Improving Ecological Risk Assessment by Incorporating Temporal–Spatial Activities of Protected Birds
Abstract
1. Introduction
2. Materials and Methods
2.1. Overview of the Research Area
2.2. Sample Collection and Analysis
2.2.1. Sample Collection
2.2.2. Sample Processing
2.2.3. Sample Analysis
2.3. Ecological Risk Assessment Method
2.3.1. Hierarchical Evaluation Method
2.3.2. Exposure Calculation
- Exposure calculation methods used in previous research
- b.
- Improved calculation methods in this study
2.3.3. Risk Characterization
3. Results and Discussion
3.1. First-Tier Ecological Risk Assessment
3.2. Second-Tier Risk Assessment
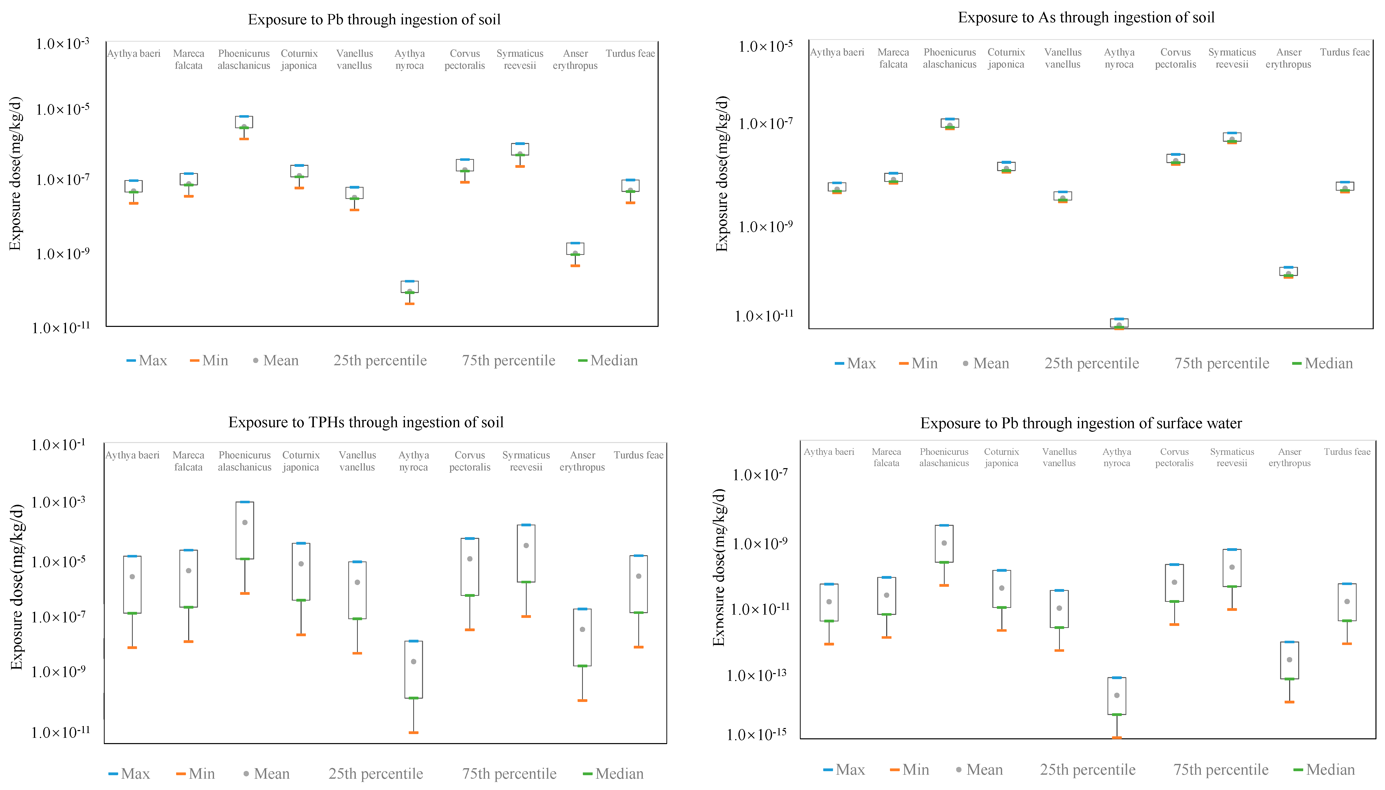
3.2.1. Heavy Metal Exposure Doses of Protected Birds
3.2.2. Exposure Risk to Protected Birds
4. Conclusions
Supplementary Materials
Author Contributions
Funding
Institutional Review Board Statement
Informed Consent Statement
Data Availability Statement
Conflicts of Interest
References
- Ali, H.; Khan, E. Trophic transfer, bioaccumulation, and biomagnification of non-essential hazardous heavy metals and metalloids in food chains/websdconcepts and implications for wildlife and human health. Hum. Ecol. Risk Assess. 2019, 25, 1353–1376. [Google Scholar] [CrossRef]
- Zhuang, P.; Zou, H.L.; Shu, W.S. Biotransfer of heavy metals along a soil-plant-insect-chicken food chain: Field study. J. Environ. Sci. 2009, 21, 849–853. [Google Scholar] [CrossRef]
- Gainer, A.; Bresee, K.; Hogan, N.; Siciliano, S.D. Advancing soil ecological risk assessments for petroleum hydrocarbon contaminated soils in Canada: Persistence, organic carbon normalizationand relevance of species assemblages. Sci. Total Environ. 2019, 668, 400–410. [Google Scholar] [CrossRef] [PubMed]
- Kim, J.; Oh, J.M. Effect of the environmental quality and food chain on trace element concentrations in Heron and Egret chicks at Pyeongtaek Colony, Korea. Ecotoxicology 2014, 23, 1305–1313. [Google Scholar] [CrossRef] [PubMed]
- Salamat, N.; Etemadi-Deylami, E.; Movahedinia, A.; Mohammadi, Y. Heavy metals in selected tissues and histopathological changes in liver and kidney of common moorhen (Gallinula chloropus) from Anzali Wetland, the south Caspian Sea, Iran. Ecotoxicol. Environ. Saf. 2014, 110, 298–307. [Google Scholar] [CrossRef]
