Abundance of Non-Native Fish Species Varies Among Subtropical Reservoirs with Different Water Quality, Depths, and Ages
Abstract
1. Introduction
2. Materials and Methods
2.1. Sampling Sites
2.2. Fish Sampling
2.3. Water Quality Parameters
2.4. Data Analysis
3. Results
3.1. Index of Relative Importance of Fish Species in Different Reservoirs
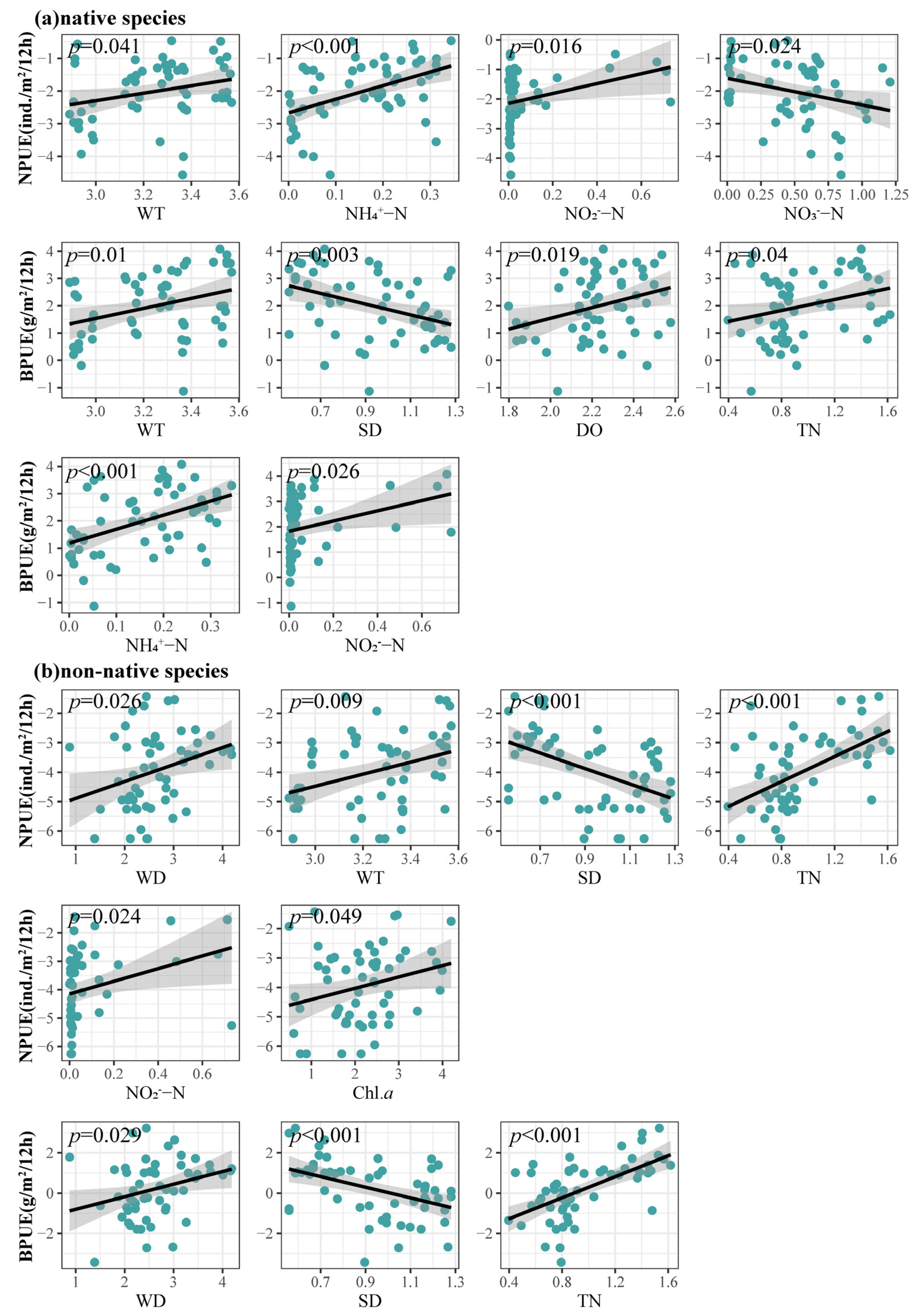
3.2. The CPUE of Fish Species and Their Relationship with Water Quality Parameters
3.3. Differences in Fish Community Structure and Key Species Among Different Reservoirs
3.4. The Relationship Between Fish Community Structure and Water Quality
4. Discussion
5. Conclusions
Author Contributions
Funding
Institutional Review Board Statement
Informed Consent Statement
Data Availability Statement
Conflicts of Interest
References
- Friedl, G.; Wüest, A. Disrupting biogeochemical cycles—Consequences of damming. Aquat. Sci. 2002, 64, 55–65. [Google Scholar] [CrossRef]
- Su, G.; Logez, M.; Xu, J.; Tao, S.; Villéger, S.; Brosse, S. Human impacts on global freshwater fish biodiversity. Science 2021, 371, 835–838. [Google Scholar] [CrossRef] [PubMed]
- Miranda, L.E.; Coppola, G.; Boxrucker, J. Reservoir fish habitats: A perspective on coping with climate change. Rev. Fish. Sci. Aquac. 2020, 28, 478–498. [Google Scholar] [CrossRef]
- Haas, T.C.; Blum, M.J.; Heins, D.C. Morphological responses of a stream fish to water impoundment. Biol. Lett. 2010, 6, 803–806. [Google Scholar] [CrossRef] [PubMed]
- Liermann, C.R.; Nilsson, C.; Robertson, J.; Ng, R.Y. Implications of dam obstruction for global freshwater fish diversity. BioScience 2012, 62, 539–548. [Google Scholar] [CrossRef]
- Liew, J.H.; Tan, H.H.; Yeo, D.C.J. Dammed rivers: Impoundments facilitate fish invasions. Freshwater Biol. 2016, 61, 1421–1429. [Google Scholar] [CrossRef]
- Soomro, S.; Shi, X.; Guo, J.; Ke, S.; Hu, C.; Asad, M.; Jalbani, S.; Zwain, H.M.; Khan, P.; Boota, M.W. Are global influences of cascade dams affecting river water temperature and fish ecology? Appl. Water Sci. 2023, 13, 106. [Google Scholar] [CrossRef]
- Paulovits, G.; Ferincz, Á.; Staszny, Á.; Weiperth, A.; Tátrai, I.; Korponai, J.; Mátyás, K.; Kováts, N. Long-term changes in the fish assemblage structure of a shallow eutrophic reservoir (Lake Hídvégi, Hungary), with special reference to the exotic Carassius gibelio. Int. Rev. Hydrobiol. 2014, 99, 373–381. [Google Scholar] [CrossRef]
