The Role of Urban Digital Intelligence in Fostering Sustainable Collaborative Innovation: An Analysis of Spillover Effects
Abstract
1. Introduction
2. Theoretical Analysis and Research Hypotheses
2.1. DIT and Urban Collaborative Innovation
2.2. Mechanisms of Element Flows
2.3. Market Mechanism
3. Research Design and Data
3.1. Research Design
3.2. Variable Selection
3.2.1. Urban Collaborative Innovation
3.2.2. Urban Digital and Intelligence Transformation
3.2.3. Mechanism Variables
3.2.4. Control Variables
3.3. Data Sources
4. Empirical Analysis
4.1. Benchmark Regression Analysis
4.2. Robustness Checks
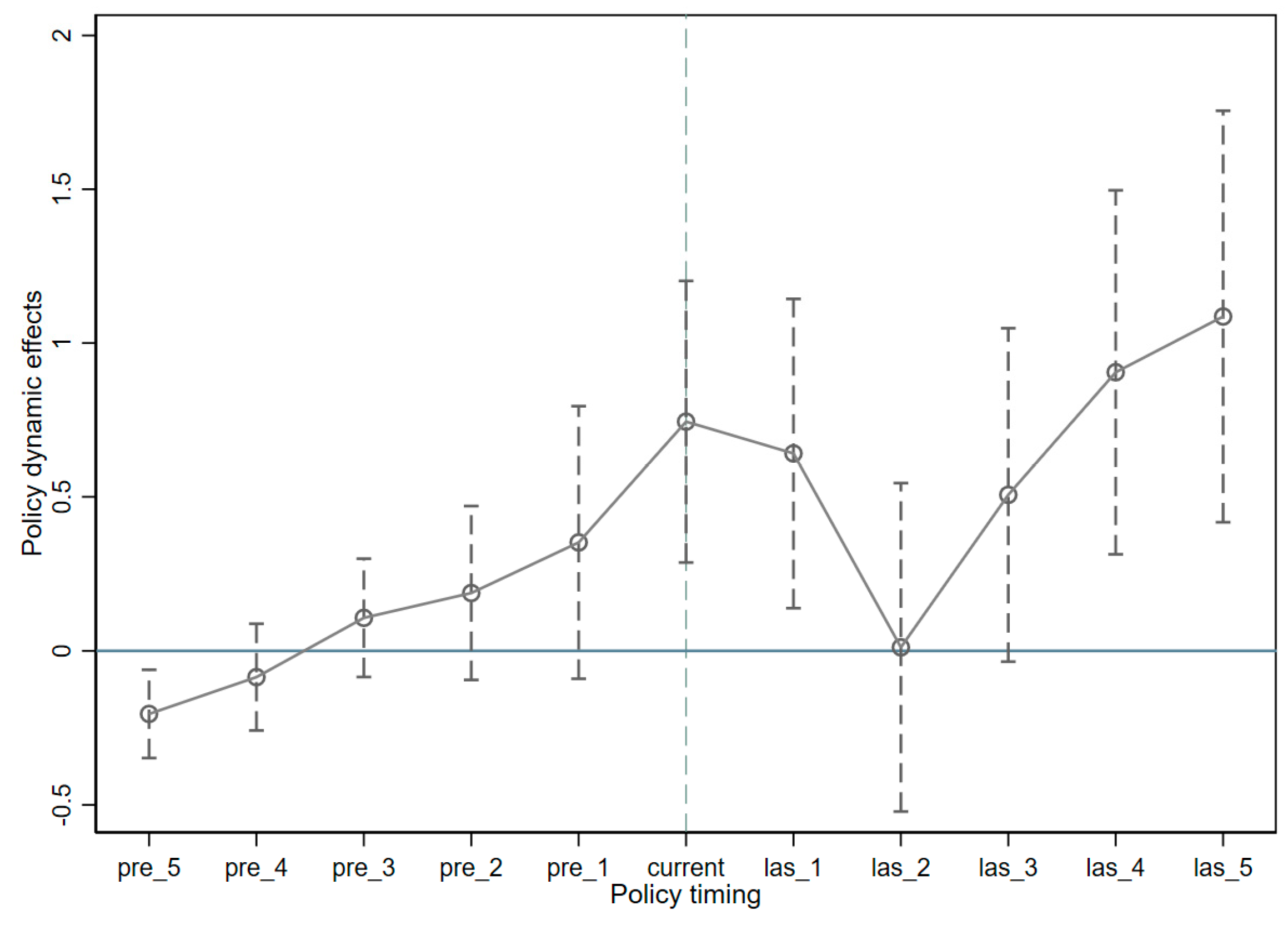
4.2.1. Parallel Trends Test
4.2.2. Placebo Test
4.2.3. Excluding Municipalities
4.2.4. Truncating Extremes
4.2.5. Considering Lagged Effects
4.3. Mechanism Analysis
4.3.1. Factor Flow Mechanism
4.3.2. Market Mechanism
5. Further Discussion
5.1. Moderating Effects
5.2. Heterogeneity Test
5.2.1. Heterogeneity of Innovation Outcomes
5.2.2. Heterogeneity of Innovation Actors
5.2.3. Heterogeneity of Urban Scale
5.2.4. Regional Heterogeneity
6. Discussion
7. Conclusions
Author Contributions
Funding
Institutional Review Board Statement
Informed Consent Statement
Data Availability Statement
Conflicts of Interest
References
- Liu, S.; Jiang, G.; Chang, L.; Wang, L. Can the smart city pilot policy promote high-quality economic development? a quasi-natural experiment based on 239 cities in China. Sustainability 2022, 14, 16005. [Google Scholar] [CrossRef]
- Zhang, C.; Chen, P.; Hao, Y. The impact of digital transformation on corporate sustainability-new evidence from Chinese listed companies. Front. Environ. Sci. 2022, 10, 1047418. [Google Scholar] [CrossRef]
- Wang, Y. The impact of digital economy on the high-quality development of manufacturing industry—An empirical study based on 277 cities in China. Adv. Econ. Manag. Res. 2023, 5, 1–10. [Google Scholar] [CrossRef]
- Liao, W. How does the digital economy affect the development of the green economy? Evidence from Chinese cities. PLoS ONE 2023, 18, e0289826. [Google Scholar] [CrossRef]
- Song, M.; Xiao, Y.; Zhou, Y. How does the smart city policy influence digital infrastructure? Spatial evidence from China. Land 2023, 12, 1381. [Google Scholar] [CrossRef]
- Liu, Y.; Zhang, Y.; Gong, X.; Li, M.; Ren, D.; Jiang, P. Impact of digital economy development on carbon emission efficiency: A spatial econometric analysis based on Chinese provinces and cities. Int. J. Environ. Res. Public Health 2022, 19, 14838. [Google Scholar] [CrossRef] [PubMed]
- Huang, X.; Zhou, J.; Zhou, Y. Digital economy’s spatial implications on urban innovation and its threshold: Evidence from China. Complexity 2022, 2022, 3436741. [Google Scholar] [CrossRef]
- Yang, L.; Chen, Y.; Gao, X. Spatial spillover effect of digital-finance-driven technology innovation level based on BP neural network. Sustainability 2023, 15, 1052. [Google Scholar] [CrossRef]