- Youssef, S.A.H.; El-Sanousi, A.A.; Afifi, N.A.; El-Brawy, A.M.A. Effect of subclinical lead toxicity on the immune response of chickens to Newcastle disease virus vaccine. Res. Vet. Sci. 1996, 60, 13–16. [Google Scholar] [CrossRef]
- Ullah, K.; Hashmi, M.Z.; Malik, R.N. Heavy-metal levels in feathers of cattle egret and their surrounding environment: A case of the Punjab Province, Pakistan. Arch. Environ. Contam. Toxicol. 2014, 66, 139–153. [Google Scholar] [CrossRef]
- Puasa, N.A.; Zulkharnain, A.; Verasoundarapandian, G.; Wong, C.Y.; Zahri, K.N.M.; Merican, F.; Shaharuddin, N.A.; Gomez-Fuentes, C.; Ahmad, S.A.; Diesel, E.O. Heavy Metals and Plastics Pollution on Penguins in Antarctica: A Review. Animals 2021, 11, 2505. [Google Scholar] [CrossRef]
- King, M.D.; Elliott, J.E.; Williams, T.D. Effects of Petroleum Exposure on Birds: A Review. Sci. Total Environ. 2020, 755, 142834. [Google Scholar] [CrossRef]
- Zhao, D.; Wu, W.D.; Sun, Q.; Yu, F. Research Progress and Prospect of Ecological Effect and Risk Assessment of Site Combined Pollution. Huan Jing Ke Xue Yan Jiu 2023, 36, 30–43. [Google Scholar] [CrossRef]
- Williams, J.; Antoine, J. Evaluation of the elemental pollution status of Jamaican surface sediments using enrichment factor, geoaccumulation index, ecological risk and potential ecological risk index. Mar. Pollut. Bull. 2020, 157, 111288. [Google Scholar] [CrossRef]
- Chen, Y.X.; Jiang, X.S.; Wang, Y.; Zhuang, D.F. Spatial characteristics of heavy metal pollution and the potential ecological risk of a typical mining area: A case study in China. Process Saf. Environ. 2018, 113, 204–219. [Google Scholar] [CrossRef]
- Peng, J.Y.; Chen, Y.N.; Xia, Q.; Rong, G.Z.; Zhang, J.Q. Ecological risk and early warning of soil compound pollutants (HMs, PAHs, PCBs and OCPs) in an industrial city, Changchun, China. Environ. Pollut. 2021, 272, 116038. [Google Scholar] [CrossRef] [PubMed]
- Solomon, K.; Giesy, J.; Jones, P. Probabilistic risk assessment of agrochemicals in the environment. Crop Prot. 2000, 19, 649–655. [Google Scholar] [CrossRef]
- Wang, Z.; Wang, Y.; Ma, X.D.; Na, G.S.; Lin, Z.S.; Yao, Z.W. Probabilistic ecological risk assessment of typical PAHs in coastal water of Bohai Sea. Polycycl. Aromat. Comp. 2013, 33, 367–379. [Google Scholar] [CrossRef]