- Villéger, S.; Blanchet, S.; Beauchard, O.; Oberdorff, T.; Brosse, S. Homogenization patterns of the world’s freshwater fish faunas. Proc. Natl. Acad. Sci. USA 2011, 108, 18003–18008. [Google Scholar] [CrossRef]
- Toussaint, A.; Beauchard, O.; Oberdorff, T.; Brosse, S.; Villéger, S. Worldwide freshwater fish homogenization is driven by a few widespread non-native species. Biol. Invasions 2016, 18, 1295–1304. [Google Scholar] [CrossRef]
- Xiong, W.; Sui, X.; Liang, S.-H.; Chen, Y. Non-native freshwater fish species in China. Rev. Fish Biol. Fisher. 2015, 25, 651–687. [Google Scholar] [CrossRef]
- Canonico, G.C.; Arthington, A.; McCrary, J.K.; Thieme, M.L. The effects of introduced Tilapias on native biodiversity. Aquat. Conserv. Mar. Freshw. Ecosyst. 2005, 15, 463–483. [Google Scholar] [CrossRef]
- Bernery, C.; Bellard, C.; Courchamp, F.; Brosse, S.; Gozlan, R.E.; Jarić, I.; Teletchea, F.; Leroy, B. Freshwater fish invasions: A comprehensive review. Annu. Rev. Ecol. Evol. Syst. 2022, 53, 427–456. [Google Scholar] [CrossRef]
- Yongo, E.; Zhang, P.; Mutethya, E.; Zhao, T.; Guo, Z. The invasion of Tilapia in south China freshwater systems: A review. Lakes Reserv. 2023, 28, e12429. [Google Scholar] [CrossRef]
- Shuai, F.; Li, J.; Lek, S. Nile Tilapia (Oreochromis niloticus) invasion impacts trophic position and resource use of commercially harvested piscivorous fishes in a large subtropical river. Ecol. Process. 2023, 12, 22. [Google Scholar] [CrossRef]
- Xiong, W.; Guo, C.; Gozlan, R.E.; Liu, J. Tilapia introduction in China: Economic boom in aquaculture versus ecological threats to ecosystems. Rev. Aquacult. 2023, 15, 179–197. [Google Scholar] [CrossRef]
- Gu, D.E.; Yu, F.D.; Xu, M.; Wei, H.; Mu, X.D.; Luo, D.; Yang, Y.X.; Pan, Z.; Hu, Y.C. Temperature effects on the distribution of two invasive Tilapia species (Tilapia zillii and Oreochromis niloticus) in the rivers of south China. J. Freshw. Ecol. 2018, 33, 511–524. [Google Scholar] [CrossRef]
- Appelberg, M.; Bergquist, B.C.; Degerman, E. Using fish to assess environmental disturbance of Swedish lakes and streams—A preliminary approach. Int. Ver. Theor. Angew. Limnol. Verh. 2000, 27, 311–315. [Google Scholar] [CrossRef]
- Froese, R.; Pauly, D. FishBase. World Wide Web Electronic Publication. 2022. Available online: www.fishbase.org (accessed on 1 February 2025).
