1. Introduction
Without a doubt, the implementation of compulsory education stands as an exceptionally significant institutional shift in human history. As per the established literature, Germany holds the distinction of being the first country to enforce compulsory education, obligating parents to enroll their children aged 6 to 12 in school. Following this precedent, nations across the globe have embraced the essence of compulsory education, defined by its three primary attributes: being mandatory, universal, and free. From an economic perspective, during the 17th and 18th centuries, when capitalism was on the rise, the introduction of compulsory education as a social reform movement aimed at decommoditizing child labor undoubtedly harmed the short-term interests of factories. This was not a Pareto improvement, as it sparked conflicts and struggles among working-class families, factory owners, the state, and various other interest groups. However, judged from a modern viewpoint, there is little doubt that each of us who has benefited from compulsory education owes a debt of gratitude to this system. However, on one hand, as the world’s modernization process continues to advance, the logic of capital has penetrated almost every aspect of human life, with education itself also acquiring a commercialized attribute. The emergence of various elite schools, remedial classes, and training programs has reintroduced children into the commodity economy, disrupting the balance of educational resources. The accumulation of educational resources is now dependent on the accumulation of capital, resulting in a significant distortion of the two fundamental characteristics of compulsory education: universality and freedom. On the flip side, as the information revolution continues to progress, the social division of labor has undergone significant refinement and advancement. Consequently, the traditional format of compulsory education is increasingly unable to align with the evolving demands of this social division of labor. The disparity between students’ human capital structure and the professional divisions in society is growing more pronounced, especially in certain developing nations. Given this backdrop, the rationale and necessity behind compulsory education, or even its extension as free compulsory education, have emerged as pressing concerns for various sectors of society.
In recent years, numerous scholars have carried out comprehensive research on free compulsory education, discovering its significant impact on social and economic development in various ways. Certainly, when considering the influence of compulsory education on students themselves, research indicates its utmost significance in fostering children’s physical development and mental well-being. In China, compulsory education offers free meals to rural children, and studies indicate that this implementation has considerably diminished disparities in physical fitness between urban and rural youths [
1,
2]. A study conducted in Finland reveals that compulsory education holds a substantial positive impact on the treatment of autistic children [
3]. Additionally, it aids in correcting unhealthy habits [
4,
5], fostering effective learning practices, and acquiring fundamental scientific knowledge that significantly shapes their future human capital development [
6,
7,
8]. Regarding the impact of compulsory education on families, it is often perceived as a complimentary childcare service. Indeed, compulsory education has the potential to enhance the labor market participation rate of family members, ultimately leading to an increase in family income [
9,
10]. When considering the impact of compulsory education on social and economic development, it becomes evident that compulsory education has significantly contributed to the advancement of social opportunity equality through the promotion of enrollment opportunity equality [
11]. Simultaneously, pertinent studies have revealed that compulsory education fails to equip young individuals with the novel skills demanded by the present labor market [
12]. Numerous nations are addressing this predicament by implementing skill training and advocating for apprenticeship education [
13,
14]. After collating various existing studies, we have discovered that compulsory education indeed promotes the physical and mental development of youth and fosters human capital. However, with the widespread adoption of information technology and artificial intelligence, compulsory education has become disconnected from the social division of labor. Given this context, it is worth considering whether extending the duration of compulsory education is necessary, especially for developing countries seeking to transition and elevate their status to that of developed nations.
As we are all aware, China inevitably emerges as a crucial research topic when studying developing countries. Being the largest developing nation in the world, China boasts the largest population and economy globally. However, its economic spatial pattern reveals a notable contrast, with the eastern coastal regions being relatively advanced compared to the western inland areas. The population distribution and economic development levels exhibit a characteristic ladder-like pattern from west to east. According to official news reports, by 2023, China had invested a total of CNY 2842.7 billion in compulsory education nationwide, supporting a total of 196,000 compulsory education schools and employing 10.739 million full-time teachers. According to official reports, China’s entrepreneurial landscape thrived between 2013 and 2020. The number of newly established enterprises surged from 2.5 million to 8.68 million. Furthermore, the number of high-tech enterprises and technology-driven small and medium-sized enterprises now exceeds 200,000 and 180,000, respectively. Hence, China serves as an excellent subject to investigate the impact of free compulsory education on regional entrepreneurial endeavors. Drawing from official government documents for China’s counties and districts, this paper provides the pertinent details on the policy for extending free compulsory education. By incorporating China’s county panel data spanning from 2000 to 2021, it delves into the influence of this education extension on local entrepreneurial endeavors. The ultimate goal is to enrich international research on entrepreneurship and innovation by offering fresh perspectives and methodologies. The novel contributions of this paper are threefold: firstly, few studies have conducted a micro-theoretical analysis on how free compulsory education influences regional entrepreneurial activity. This paper aims to integrate the policy of free compulsory education into the framework of the new economic geography, theoretically analyzing its impact on regional entrepreneurial endeavors. Secondly, despite significant advancements in research on free compulsory education in China, most data samples originate at the provincial level. However, the implementation of the free compulsory education policy is performed at the county level. Given China’s vast territory and notable regional differences in industrial structure and human environment, previous research offers limited assistance for specific county-level policymaking. Lastly, current academic discussions inadequately address whether the expansion of free compulsory education yields any spillover effects. Based on theoretical analysis, this study posits that the expansion of free compulsory education exhibits a certain positive spatial externality, which is empirically verified.