- Rodríguez-Bolaña, C.; Pérez-Parada, A.; Niell, S.; Heinzen, H.; Mello, F.T. Comparative deterministic and probabilistic approaches for assessing the aquatic ecological risk of pesticides in a mixed land use basin: A case study in Uruguay. Sci. Total Environ. 2024, 910, 168704. [Google Scholar] [CrossRef]
- Shi, Y.J.; Xu, X.B.; Li, Q.F.; Zhang, M.; Li, J.; Lu, Y.L.; Liang, R.Y.; Zheng, X.Q.; Shao, X.Q. Integrated regional ecological risk assessment of multiple metals in the soils: A case in the region around the Bohai Sea and the Yellow Sea. Environ. Pollut. 2018, 242, 288–297. [Google Scholar] [CrossRef]
- Dagnino, A.; Sforzini, S.; Dondero, F.; Dondero, F.; Fenoglio, S.; Bona, E.; Jensen, J. A weight-of-evidence approach for the integration of environmental “triad” data to assess ecological risk and biological vulnerability. Integr. Environ. Assess. Manag. 2008, 4, 314–326. [Google Scholar] [CrossRef]
- Semenzin, E.; Critto, A.; Rutgers, M.; Marcomini, A. Integration of bioavailability, ecology and ecotoxicology by three lines of evidence into ecological risk indexes for contaminated soil assessment. Sci. Total Environ. 2008, 389, 71–86. [Google Scholar] [CrossRef] [PubMed]
- Li, X.Z. Ecological Effects of Combined Pollution Between Heavy Metals and Siduron on Eartnworms in Urban Soils. Ph.D. Thesis, University of Science and Technology of China, Hefei, China, 2018. [Google Scholar]
- Li, X.Z.; Wang, M.E.; Chen, W.P.; Uwizeyimana, H. Ecological risk assessment of polymetallic sites using weight of evidence approach. Ecotoxicol. Environ. Saf. 2018, 154, 255–262. [Google Scholar] [CrossRef]
- Moon, H.G.; Bae, S.; Chae, Y.; Kim, Y.J.; Kim, H.M.; Song, M.; Bae, M.S.; Lee, C.H.; Ha, T.; Seo, J.S.; et al. Assessment of potential ecological risk for polycyclic aromatic hydrocarbons in urban soils with high level of atmospheric particulate matter concentration. Ecotoxicol. Environ. Saf. 2024, 272, 116014. [Google Scholar] [CrossRef]
- Zuo, W.; Zhao, Y.; Qi, P.P.; Zhang, C.R.; Zhao, X.P.; Wu, S.G.; An, X.H.; Liu, X.J.; Cheng, X.; Yu, Y.J.; et al. Current-use pesticides monitoring and ecological risk assessment in vegetable soils at the provincial scale. Environ. Res. 2023, 246, 118023. [Google Scholar] [CrossRef] [PubMed]