- Rice, E.W.; Bridgewater, L.; Association, A.P.H. Standard Methods for the Examination of Water and Wastewater; American Public Health Association: Washington, DC, USA, 2012; Volume 10. [Google Scholar]
- Luo, Z.; Yang, C.; Wang, L.; Liu, Y.; Shan, B.; Liu, M.; Chen, C.; Guo, T.; Sun, D. Relationships between fish community structure and environmental factors in the nearshore waters of Hainan island, south China. Australas. I. Min. Met. 2023, 15, 901. [Google Scholar] [CrossRef]
- Mehner, T.; Argillier, C.; Hesthagen, T.; Holmgren, K.; Jeppesen, E.; Kelly, F.; Krause, T.; Olin, M.; Volta, P.; Winfield, I.J.; et al. Model-based Decomposition of environmental, spatial and species-interaction effects on the community structure of common fish species in 772 european lakes. Glob. Ecol. Biogeogr. 2021, 30, 1558–1571. [Google Scholar] [CrossRef]
- Crawley, M.J. Statistics: An Introduction Using R.; John Wiley & Sons: Hoboken, NJ, USA, 2014. [Google Scholar]
- Salazar, G. EcolUtils: Utilities for Community Ecology Analysis. R Package Version; GitHub: San Francisco, CA, USA, 2020. [Google Scholar]
- Oksanen, J.; Blanchet, F.G.; Kindt, R.; Legendre, P.; Minchin, P.R.; O’hara, R.B.; Simpson, G.L.; Solymos, P.; Stevens, M.H.H.; Wagner, H. Package ‘Vegan.’ Community Ecol. Package Version; GitHub: San Francisco, CA, USA, 2013; Volume 2, pp. 1–295. [Google Scholar]
- Lai, J.; Zou, Y.; Zhang, J.; Peres-Neto, P.R. Generalizing hierarchical and variation partitioning in multiple regression and canonical analyses using the rdacca.hp R package. Methods Ecol. Evol. 2022, 13, 782–788. [Google Scholar] [CrossRef]
- Ihaka, R.; Gentleman, R. R: A language for data analysis and graphics. J. Comput. Graph. Statist. 1996, 5, 299–314. [Google Scholar] [CrossRef]
- Gu, Q.; Zhong, H.; Sun, Y.; Yuan, H.; Li, S.; Shen, Z.; Wen, M. Reanalysis on phylogeographic pattern of sharpbelly Hemiculter Leucisculus (Cyprinidae: Cultrinae) in China: A review and the implications for conservation. Front. Ecol. Evol. 2022, 10, 865089. [Google Scholar] [CrossRef]
- Muniz, C.M.; Ganassin, M.J.M.; Agostinho, A.A.; Gomes, L.C. Spatial and environmental factors predict the composition of non-native fish assemblages in neotropical reservoirs. Biol. Invasions 2020, 22, 499–508. [Google Scholar] [CrossRef]
- Miranda, L.E. Aging, climate, and invasions threaten reservoirs in the Mississippi river basin. Fisheries 2023, 48, 499–514. [Google Scholar] [CrossRef]