2. Theoretical Background and the Model
By referencing the traditional new economic geography model [
15], this paper presents a novel 2 × 2 × 1 economic geography model that comprises two departments, two production factors, two regions, and an exogenous shock. The two sectors refer to the agricultural sector
A and the industrial sector
B, the two production factors refer to the low-skilled labor factor
f and the technical factor
, the two regions are the core region
s and the marginal region
d, and the exogenous shock refers to the extension of compulsory education. Although the accumulation of educational resources relies on capital accumulation, the extension of free compulsory education ultimately depends on the decision-making of the government. This decision is primarily aimed at bolstering the prevalence of compulsory education, and therefore can be considered an exogenous shock. Among the sectors, the agricultural sector produces homogeneous agricultural products of
a, and agricultural products can flow freely between regions without circulation costs. Therefore, the same homogeneous products can be used as pricing commodities to unify the wage price level of the two regions
as 1. The industrial sector’s setting stands as a unique innovation highlight in this paper, distinct from the typical new economic geography model. Drawing from China’s practical development experiences and the realities of other developing nations, we postulate that a region’s industrial sector typically evolves through two primary stages. Initially, labor-intensive enterprises prevail, followed by a transition to technology-intensive enterprises. In the forthcoming sections, we delve deeper into this discussion. The industrial sector produces heterogeneous products of
q. Products from different manufacturers are distinguished by
. The substitution elasticity of industrial products produced by different manufacturers is
, and the industrial product market is a monopolistic competitive market. To incorporate the extension of compulsory education into the model, we treat it as an exogenous shock primarily due to two reasons. Firstly, the extension does not exert a direct influence on consumer and manufacturer behaviors, nor can it directly engage in economic operations. Secondly, neither consumer behavior nor the manufacturer’s production decisions can ascertain whether a region intends to extend compulsory education. Therefore, the extension of compulsory education is considered an exogenous variable. Secondly, our belief that extending compulsory education is an impact variable is primarily based on the practical implementation of this extension in China. In China, the nine-year compulsory education system has been implemented nationwide since the promulgation of the Compulsory Education Law of the People’s Republic of China in 1986. However, certain regions have extended the duration of compulsory education beyond this standard, with variations in the extension period across different areas. These regions, which encompass both developed coastal and relatively less developed inland areas, are recognized as pilot zones for the extension of compulsory education. Some of these pilot zones can be likened to randomized economic experiments, thereby constituting a random shock. Based on these analyses, we are confident that it is justifiable to incorporate the expansion of compulsory education into the model as an exogenous shock.
2.1. Theoretical Assumptions
2.1.1. Consumption Decisions
Assuming that consumers derive utility from consuming both agricultural and industrial products, the utility function is established as a CD function, which is composed of the CES function representing industrial products and the consumption of agricultural products. This is represented as follows:
where
u is the consumer utility,
a is the consumption of agricultural products,
is the individual logo of the enterprise, set
is a set containing all individual logos of the enterprise,
denotes the consumption of products produced by the enterprise
,
represents the substitution elasticity between commodities, and
is the proportion of the consumer budget spent on agricultural products. Furthermore, it is presumed that consumers encounter the following budgetary limitations:
The Lagrange equation is formulated on the presumption of maximizing consumer utility, thereby deriving the consumer’s consumption of diverse products as follows:
In this context, R represents the income of consumers, while p denotes the price index. Furthermore, according to the Solo model, it is postulated that the labor supply remains inelastic, implying that the available labor force corresponds directly to the population.