- Zha, Y.; Li, Q.; Liu, H.; Ge, Y.; Wei, Y.H.; Wang, H.H.; Zhang, L.; Fan, J.H.; Chen, Y.; Zhang, C.X.; et al. Occurrence and ecological risk assessment of antibiotics in manure and the surrounding soil from typical chicken farms in Hangzhou, China. Front. Environ. Sci. 2023, 11, 1241405. [Google Scholar] [CrossRef]
- Qu, C.S.; Chen, W.; Bi, J.; Huang, L.; Li, F.Y. Ecological risk assessment of pesticide residues in Taihu Lake wetland, China. Ecol. Model. 2011, 222, 287–292. [Google Scholar] [CrossRef]
- Malik, R.N.; Zeb, N. Assessment of environmental contamination using feathers of Bubulcus ibis L., as a biomonitor of heavy metal pollution, Pakistan. Ecotoxicology 2009, 18, 522–536. [Google Scholar] [CrossRef]
- Flores-Serrano, R.M.; Iturbe-Argüelles, R.; Pérez-Casimiro, G.; Ramírez-González, A.; Flores-Guido, J.S.; Kantún-Balam, J.M. Ecological risk assessment for small omnivorous mammals exposed to polycyclic aromatic hydrocarbons: A case study in northeastern Mexico. Sci. Total Environ. 2014, 476–477, 218–227. [Google Scholar] [CrossRef]
- Liu, J.Y.; Liang, J.; Yuan, X.Z.; Zeng, G.M.; Yuan, Y.J.; Wu, H.P.; Huang, X.L.; Liu, J.F.; Hua, S.S.; Li, F.; et al. An integrated model for assessing heavy metal exposure risk to migratory birds in wetland ecosystem: A case study in Dongting Lake Wetland, China. Chemosphere 2015, 135, 14–19. [Google Scholar] [CrossRef] [PubMed]
- Zhu, Y.; Hu, C.S.; Zhang, M.M.; Su, H.J. Risk assessment and application of heavy metal exposure of waterbirds in Caohai Wetland, Guizhou Province, China. Zhong Guo Huan Jing Ke Xue 2021, 41, 4770–4781. [Google Scholar] [CrossRef]
- Xia, P.H.; Ma, L.; Yi, Y.; Lin, T. Assessment of heavy metal pollution and exposure risk for migratory birds- A case study of Caohai wetland in Guizhou Plateau (China). Environ. Pollut. 2021, 275, 116564. [Google Scholar] [CrossRef]
- U.S. Environmental Protection Agency (USEPA). Focused Ecological Risk Assessment Bennett’s Dump Site Bloomtngton, Monroe County, Indiana. 2005; p. 237525. Available online: https://archive.epa.gov/reg5sfun/ecology/web/pdf/bennetts_dump_era.pdf (accessed on 31 December 2024).
- Canadian Council of Ministers of the Environment. Canada-Wide Standard for Petroleum Hydrocarbons (PHC) in Soil: Scientific Rationale, Supporting Technical Document, PN 20081399(2008)1-383. Available online: https://ccme.ca/en/res/phccwsscientificrationale1399.pdf (accessed on 31 December 2024).