- Kang, B.; Vitule, J.R.S.; Li, S.; Shuai, F.; Huang, L.; Huang, X.; Fang, J.; Shi, X.; Zhu, Y.; Xu, D.; et al. Introduction of non-native fish for aquaculture in China: A systematic review. Rev. Aquacult. 2023, 15, 676–703. [Google Scholar] [CrossRef]
- Yang, L.; Liao, C.; Ji, X.; Chen, X.; Guo, M.; Zhang, G.; Neves, M.P.; Wang, Y.; Zhang, H.; Guo, C.; et al. Trophic niche variation driven by water level fluctuations facilitates the co-occurrence of invasive Tilapia Species in a subtropical reservoir in China. J. Fish Biol. 2024. [Google Scholar] [CrossRef]
- Zhang, X.; Mei, X.; Gulati, R.D.; Kwik, J.T.B.; Lim, R.B.H.; Liew, J.H.; Yeo, D.C.J. Novel cichlid-dominated fish assemblages in tropical urban reservoirs. Aquat. Ecosyst. Health Manage. 2020, 23, 249–266. [Google Scholar] [CrossRef]
- Abd Hamid, M.; Md Sah, A.S.R.; Idris, I.; Mohd Nor, S.A.; Mansor, M. Impacts of Tilapia aquaculture on native fish diversity at an ecologically important reservoir. PeerJ 2023, 11, e15986. [Google Scholar] [CrossRef]
- Zhang, X.; Mei, X.; Gulati, R.D. Effects of Omnivorous tilapia on water turbidity and primary production dynamics in shallow lakes: Implications for ecosystem management. Rev. Fish Biol. Fisher. 2017, 27, 245–254. [Google Scholar] [CrossRef]
- Prchalová, M.; Kubečka, J.; Čech, M.; Frouzová, J.; Draštík, V.; Hohausová, E.; Jůza, T.; Kratochvíl, M.; Matěna, J.; Peterka, J.; et al. The Effect of depth, distance from dam and habitat on spatial distribution of fish in an artificial reservoir. Ecol. Freshw. Fish 2009, 18, 247–260. [Google Scholar] [CrossRef]
- Barbosa, J.M.; Mendonça, I.T.L.; Ponzi-Junior, M. Comportamento social e crescimento em Parachromis managuensis (Günther, 1867) (Pisces, Cichlidae): Uma espécie introduzida no Brasil. Rev. Bras. Eng. Pesca 2006, 1, 65–74. [Google Scholar]
- Figueiredo, B.R.S.; Araujo, G.J.M.; Silva, M.J.D.; Medeiros, E.S.F. Implications of low food availability on resource partitioning among three species of Cichlidae (Pisces: Perciformes) in a Brazilian semi-arid reservoir. Acta Limnol. Bras. 2015, 27, 93–104. [Google Scholar] [CrossRef]
- Espínola, L.A.; Minte-Vera, C.V.; Junior, H.F.J.; Santos, L.N.; Winemiller, K.O. Evaluation of factors associated with dynamics of Cichla Ocellaris invasion of the upper paraná river floodplain system, Brazil. Mar. Freshw. Res. 2015, 66, 33. [Google Scholar] [CrossRef]
- Vicente, I.S.T.; Fonseca-Al, C.E. Impact of introduced Nile Tilapia (Oreochromis niloticus) on non-native aquatic ecosystems. Pak. J. Biol. Sci. 2013, 16, 121–126. [Google Scholar] [CrossRef]