2.1.2. Production Decisions
It is assumed that for the agricultural sector, the production of one unit of agricultural products necessitates one unit of low-skilled labor, and this production process yields a constant return to scale. After standardization, the labor price
, and assuming that there is no cost for the flow of low-skilled labor between departments and that there is no cost for the flow of agricultural products between regions, the wages of low-skilled workers in the two regions
. For the industrial sector, it is assumed that the entire production process of industrial products requires the participation of
f units of low-skilled labor elements, as well as the participation of technical elements
. Specifically, the production of a unit of industrial products requires
units of technical elements. The expression of the set product production function is as follows:
We distinguish the type of manufacturer according to the size of
. If
, the manufacturer is a technology-intensive enterprise; otherwise, it is a labor-intensive enterprise. More importantly, the production function implies the following relationship:
Equation (
5) shows that if a manufacturer is a technology-intensive enterprise,
is an increasing return to scale function of
. We divide the labor force into two types, namely low-skilled workers with low-skilled labor elements of
f and skilled workers with technical elements of
, and stipulate that a low-skilled worker has one unit of low-skilled labor elements, while a skilled worker has
c units of technical elements. The equation below describes the relationship between the two categories of workers:
where
is the proportion of skilled workers in the total labor force and
n is the total number of all heterogeneous manufacturers in the region.
2.2. Impact of Extended Compulsory Education on Entrepreneurial Activities
Once the consumer and manufacturer decision-making behaviors are clearly defined, the manufacturer’s pricing rules can be derived based on the principle that the marginal cost must equal the marginal income. Following this, the equilibrium values of various variables can be determined by applying the principles of labor market equilibrium and commodity market equilibrium. However, this is not the primary focus of our analysis. Our aim is to investigate the consequences of expanding compulsory education on economic activities, with particular emphasis on its effects on manufacturers. Numerous studies have already demonstrated that compulsory education aids in developing children’s and young adults’ knowledge and literacy, thereby facilitating their ability to acquire certain professional skills such as industrial equipment application and computer operation, among others [
16,
17,
18,
19,
20]. Therefore, in this model, the extension of compulsory education will first impact on the population skill structure of the region—that is,
will be affected, while
can affect
, which is shown as the following relationship:
Specifically, through the medium of compulsory education, students are able to directly acquire fundamental workplace skills, including typing, computer programming, and basic engineering drawing analysis. Moreover, this educational experience indirectly enhances students’ capacity to learn professional skills upon entering the workforce. Those who have completed compulsory education can more proficiently acquire the job-specific skills necessary and obtain professional skill certifications. Indeed, China’s rate of return on education has been on the rise since its reform and opening up, increasing from roughly 1.5% in the 1980s to over 7% in recent years. This reflects the crucial role that compulsory education plays in the accumulation of human capital. Entrepreneurs can secure a specific monopoly profit if the marginal cost of manufacturing a product is lower than its marginal income. This profit potential serves as a catalyst for entrepreneurial ventures in the region. Keeping this in mind, we present the marginal cost function for manufacturers, represented by the formula below:
It can be seen that the sign of
is actually uncertain. Further, we obtain the following formula through simplified analysis:
Therefore, it can be determined that when is small, that is, the enterprise is a labor-intensive enterprise, in the short term, extending compulsory education will change the skill structure of the local population, thus increasing the marginal cost of the enterprise, which will weaken the local entrepreneurial activities. When is large, that is, when the enterprise is technology-intensive, in the short term, extending compulsory education will reduce the marginal cost of products produced by the enterprise, which will increase local entrepreneurial activities.
Based on the actual development of various regions in China, compulsory education has genuinely altered the skill composition of the local population. Furthermore, as China continues to implement its opening-up policy, businesses have capitalized on late-developing advantages to consistently upgrade their production technology. Coupled with the recent integration of big data, 5G communication, and artificial intelligence, the percentage of technology-intensive enterprises across various regions is increasing [
21,
22,
23]. Therefore, in this paper, we introduce Hypotheses 1 and 2.
Hypothesis 1. Extending free compulsory education has the potential to foster entrepreneurial activities within the region.
Hypothesis 2. Extending the duration of free compulsory education in regions with a more advanced industrial structure will significantly promote entrepreneurial activities to a greater extent.