- Feroz, A.; Zo, H.; Chiravuri, A. Digital transformation and environmental sustainability: A review and research agenda. Sustainability 2021, 13, 1530. [Google Scholar] [CrossRef]
- Bellone, C.; Andreassi, F.; Naselli, F. How digitalization is affecting urban transformation. In Smart Cities and Machine Learning in Urban Health; IGI Global: Hershey, PA, USA, 2022; pp. 69–83. [Google Scholar] [CrossRef]
- Lee, J.; Babcock, J.; Pham, T.; Bui, T.; Kang, M. Smart city as a social transition towards inclusive development through technology: A tale of four smart cities. Int. J. Urban Sci. 2022, 27, 75–100. [Google Scholar] [CrossRef]
- Gong, D.; Shan, X. How does smart city construction affect urban–rural collaborative development? a quasi-natural experiment from Chinese cities. Land 2023, 12, 1571. [Google Scholar] [CrossRef]
- Oliveira, T.A.; Oliver, M.; Ramalhinho, H. Challenges for connecting citizens and smart cities: ICT, E-Governance and Blockchain. Sustainability 2022, 12, 2926. [Google Scholar] [CrossRef]
- Guo, X.; Xu, J. Can urban digital intelligence transformation promote corporate green innovation? Evidence from China. J. Environ. Manag. 2024, 371, 123245. [Google Scholar] [CrossRef] [PubMed]
- Wang, D.; Xu, L.; Du, J. The direct and indirect spatial spillover effects of infrastructure on urban green and smart development. Front. Environ. Sci. 2023, 11, 1197048. [Google Scholar] [CrossRef]
- Tian, Z.; Li, Y.; Niu, X.; Liu, M. The impact of digital economy on regional technological innovation capability: An analysis based on China’s provincial panel data. PLoS ONE 2023, 18, e0288065. [Google Scholar] [CrossRef] [PubMed]
- He, M.; Chen, Y.; Marrewijk, C. The effects of urban transformation on productivity spillovers in China. Econ. Model. 2020, 89, 168–178. [Google Scholar] [CrossRef]
- Caragliu, A.; Del Bo, C.D. Smart innovative cities: The impact of smart city policies on urban innovation. Technol. Forecast. Soc. Change 2019, 142, 100–109. [Google Scholar] [CrossRef]
- Panori, A.; Kakderi, C.; Komninos, N.; Fellnhofer, K.; Reid, A.; Mora, L. Smart systems of innovation for smart places: Challenges in deploying digital platforms for co-creation and data-intelligence. Land Use Policy 2021, 111, 104631. [Google Scholar] [CrossRef]
- Tan, J.; Chen, L. Spatial effect of digital economy on particulate matter 2.5 in the process of smart cities: Evidence from prefecture-level cities in China. Int. J. Environ. Res. Public Health 2022, 19, 14456. [Google Scholar] [CrossRef]
- Wu, T. Regional innovation for sustainable development: The case of romania and China. In Proceedings of the 9th BASIQ International Conference on New Trends in Sustainable Business and Consumption, Constanța, Romania, 8–10 June 2023; pp. 288–294. [Google Scholar] [CrossRef]