- Peng, L.; Xue, X.; Liao, J.; Zhao, J.; Tang, Q.; Lin, Q.; Zhang, Q.; Han, B.-P. Potential impact of population increases of non-native Tilapia on fish catch and plankton structure: A case study of Tangxi reservoir in southern China. Aquat. Invasions 2021, 16, 329–348. [Google Scholar] [CrossRef]
- Popp, A.; Hoagland, K.D. Changes in benthic community composition in response to reservoir aging. Hydrobiologia 1995, 306, 159–171. [Google Scholar] [CrossRef]
- Pusey, B.J.; Arthington, A.H. Importance of the riparian zone to the conservation and management of freshwater fish: A review. Mar. Freshw. Res. 2003, 54, 1. [Google Scholar] [CrossRef]





| Family | Species | Abbr. | Index of Relative Importance | ||||
|---|---|---|---|---|---|---|---|
| Bantou | Lianhua | Shangcun | Shidou | Average | |||
| Cyprinidae | Hemiculter leucisculus | Hle | 11,147.37 | 5266.73 | 5444.87 | 14,775.56 | 7847.48 |
| Culter alburnus | Cal | 623.00 | 1625.80 | 80.11 | 150.30 | 418.05 | |
| Culter dabryi | Cda | 7.30 | 0.81 | 0.00 | 0.00 | 0.42 | |
| Cultrichthys erythropterus | Cer | 200.57 | 35.73 | 0.00 | 12.17 | 19.63 | |
| Pseudorasbora parva | Ppa | 0.00 | 8.85 | 0.26 | 3.00 | 1.70 | |
| Ctenopharyngodon idella | Cid | 0.00 | 0.00 | 10.03 | 0.00 | 1.32 | |
| Opsariichthys bidens | Obi | 0.00 | 1.20 | 2.35 | 0.44 | 0.92 | |
| Hypophthalmichthys molitrix | Hmo | 1233.20 | 2849.60 | 1734.77 | 1136.99 | 1784.41 | |
| Aristichthys nobilis | Ano | 2012.47 | 694.21 | 2274.28 | 108.97 | 1175.82 | |
| Cyprinus carpio | Cca | 0.00 | 0.00 | 120.30 | 142.29 | 39.63 | |
| Carassius auratus | Cau | 0.00 | 2.94 | 1029.45 | 90.68 | 205.10 | |
| Osteochilus salsburyi | Osa | 0.95 | 207.45 | 0.31 | 15.81 | 22.92 | |
| Acrossocheilus wenchowensis | Awe | 0.00 | 0.00 | 2.46 | 0.00 | 0.26 | |
| Distoechodon tumirostris | Dtu | 0.00 | 2002.70 | 97.95 | 0.00 | 206.14 | |
| Xenocypris davidi | Xda | 74.76 | 1.55 | 0.00 | 0.00 | 2.39 | |
| Cirrhinus molitorella | Cmo | 0.00 | 0.00 | 230.44 | 0.00 | 29.80 | |
| Cobitidae | Cobitis sinensis | Csi | 0.00 | 3.78 | 0.00 | 16.87 | 2.62 |
| Bagridae | Pelteobagrus fulvidraco | Pfu | 0.00 | 8.38 | 0.00 | 0.00 | 0.49 |
| Pseudobagrus tenuis | Pte | 0.00 | 0.00 | 28.61 | 0.00 | 3.36 | |
| Siluridae | Silurus asotus | Sas | 0.00 | 0.00 | 0.69 | 0.00 | 0.09 |
| Clariidae | Clarias fuscus | Cfu | 0.00 | 0.00 | 31.96 | 0.00 | 3.79 |