Furthermore, given China’s development reality as a country with a rich history spanning 5000 years, various regions possess distinct cultures and lifestyles. These factors significantly influence the locals’ willingness and capacity to embrace education [
24,
25]. Therefore, it is imperative to take into account the ability of individuals from different regions to receive compulsory education [
26,
27,
28], as well as their capacity to assimilate knowledge. This diversity will undoubtedly impact the effectiveness of compulsory education on entrepreneurial endeavors to some degree [
29,
30]. Furthermore, we must also take into account the mobility of workers across regions. In the long term, extending the duration of compulsory education in a region signifies a shift from low-skilled to skilled workers among a segment of the population. However, if the region fails to upgrade and reshape its industrial structure, it may encounter the peril of population decline. This can be reflected by the change in real wages—that is, when the population skill structure is improved by extending compulsory education and the local industrial structure has not been optimized, there will be a number of skilled workers in excess of demand. If labor mobility is allowed, assuming that the mobility cost is
, the real wage ratio before and after mobility
f is shown in Equation (
10).
In the long run, if a region increases the duration of compulsory education without simultaneously optimizing its industrial structure, it will have an impact not only on local entrepreneurial endeavors but also on those in neighboring regions. Taking into account the aforementioned analysis, we present Hypotheses 3 and 4 of this paper.
Hypothesis 3. The impact of extending free compulsory education on regional entrepreneurial activities is influenced by the level of knowledge acquisition among local residents.
Hypothesis 4. Extending free compulsory education has a positive spatial spillover effect on entrepreneurship.
3. Methods
The aim of this study was to determine whether increasing the length of free compulsory education fosters entrepreneurial endeavors in the area. Essentially, this investigation sought to ascertain the impact of a specific policy. To evaluate this policy’s effectiveness, the double difference model was employed. This model constructs a double difference estimator using a control group before and after policy implementation, effectively eliminating the influence of extraneous factors and allowing for an accurate assessment of the policy’s impact. This method is widely recognized and utilized in academic circles. To test Hypothesis 1 in this paper, we applied the double difference model to explore how extending free compulsory education affects regional entrepreneurial activity, specifically whether it encourages such activity. For Hypotheses 2 and 3, we devised a dual difference model incorporating interaction terms to facilitate identification. Additionally, to address Hypothesis 4, which posits that extending compulsory education positively impacts entrepreneurship with a spatial spillover effect, we developed an innovative spatial dual difference model. This model enabled us to delve deeper into the specifics of how extending compulsory education influences entrepreneurial activities across various regions.
3.1. Empirical Models
The double difference model serves as a counterfactual quasi-natural experiment, requiring the definition of both experimental and control groups, as well as pre- and post-experiment periods. To accomplish this, the model incorporates the double difference estimator (
) as a crucial variable. This estimator represents the cross product of the treatment variable (
) and the time variable (
). Specifically, the treatment variable (
) is a dummy variable, assigned a value of 1 for the experimental group and 0 for the control group. Similarly, the time variable (
) is a dummy variable, set to 0 before the experiment and 1 after. Based on these considerations, the specific form of the dual difference model presented in this paper is exhibited in Equation (
11).
where the subscript
i is the regional identity,
t is the time ID
is the level of entrepreneurship in the region
is the core explanatory variable of this article. The coefficient we care about is
, which represents the influence coefficient of extending compulsory education on entrepreneurial activities. If the coefficient of
is significantly positive, it indicates that extending compulsory education has a promoting effect on entrepreneurial activities in the region.
In order to exclude the interference of other factors, we added factors that may affect entrepreneurial activities at the regional level as control variables in the model (see the following description for details). In addition, in order to control for the interference of other factors that may affect the level of entrepreneurship in the region but do not change over time or cannot be observed, we also added the time fixed effect () and the region fixed effect () to the model.
Regarding Hypothesis 2, which proposes that extending the duration of compulsory education will have a greater impact on promoting entrepreneurial activities in regions with a more advanced industrial structure, this paper further expanded upon model (
12) and formulated model (
12) as outlined below:
where
is the regional industrial structure variable, which is represented by the industrial structure advanced Theil index
, which is the coefficient we were interested in. If the coefficient of
is significantly positive, it shows that the effect of extending free compulsory education on regional entrepreneurial activities is indeed affected by the regional industrial structure.