- Liu, B.; Luo, J.; Zheng, K.; Wu, F.; Zhao, X. How will industrial collaborative agglomeration affect the efficiency of regional green development? Front. Ecol. Evol. 2023, 11, 1179004. [Google Scholar] [CrossRef]
- Chen, M.; Su, Y.; Piao, Z.; Zhu, J.; Yue, X. The green innovation effect of urban energy saving construction: A quasi-natural experiment from new energy demonstration city policy. J. Clean. Prod. 2023, 428, 139392. [Google Scholar] [CrossRef]
- Zhang, J.; He, S. Smart technologies and urban life: A behavioral and social perspective. Sustain. Cities Soc. 2020, 63, 102460. [Google Scholar] [CrossRef]
- Gao, D.; Cao, Y.; Liu, C. The low-carbon policy and urban green total factor energy efficiency: Evidence from a spatial difference-in-difference method. Int. J. Environ. Res. Public Health 2023, 20, 3498. [Google Scholar] [CrossRef] [PubMed]
- Miao, B.; Liang, Y.; Suo, Y. The Influence of organizational social network on enterprise collaborative innovation—Mediating role of knowledge sharing and moderating effect of digital construction. IEEE Access 2023, 11, 5110–5122. [Google Scholar] [CrossRef]
- Duan, Y.; Yang, M.; Liu, H.; Chin, T. How does digital transformation affect innovation in knowledge-intensive business services firms? The moderating effect of R&D collaboration portfolio. J. Knowl. Manag. 2023, 28, 994–1019. [Google Scholar] [CrossRef]
- Ge, C.; Lv, W.; Wang, J. The impact of digital technology innovation network embedding on firms’ innovation performance: The role of knowledge acquisition and digital transformation. Sustainability 2023, 15, 6938. [Google Scholar] [CrossRef]
- Fan, F.; Lian, H.; Wang, S. Can regional collaborative innovation improve innovation efficiency? An empirical study of Chinese cities. Growth Change 2020, 51, 440–463. [Google Scholar] [CrossRef]
- Lai, Z.; Wang, B.; He, X. Research on the digital transformation of producer services to drive manufacturing technology innovation. Sustainability 2023, 15, 3784. [Google Scholar] [CrossRef]
- Zhao, H.; Zheng, W.; Loutfoullina, I. Digital finance and collaborative innovation: Case study of the Yangtze River Delta, China. Sustainability 2022, 14, 10784. [Google Scholar] [CrossRef]
- Zhai, C.; Ding, X.; Zhang, X.; Jiang, S.; Zhang, Y.; Li, C. Assessing the effects of urban digital infrastructure on corporate Environmental, Social and Governance (ESG) performance: Evidence from the broadband China Policy. Systems 2023, 11, 515. [Google Scholar] [CrossRef]
- Zhang, K.; Guo, Z.; Cao, B.; Hu, X. Digital economy, entrepreneurship and collaborative innovation: An evidence from China. Adv. Econ. Manag. Res. 2023, 5, 152. [Google Scholar] [CrossRef]