- Nagy, K.A. Field metabolic rate and food requirement scaling in mammals and birds. Ecol. Monogr. 1987, 57, 111–128. [Google Scholar] [CrossRef]
- Calder, W.A.; Braun, E.J. Scaling of osmotic regulation in mammals and birds. Am. J. Physiol. 1983, 244, 601–606. [Google Scholar] [CrossRef] [PubMed]
- Beyer, W.N.; Connor, E.E.; Gerould, S. Estimates of soil ingestion by wildlife. J. Wildl. Manag. 1994, 58, 375–382. [Google Scholar] [CrossRef]
- Sample, B.E.; Opresko, D.M.; Suter, G.W., II. Toxicological Benchmarks for Wildlife: 1996 Revision. Available online: https://www.osti.gov/servlets/purl/258027-EvG8BF/webviewable/ (accessed on 31 December 2024). [CrossRef]
- Ihunwo, O.C.; Onyema, M.O.; Wekpe, V.O.; Okocha, C.; Shahabinia, A.R.; Emmanuel, L.; Okwe, V.N.; Lawson, C.B.; Mmom, P.C.; Orji, A.N.D.; et al. Ecological and human health risk assessment of total petroleum hydrocarbons in surface water and sediment from Woji Creek in the Niger Delta Estuary of Rivers State, Nigeria. Heliyon 2021, 7, 7689. [Google Scholar] [CrossRef] [PubMed]
- Beck, M.L.; Hopkins, W.A.; Jackson, B.P. Variation in riparian consumer diet composition and differential bioaccumulation by prey influence the risk of exposure to elements from a recently remediated fly ash spill. Environ. Toxicol. Chem. 2014, 33, 2595–2608. [Google Scholar] [CrossRef] [PubMed]
- Luzardo, O.P.; Ruiz-Suárez, N.; Henríquez-Hernández, L.A.; Valerón, P.F.; Camacho, M.; Zumbado, M.; Boada, L.D. Assessment of the exposure to organochlorine pesticides, PCBs and PAHs in six species of predatory birds of the Canary Islands, Spain. Sci. Total Environ. 2014, 472, 146–153. [Google Scholar] [CrossRef]
- Morrissey, C.A.; Bendell-Young, L.I.; Elliott, J.E. Assessing Trace-Metal Exposure to American Dippers in Mountain Streams of Southwestern British Columbia, Canada. Environ. Toxicol. Chem. 2005, 24, 836–845. [Google Scholar] [CrossRef] [PubMed]
- Wei, Y.Q.; Ding, D.S.; Qu, K.M.; Sun, J.; Cui, Z.G. Ecological risk assessment of heavy metal pollutants and total petroleum hydrocarbons in sediments of the Bohai Sea, China. Mar. Pollut. Bull. 2022, 184, 114218. [Google Scholar] [CrossRef]







| Studied Bird | Adjustment Coefficient | Studied Bird | Adjustment Coefficient |
|---|---|---|---|
| Aythya baeri | 5.08 × 10−8 | Mareca falcata | 8.07 × 10−8 |
| Phoenicurus alaschanicus | 9.69 × 10−7 | Coturnix japonica | 6.82 × 10−8 |
| Vanellus vanellus | 2.29 × 10−8 | Aythya nyroca | 7.8 × 10−11 |
| Corvus pectoralis | 1.92 × 10−7 | Syrmaticus reevesii | 7.39 × 10−7 |
| Anser erythropus | 1.21 × 10−9 | Turdus feae | 3.71 × 10−8 |
| Soil | Pb (mg/kg) | As (mg/kg) | TPH (C10–C40)/Petroleum (mg/kg) | |||
|---|---|---|---|---|---|---|
| / | Endangered | Non-Endangered | Endangered | Non-Endangered | Endangered | Non-Endangered |
| Soil ecological screening values for protected birds developed by USEPA or Oregon | 11 | 23 | 15 | 32 | 6 × 103 | 6 × 103 |
| S01 | 45.7 | 45.7 | 12.8 | 12.8 | 2.62 × 104 | 2.62 × 104 |
| S02 | 93.2 | 93.2 | 10.4 | 10.4 | 6.68 × 103 | 6.68 × 103 |
| S03 | 193 | 193 | 14.9 | 14.9 | 129 | 129 |
| S04 | 54.5 | 54.5 | 11 | 11 | 9.97 × 103 | 9.97 × 103 |
| S05 | 90.8 | 90.8 | 10.5 | 10.5 | 203 | 203 |
| S06 | 44.6 | 44.6 | 16.7 | 16.7 | 24 | 24 |
| S07 | 125 | 125 | 11.5 | 11.5 | 43 | 43 |