Regarding Hypothesis 3, the level of knowledge and learning among local residents influences the effect of extending compulsory education on entrepreneurial activities in the region. Model (
13) was constructed as follows:
Given that observing and measuring the knowledge learning ability of residents in a region during compulsory education is challenging, we needed to shift our perspective. In China, there are notable regional disparities in students’ knowledge acquisition during compulsory education. Some scholars contend that even when excluding external factors like school infrastructure and teaching quality, a significant regional heterogeneity persists in students’ learning abilities. This heterogeneity can be traced back to China’s long-standing examination system, dating back to the Sui Dynasty with the imperial examinations. Over time, distinct human environments have emerged in different regions, significantly influencing the knowledge acquisition of compulsory education students. We manually gathered and organized data on imperial examinations conducted in various regions during the Qing Dynasty, spanning from 1646 to 1904. This comprehensive dataset comprises 25,229 pieces of sample information, which we carefully matched with county-specific data. Utilizing this detailed information, we constructed the county-level residents’ education atmosphere variable (
), serving as a representation of the knowledge and learning proficiency among residents in each county. In model (
13), a significantly positive coefficient indicates that the influence of expanding free compulsory education on entrepreneurial endeavors is indeed influenced by the local residents’ level of knowledge acquisition. Furthermore, the higher the level of knowledge acquisition among local residents, the more pronounced the stimulatory effect of extending free compulsory education on entrepreneurial activities.
Regarding Hypothesis 4, the extension of compulsory education positively impacts entrepreneurship, exhibiting a spatial spillover effect. To explore this further, we constructed the following model (
14):
where
is the spatial lag term of
,
is the spatial weight matrix, and the construction method is mainly divided into two steps. First, the distance radius space weight matrix is constructed. The distance radius
m is selected as 100 km, 200 km, 250 km, 300 km, 350 km, 400 km, 450 km, 500 km, 550 km, 600 km, 650 km, 700 km, and 800 km. The calculation function of the weight in the distance radius space weight matrix is as follows (
15):
Secondly, by subtracting the corresponding spatial weight matrix based on Equation (
15), we acquired the distance range spatial weight matrix. The calculation formula for this is given in Equation (
16):
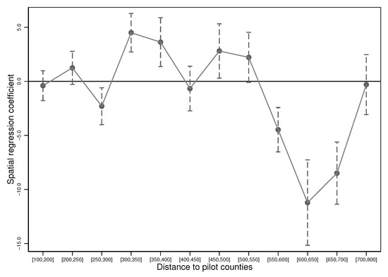
Therefore, the coefficient we were interested in is . The change in can reflect the spatial spillover effect of extending the free compulsory education policy. There were two primary reasons for adding the spatial lag term to the model instead of using the general spatial econometric model. Firstly, the traditional spatial econometric model is capable of deriving only a spatial correlation coefficient. However, in practice, spatial spillover effects may exhibit significant heterogeneity as geographical distance varies. Secondly, the data employed in our empirical study consisted of county-level information, with a sufficiently large sample size, enabling us to attempt incorporating a spatial lag term directly into the benchmark regression model for analysis.
3.2. Variable Declaration
Dependent variable: As entrepreneurial activities inherently involve company registration, we carefully organized the industrial and commercial registration data for all counties and districts across the country spanning from 2000 to 2021. To quantify entrepreneurial activity within each county, we chose to use the logarithm of the annual number of registered enterprises as our metric.
Core explanatory variable: When constructing the double difference estimator (
), the core explanatory variable we focused on was the policy of extending the duration of free compulsory education at the county level. This identification was based on government policy documents from various regions in China. Presently, nearly all regions in China have adopted a policy of free tuition for the nine-year compulsory education phase, meaning that children are not required to pay tuition during their primary and junior high school education. However, only select regions have extended this free compulsory education to include the high school stage. Our primary objective was to ascertain the impact of this extension policy on high school education. Through the manual collection and sorting of textual data pertaining to government policies, we successfully acquired pertinent information concerning the expansion of free compulsory education across all county levels in China. The relevant policy contents regarding the extension of free compulsory education in certain regions are presented in
Table 1 below. With this information, we were able to accurately establish treatment variables at the county level.
Control variables: Considering the extended time span of the sample, in addition to the policy of extending free compulsory education impacting the county’s entrepreneurial activity, numerous other intervening factors could also influence it. Therefore, it was imperative to manage the interference posed by these additional factors. Drawing upon the pertinent research conducted by Liu Ruiming and Zhaorenjie [
31], Zhang Jun [
32], Guo Feng and Xiong Ruixiang [
33], Xu Ming and Liujinshan [
34], Huang Zhiping [
35], and Xu Aiyan [
36], this paper carefully selected the following control variables:
1. To assess the impact of county economic development, we utilized the logarithm of county per capita gross domestic product (). 2. We controlled for regional population size () based on the population figures for the county. 3. The construction level of regional communication infrastructure () was gauged by the number of broadband user access points. 4. The regional wage level was determined using the average wage of on-the-job employees () at the county level. 5. To understand regional government behavior, we considered government revenue () and government expenditure () of county local finances. 6. The level of regional investment was controlled according to the amount of fixed asset investment () across the entire society. 7. The year-end loan balance of financial institutions was employed to measure the regional financial development level (). 8. The regional education level was evaluated based on the number of schools, students, and teachers in general middle schools. 9. Finally, the level of social security in the region was gauged by the number of hospital staff in county hospitals () and the number of beds in welfare () adoption units.