- Jafari-Sadeghi, V.; Garcia-Perez, A.; Candelo, E.; Couturier, J. Exploring the impact of digital transformation on technology entrepreneurship and technological market expansion: The role of technology readiness, exploration and exploitation. J. Bus. Res. 2021, 124, 100–111. [Google Scholar] [CrossRef]
- Bresciani, S.; Huarng, K.; Malhotra, A.; Ferraris, A. Digital transformation as a springboard for product, process and business model innovation. J. Bus. Res. 2021, 128, 204–210. [Google Scholar] [CrossRef]
- Yang, P.; Fan, M.; Li, Z.; Cao, J.; Wu, X.; Wu, D.; Lu, Z. Digital finance, spatial spillover and regional innovation efficiency: New insights from China. Electron. Res. Arch. 2022, 30, 4635–4656. [Google Scholar] [CrossRef]
- Han, F.; Yang, L. How does the agglomeration of producer services promote the upgrading of manufacturing structure? an integrated framework of agglomeration economies and schumpeter’s endogenous growth theory. J. Manag. World 2020, 36, 72–94+219. (In Chinese) [Google Scholar]
- Dong, Z.; Xu, L.; Cheng, J.; Sun, G. Major factors affecting biomedical cross-city R&D collaborations based on cooperative patents in China. Scientometrics 2021, 126, 1923–1943. [Google Scholar] [CrossRef]
- Bai, J.H.; Wang, Y.; Jiang, F.X.; Li, J. R&D element flow, spatial knowledge spillovers and economic growth. Econ. Res. J. 2017, 52, 109–123. (In Chinese) [Google Scholar]
- Rigby, D. Technological relatedness and knowledge space: Entry and exit of US cities from patent classes. Reg. Stud. 2015, 49, 1922–1937. [Google Scholar] [CrossRef]
- Harris, C.D. The market as a factor in the localization of industry in the United States. Ann. Assoc. Am. Geogr. 1954, 44, 315–348. [Google Scholar] [CrossRef]
- Zhang, H.; Sun, Z.; Elahi, E.; Zhang, Y. Internet Development, Level of Industrial Synergy, and Urban Innovation. Sustainability 2021, 13, 12410. [Google Scholar] [CrossRef]
- Guan, J.; Pang, L. Industry specific effects on innovation performance in China. China Econ. Rev. 2017, 44, 125–137. [Google Scholar] [CrossRef]



| G1 | G2 | G3 | ||||
|---|---|---|---|---|---|---|
| Variables | Direct | Indirect | Direct | Indirect | Direct | Indirect |
| UDID | 0.252 *** | 0.004 ** | 0.240 *** | 0.005 ** | 0.240 *** | 0.005 *** |
| (4.10) | (1.98) | (3.90) | (2.57) | (3.90) | (2.58) | |
| idl | 0.0145 | −0.069 ** | 0.022 | −0.064 * | 0.021 | −0.065 * |
| (0.34) | (−2.23) | (0.51) | (−1.88) | (0.50) | (−1.90) | |
| pgdp | 1.039 *** | 0.203 *** | 1.020 *** | −0.028 | 1.019 *** | −0.028 |
| (22.09) | (3.30) | (21.77) | (−0.70) | (21.75) | (−0.69) | |
| edu | 0.370 *** | 0.006 ** | 0.367 *** | 0.008 *** | 0.367 *** | 0.008 *** |
| (6.42) | (2.09) | (6.37) | (3.15) | (6.38) | (3.15) | |
| ind | 0.678 *** | 0.161 *** | 0.641 *** | −0.014 | 0.641 *** | −0.014 |
| (10.51) | (2.94) | (10.14) | (−0.34) | (10.13) | (−0.34) | |
| gov | 0.974 *** | 0.214 *** | 1.026 *** | 0.087 * | 1.025 *** | 0.089 * |
| (13.22) | (2.94) | (14.16) | (1.90) | (14.15) | (1.94) | |