| S08 | 148 | 148 | 11 | 11 | 468 | 468 |
| Surface water | Pb (mg/L) | As (mg/L) | Petroleum (mg/L) | |||
| Environmental Quality Standards for Surface Water (Class V) | 0.1 | 0.1 | 1.0 | |||
| SW01 | 0.00044 | 0.001 | 7.11 | |||
| SW02 | 0.0002 | 0.0003 L | 0.21 | |||
| SW03 | 0.0129 | 0.0003 L | 0.1 | |||
| SW04 | 0.00154 | 0.0004 | 0.24 | |||
| Wastewater | Pb (mg/L) | As (mg/L) | Petroleum (mg/L) | |||
| Integrated Wastewater Discharge Standard (Grade 2) | 1.0 | 0.5 | 10 | |||
| WW01 | 0.77 | 2.1 | 0.06 L | |||
| WW02 | 0.09 L | 2.0 | 0.06 L | |||
| WW03 | 0.09 L | 0.6 | 0.06 L | |||
| WW04 | 0.09 L | 1.1 | 0.06 L | |||
| WW05 | 0.09 L | 1.5 | 2.11 | |||
| WW06 | 6.67 | 0.3 L | 60 | |||
| WW07 | 0.09 L | 0.3 L | 0.06 L | |||
| WW08 | 0.09 L | 0.7 | 0.06 L | |||
| WW09 | 0.09 L | 0.4 | 0.06 L | |||
| WW10 | 0.09 L | 0.7 | 0.06 L | |||
| WW11 | 0.09 L | 0.9 | 0.64 | |||
| WW12 | 0.09 L | 0.3 L | 1.02 | |||
| Plant | Pb | As | / | |||
| S41-P (Daucus carota L.) | 0.04 | 0.0051 | / | |||
| BC16-P (Rubus coreanus Miq.) | 0.04 | 0.00005 | / | |||
| S6-P (Rhus chinensis Mill.) | 0.05 | 0.00005 | / | |||
| BC3-P1 (Rubus coreanus Miq.) | 0.05 | 0.00005 | / | |||
| BC3-P2 (Clinopodium chinense (Benth.) Kuntze) | 0.07 | 0.00255 | / | |||
| BC3-P3 (Eremochloa ciliaris (L.) Merr.) | 0.10 | 27.0 | / | |||
| BC11-P (Daucus carota L.) | 0.03 | 0.163 | / | |||
| BC2-P (Daucus carota L.) | 0.05 | 0.00255 | / | |||
| SD2-P1 (Eremochloa ciliaris (L.) Merr.) | 0.07 | 35.7 | / | |||
| SD2-P2 (Rubus coreanus Miq.) | 0.04 | 0.0689 | / | |||
| BC14-P (Eremochloa ciliaris (L.) Merr.) | 0.12 | 39.9 | / | |||
Disclaimer/Publisher’s Note: The statements, opinions and data contained in all publications are solely those of the individual author(s) and contributor(s) and not of MDPI and/or the editor(s). MDPI and/or the editor(s) disclaim responsibility for any injury to people or property resulting from any ideas, methods, instructions or products referred to in the content. |
© 2025 by the authors. Licensee MDPI, Basel, Switzerland. This article is an open access article distributed under the terms and conditions of the Creative Commons Attribution (CC BY) license (https://creativecommons.org/licenses/by/4.0/).
Share and Cite
Zhao, D.; Wu, W.; Zhang, W.; Yu, F.; Sun, Q. Toward Sustainable Land Management: Improving Ecological Risk Assessment by Incorporating Temporal–Spatial Activities of Protected Birds. Sustainability 2025, 17, 1948. https://doi.org/10.3390/su17051948
Zhao D, Wu W, Zhang W, Yu F, Sun Q. Toward Sustainable Land Management: Improving Ecological Risk Assessment by Incorporating Temporal–Spatial Activities of Protected Birds. Sustainability. 2025; 17(5):1948. https://doi.org/10.3390/su17051948
Chicago/Turabian StyleZhao, Dan, Weida Wu, Wenqi Zhang, Fang Yu, and Qian Sun. 2025. "Toward Sustainable Land Management: Improving Ecological Risk Assessment by Incorporating Temporal–Spatial Activities of Protected Birds" Sustainability 17, no. 5: 1948. https://doi.org/10.3390/su17051948
APA StyleZhao, D., Wu, W., Zhang, W., Yu, F., & Sun, Q. (2025). Toward Sustainable Land Management: Improving Ecological Risk Assessment by Incorporating Temporal–Spatial Activities of Protected Birds. Sustainability, 17(5), 1948. https://doi.org/10.3390/su17051948