3.3. Data Sources
The data were sourced from various authoritative platforms, including the China County (City) Social Statistics Yearbook, the China County Statistics Yearbook, the statistical database of the China Economic Information Network, the industrial and commercial enterprise registration database maintained by the State Administration for Industry and Commerce, and local government policy texts. During the data collation and splicing process, samples with numerous missing dependent and primary control variables were eliminated, whereas those with minimal missing data were filled in using the moving average method. As a result, a balanced panel dataset was compiled, spanning 2528 counties in China from 2000 to 2021.
Table 2 presents descriptive statistical outcomes for the raw data of each variable.
5. Main Conclusions and Recommendations
5.1. Main Conclusions
This paper develops a novel economic geography model and theoretically examines the influence of expanding free compulsory education on regional entrepreneurial endeavors. The analysis posits that expanding free compulsory education can foster regional entrepreneurial activities. However, the effectiveness of this policy is influenced by the local industrial structure and residents’ knowledge acquisition during compulsory education. Furthermore, this study predicts that this policy’s impact exhibits a certain spatial spillover effect.
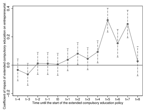
Using panel data from China’s counties spanning from 2000 to 2021, and treating China’s free compulsory education pilot policy as a quasi-natural experiment, we investigated the influence of expanding free compulsory education on regional entrepreneurial activities through the double difference estimation method. Our empirical investigation revealed that expanding free compulsory education within regions can foster regional entrepreneurial activities. This policy effect is more pronounced in regions with a more advanced industrial structure and higher levels of residents’ knowledge and learning. To ensure the reliability of our findings, we controlled for various observable factors influencing regional entrepreneurial activities, as well as regional and time-fixed effects. We also employed a dynamic panel model, the PSM-DID model, and entropy balancing to address potential endogeneity issues, confirming the robustness of our benchmark regression results. Additionally, we devised a spatial double difference model to explore the spatial spillover effects of expanding free compulsory education on regional entrepreneurial activities. Our empirical analysis indicated that while there was no spatial spillover effect on adjacent counties, there was a positive spatial spillover effect on counties slightly further away, and a progressively decreasing negative spatial spillover effect on more distant areas.
5.2. Recommendations
Firstly, we should persist in broadening the geographical reach of free compulsory education. Given the beneficial effects of expanding free compulsory education on fostering entrepreneurial initiatives in the area, the government ought to further widen the regional coverage of this education, encompassing additional counties and districts within the policy framework. This would encourage local entrepreneurship and foster sustainable progress in the region. Based on the current situation, we should identify more promising counties and districts as policy pilot sites, particularly in economically underserved areas that possess a solid industrial and educational foundation. By leveraging the directive function of policies, we can unleash the latent entrepreneurial capabilities of these localities.
Secondly, it is imperative to focus on enhancing the quality of education. The policy aimed at expanding free compulsory education primarily targets local residents. Alongside promoting this initiative, we must also prioritize improving educational quality, thereby maximizing the impact of free compulsory education. As we broaden the scope of compulsory education policies, it is crucial to ensure the equitable allocation of educational resources and tailor them to meet the unique needs of different regions. For instance, remote mountainous or economically disadvantaged areas may require additional financial assistance and the development of educational infrastructure to guarantee the effective implementation of these policies.
Thirdly, we must reinforce interregional cooperation. The expansion of the free compulsory education policy generates a spatial spillover effect, necessitating stronger cooperation and exchange among regions. It is advisable to foster collaboration and interchange in education and industrial development between neighboring regions. We encourage all societal stakeholders, including businesses, nongovernmental organizations, and education professionals, to actively engage in and back the expansion of free compulsory education. Through multiparty collaboration, let us establish a supportive social environment for the implementation of educational policies. For instance, we may draw inspiration from the model implemented in Deqing County, Zhejiang Province, to vigorously foster the growth of collaborative industry–university research and establish a pathway for converting compulsory education accomplishments into practical skills applicable in enterprises.