| siz | 0.241 *** | 0.043 | 0.230 *** | 0.094 | 0.230 *** | 0.095 |
| (2.73) | (0.37) | (2.62) | (1.48) | (2.62) | (1.49) | |
| roa | 0.627 *** | −0.437 *** | 0.662 *** | 0.095 ** | 0.662 *** | 0.096 * |
| (10.54) | (−3.58) | (11.52) | (1.97) | (11.51) | (1.96) | |
| open | 0.015 | 0.037 *** | 0.013 | −0.005 | 0.0132 | −0.005 |
| (1.39) | (2.76) | (1.25) | (−0.77) | (1.24) | (−0.78) | |
| ρ | 8.689 ** (2.33) | 0.154 *** (3.90) | 0.308 *** (3.92) | |||
| σ2 | 0.667 *** (49.11) | 0.665 *** (49.09) | 0.665 *** (49.09) | |||
| N | 4828 | 4828 | 4828 | |||
| R2 | 0.095 | 0.690 | 0.690 | |||
| Excluding Municipalities | Truncating Extremes | Considering Lagged Effects | ||||
|---|---|---|---|---|---|---|
| Variables | Direct | Indirect | Direct | Indirect | Direct | Indirect |
| UDID | 0.237 *** | 0.498 *** | 0.166 *** | 0.002 * | 0.252 *** | 0.004 ** |
| (3.89) | (2.79) | (2.79) | (1.68) | (4.10) | (1.98) | |
| idl | 0.136 *** | −2.217 *** | −0.126 *** | −0.055 * | 0.015 | −0.069 ** |
| (3.20) | (−3.79) | (−2.92) | (−1.83) | (0.34) | (−2.23) | |
| pgdp | 0.487 *** | 0.149 | 1.478 *** | 0.126 ** | 1.039 *** | 0.203 *** |
| (8.74) | (0.11) | (27.69) | (2.08) | (22.09) | (3.30) | |
| edu | 0.250 *** | 0.522 *** | 0.223 *** | 0.003 * | 0.370 *** | 0.006 ** |
| (4.46) | (3.19) | (3.87) | (1.80) | (6.42) | (2.09) | |
| ind | 0.262 *** | 0.698 | 0.710 *** | 0.147 *** | 0.678 *** | 0.161 *** |
| (3.52) | (0.60) | (11.16) | (2.74) | (10.51) | (2.94) | |
| gov | 0.403 *** | 3.320 *** | 0.811 *** | 0.259 *** | 0.974 *** | 0.214 *** |
| (4.94) | (3.22) | (11.09) | (3.62) | (13.22) | (2.94) | |
| siz | 0.0171 | −3.020 * | 0.150 * | 0.0921 | 0.241 *** | 0.043 |
| (0.20) | (−1.70) | (1.73) | (0.83) | (2.73) | (0.37) | |
| roa | 0.426 *** | 0.675 | 0.417 *** | −0.409 *** | 0.627 *** | −0.437 *** |
| (7.59) | (0.30) | (7.05) | (−3.42) | (10.54) | (−3.58) | |
| open | 0.008 | −0.104 | 0.011 | 0.033 ** | 0.015 | 0.037 *** |
| (0.74) | (−0.35) | (1.00) | (2.51) | (1.39) | (2.76) | |
| ρ | 1.699 *** (14.99) | 8.241 ** (2.21) | 8.689 ** (2.33) | |||
| σ2 | 0.594 *** (48.71) | 0.629 *** (49.11) | 0.667 *** (49.11) | |||
| N | 4760 | 4828 | 4828 | |||
| R2 | 0.106 | 0.110 | 0.095 | |||
| lnrdt | lnrdc | lnkf | lnmp | |||||
|---|---|---|---|---|---|---|---|---|
| Variables | Direct | Indirect | Direct | Indirect | Direct | Indirect | Direct | Indirect |
| UDID | 0.024 *** | 0.0003 | 0.018 *** | 0.020 * | 0.291 *** | 0.763 *** | 0.078 *** | 0.126 *** |
| (4.41) | (1.61) | (3.26) | (1.89) | (5.02) | (6.95) | (8.82) | (7.75) | |
| idl | 0.018 *** | 0.0035 | 0.084 *** | −0.008 *** | 0.101 *** | −0.112 *** | 0.003 | −0.012 *** |
| (4.64) | (1.26) | (22.48) | (−2.78) | (3.30) | (−4.03) | (0.46) | (−2.65) | |
| pgdp | 0.099 *** | 0.0008 | 0.115 *** | 0.004 | 1.340 *** | 0.189 *** | 0.419 *** | 0.0412 *** |