| Cichlidae | * Oreochromis niloticus | Oni | 0.00 | 392.66 | 146.05 | 3.71 | 94.47 |
| * Coptodon zillii | Czi | 166.07 | 1789.67 | 1972.08 | 557.13 | 1183.15 | |
| * Oreochromis galilaea | Oga | 0.00 | 587.85 | 298.90 | 103.30 | 228.33 | |
| * Oreochromis aureus | Oau | 0.00 | 0.00 | 662.25 | 0.00 | 83.52 | |
| * Parachromis managuensis | Pma | 35.10 | 75.65 | 1916.81 | 58.26 | 509.26 | |
| Gobiidae | Rhinogobius giurinus | Rgi | 2.17 | 13.19 | 0.00 | 1.66 | 2.69 |
| Percichthyidae | * Lateolabrax japonicus | Lja | 0.00 | 1.49 | 23.08 | 0.00 | 3.47 |
Disclaimer/Publisher’s Note: The statements, opinions and data contained in all publications are solely those of the individual author(s) and contributor(s) and not of MDPI and/or the editor(s). MDPI and/or the editor(s) disclaim responsibility for any injury to people or property resulting from any ideas, methods, instructions or products referred to in the content. |
© 2025 by the authors. Licensee MDPI, Basel, Switzerland. This article is an open access article distributed under the terms and conditions of the Creative Commons Attribution (CC BY) license (https://creativecommons.org/licenses/by/4.0/).
Share and Cite
Ji, X.; Zhou, T.; Chen, X.; Yang, L.; Ye, J.; Huang, Z.; Yuan, J.; Li, W.; Liao, C.; Guo, C.; et al. Abundance of Non-Native Fish Species Varies Among Subtropical Reservoirs with Different Water Quality, Depths, and Ages. Sustainability 2025, 17, 1688. https://doi.org/10.3390/su17041688
Ji X, Zhou T, Chen X, Yang L, Ye J, Huang Z, Yuan J, Li W, Liao C, Guo C, et al. Abundance of Non-Native Fish Species Varies Among Subtropical Reservoirs with Different Water Quality, Depths, and Ages. Sustainability. 2025; 17(4):1688. https://doi.org/10.3390/su17041688
Chicago/Turabian StyleJi, Xiang, Ting Zhou, Xuemei Chen, Lei Yang, Jianzhong Ye, Zhixiang Huang, Jing Yuan, Wei Li, Chuansong Liao, Chuanbo Guo, and et al. 2025. "Abundance of Non-Native Fish Species Varies Among Subtropical Reservoirs with Different Water Quality, Depths, and Ages" Sustainability 17, no. 4: 1688. https://doi.org/10.3390/su17041688
APA StyleJi, X., Zhou, T., Chen, X., Yang, L., Ye, J., Huang, Z., Yuan, J., Li, W., Liao, C., Guo, C., & Liu, J. (2025). Abundance of Non-Native Fish Species Varies Among Subtropical Reservoirs with Different Water Quality, Depths, and Ages. Sustainability, 17(4), 1688. https://doi.org/10.3390/su17041688