| (23.47) | (0.14) | (27.60) | (0.68) | (37.37) | (3.59) | (63.05) | (5.18) | |
| edu | 0.052 *** | 0.001 * | 0.029 *** | 0.0002 | 0.307 *** | 0.010 *** | 0.122 *** | 0.0002 |
| (10.09) | (1.69) | (5.67) | (1.04) | (7.35) | (3.79) | (15.61) | (0.24) | |
| ind | 0.076 *** | −0.010 ** | 0.014 ** | −0.018 *** | 0.169 *** | 0.029 | 0.207 *** | −0.004 |
| (13.23) | (−2.04) | (2.39) | (−3.96) | (3.56) | (0.68) | (23.65) | (−0.64) | |
| gov | 0.024 *** | −0.034 *** | 0.078 *** | −0.010 * | 1.737 *** | 0.110 * | 0.415 *** | −0.033 *** |
| (3.60) | (−5.22) | (12.01) | (−1.68) | (33.28) | (1.91) | (40.70) | (−3.43) | |
| siz | 0.042 *** | −0.004 | 0.058 *** | −0.014 | 0.280 *** | 0.187 * | 0.030 ** | −0.031 ** |
| (5.25) | (−0.36) | (7.48) | (−1.37) | (4.26) | (1.92) | (2.54) | (−2.00) | |
| roa | 0.052 *** | 0.0302 *** | 0.050 *** | 0.031 *** | 0.572 *** | −0.268 *** | 0.192 *** | 0.0132 |
| (9.86) | (2.86) | (9.93) | (3.00) | (12.10) | (−2.72) | (24.85) | (0.85) | |
| open | −0.004 *** | 0.0002 | −0.005 *** | −0.002 | 0.017 ** | 0.019 * | 0.001 | 0.001 |
| (−4.25) | (0.14) | (−5.73) | (−1.39) | (2.24) | (1.88) | (0.88) | (0.70) | |
| ρ | 6.659 * (1.69) | 4.617 *** (4.93) | 18.05 *** (7.63) | 1.434 *** (24.77) | ||||
| σ2 | 0.005 *** (49.12) | 0.005 *** (49.13) | 0.344 *** (49.05) | 0.012 *** (49.13) | ||||
| N | 4828 | 4828 | 4828 | 4828 | ||||
| R2 | 0.230 | 0.145 | 0.070 | 0.219 | ||||
| (1) | (2) | (3) | (4) | |
|---|---|---|---|---|
| Digital Infrastructure | Government Digital attention | |||
| Variables | Direct | Indirect | Direct | Indirect |
| UDID × di | 0.190 *** | 0.003 ** | ||
| (5.23) | (2.09) | |||
| UDID × gda | 0.030 *** | 0.0004 ** | ||
| (4.18) | (1.99) | |||
| idl | 0.0216 | −0.0700 ** | 0.0144 | −0.0694 ** |
| (0.51) | (−2.25) | (0.34) | (−2.23) | |
| pgdp | 1.033 *** | 0.203 *** | 1.038 *** | 0.203 *** |
| (21.99) | (3.31) | (22.09) | (3.30) | |
| edu | 0.369 *** | 0.00548 ** | 0.370 *** | 0.006 ** |
| (6.41) | (2.08) | (6.42) | (2.09) | |
| ind | 0.667 *** | 0.162 *** | 0.677 *** | 0.161 *** |
| (10.33) | (2.97) | (10.50) | (2.94) | |
| gov | 0.984 *** | 0.220 *** | 0.975 *** | 0.214 *** |
| (13.36) | (3.03) | (13.23) | (2.94) | |
| siz | 0.241 *** | 0.0427 | 0.241 *** | 0.0429 |
| (2.74) | (0.37) | (2.73) | (0.37) | |
| roa | 0.622 *** | −0.442 *** | 0.626 *** | −0.437 *** |
| (10.47) | (−3.63) | (10.53) | (−3.58) | |
| open | 0.0148 | 0.0366 *** | 0.0149 | 0.0372 *** |
| (1.39) | (2.72) | (1.39) | (2.76) | |
| ρ | 8.664 ** (2.33) | 8.685 ** (2.33) | ||
| σ2 | 0.666 *** (49.11) | 0.667 *** (49.11) | ||
| N | 4828 | 4828 | ||
| R2 | 0.096 | 0.095 | ||
| Substantial Innovation | Non-Substantial Innovation | |||
|---|---|---|---|---|
| Variables | Direct | Indirect | Direct | Indirect |
| UDID | 0.424 *** | 0.005 * | 0.332 *** | −0.0003 |
| (6.37) | (1.74) | (4.91) | (−0.23) | |
| idl | −0.302 *** | −0.060 * | 0.425 *** | −0.089 *** |
| (−6.53) | (−1.75) | (9.00) | (−2.65) | |
| pgdp | 0.707 *** | −0.020 | 0.546 *** | 0.049 |
| (13.95) | (−0.29) | (10.50) | (0.74) | |
| edu | 0.249 *** | 0.003 * | 0.214 *** | −0.0002 |
| (3.99) | (1.65) | (3.37) | (−0.19) | |
| ind | 0.344 *** | 0.246 *** | 0.546 *** | −0.120 ** |
| (4.93) | (4.28) | (7.74) | (−2.04) | |
| gov | 0.603 *** | 0.047 | −0.026 | 0.276 *** |
| (7.56) | (0.61) | (−0.32) | (3.62) | |
| siz | 0.546 *** | 0.026 | −0.193 ** | 0.004 |
| (5.72) | (0.21) | (−2.00) | (0.03) | |
| roa | 0.564 *** | −0.103 | 0.394 *** | −0.097 |
| (8.97) | (−0.78) | (6.26) | (−0.73) | |
| open | 0.023 * | 0.071 *** | 0.105 *** | 0.010 |
| (1.94) | (4.88) | (8.98) | (0.69) | |
| ρ | 6.602 * (1.82) | 0.105 *** (7.78) | ||
| σ2 | 0.781 *** (49.12) | 0.810 *** (49.13) | ||
| N | 4828 | 4828 | ||
| R2 | 0.160 | 0.185 | ||
| Enterprises and Research Institutions | Enterprises and Enterprises | Enterprises and Universities | Enterprises and Government | |||||
|---|---|---|---|---|---|---|---|---|
| Variables | Direct | Indirect | Direct | Indirect | Direct | Indirect | Direct | Indirect |
| UDID | 0.291 *** | 0.001 | 0.406 *** | 0.005 * | 0.283 *** | 0.003 * | 0.110 *** | 3.06 × 10−6 |
| (7.21) | (0.84) | (5.66) | (1.80) | (5.51) | (1.86) | (6.44) | (0.01) | |
| idl | −0.078 *** | −0.061 *** | −0.191 *** | −0.029 | 0.022 | −0.024 | −0.030 ** | −0.008 |
| (−2.76) | (−3.06) | (−3.82) | (−0.80) | (0.61) | (−0.94) | (−2.48) | (−0.91) | |
| pgdp | 0.207 *** | 0.0006 | 0.849 *** | 0.121 * | 0.397 *** | 0.075 | 0.037 *** | 0.016 |
| (6.71) | (0.01) | (15.53) | (1.70) | (10.10) | (1.48) | (2.79) | (0.98) | |
| edu | 0.063 * | 0.0003 | 0.205 *** | 0.003 | 0.098 ** | 0.001 | 0.010 | 9.60 × 10−6 |
| (1.65) | (0.67) | (3.04) | (1.51) | (2.04) | (1.29) | (0.62) | (0.14) | |
| ind | 0.123 *** | −0.028 | 0.713 *** | 0.160 ** | 0.488 *** | −0.013 | 0.045 ** | −0.025 * |
| (2.93) | (−0.80) | (9.50) | (2.53) | (9.10) | (−0.30) | (2.50) | (−1.72) | |
| gov | −0.127 *** | 0.218 *** | 0.661 *** | 0.185 ** | −0.207 *** | 0.006 | −0.071 *** | 0.044 ** |
| (−2.61) | (4.70) | (7.70) | (2.21) | (−3.37) | (0.10) | (−3.44) | (2.26) | |
| siz | 0.079 | −0.025 | 0.324 *** | 0.180 | 0.0521 | 0.187 * | 0.030 | −0.005 |
| (1.36) | (−0.33) | (3.14) | (1.35) | (0.71) | (1.86) | (1.23) | (−0.11) | |
| roa | 0.202 *** | −0.050 | 0.610 *** | −0.368 *** | 0.450 *** | −0.088 | 0.021 | −0.022 |
| (5.34) | (−0.65) | (8.92) | (−2.62) | (9.27) | (−0.89) | (1.30) | (−0.68) | |
| open | 0.021 *** | 0.012 | 0.026 ** | 0.036 ** | 0.040 *** | 0.017 | 0.001 | −0.001 |
| (2.96) | (1.40) | (2.06) | (2.30) | (4.48) | (1.51) | (0.42) | (−0.34) | |
| ρ | 2.346 ** (2.54) | 7.292 * (1.94) | 6.298 * (1.76) | 0.048 *** (3.04) | ||||
| σ2 | 0.289 *** (49.13) | 0.908 *** (49.12) | 0.466 *** (49.12) | 0.052 *** (49.13) | ||||
| N | 4828 | 4828 | 4828 | 4828 | ||||
| R2 | 0.099 | 0.046 | 0.049 | 0.077 | ||||
| Heterogeneity of Urban Scale | Regional Heterogeneity | |||
|---|---|---|---|---|
| Variables | Direct | Indirect | Direct | Indirect |
| UDID × L | 0.516 ** | 0.007 *** | ||
| (2.55) | (5.51) | |||
| UDID × M | 0.475 *** | 0.007 * | ||
| (3.69) | (1.71) | |||
| UDID × C | 0.467 *** | 0.007 * | ||
| (3.82) | (1.94) | |||
| idl | 0.0381 | −0.0642 * | 0.030 | −0.066 ** |
| (0.69) | (−1.93) | (0.69) | (−2.12) | |
| pgdp | 1.041 *** | 0.198 *** | 1.049 *** | 0.203 *** |
| (20.81) | (3.12) | (22.23) | (3.31) | |
| edu | 0.355 *** | 0.00518 * | 0.367 *** | 0.006 ** |
| (5.92) | (1.84) | (6.35) | (2.08) | |
| ind | 0.711 *** | 0.160 *** | 0.697 *** | 0.166 *** |
| (12.95) | (3.03) | (10.88) | (3.03) | |
| gov | 0.970 *** | 0.225 *** | 0.970 *** | 0.211 *** |
| (13.45) | (3.14) | (13.17) | (2.90) | |
| siz | 0.225 *** | 0.0463 | 0.243 *** | 0.057 |
| (2.85) | (0.38) | (2.74) | (0.49) | |
| roa | 0.650 *** | −0.442 *** | 0.632 *** | −0.446 *** |
| (12.88) | (−3.68) | (10.62) | (−3.66) | |
| open | 0.0139 | 0.0382 *** | 0.014 | 0.039 *** |
| (1.09) | (3.00) | (1.29) | (2.87) | |
| ρ | 8.701 ** (2.34) | 8.690 ** (2.33) | ||
| σ2 | 0.667 *** (49.11) | 0.668 *** (49.11) | ||
| N | 4828 | 4828 | ||
| R2 | 0.090 | 0.090 | ||
Disclaimer/Publisher’s Note: The statements, opinions and data contained in all publications are solely those of the individual author(s) and contributor(s) and not of MDPI and/or the editor(s). MDPI and/or the editor(s) disclaim responsibility for any injury to people or property resulting from any ideas, methods, instructions or products referred to in the content. |
© 2025 by the authors. Licensee MDPI, Basel, Switzerland. This article is an open access article distributed under the terms and conditions of the Creative Commons Attribution (CC BY) license (https://creativecommons.org/licenses/by/4.0/).
Share and Cite
You, C.; Luo, Q.; Liu, W. The Role of Urban Digital Intelligence in Fostering Sustainable Collaborative Innovation: An Analysis of Spillover Effects. Sustainability 2025, 17, 1890. https://doi.org/10.3390/su17051890
You C, Luo Q, Liu W. The Role of Urban Digital Intelligence in Fostering Sustainable Collaborative Innovation: An Analysis of Spillover Effects. Sustainability. 2025; 17(5):1890. https://doi.org/10.3390/su17051890
Chicago/Turabian StyleYou, Chu, Qingfeng Luo, and Wei Liu. 2025. "The Role of Urban Digital Intelligence in Fostering Sustainable Collaborative Innovation: An Analysis of Spillover Effects" Sustainability 17, no. 5: 1890. https://doi.org/10.3390/su17051890
APA StyleYou, C., Luo, Q., & Liu, W. (2025). The Role of Urban Digital Intelligence in Fostering Sustainable Collaborative Innovation: An Analysis of Spillover Effects. Sustainability, 17(5), 1890. https://doi.org/10.3390/su17051890

